Abstract
To better understand functional morphological adaptations to high elevation (> 3000 m above sea level) life in both North American and African mountain-associated rodents, we used microCT scanning to acquire 3D images and a 3D morphometric approach to calculate endocranial volumes and skull lengths. This was done on 113 crania of low-elevation and high-elevation populations in species of North American cricetid mice (two Peromyscus species, n = 53), and African murid rodents of two tribes, Otomyini (five species, n = 49) and Praomyini (four species, n = 11). We tested two distinct hypotheses for how endocranial volume might vary in high-elevation populations: the expensive tissue hypothesis, which predicts that brain and endocranial volumes will be reduced to lessen the costs of growing and maintaining a large brain; and the brain-swelling hypothesis, which predicts that endocranial volumes will be increased either as a direct phenotypic effect or as an adaptation to accommodate brain swelling and thus minimize pathological symptoms of altitude sickness. After correcting for general allometric variation in cranial size, we found that in both North American Peromyscus mice and African laminate-toothed (Otomys) rats, highland rodents had smaller endocranial volumes than lower-elevation rodents, consistent with the expensive tissue hypothesis. In the former group, Peromyscus mice, crania were obtained not just from wild-caught mice from high and low elevations but also from those bred in common-garden laboratory conditions from parents caught from either high or low elevations. Our results in these mice showed that brain size responses to elevation might have a strong genetic basis, which counters an opposite but weaker environmental effect on brain volume. These results potentially suggest that selection may act to reduce brain volume across small mammals at high elevations but further experiments are needed to assess the generality of this conclusion and the nature of underlying mechanisms.
Subject terms: Evolutionary biology, Evolution
Introduction
Brain size variation between and within species has long interested scientists studying cognition or behavioral flexibility in animals1–4. Brain size relative to body mass varies at different rates among different mammal groups5. Several factors may explain this variability in brain size, including phylogeny, ecology, basal metabolic rate, behavior, sensory complexity, life histories5–20 or the interaction of these factors. Larger brains (especially the neocortex) typically carry cognitive advantages21–23, and have also been associated with increased habitat complexity, the variety of life styles relating to diet, sociality, and nocturnal activity5,7,8,24,25, predation pressure26, and life history variables such as longevity, age at maturity and litter size6,9,27. However, even though a large brain has been shown to have potential benefits, brain tissue is said to be extremely energetically costly20,28, which might constrain brain size in energetically challenging environments.
Rodents are an ideal group to compare brain size variation because they occupy different niches, differing greatly in lifestyles, habitat, diet and activity period. Locomotive pattern can similarly differ among rodents, they can be arboreal, aerial, terrestrial, semiaquatic, burrowing (fossorial) and rock-dwelling29–32. Diet is similarly diverse amongst rodents (e.g., herbivorous, omnivorous33, insectivorous34 and fungivorous35). Using 3D reconstructions of virtual endocasts from micro-CT scanning of crania of extant and extinct species, several recent studies have explored allometric, phylogenetic and environmental correlates of brain evolution in the early evolution of rodents and their relatives36–38, in squirrel-like rodents30–32,39 and in caviomorph rodents40,41.
Enlarged brains have been reported in kangaroo rats (Heteromyidae), deer mice (Peromyscus leucopus), voles (Microtus pennsylvanicus), octodontid rodents (Tympanoctomys, Octodontomys and Octomys), arboreal squirrel-like rodents, the African wading rat (Colomys gosling), the mole rat (Spalax ehrenbergi), and some southern African squirrels (squirrel-related clade42) and mice (mouse-related clade42), and these were associated with complex sensory and locomotory functions (e.g. associated with arboreality), urbanization, higher behavioural complexity, habitat and diet types25,30–32,43–49. In contrast, smaller brains have also been reported in African molerats (Bathyergidae), gophers (Geomyidae), fossorial squirrel-like rodents and South African porcupines and cane rats (Ctenohystrica42) and some mice (mouse-related clade)25,30,46. Relative brain size was not found to be associated with social system in African mole-rats50, nor in African striped mice (Rhabdomys)51, although histological differences in the amygdala and hippocampus regions of the neocortex of different mesic and arid species of striped mice (Rhabdomys) were found to be associated with sociality rather than spatial memory in lab tests52. Nevertheless, although some previous studies have examined brain size in association with various factors, few have distinguished the potential genetic and environmental contributions to brain size variation.
High-altitude environments present numerous challenges that might influence brain size evolution, so high-altitude mammals present an intriguing system for examining genetic and environmental influences on brain size. High altitude is characterized by reduced ambient temperature that increase the metabolic demands of body heat generation in endotherms, but also by reduced availability of oxygen (hypoxia) to support these high demands53. These conditions might also be expected to constrain the growth and/or ongoing maintenance costs of neural tissue, which has a high metabolic activity relative to other tissues, consistent with the expensive tissue hypothesis54, leading to smaller brain size at high altitude. Conversely, physiological changes at high elevation could also lead to increased brain volume. Hypoxia at high elevation increases brain blood flow and can induce brain swelling, which due to the confines of a fixed endocranial volume can induce pathological increases in intracranial pressure that contribute to altitude sickness in humans and other mammals55. Apart from direct environmental effects on the phenotype, it might therefore be advantageous for high-elevation mammals to have larger endocranial volumes to accommodate increases in brain volume and avoid intracranial hypertension. Habitat differences could also influence brain volume, as high-elevation environments can differ in complexity and predation pressure, but such differences may not apply broadly across mountain regions in different parts of the world56. Studies in birds suggest that those inhabiting higher altitudes tend to have relatively larger brains56 or hippocampal volumes57 compared to birds living at lower altitudes, but birds are more tolerant of high-altitude hypoxia than mammals and are not believed to experience increased intracranial pressure or mountain sickness58. On the other hand, in accordance with the expensive tissue (brain) hypothesis, Asiatic toads from high altitudes had smaller brains than lower-altitude populations59. Environmental harshness linked to colder climates was shown to be positively correlated with brain size in birds60 and humans61,62. In vertebrates generally, both phenotypic plasticity and genetic adaptation have been shown to be important in physiological and morphological changes associated with high altitude 53,63,64. To the best of our knowledge, this study is the first systematic examination of brain size evolution in divergent rodent clades from high-elevation. Within one of these clades (Peromyscus species), by comparing both free-living and laboratory progeny of high (4350 m) and low (430 m) populations, we were able to largely separate the effects of high elevation due to genetic adaptation (natural selection, or “nature”) and environmentally-induced phenotypic plasticity (or “nurture”).
The main aim of our study is to describe the variation in endocranial volume (a proxy for brain size65,66) in North American cricetid mice (two Peromyscus species) and in African murid rodents of two tribes, Otomyini (five species) and Praomyini (four species), with members of both families occupying both relatively high, alpine (> c.3000 m maximum) and lower, non-alpine (< c.2500 m maximum) elevations, to test how elevation affects brain size in mammals. In this study, we defined high-elevation habitats in Africa based on the standard Vegetation Map of Africa67, comprising Afroalpine moorlands, shrublands and grasslands which typically occur above the forest line in Africa at c. 2500–3000 m. In North American Peromyscus included in this study, populations were sampled from very discrete elevations at 4350 m (high) and 430 m (low). We tested two distinct hypotheses for how endocranial volume might vary in high-elevation populations: the expensive tissue hypothesis, which predicts that endocranial volumes will be reduced in high-altitude mammals; and the brain-swelling hypothesis, which predicts that endocranial volumes will be increased in high-altitude mammals. Following from this broader comparison of free-living populations of three diverse rodent clades, in one of them, we then used a common-garden experiment with highland (4350 m) and lowland (430 m) Peromyscus mice derived from both free-living and lab-bred populations to further examine whether genetic (“nature”) and/or environmental (“nurture”) factors contribute to brain size variation within this particular clade. We acknowledge that our experimental design cannot account for all potential mechanisms involved in brain development and growth, such as environment-genetic and environment-ontogenetic interactions, the latter which can cause brain size reduction in lab-bred mice raised with poor nutrition68. However, our lab-bred mice were raised on a common diet and at a common environment (sea level) to reduce such environmental interactions.
Results
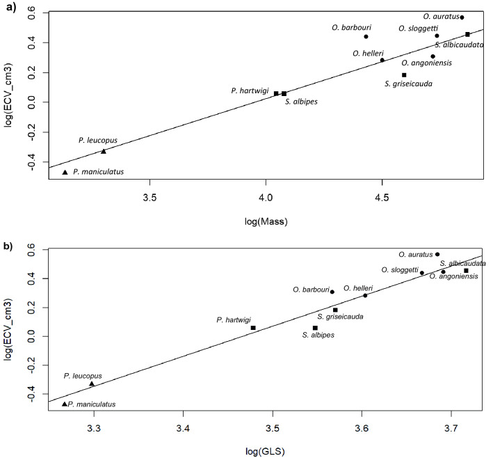
Comparing mean values for 11 rodent species, we found significant (p < 0.01) correlations between body mass and endocranial volume (ECV) (r = 0.93, df = 9) and between skull length and EVC (r = 0.97, df = 9). With phylogenetic correction (using the tree in Supplementary Fig. S1), we obtained the following regression equations (Fig. 1a,b):
Log (ECV) = − 1.952 + 0.494 [95% CI : 1.71–2.46] × log (mass)
Log (ECV) = − 7.219 + 2.083 [95% CI: 0.36–0.63] × log (skull length)
Figure 1.
Phylogenetically-controlled regressions (models shown as solid lines) between logged mean species values of endocranial volume (ECV_cm3) and a) body mass and b) skull length (GLS) between three rodent clades; Peromyscus (triangles), Otomyini (dots), Praomyini (squares). Means for ECV and skull length were computed from 113 individual crania (Table S1). Mean body masses obtained from literature71,72.
Most species mean values fell close to the regression lines based on the log-transformed plots (Fig. 1a,b), with the lowest negative residuals associated with Stenocephalemys species and the highest positive residuals associated with O. auratus and O. barbouri (Fig. 1, Fig. S2). Due to the slightly better fit for skull length compared to body mass, as also shown elsewhere for rodents69, we used skull length as a proxy for body size rather than body mass in subsequent analyses. No significant differences in residuals (from skull length: Fig. 1b, Supplementary Fig. S2) were obtained between alpine and non-alpine species (t10 = 0.306, p > 0.05). Since skull length scales to the cube of body mass, the negative (< 1) allometric exponent obtained from our analysis (slope = 2.083/3 = 0.694) falls between the exponent values for endocranial volume scaled to body size across mammals generally (slope = 0.7510) and previous data collected across rodents (slope = 0.6469,70). When using body mass (equation (2) above), the allometric exponent is 0.494 which seems to underestimate the value expected for rodents69.
After accounting for variation in skull length as a proxy for body size, analysis of covariance showed a significantly smaller adjusted endocranial volume from high-elevation taxa compared with low-elevation taxa for both Peromyscus (F1,51 = 26.75, p < 0.001; slopes homogeneous, F = 0.0007, p > 0.05, Fig. 2a) and Otomys (F1,46 = 4.982, p = 0.03; slopes homogeneous, F1,9 = 0.007, p > 0.05, Fig. 2b). However, some overlap between the low and high elevation individuals of Otomys is visible. Although their slopes were homogeneous, (F1,9 = 2.124, p > 0.05), no statistical differences were observed between the adjusted means of endocranial volume in the Praomyini (F1,9 = 2.067, p > 0.05) due possibly to the smaller sample size (Fig. 2c).
Figure 2.
Analysis of co-variance showing regression slopes of log endocranial volume versus log skull length for highland (red) and lowland (blue) (a) Peromyscus mice (Cricetidae), (b) Muridae (Otomyini), (c) Muridae (Praomyini). Since length is proportional to the cube of mass (body size), the allometric exponents for body size the slopes in the above regression coefficients are equivalent to one third of the regression coefficients shown. Thus, the allometric exponents for Peromyscus (0.7 for high and low populations) are higher than those for Otomys (0.4 for high and low species), and Praomyini have different slopes for high (0.5) and low (0.2) species.
In the case of Peromyscus, crania were obtained both from wild-caught mice from high and low elevations as well as those bred in common-garden lab conditions at sea level from parents caught from either high or low elevations. Crania of these four groups differed significantly in endocranial volume (F3,48 = 15.66, p < 0.001, Fig. 3), while the slopes of the relationship to skull length were homogeneous (F = 2.065, p > 0.05). The largest and smallest adjusted means were for lab-born mice from low elevation and high elevation, respectively. Intermediate values were obtained for wild-caught mice from high and low elevations, with some overlap observed between these groups, but those from low elevation still had higher endocranial volumes than those from high elevation (Fig. 3). Posthoc pair-wise tests (using the Benjamini–Hochberg FDR test with the emmeans test function in the R package “rstatix”) between adjusted means show significant differences between all pairs of groups except for lowland laboratory and wild groups where some overlap was observed (Fig. 3).
Figure 3.
Analysis of co-variance showing regression slopes of log endocranial volume versus log skull length for high-elevation wild-caught (green) and lab-bred (red) and low-elevation wild-caught (purple) and lab-bred (blue) Peromyscus.
Discussion
Expensive-tissue hypothesis (ETH)
Although large brains confer cognitive benefits73, the large amount of energy required for developing and maintaining brain tissue74 should impose serious constraints on brain size evolution54,75,76. The ‘expensive-tissue hypothesis’ has been used to interpret trade-offs in which an increase in the size of a metabolically expensive tissue is offset by a decrease in the size of other metabolically expensive tissues28,77. For example, a negative relationship has been observed between brain size and testes size (both metabolically expensive organs) in bats78 although this was not found to apply to mammals generally54. Similarly, no negative correlation was found between brain size and digestive tract length in small mammals79. The expensive-tissue hypothesis could apply to any situation where resource limitations constrain the growth and/or ongoing maintenance costs of a tissue and could explain situations in which the advantage of having a larger brain is offset by the disadvantage of needing to supply the resources (O2 and metabolic fuels) for growing and supporting the ongoing maintenance costs of a larger brain. Our results showing smaller brains in both Peromyscus and Otomys at high (alpine) elevations compared to lower-elevation populations are consistent with this explanation. Supporting this, previous studies in Peromyscus mice have shown that the masses and physiological capacities of organs involved in partitioning O2 and metabolic fuels are larger in populations from high elevation compared to their low-elevation counterparts80–83, suggesting that such a trade-off may arise in challenging high-altitude environments.
Brain-swelling hypothesis
At high elevation, organisms are commonly confronted with disorders such as brain swelling and acute mountain sickness/altitude sickness84. Moreover, these disorders bring about learning and memory deficits in organisms and compromise their performance of highly demanding mental functions85. For example, when exposed to hypoxic environments, rats exhibited a deficit in spatial working memory86. Our data provide some modest suggestion that environmentally-induced plasticity increases endocranial volume in high-elevation deer mice, possibly due to the high-altitude hypoxia effect on brain swelling, as reflected by the difference between wild and lab-raised mice of high-elevation ancestry. Such an effect may only become evident in later development, based on previous reports that mouse embryos from pregnant mothers have reduced brain size when raised in a hypoxic environment87. Since endocast volume may not always be directly equivalent to brain volume estimates based on soft tissues, our data do not allow a conclusive test of the brain swelling hypothesis, and further experiments are required to test the applicability of the brain swelling response to hypoxia in high-elevation rodents.
Effect of genetic origin and environmentally-induced plasticity on highland adaptation of brain size in deer-mice: counter gradient variation?
The pronounced significant difference in endocranial volume between high- and low-elevation populations among laboratory-raised Peromyscus mice suggests that there is a strong genetic component to reductions in brain size in high-elevation deer mice as predicted by the expensive tissue hypothesis. However, the attenuation of this difference in mice caught in their native habitats suggests that evolved changes in brain size at high altitude act in opposition to the direct environmental effects on this trait. Such a situation in which selection acts in opposition to environmentally-induced plasticity in a trait is known as counter-gradient variation63,88–90. In the case of highland Peromyscus mice, the phenotypic effect of hypoxia-induced brain swelling is countered and outweighed by the adaptive genetic effect of decreased brain size predicted by the expensive tissue hypothesis, thereby reducing brain volume to below that observed in lowland mice. As such, the results of our study on brain size conform very closely to a previous theoretical prediction: “For traits that exhibit counteracting environmental and genetic effects, evolved changes in phenotype may be cryptic under field conditions and can only be revealed by rearing representatives of high-and low-altitude populations under standardized environmental conditions to control for plasticity”. The environmental effects on adult brain size in highlanders do not appear to be associated with general variation in growth, because cold hypoxic environments have only slight constraining effects on developmental growth rate that do not affect adult body mass91 or its allometric consequences on brain size.
Life-history correlates of brain size
After correcting for phylogeny and body size, the residual amount of variation in brain size might be explained by species-specific ecology or life history92. In general, it is suggested that variation in brain size is associated with habitat type (with forest-dwelling species having relatively larger brains than grassland forms), diet (with omnivores having larger brains than folivores), daily phase of activity (with nocturnal species having larger brains than diurnal), locomotion (arboreal species having larger brains than terrestrial ones), and lifespan (with longer-lived taxa having larger brains than short-lived taxa)25,46,47,93–95. However, habitat type did not have clear effects on brain size here, because most of our study species occupy grasslands (O. auratus,) or moorlands (O. sloggetti, O. barbouri, O. helleri, S. albocauda, S. griseicauda and P. maniculatus), and the remaining forest (S. albipes, P. hartwigi, P. maniculatus and P. leucopus) and savanna (O. angoniensis) species showed both positive and negative residuals to the regressions of brain volume on body mass and skull length (Fig. 1). Daily phase of activity was also unable to explain the observed variation in brain size, because all Praomyini and Peromyscus species in our study are nocturnal, and most of these species had slightly smaller brains compared to the generally crepuscular Otomyini species. It is likely that the above-mentioned ecological and life history traits have interactive effects on brain size25, a possibility that requires more detailed ecology and life history data to examine fully. Since we did not formulate any testable hypotheses for ecological correlates of brain size in our study we are unable to rule out the importance of these factors which should be considered in future studies.
Concluding remarks
Convergence between very divergent cricetid and murid rodent lineages from different continents suggests that reductions in brain size at high elevation might be universal among rodents at least but this requires further testing from wider taxonomic and geographic sampling. Our study also highlights the importance of combining the investigation of brain size in wild populations with common-garden experiments for answering questions of “nature” (genetics) and “nurture” (environment) in brain evolution. This study provides the first example of counter-gradient variation in a mammal, whereby the much smaller brain size of lab progeny of highland compared to lowland Peromyscus mice (presumably due to natural selection acting to save metabolic costs of maintaining large brains in hypoxic environments) is attenuated in nature by an environmental effect acting in an opposite direction, possible due to brain-swelling induced by hypoxia. Both the expensive tissue and brain swelling hypotheses involve complex interactions between the phenotype, genotype, environment and ontogeny, not all of which could be considered in this study. It could be argued that the improved diet under laboratory conditions compared to wild populations could have biased our results. However, we would counter this argument, because, firstly, laboratory populations are both smaller sized (high) and larger sized (low) than wild populations, and secondly, under constant laboratory conditions, we find the most extreme (genetic) differences in brain size. Nevertheless, we believe that further experiments with stricter controls and more detailed physiological and morphological measurements (including soft tissues of the brain) could provide further insights into the role of environmental, genetic and ontogenetic interactions underlying brain size evolution in rodents and mammals generally. Further insights could also be provided by analysing brain size in populations of mice acclimated to high-altitude hypoxic or cold climates. Such an approach has already been conducted for physiological studies63 and could easily be extended in future to include analysis of cranial images from such studies.
Methods
Study samples
A total of 113 crania were extracted from 11 rodent species from the Cricetidae from Nebraska and Colorado in the USA (two species of Peromyscus), and two African murid Tribes Praomyini (four species, three of Stenocephalemys and one of Praomys) and Otomyini (five species of Otomys) (Table 1, Table S1). For species within the Cricetidae and Tribe Otomyini, sample sizes varied from n = 7 to 27 but species sample sizes were smaller in the Tribe Praomyini (n = 2 to 3). The small sample sizes for Praomyini species was due to the poor availability of specimens from museum collections at the time of study. Muridae specimens were loaned from the Ditsong National Museum of Natural History (DNMNH; Pretoria) and Museum National d’Histoire Naturelle (MNHN; Paris), while the Cricetidae were new collections from the field by McMaster University in Canada. Skull length (GLS) was measured with Avizo by placing a straight-line distance (ruler) from the anterior to the posterior part of the skull (see Supplementary Table S1 for raw data).
Table 1.
Details of samples used in the study.
| Species | Altitude (category) | Country (locality) | Altitude range (m asl) | Collection | N (M,F,?) |
|---|---|---|---|---|---|
| Peromyscus maniculatus | High | USA (Mount Evans, Clear Creek County, Colorado) | 4350 | McMaster | 9,10,0 |
| Peromyscus maniculatus | Low | USA (Nine Mile Prairie, Nebraska) | 430 | McMaster | 5,2,1 |
| Peromyscus leucopus | Low | USA (Nine Mile Prairie, Nebraska) | 430 | McMaster | 19,4,3 |
| Praomys hartwigi | Low | Cameroon (Mount Oku) | c.2500 | MNHN | 2, 1, 0 |
| Stenocephalemys albipes | Low | Ethiopia | c.2000 | MNHN | 1, 2, 0 |
| Stenocephalemys albocaudata | High | Ethiopia (Bale Mts) | 3170 | MNHN | 1, 1, 0 |
| Stenocephalemys griseicauda | High | Ethiopia (Bale Mts) | 3170 | MNHN | 1, 2, 0 |
| Otomys auratus | Low | South Africa | 1000–2100 | DNMNH | 5, 6, 0 |
| Otomys sloggetti | High | South Africa, Lesotho | 1600–3000 | DNMNH | 6, 5, 0 |
| Otomys helleri | High | Ethiopia (Bale Mts) | 3326 | MHNH | 4, 5, 0 |
| Otomys barbouri | High | Uganda (Mt Elgon) | 4132 | MNHN | 5, 2, 0 |
| Otomys angoniensis | Low | South Africa, Zimbabwe, Eswatini, Zambia | 600–1500 | DNMNH | 6, 5, 0 |
The question mark (?) represent individuals of unknown sex, meters above sea level (m asl).
In the case of Cricetidae, 53 crania were extracted and analyzed. These skulls were collected from animals used in earlier publications on other topics96,97. Since some of the specimens did not have gender data, and the frequency of males and females were close to parity, we combined both sexes in the final analyses to increase our sample size. Adult mice (Peromyscus) were live trapped at high altitude (deer mice, P. maniculatus) on the summit of Mount Evans (Clear Creek County, CO at 39°35′18’’N, 105°38′38’’W, 4,350 m above sea level) and at low altitude (deer mice, P. maniculatus, and white-footed mice, P. leucopus) in the Great Plains (Nine Mile Prairie, Lancaster County, NE at 40°52′12’’N, 96°48′20.3’’W, 430 m above sea level) as previously described64. Mice were trapped using the Sherman live traps. One set of mice from each locality was euthanized, and crania extracted, within 1–2 days of capture at their native elevation. Another set of mice was transported to a common-garden lab environment at McMaster University (~ 50 m above sea level) and used as parental stock to establish captive bred lines of highland deer mice, lowland deer mice, and lowland white-footed mice. From each of these lines, we euthanized and extracted crania from first-generation progeny from several families, all of which were born and raised to adulthood in a common lab environment. Lab-raised mice were held in standard holding conditions at 25 °C with ambient sea level O2 levels, and were provided with unlimited access to mouse chow and water (12 h light:12 h dark photoperiod). For sampling, mice were euthanized by isoflurane overdose followed by decapitation, skulls were prepared using cold water maceration. The epidermal layer was manually removed, and the skulls were submerged in water for three days to soften muscle tissue. Muscle was removed using forceps and the brain was removed using a wide-bore syringe. Skulls were then left to dry. Animal husbandry and experimentation for Peromyscus mice followed the ARRIVE guidelines and the guidelines established by the Canadian Council on Animal Care and were approved by the McMaster University Animal Research Ethics Board (ethics number AUP#16–01-02). We confirm that all methods on Peromyscus mice were carried out in accordance with relevant guidelines and regulations.
In the case of 60 crania of African Muridae (Otomyini, n = 49 and Praomyini, n = 11) loaned from the DNMNH and MNHN mammal collections, individuals of different species were allocated to “low” and “high” altitudinal categories, generally coinciding with montane/sub-montane (< 2500 m maximum) and alpine/subalpine (> 3000 m maximum) zones respectively, based on literature98 and the localities of sampled specimens (Table 1). Since previous studies did not find evidence of sexual dimorphism99, we combined the sexes to increase sample sizes. Within the Praomyini, individuals belonging to two species (Stenocephalemys albocauda and S. griseicauda) were categorized as “high altitude”, from alpine moorland habitats > 3000 m in the Bale Mts of Ethiopia, while two species classified as “low altitude”, from montane forests from mid-altitudes around 2000–2500 m above sea level in Ethiopia (S. albipes) and Mt Oku in Cameroon (Praomys hartwigi)98. Within the Otomyini, individuals of two species were classified as “low altitude”, Otomys angoniensis from savanna and grassland habitats in mountain foothills in Southern and East Africa (600–1500 m) and O. auratus from grassland habitats on mid-slopes of the Drakensberg Mountains and Eastern Highlands of Zimbabwe in Southern Africa (100–2100 m), while individuals from three alpine moorland species were classified as “high altitude”, O. helleri from the Bale Mts of Ethiopia (3300 m), O. barbouri from Mt Elgon in Uganda (4100 m) and O. sloggetti, mostly restricted to alpine moorlands at 2500–3000 m in the South African and Lesotho Drakensberg-Maloti Mountains (Table 1)98.
Micro CT 3D scanning protocol and endocast reconstruction
Specimens housed at the DNMNH, those collected by McMaster University and some from MNHN were scanned at the South African Nuclear Energy Corporation (NECSA) tomography center, using the X-Tek (Metris) H225L industrial micro-XCT scanner. The remaining specimens from MNHN, were scanned with the Phoenix Nanotom 180 scanner from the FERMAT Federation at the Centre Inter-Universitaire de Recherche et d’Ingenierie des Materiaux (CIRIMAT) in the University of Toulouse Paul Sabatier. Their isometric voxel size ranged from 19–26 µm. Scanner settings of 100–130 kV and 100-180µA were used100 (see Supplementary Table S2 for more details).
For endocranium extraction and reconstruction, a specifically developed software for automatic virtual extraction of endocast "Endex" software101 (http://liris.cnrs.fr/gilles.gesquiere/wiki/doku.php?id¼endex) was used. Before importing data to Endex, the surface of the entire skull was generated without smoothing and saved in “obj” format in Avizo v8.0 (Supplementary Fig. S3; lateral images of crania shown in top left panel for examples of each genus). This was imported into Endex and converted to "point cloud". The point cloud was then opened in Endex and a sphere was inserted and positioned at the centre of the intracranial space. The sphere then underwent several phases of expansion until it approached as close as possible the internal surface of the bone. Once the deformation of the sphere was completed, its mesh was exported in “obj” format and then converted to “ply” format by MeshLab v1.3.2. The final step involved the refinement of the automatic segmentation by converting the surface of the endocrania into 2D slices under Avizo v8.0. with the use of "Scan Surface to Volume" module. These sections were then merged with the segmented bone sections with the module "Arithmetic", which allowed the correction of zones where the automatic segmentation has crossed closed regions (where bone is possibly thin). Because Endex was generated for hominin endocast reconstruction, its use on rodents was limited. The Endex sphere could not access some parts of the rodents’ endocranium. Therefore, the slices that were not accessed by the Endex sphere but still part of the endocranium were manually segmented in Avizo. In each slice, the endocranial cavity was coloured and attributed to the material representing the endocranium (Supplementary Fig. S3; endocranial cavities shown in red within surrounding cranial tissue in lateral views for examples of each genus). Dorsal, ventral and lateral views of the complete, extracted 3D endocrania are shown in Supplementary Fig. S3.
Phylogenetic sampling and analysis
Cytochrome b sequences used were downloaded from GenBank and one sequence per species was used. The sequences were first aligned with CLUSTALW and a phylogram tree based on the maximum composite likelihood method102 was generated using MEGA7103 software, with an assumption that all the species have been identified correctly104. A neighbour-joining phylogenetic tree105 was generated (Fig. S1). The tree was used for phylogenetic correction among our samples (see Fig. 1) using Phylogenetic Generalized Least Squares (PGLS) in R studio.
Estimation of endocranial volume (ECV), body mass and skull length
Measurements of ECV were computed from the unsmoothed 2D segmentation labels using the “Material statistics” module available on Avizo v8.0 (see Supplementary Fig. S3 for different views of the endocasts used to calculate ECV).
The greatest skull length (in mm) was calculated from dorsal views of each 3D cranial image in Avizo v8.0, taken in a straight line from the anterior midpoint of the nasal bone to the posterior-most mid-dorsal surface of the occipital bone. Mean body masses (g) were obtained for each species from the literature71,72. The raw data for ECV and skull length are shown in Table S1 (n = 113).
Statistical analyses
Residuals of ECV from Analysis of Covariance (ANCOVA) models were tested for normality in three samples comprising Peromyscus (n = 53), Otomyini (n = 49) and Praomyini (n = 11), by using the Shapiro-Wilks test. In all cases, distributions conformed to normality. We used the R ‘Geiger’ and ‘phytools’ packages for phylogenetic bivariate linear regression (PGLS) and non-phylogenetic least squares regressions (GLS) of mean species values for ECV against both body mass and skull length to account for phylogeny and allometry (R4.2.2, R Development Core Team, 2022). To assess inter-species allometric trends across murid and cricetid rodents in ECV, we conducted PGLS and GLS on mean species values of ECV versus body mass (calculated for species means from the literature) and skull length (calculated from greatest skull lengths obtained for cranial images in Avizo; see above) in the eleven rodent species (n = 113, Table 1, Table S1). For further intraspecific analysis, we used skull length as opposed to body mass since a) interspecific regressions gave stronger correlations with ECV for skull length compared to body mass, and b) previous studies showed that body and/or skull length were better predictors of body size than body mass in mouse-related rodents69. To examine the effects of allometry and elevation on ECV at a finer taxonomic scale, in each of the three clades (Peromyscus, Otomyini and Praomyini), we used Analysis of Co-variance (ANCOVA) using both PAST106 and the R packages ’emmeans’, ‘rstatix’, ‘car’ and ‘ggpubr’, with skull length as covariate, ECV as the response variable and elevation as the group variable. In all cases, the slopes of EVC versus skull length in high versus low elevation populations were homogeneous, allowing meaningful comparisons of adjusted mean ECV in high and low populations of each taxon-sample (see Results). All plots were computed using the R packages “ggplot2” and “ggpubr”. The R-script and data input are contained in the Supplementary Information.
Supplementary Information
Acknowledgements
We are grateful to museum curators at the Ditsong National Museum of Natural History, Pretoria (Dr Teresa Kearney) and Museum National d’Histoire Naturelle, Paris (Prof. Christiane Denys), for allowing access to their collections. We also thank L. Bam, K. Hoffman (NECSA, Pretoria) and B. Duployer (CIRIMAT, Toulouse) for tomographic micro-X-ray acquisitions. We would like to thank Prof Jose Braga and Dr Jean Dumoncel from the University of Toulouse III—Paul Sabatier where Dr Nengovhela completed her PhD. This research has been supported by the Erasmus Mundus Programme (AESOP+ project) and National Research Foundation of South Africa (NRF). We acknowledge the NRF, Department of Science and Technology (DST) of South Africa, and the French research federation FERMaT for providing micro-X-ray tomography facilities. The NRF and the DST are acknowledged for their support of the SARCHI Chair on Biodiversity Value and Change hosted by the University of Venda and co-hosted by the Centre for Invasion Biology at Stellenbosch University.
Author contributions
A.N., and P.J.T Designed the study; A.N. Performed research; A.N., and P.J.T. Analyzed data; A.N. drafted the paper; all authors contributed to the critical discussion of the results, commented, reviewed, and approved the final manuscript.
Data availability
The raw data for skull lengths and endocranial volumes are provided in Supplementary Table S1. The R-script used in this study, is provided as Supplementary File S6 (R Studio script). The 3D reconstructed image stacks of skulls are uploaded to MorphoSource (https://www.morphosource.org/dashboard/my/media?locale=en).
Competing interests
The authors declare no competing interests.
Footnotes
Publisher's note
Springer Nature remains neutral with regard to jurisdictional claims in published maps and institutional affiliations.
Supplementary Information
The online version contains supplementary material available at 10.1038/s41598-023-32498-4.
References
- 1.Reader SM, Laland KN. Social intelligence, innovation, and enhanced brain size in primates. Proc. Natl. Acad. Sci. USA. 2002;99:4436–4441. doi: 10.1073/pnas.062041299. [DOI] [PMC free article] [PubMed] [Google Scholar]
- 2.Byrne RW, Corp N. Neocortex size predicts deception rate in primates. Proc. Biol. Sci. 2004;271:1693–1699. doi: 10.1098/rspb.2004.2780. [DOI] [PMC free article] [PubMed] [Google Scholar]
- 3.Sol D, Bacher S, Reader SM, Lefebvre L. Brain size predicts the success of mammal species introduced into novel environments. Am. Nat. 2008;172:S63–S71. doi: 10.1086/588304. [DOI] [PubMed] [Google Scholar]
- 4.Møller AP. Successful city dwellers: a comparative study of the ecological characteristics of urban birds in the Western Palearctic. Oecologia. 2009;159:849–858. doi: 10.1007/s00442-008-1259-8. [DOI] [PubMed] [Google Scholar]
- 5.Jerison H. The evolution of the brain and intelligence. Academic; 1973. [Google Scholar]
- 6.Sacher GE, Stafeldt EF. Relation of gestation time and brain weight of placental mammals: implications for the theory of vertebrate growth. Am. Nat. 1974;5:593–615. doi: 10.1086/282938. [DOI] [Google Scholar]
- 7.Eisenberg JP, Wilson DE. Relative brain size and feeding strategies in the Chiroptera. Evolution. 1978;32:740–751. doi: 10.2307/2407489. [DOI] [PubMed] [Google Scholar]
- 8.Clutton-Brock TH, Harvey PH. Primates brains and ecology. J. Zool. Lond. 1980;190:309–324. doi: 10.1111/j.1469-7998.1980.tb01430.x. [DOI] [Google Scholar]
- 9.Eisenberg JF, Wilson DE. Relative brain size and demographic strategies in the didelphid marsupials. Am. Nat. 1981;118:1–15. doi: 10.1086/283796. [DOI] [Google Scholar]
- 10.Harvey PH, Bennett PM. Brain size, energetics, ecology and life history patterns. Nature. 1983;306:314–315. doi: 10.1038/306314a0. [DOI] [PubMed] [Google Scholar]
- 11.Hoffman MA. Evolution of the brain in neonatal and adult placental mammals: A theoretical approach. J. Theor. Biol. 1983;105:317–322. doi: 10.1016/S0022-5193(83)80011-3. [DOI] [PubMed] [Google Scholar]
- 12.Sheppey, K. & Bernard, R. T. F. Relative brain size in the mammalian carnivores of the Cape Province of South Africa. S. Afr. J. Zool. 19, 305–308 (1984).
- 13.Gittleman JL. Carnivore brain size, behavioral ecology and phylogeny. J. Mammal. 1986;67:23–36. doi: 10.2307/1380998. [DOI] [Google Scholar]
- 14.Bernard RTF, Paton J, Sheppey K. Relative brain size and morphology of some South African bats. S. Afr. J Zool. 1988;23:52–58. [Google Scholar]
- 15.O'shea BT, Reep RL. Encephalization quotients and life history traits in the Sirenia. J. Mammal. 1990;71:534–543. doi: 10.2307/1381792. [DOI] [Google Scholar]
- 16.Pagel MD, Harvey PH. Diversity in the brain size of newborn mammals. Bioscience. 1990;40:116–122. doi: 10.2307/1311344. [DOI] [Google Scholar]
- 17.Joffe TH, Dunbar RIM. Visual and socio-cognitive information processing in primate brain evolution. Proc. Biol. Sci. 1997;264:1303–1307. doi: 10.1098/rspb.1997.0180. [DOI] [PMC free article] [PubMed] [Google Scholar]
- 18.Barton RA. Visual specialization and brain evolution in primates. Proc. Biol. Sci. 1998;265:1933–1937. doi: 10.1098/rspb.1998.0523. [DOI] [PMC free article] [PubMed] [Google Scholar]
- 19.Isler K, van Schaik CP. Metabolic costs of brain size evolution. Biol. Lett. 2006;2:557–560. doi: 10.1098/rsbl.2006.0538. [DOI] [PMC free article] [PubMed] [Google Scholar]
- 20.Sobrero R, May-Collado LJ, Agnarsson I, Hernández CE. Expensive brains: “Brainy” rodents have higher metabolic rate. Front. Evol. Neurosci. 2011;3:2. doi: 10.3389/fnevo.2011.00002. [DOI] [PMC free article] [PubMed] [Google Scholar]
- 21.Van Schaik CP, Deaner RO. Life history and cognitive evolution in primates. In: De Waal FBM, Tyack PL, editors. Animal Social Complexity (Cambridge. Harvard University Press; 2003. pp. 5–25. [Google Scholar]
- 22.Dunbar RIM, Shultz S. Understanding primate brain evolution. Philos. Trans. R. Soc. Lond. B Biol. Sci. 2007;352:649–658. doi: 10.1098/rstb.2006.2001. [DOI] [PMC free article] [PubMed] [Google Scholar]
- 23.Sol D. Revisiting the cognitive buffer hypothesis for the evolution of large brains. Biol. Lett. 2009;5:130–133. doi: 10.1098/rsbl.2008.0621. [DOI] [PMC free article] [PubMed] [Google Scholar]
- 24.Pirlot P, Stephan H. Encephalization in Chiroptera. Can. J. Zool. 1970;48:433–444. doi: 10.1139/z70-075. [DOI] [Google Scholar]
- 25.Mace GM, Harvey PH, Clutton-Brock TH. Brain size and ecology in small mammals. J. Zool. 1981;193:333–354. doi: 10.1111/j.1469-7998.1981.tb03449.x. [DOI] [PMC free article] [PubMed] [Google Scholar]
- 26.Kotrschal A, et al. Brain size affects female but not male survival under predation threat. Ecol. Lett. 2015;18:646–652. doi: 10.1111/ele.12441. [DOI] [PMC free article] [PubMed] [Google Scholar]
- 27.Sacher, G. A. Maturation and longevity in relation to cranial capacity in hominid evolution. Pp. 417–441 In R. Tuttle, ed. Primate functional morphology and evolution (Mouton, 1975).
- 28.Aiello L, Wheeler P. The expensive tissue hypothesis: the brain and the digestive system in human and primate evolution. Curr. Anthropol. 1995;36:199–221. doi: 10.1086/204350. [DOI] [Google Scholar]
- 29.Krubitzer L, Campi KL, Cooke DF. All rodents are not the same: a modern synthesis of cortical organization. Brain. Behav. Evol. 2011;78:51–93. doi: 10.1159/000327320. [DOI] [PMC free article] [PubMed] [Google Scholar]
- 30.Bertrand OC, Amador-Mughal F, Lang M, Silcox MT. Virtual endocasts of fossil Sciuroidea: Brain size reduction in the evolution of fossoriality. PalAss. 2018;6:919–948. [Google Scholar]
- 31.Bertrand OC, San Martin Flores G, Silcox MT. Endocranial shape variation in the squirrel-related clade and their fossil relatives using 3D geometric morphometrics: Contributions of locomotion and phylogeny to brain shape. J. Zool. 2019;308:197–211. doi: 10.1111/jzo.12665. [DOI] [Google Scholar]
- 32.Bertrand OC, Püschel HP, Schwab JA, Silcox MT, Brusatte SL. The impact of locomotion on the brain evolution of squirrels and close relatives. Commun. Biol. 2021;4:1–15. doi: 10.1038/s42003-021-01887-8. [DOI] [PMC free article] [PubMed] [Google Scholar]
- 33.Landry SO., Jr The rodentia as omnivores. Q. Rev. Biol. 1970;45:351–372. doi: 10.1086/406647. [DOI] [PubMed] [Google Scholar]
- 34.Pizzimenti JJ, Salle R. Dietary and morphometric variation in some Peruvian rodent communities: The effect of feeding strategy on evolution. Biol. J. Linnean. Soc. 1980;13:263–285. doi: 10.1111/j.1095-8312.1980.tb00087.x. [DOI] [Google Scholar]
- 35.Cork SJ, Kenagy GJ. Nutritional value of hypogeous fungus for a forest-dwelling ground squirrel. Ecology. 1989;70:577–586. doi: 10.2307/1940209. [DOI] [Google Scholar]
- 36.Lang MM, et al. Scaling patterns of cerebellar petrosal lobules in Euarchontoglires: Impacts of ecology and phylogeny. Anat. Rec. 2022;305:3472–3503. doi: 10.1002/ar.24929. [DOI] [PubMed] [Google Scholar]
- 37.Bertrand OC, Amador-Mughal F, Silcox MT. Virtual endocasts of Eocene Paramys (Paramyinae): oldest endocranial record for Rodentia and early brain evolution in Euarchontoglires. Proc. R. Soc. B. 2016;283:1–8. doi: 10.1098/rspb.2015.2316. [DOI] [PMC free article] [PubMed] [Google Scholar]
- 38.Bertrand OC, Amador-Mughal F, Lang M, Silcox MT. New virtual endocasts of Eocene Ischyromyidae and their relevance in evaluating neurological changes occurring through time in Rodentia. J. Mammal. Evol. 2019;26:345–371. doi: 10.1007/s10914-017-9425-6. [DOI] [Google Scholar]
- 39.Bertrand OC, Amador-Mughal F, Silcox MT. Virtual endocast of the early Oligocene Cedromus wilsoni (Cedromurinae) and brain evolution in squirrels. J. Anat. 2017;230:128–151. doi: 10.1111/joa.12537. [DOI] [PMC free article] [PubMed] [Google Scholar]
- 40.Ferreira, J. D., Dozo, M. T., de Moura Bubadué, J. & Kerber, L. Morphology and postnatal ontogeny of the cranial endocast and paranasal sinuses of capybara (Hydrochoerus hydrochaeris), the largest living rodent. J. Morphol.283, 66–90 (2022). [DOI] [PubMed]
- 41.Ferreira JD, Negri FR, Sánchez-Villagra MR, Kerber L. Small within the largest: brain size and anatomy of the extinct Neoepiblema acreensis, a giant rodent from the Neotropics. Biol. Lett. 2020;16:20190914. doi: 10.1098/rsbl.2019.0914. [DOI] [Google Scholar]
- 42.Fabre, P. H., Hautier, L. & Douzery, E. J. P. A synopsis of rodent molecular phylogenetics, systematics and biogeography. In Evolution of the Rodents: advances in phylogeny, functional morphology and development, (eds Hautier, L. & Cox, P. G.) 19–69 (Cambridge University Press, Cambridge, 2015).
- 43.Stephan H, Dieterlen F. Relative brain size in Muridae with special reference to Colomys goslingi. Z. Säugetierkd. 1982;47:38–47. [Google Scholar]
- 44.Hafner MS, Hafner JC. Brain size, adaptation and heterochrony in Geomyoid rodents. Evolution. 1984;38:1088–1098. doi: 10.2307/2408442. [DOI] [PubMed] [Google Scholar]
- 45.Nevo E, Pirlot P, Beiles A. Brain size diversity in adaptation and speciation of subterranean mole rats. J. Zool. Syst. Evol. Res. 1988;26:467–479. doi: 10.1111/j.1439-0469.1988.tb00331.x. [DOI] [Google Scholar]
- 46.Bernard RTF, Nurton J. Ecological correlates of relative brain size in some South African rodents. S. Afr. J Zool. 1993;28:95–98. [Google Scholar]
- 47.Monadjem A. Relative brain size of some southern African myomorph rodents. S. Afr. J. Zool. 1998;33:47–49. [Google Scholar]
- 48.Vassallo AI, Echeverría AI. Evolution of brain size in a highly diversifying lineage of subterranean rodent genus Ctenomys (Caviomorpha: Ctenomyidae) Brain. Behav. Evol. 2009;73:138–149. doi: 10.1159/000218738. [DOI] [PubMed] [Google Scholar]
- 49.Snell-Rood EC, Wick N. Anthropogenic environments exert variable selection on cranial capacity in mammals. Proc. R. Soc. B. 2013;280:20131384–20131384. doi: 10.1098/rspb.2013.1384. [DOI] [PMC free article] [PubMed] [Google Scholar]
- 50.Kverková K, et al. Sociality does not drive the evolution of large brains in eusocial African mole-rats. Sci. Rep. 2018;8:9203. doi: 10.1038/s41598-018-26062-8. [DOI] [PMC free article] [PubMed] [Google Scholar]
- 51.Neves, C. N. & Pillay, N. Variation in brain volume in nine populations and three taxa of the African striped mouse Rhabdomys. J. Morphol.283, 618–636 (2022). [DOI] [PubMed]
- 52.Neves CN, Pillay N. Sociability, but not spatial memory, is correlated with regional brain volume variation in the striped mouse Rhabdomys spp. Behav. Brain. Res. 2022;417:113567. doi: 10.1016/j.bbr.2021.113567. [DOI] [PubMed] [Google Scholar]
- 53.Storz, J. F, Scott, G. R. & Cheviron, Z. A. Phenotypic plasticity and genetic adaptation to high-altitude hypoxia in vertebrates. J. Exp. Biol. 213, 4125–4136 (2010). [DOI] [PMC free article] [PubMed]
- 54.Le Maître JF, Ramm SA, Barton RA, Stockley P. Sperm competition and brain size evolution in mammals. J. Evol. Biol. 2009;22:2215–2221. doi: 10.1111/j.1420-9101.2009.01837.x. [DOI] [PubMed] [Google Scholar]
- 55.Wilson MH, Wright A, Imray CH. Intracranial pressure at altitude. High. Alt. Med. Biol. 2014;15:123–132. doi: 10.1089/ham.2013.1151. [DOI] [PubMed] [Google Scholar]
- 56.Sayol F, et al. Environmental variation and the evolution of large brains in birds. Nat. Commun. 2016;7:13971. doi: 10.1038/ncomms13971. [DOI] [PMC free article] [PubMed] [Google Scholar]
- 57.Pravosudov VV, Clayton NS. A test of the adaptive specialization hypothesis: population differences in caching, memory, and the hippocampus in black-capped chickadees (Poecile atricapilla) Behav. Neurosci. 2002;116:515–522. doi: 10.1037/0735-7044.116.4.515. [DOI] [PubMed] [Google Scholar]
- 58.Scott GR, Meir JU, Hawkes LA, Frappell PB, Milsom WK. Point: high altitude is for the birds! J. Appl. Physiol. 2011;111:1514–1515. doi: 10.1152/japplphysiol.00821.2011. [DOI] [PubMed] [Google Scholar]
- 59.Yao Z, Qi Y, Yue B, Fu J. Brain size variation along altitudinal gradients in the Asiatic Toad (Bufo gargarizans) Ecol. Evol. 2021;11:3015–3027. doi: 10.1002/ece3.7192. [DOI] [PMC free article] [PubMed] [Google Scholar]
- 60.Vincze O. Light enough to travel or wise enough to stay? Brain size evolution and migratory behavior in birds. Evolution. 2016;70:2123–2133. doi: 10.1111/evo.13012. [DOI] [PubMed] [Google Scholar]
- 61.Ash J, Gallup GG. Paleoclimatic variation and brain expansion during human evolution. Hum. Nat. 2007;18:109–124. doi: 10.1007/s12110-007-9015-z. [DOI] [PubMed] [Google Scholar]
- 62.Naya DE, Naya H, Lessa EP. Brain size and thermoregulation during the evolution of the genus Homo. Comp. Biochem. Physiol. A. Mol. Integr. Physiol. 2016;191:66–73. doi: 10.1016/j.cbpa.2015.09.017. [DOI] [PubMed] [Google Scholar]
- 63.Storz JF, Scott GR. Life ascending: mechanism and process in physiological adaptation to high-altitude hypoxia. Annu. Rev. Ecol. Evol. Syst. 2019;50:503–526. doi: 10.1146/annurev-ecolsys-110218-025014. [DOI] [PMC free article] [PubMed] [Google Scholar]
- 64.Scott GR, Elogio TS, Lui MA, Storz JF, Cheviron ZA. Adaptive modifications of muscle phenotype in high-altitude deer mice are associated with evolved changes in gene regulation. Mol. Biol. Evol. 2015;32:1962–1976. doi: 10.1093/molbev/msv076. [DOI] [PMC free article] [PubMed] [Google Scholar]
- 65.Iwaniuk AN, Nelson JE. Can endocranial volume be used as an estimate of brain size in birds? Can. J. Zool. 2002;80:16–23. doi: 10.1139/z01-204. [DOI] [Google Scholar]
- 66.Isler K, et al. Endocranial volumes of primate species: scaling analyses using a comprehensive and reliable data set. J. Hum. Evol. 2008;55:967–978. doi: 10.1016/j.jhevol.2008.08.004. [DOI] [PubMed] [Google Scholar]
- 67.White F. The vegetation of Africa: a descriptive memoir to accompany the UNESCO/AETFAT/UNSO vegetation map of Africa (Natural Resources Research 20) UNESCO; 1983. [Google Scholar]
- 68.Howard E, Granoff DM. Effect of neonatal food restriction in mice on brain growth, DNA and cholesterol, and on adult delayed response learning. J. Nutr. 1968;95:111–121. doi: 10.1093/jn/95.1.111. [DOI] [PubMed] [Google Scholar]
- 69.Towe, A. L. & Mann, M. D. Brain size/body length relations among myomorph rodents. Brain, Behav. Evol. 39, 17–23 (1990). [DOI] [PubMed]
- 70.Pilleri, G., Gihr, M. & Kraus, C. Cephalization in rodents with particular reference to the Canadian beaver (Castor canadensis). Pp. 11–102 In G. Pilleri, ed. Investigations on Beavers. Institute of Brain Anatomy (University of Berne, 1984).
- 71.Nengovhela, A., Denys, C. & Taylor, P. J. Life history and habitat do not mediate temporal changes in body size due to climate warming in rodents. PeerJ. 8, e9792 (2020). [DOI] [PMC free article] [PubMed]
- 72.Happold DCD, editor. Mammals of Africa: Bloomsbury Publishing; 2013. [Google Scholar]
- 73.Kotrschal A, et al. Artificial selection on relative brain size in the guppy reveals costs and benefits of evolving a larger brain. Curr. Biol. 2013;23:168–171. doi: 10.1016/j.cub.2012.11.058. [DOI] [PMC free article] [PubMed] [Google Scholar]
- 74.Mink JW, Blumenschine RJ, Adams DB. Ratio of central nervous system to body metabolism in vertebrates: Its constancy and functional basis. Am. J. Physiol. 1981;241:R203–R212. doi: 10.1152/ajpregu.1981.241.3.R203. [DOI] [PubMed] [Google Scholar]
- 75.Striedter GF. Principles of Brain Evolution. Sinauer Associates; 2005. [Google Scholar]
- 76.Huang CH, Yu X, Liao WB. The expensive-tissue hypothesis in vertebrates: gut microbiota effect, a review. Int. J. Mol. Sci. 2018;19:1792. doi: 10.3390/ijms19061792. [DOI] [PMC free article] [PubMed] [Google Scholar]
- 77.Warren DL, Iglesias TL. No evidence for the ‘expensive-tissue hypothesis’ from an intraspecific study in a highly variable species. J. Evol. Biol. 2012;25:1226–1231. doi: 10.1111/j.1420-9101.2012.02503.x. [DOI] [PubMed] [Google Scholar]
- 78.Pitnick S, Jones KE, Wilkinson GS. Mating system and brain size in bats. Proc. R. Soc. B. 2006;273:719–724. doi: 10.1098/rspb.2005.3367. [DOI] [PMC free article] [PubMed] [Google Scholar]
- 79.Jiang, Y. et al. Brain size evolution in small mammals: test of the expensive tissue hypothesis. Mammalia. 85, 455–461.
- 80.Tate KB, et al. Circulatory mechanisms underlying adaptive increases in thermogenic capacity in high-altitude deer mice. J. Exp. Biol. 2017;220:3616–3620. doi: 10.1242/jeb.164491. [DOI] [PMC free article] [PubMed] [Google Scholar]
- 81.Hammond KA, Roth J, Janes DN, Dohm MR. Morphological and physiological responses to altitude in deer mouse (Peromyscus maniculatus) Physiol. Biochem. Zool. 1999;75:613–622. doi: 10.1086/316697. [DOI] [PubMed] [Google Scholar]
- 82.Hammond KA, Szewczak J, Król E. Effects of altitude and temperature on organ phenotypic plasticity along an altitudinal gradient. J. Exp. Biol. 2001;204:991–2000. doi: 10.1242/jeb.204.11.1991. [DOI] [PubMed] [Google Scholar]
- 83.West CM, Ivy CM, Husnudinov R, Scott GR. Evolution and developmental plasticity of lung structure in high-altitude deer mice. J. Comp. Physiol. B. 2021;191:385–396. doi: 10.1007/s00360-021-01343-3. [DOI] [PubMed] [Google Scholar]
- 84.MacInnis MJ, et al. A prospective epidemiological study of acute mountain sickness in Nepalese pilgrims ascending to high altitude (4380 m) PLoS ONE. 2013;8:e75644. doi: 10.1371/journal.pone.0075644. [DOI] [PMC free article] [PubMed] [Google Scholar]
- 85.Muthuraju S, Pati S. Effect of hypobaric hypoxia on cognitive functions and potential therapeutic agents. Malays. J. Med. Sci. 2014;21:41–45. [PMC free article] [PubMed] [Google Scholar]
- 86.Jayalakshmi K, et al. N-acetyl cysteine supplementation prevents impairment of spatial working memory functions in rats following exposure to hypobaric hypoxia. Physiol. Behav. 2007;92:643–650. doi: 10.1016/j.physbeh.2007.05.051. [DOI] [PubMed] [Google Scholar]
- 87.Wagenführ L, Meyer AK, Braunschweig L, Marrone L, Storch A. Brain oxygen tension controls the expansion of outer subventricular zone-like basal progenitors in the developing mouse brain. Development. 2015;142:2904–2915. doi: 10.1242/dev.121939. [DOI] [PubMed] [Google Scholar]
- 88.Levins, R. Evolution in Changing Environments. (Princeton University Press, 1968).
- 89.Conover DO, Schultz ET. Phenotypic similarity and the evolutionary significance of countergradient variation. Trends. Ecol. Evol. 1995;10:248–252. doi: 10.1016/S0169-5347(00)89081-3. [DOI] [PubMed] [Google Scholar]
- 90.Ghalambor CK, McKay JK, Carroll SP, Reznick DN. Adaptive versus non-adaptive phenotypic plasticity and the potential for contemporary adaptation in new environments. Funct. Ecol. 2007;21:394–407. doi: 10.1111/j.1365-2435.2007.01283.x. [DOI] [Google Scholar]
- 91.Robertson, C. E. & McClelland, G. B. Evolved changes in maternal care in high-altitude native deer mice. J. Exp. Biol. 224, jeb235218 (2021). [DOI] [PubMed]
- 92.McNab, B. K. & Eisenberg, J. F. (1989). Brain size and its relation to the rate of metabolism in mammals. Am. Nat. 133, 157–167 (1989).
- 93.Mace GM, Eisenberg JF. Competition, niche specialization and the evolution of brain size in the genus Peromyscus. Biol. J. Linnean Soc. 1982;17:243–257. doi: 10.1111/j.1095-8312.1982.tb02019.x. [DOI] [Google Scholar]
- 94.Meier PT. Relative brain size within the North American Sciuridae. J. Mammal. 1983;64:642–647. doi: 10.2307/1380520. [DOI] [Google Scholar]
- 95.González-Lagos C, Sol D, Reader SM. Large-brained mammals live longer. J. Evol. Biol. 2010;23:1064–1074. doi: 10.1111/j.1420-9101.2010.01976.x. [DOI] [PubMed] [Google Scholar]
- 96.Ivy, C. M. et al. Ontogenesis of evolved changes in respiratory physiology in deer mice native to high altitude. J. Exp. Biol. 223, jeb219360 (2020). [DOI] [PMC free article] [PubMed]
- 97.Schweizer RM, et al. Physiological and genomic evidence that selection on the transcription factor Epas1 has altered cardiovascular function in high-altitude deer mice. PLoS Genet. 2019;15:e1008420. doi: 10.1371/journal.pgen.1008420. [DOI] [PMC free article] [PubMed] [Google Scholar]
- 98.Monadjem A, Taylor PJ, Denys C, Cotterill FPD. Rodents of Sub-Saharan Africa: A biogeographic and taxonomic synthesis. De Gruyter; 2015. [Google Scholar]
- 99.Taylor PJ, Meester J, Kearney T. The taxonomic status of Saunder's vlei rat, Otomys saundersiae Roberts (Rodentia: Muridae: Otomyinae) J. Afr. Zool. 1993;107:571–596. [Google Scholar]
- 100.Nengovhela A, et al. Associated tympanic bullar and cochlear hypertrophy define adaptations to true deserts in African gerbils and laminate-toothed rats (Muridae: Gerbillinae and Murinae) J. Anat. 2019;234:179–192. doi: 10.1111/joa.12906. [DOI] [PMC free article] [PubMed] [Google Scholar]
- 101.Subsol G, Gesquière G, Braga J, Thackeray F. 3D automatic methods to segment "virtual" endocasts: State of the art and future directions. Am. J. Phys. Anthropol. 2010;141:226–227. [Google Scholar]
- 102.Tamura K, Nei M, Kumar S. Prospects for inferring very large phylogenies by using the neighbour-joining method. Proc. Natl. Acad. Sci. USA. 2004;101:11030–11035. doi: 10.1073/pnas.0404206101. [DOI] [PMC free article] [PubMed] [Google Scholar]
- 103.Kumar, S., Stecher, G. & Tamura, K. MEGA7: molecular evolutionary genetics analysis version 7.0 for bigger datasets. Mol. Biol. Evol. 33, 1870–1874 (2016). [DOI] [PMC free article] [PubMed]
- 104.Alhajeri BH, Hunt OJ, Steppan SJ. Molecular systematics of gerbils and deomyines (Rodentia: Gerbillinae, Deomyinae) and a test of desert adaptation in the tympanic bulla. J. Zoolog. Syst. Evol. 2015;53:312–330. doi: 10.1111/jzs.12102. [DOI] [Google Scholar]
- 105.Saitou N, Nei M. The neighbor-joining method: A new method for reconstructing phylogenetic trees. Mol. Biol. Evol. 1987;4:406–425. doi: 10.1093/oxfordjournals.molbev.a040454. [DOI] [PubMed] [Google Scholar]
- 106.Hammer Ø, Harper DAT, Ryan PD. PAST: Paleontological statistics software package for education and data analysis. Palaeontol. Electron. 2001;4:9. [Google Scholar]
Associated Data
This section collects any data citations, data availability statements, or supplementary materials included in this article.
Supplementary Materials
Data Availability Statement
The raw data for skull lengths and endocranial volumes are provided in Supplementary Table S1. The R-script used in this study, is provided as Supplementary File S6 (R Studio script). The 3D reconstructed image stacks of skulls are uploaded to MorphoSource (https://www.morphosource.org/dashboard/my/media?locale=en).



