Abstract
Schedule thinning is a necessary treatment procedure following the acquisition of a communication response during functional communication training. In this article, we update and extend the Hagopian et al. Behavior Analysis in Practice, 4, 4–16, (2011) review and recommendations on schedule-thinning procedures following functional communication training. Since their publication, substantial research has been published on the efficacy, efficiency, and social validity of schedule-thinning methods. We provide updated recommendations for schedule thinning based on contemporary literature that has been published since 2011, as well as discuss key areas for future research.
Keywords: Schedule thinning, Problem behavior, Functional communication training, Clinical recommendations, Research-to-practice gap
Functional communication training (FCT) is one of the most common and effective behavioral interventions for problem behavior (Wu et al., 2022). Functional communication training is a differential reinforcement of alternative (DRA) behavior-based procedure that involves explicitly teaching an individual to emit a functional communication response (FCR) to obtain a functional reinforcer while minimizing reinforcement for problem behavior (Vollmer et al., 2020). When possible, problem behavior should be placed on extinction during FCT given this results in greater reductions, relative to when extinction is not programmed (Hagopian et al., 1998; see Reichle & Wacker, 2017). For example, a child might engage in aggression to access attention from a caregiver. During FCT, the child would be taught to emit the FCR (e.g., touching “help please” on a communication device) using least-to-most prompting to access attention, while attention is minimized for aggression (Tiger et al., 2008). FCT is typically first implemented with a dense, continuous schedule of reinforcement for the FCR (Tiger et al., 2008). The use of a dense, continuous schedule leads to a rapid acquisition of the FCR and clinically significant reduction of problem behavior (e.g., 80% reduction from baseline, a common clinical benchmark; Greer et al., 2016a; Rooker et al., 2013). Indeed, FCT has been demonstrated to be efficacious across a variety of topographies of problem behavior, functions, and across individuals with and without disabilities (see Kurtz et al., 2011).
Although seemingly necessary at the initiation of FCT, the use of continuous schedules of reinforcement for the FCR can be difficult to implement outside the clinic (e.g., when implemented by caregivers at home; Volkert et al., 2009; Zarcone et al., 2016). Therefore, clinicians conduct reinforcement schedule thinning (hereafter “schedule thinning”) to make implementation of FCT more feasible (Hagopian et al., 1998; see Muharib et al., 2019 for a review). Hagopian et al. (2011) broadly defined schedule thinning following FCT as, “altering the reinforcement schedule, usually in a systematic and progressive manner across multiple sessions, until some terminal schedule, judged to be practical for care providers to implement, is reached” (p. 5). Put simply, schedule thinning entails the systematic reduction in how much of or how frequently the reinforcer is provided for the FCR. Table 1 contains a list of terms relevant to schedule thinning. Hagopian et al. (2011) described delay (i.e., dense-to-lean), chained (i.e., demand fading), and multiple-schedule approaches, as well as the strengths and limitations of these approaches. They also discussed supplemental procedures, such as response restriction. Finally, they provided several practice recommendations for how clinicians might select a schedule-thinning approach and sustain low levels of problem behavior, which collaterally increases the ease with which treatment can be implemented.
Table 1.
Schedule thinning terms
| Term | Definition/Explanation | Example |
|---|---|---|
| Approach | An overall method for conducting schedule thinning. | Conducting schedule thinning using multiple schedules to signal periods of reinforcer availability and unavailability. |
|
Behavioral Momentum Theory-Informed Schedule Thinning |
Modifying and reducing the amount of reinforcement provided for a communication response and increasing the amount of time problem behavior spends contacting extinction before initiation of schedule thinning. | Using an interval-based, lean schedule of reinforcement for a communication response and exposing problem behavior to extinction for 10 min rather than 5 min. |
| Dense-to-Lean Schedule Thinning | Progressively increasing the period of unavailability of reinforcement for the alternative response during schedule thinning while maintaining a sustained reduction in problem behavior. | Starting schedule thinning with 30 s of unavailability of reinforcement for the alternative response, then increasing to 1 min of unavailability after three sessions at 30 s with sustained reduction in problem behavior. |
| Effectiveness | How well a schedule thinning method sustains reduction of problem behavior at the terminal schedule and in the face of omission errors. | After dense-to-lean schedule thinning, problem behavior has an 80% reduction from baseline. |
| Efficiency | How many sessions are required during a given schedule thinning method to reach the terminal schedule. | During terminal-probe schedule thinning, nine sessions were required to reach the terminal schedule. |
| Fixed-Lean Schedule Thinning | Implementing schedule thinning with only the terminal schedule from the outset rather than progressively increasing the time of unavailability. | Using 9 min of unavailability of reinforcement for the alternative response during a 10-min session from the beginning of schedule thinning. |
| Functional Communication Response (FCR) | Also referred to as “appropriate” or “alternative” response or behavior. The behavior that results in provision of reinforcement during behavioral treatment rather than problem behavior. | Raising one’s hand to ask for attention. Touch or handing over a “break” card to ask for a break. Signing “more” to get more juice. |
| Pacing | How one progresses and proceeds through schedule thinning and its steps. | Moving from 1 min of reinforcer unavailability to 2 min of unavailability following three sessions with sustained reduction in problem behavior (i.e., dense-to-lean). |
| Resurgence as Choice-Informed Schedule Thinning | Systematically, slowly, and progressively reducing the amount of reinforcement available for an FCR in such a manner that is barely discriminable by the client in order to prevent resurgence of problem behavior. | Using an initial 10-s period of unavailability and increasing the period of unavailability by 2-to-5 s so as a reduction in problem behavior is sustained. |
| SD Period | Component of time in schedule thinning during which mands will be reinforced. | In a multiple schedule approach, 8 min of a session in which a green card is present signaling availability of reinforcement for mands. |
| S∆ Period | Component of time in schedule thinning during which mands will not be reinforced. | In a multiple schedule approach, 2 min of a session in which a red card is present signaling the unavailability of reinforcement for mands. |
| Step | A progression from one period of unavailability to a different period of unavailability. | Moving from 30 s of unavailability to 60 s of unavailability of reinforcement for the alternative response. |
| Terminal-Probe Schedule Thinning | Testing or “probing” the terminal schedule before conducting schedule thinning and identifying the initial problem behavior step based on latency to problem behavior during the probe. | Conducting one “probe” session at the terminal schedule (see below) before initiating schedule thinning. |
| Terminal Schedule | The last schedule of reinforcement during schedule thinning; the period of unavailability of reinforcement for the alternative response that will be used in the community. | In a 10-min session, reinforcement for appropriate behavior is unavailable for 9 min. |
More than a decade has passed since Hagopian et al. (2011) provided their recommendations and there has been a fair amount of schedule thinning research since then, much of which has focused on ways to make schedule thinning more efficient and durable (e.g., Brown et al., 2022a, b), as well as further evaluation of supplemental procedures such as incorporation of competing stimuli (e.g., Fuhrman et al., 2018) and alternative schedule-thinning procedures (e.g., Kranak & Falligant, 2022). Given the advancements in schedule thinning since the publication of Hagopian et al. (2011), updated recommendations are warranted. Thus, in the following sections, we briefly review some of the approaches and recommendations described by Hagopian et al. (2011) and provide updated recommendations and considerations based on contemporary schedule-thinning research that has occurred in the past 10 years. These updates are based on the authors prior engagement with this literature, which has been substantial. There may be other topics that have not been covered, but by our reading these are the major advances in schedule thinning in the period since Hagopian et al. (2011). We also describe some areas for future applied research on the topic.
Schedule-Thinning Approaches
Multiple Schedules
Specific to FCT, schedule thinning frequently involves delaying the delivery or availability of reinforcers through a multiple-schedule approach (see Muharib et al., 2021). In a multiple-schedule approach, periods of reinforcer availability (i.e., SD periods) and unavailability (i.e., S∆ periods) for the FCR alternate in order to bring the FCR under stimulus control, which ought to ensure the FCR occurs only when it is likely to produce reinforcement (e.g., Call et al., 2018). In other words, unlike a mixed schedule, a multiple-schedule approach has (at least) two signaled components indicating when the FCR will (i.e., the SD period) and will not (i.e., the S∆ period) produce reinforcement. During schedule thinning within a multiple-schedule approach, the SD period is in operation for majority of the time in early sessions. For example, in a 10-min session, the client might experience the SD component for 9 of the 10 min. During later sessions, however, the S∆ period should be in operation for majority of the session (e.g., 7 or 8 min of the 10-min session), assuming clinically significant reductions in problem behavior and acquisition of the FCR have been achieved.
Strengths and Limitations of A Multiple-Schedule Approach
As noted by Hagopian et al. (2011), following the successful use of a multiple-schedule approach, the FCR ought to come under stimulus control. This is highly advantageous, because it means there should be a sustained reduction in problem behavior while simultaneously reducing the overall rate of the FCR. Multiple-schedule approaches to schedule thinning can be particularly applicable in situations when problem behavior is maintained by social positive sources of reinforcement (i.e., attention or access to tangibles). A limitation to multiple-schedule approaches can be the use of seemingly unnaturalistic or contrived stimuli to ensure stimulus control and signal what schedule components are in effect (e.g., laminated index cards, lanyards; Saini et al., 2016). In an ideal situation, naturally occurring stimuli such as a caregiver cooking or preparing a meal, attending to the needs of a sibling, or talking to another individual would signal their attention is unavailable, for example. However, extant research indicates that naturally occurring stimuli might not readily or effectively serve as discriminative stimuli within a multiple schedule (Boyle et al., 2021; Shamlian et al., 2016). Thus, it is advantageous to incorporate contrived stimuli that the individual is unlikely to encounter in their everyday life to facilitate discrimination in a multiple schedule.
Example of a Multiple-Schedule Approach
Consider the following example of using a multiple-schedule approach to schedule thinning. A clinician is working with an individual who engages in aggression to access a toy. During FCT, the clinician places aggression on extinction and teaches the individual to touch a card as the FCR to access the toy. In conjunction with the card touch, the clinician also uses a laminated green (i.e., SD) and red (i.e., S∆) card on which the communication card is placed. When the green card is out, FCRs always result in the delivery of the toy. However, when the red card is out, card touches do not result in the delivery of the toy. Over time, the individual comes to associate the green card with the availability of the toy and the red card with the unavailability of the toy and emits the FCR only when the green card is present.
Chained Schedules
Schedule thinning can also involve a chained-schedule approach (i.e., demand fading) in which intervention agents increase the number of appropriate responses (i.e., completion of tasks or instructions) that must occur before reinforcers are provided (see Torelli & Pickren, 2022). After the response requirement is completed, an FCR is often required before reinforcement (i.e., a break) is delivered. In this sense, although the schedule of reinforcement is indeed being “thinned,” demand fading might also be conceptualized as a part of FCT or DRA broadly rather than a separate component. Like multiple schedules, chained schedules contain signaled components (i.e., SD and S∆ periods) and are therefore a discriminated schedule of reinforcement (unlike tandem schedules).
Strengths and Limitations of a Chained-Schedule Approach
As mentioned by Hagopian et al. (2011), a chained-schedule approach can be advantageous because individuals learn to complete tasks or follow instructions while also accessing breaks appropriately through the FCR. Chained-schedule approaches are ideal for individuals who engage in problem behavior maintained by negative reinforcement (i.e., problem behavior maintained by escape or avoidance). A limitation to the chained-schedule approach is that, if the individual requests a break before completing the work requirement, the request may not be honored, which could evoke problem behavior. Thus, ensuring the individual has ample opportunity to contact the reinforcement contingency for completing work demands or tasks is essential for this approach to schedule thinning to be effective.
Example of a Chained-Schedule Approach
Consider the following example of a chained-schedule approach to schedule thinning. A clinician is working with an individual who engages in yelling to escape math. Here, the clinician might teach the individual to vocally state, “break please,” rather than yell. At first, the individual can request a break at any time. Shortly thereafter, the clinician requires the individual to complete one math problem prior to emitting the FCR to earn a break. Over time, the clinician progressively increases the required number of math problems before the individual can request a break and access reinforcement. If the individual requests a break before completing the response requirement, the clinician might say, “good asking, but you have a few more problems and then you can have a break!” The individual would then be required to complete the remaining problems and then emit the FCR, after which a break would be provided.
Delay Schedules
As outlined by Hagopian et al. (2011), a delay-schedule approach to schedule thinning entails progressively increasing the delay between the FCR and delivery of the reinforcer. For example, following FCT the clinician may introduce a short 2-s delay between the FCR and delivery of the specified reinforcer, using a brief delay signal (e.g., vocally saying “wait”). This delay is systematically increased to the terminal delay schedule. An advantage to the delay schedule approach is that it simulates the natural environment in which an individual may request a reinforcer, but reinforcement is not always immediately available. However, a significant limitation of this approach is that it commonly results in the recurrence of problem behavior and degradation of the FCR during schedule thinning (Fisher et al., 2000; Hanley et al., 2001). In response to these known limitations, researchers have published a novel delay-schedule approach known as the probabilistic delay-tolerance approach (e.g., Hanley et al., 2014; Drifke et al., 2020; Ghaemmaghami et al., 2016; Jessel et al., 2018; Sumter et al., 2020).
Probabilistic Delay-Tolerance Approach
The probabilistic delay-tolerance approach is similar to the delay-schedule approach, with the exception that FCRs are intermittently reinforced. In particular, the probabilistic delay-tolerance approach consists of (1) probabilistically reinforcing some FCRs; (2) implementing extinction following remaining FCRs; (3) using naturalistic stimuli (e.g., vocal delay statement, instead of supplemental discriminative stimuli) to signal extinction intervals; and (4) teaching the individual to emit a tolerance response (e.g., “okay”), following the presentation of the naturalistic stimulus that signals extinction is in effect (e.g., “not right now”).
Using the probabilistic delay-tolerance approach, clinicians can arrange DRA contingencies during the delay interval such that reinforcement is delivered once the individual has completed a specified response requirement (e.g., completing homework or playing with toys; Hanley et al., 2014; Jessel et al., 2018). As an alternative, clinicians can program differential reinforcement of other (DRO) behavior contingencies such that reinforcement is delivered following the passage of time without problem behavior occurring during the delay interval (e.g., Brown et al., 2021; Jessel et al., 2018). Clinicians may also consider a time-based approach in which access to the reinforcer is provided following the passage of a predetermined interval of time (e.g., Brown et al., 2021; Drifke et al., 2020; Ghaemmaghami et al., 2016). Finally, in some cases, researchers have combined DRA and DRO contingencies during delay tolerance training (e.g., Ghaemmaghami et al., 2016). In comparing these approaches, Drifke et al. (2020) found DRA-based delays promoted greater levels of appropriate behavior and competed with problem behavior during delay intervals, relative to DRO-based delays. These findings are similar to those that have been found in the multiple schedule literature (see competing stimuli section below).
Strengths and Limitations of the Probabilistic Delay-Tolerance Approach
An advantage of this approach, similar to delay schedules, is that it simulates social situations in the natural environment and does not require the use of contrived discriminative stimuli. In addition, as outlined above, this approach can be used for individuals for whom problem behavior is maintained by either positive or negative social reinforcement. Similar to the limitations of using delay schedules, some studies have found this approach can result in degradation of the FCR as the delay increases, particularly with time- and DRO-based delay tolerance approaches (Brown et al., 2021; Brown & Nercesian, 2023; Drifke et al., 2020; Ghaemmaghami et al., 2016).
Example of the Probabilistic Delay-Tolerance Approach
A clinician is working with an individual whose problem behavior is maintained by attention. Prior to schedule thinning, the clinician teaches the individual to engage in a vocal FCR to access attention (e.g., “let’s play!”) and a tolerance response (e.g., a vocal-verbal response “okay”) following a delay statement. Following the acquisition of these responses, the clinician begins schedule thinning using a DRA-based probabilistic delay-tolerance approach. Using this approach, some FCRs contact immediate reinforcement on an intermittent schedule. The remaining FCRs result in the clinician emitting a delay statement (e.g., “great asking, but not right now”), the individual acknowledging this statement by saying “okay,” and then completing math problems during the delay. Over time, the clinician progressively increases the required number of math problems before providing access to the functional reinforcer. After completion of the required math problems, the clinician provides attention to the individual.
Schedule Thinning following Differential Reinforcement without Extinction
Several studies have shown that the extinction component of DRA and DRA-based procedures, including FCT, is critical to reducing problem behavior (Fisher et al., 2000; Hagopian et al., 1998; Petscher et al., 2009; Shirley et al., 1997). Given this, perhaps it is not surprising the majority of schedule-thinning approaches and procedures report the use of extinction (e.g., Briggs et al., 2018; Greer et al., 2016a, b; Hanley et al., 2001). Considering the importance of selecting behavioral interventions based on scientific evidence (Behavior Analysis Certification Board [BACB] Ethics Code 2.14, 2020), and that the current literature indicates more effective reductions are achieved when extinction is programmed compared to when it is not, clinicians should program for extinction when possible—this also remains considered as best practice. That said, there are situations in which arranging extinction may not always be practical or feasible including (1) if the individual engages in risky (e.g., elopement) or dangerous behaviors (e.g., self-injurious behavior or SIB); (2) for escape-maintained problem behavior that requires physical guidance of an individual with a large physical stature (Athens & Vollmer, 2010); or (3) in some contexts due to social validity concerns (e.g., a school setting that does not allow hand-over-hand guidance). In these situations, clinicians may need to conduct schedule thinning without placing problem behavior on extinction, often termed DRA without extinction. This form of schedule thinning—or rather, form of FCT more broadly—is often conceptualized as a concurrent-choice arrangement in which the environment evokes choosing on the part of an individual between two responses and their corresponding reinforcers (i.e., problem and alternative behavior; Athens & Vollmer, 2010; Borrero et al., 2010).
To encourage an individual to allocate more responding towards the alternative behavior instead of the problem behavior, clinicians may consider manipulating reinforcer dimensions such as quality (i.e., the preference of the reinforcer; e.g., Athens & Vollmer, 2010; Kunnavatana et al., 2018; Lalli & Casey, 1996; Piazza et al., 1999), magnitude (i.e., the amount of the reinforcer; e.g., Athens & Vollmer, 2010; Dube & McIlvane, 2002; McComas et al., 2008; Lerman et al., 2002,) or immediacy (i.e., latency to the reinforcer; e.g., Athens & Vollmer, 2010; Horner & Day, 1991). In addition, research has found more rapid and clinically significant reductions in problem behavior when reinforcer dimensions are combined, compared to when a single reinforcer dimension is manipulated (Athens & Vollmer, 2010; Briggs et al., 2019; Neef et al., 1994; Slocum & Vollmer, 2015). Further, research has also shown that individuals often have a preference for some dimensions of reinforcement over others, as well as within-dimension preferences (e.g., different magnitudes of attention; Trosclair-Lasserre et al., 2008). In summary, clinicians considering a DRA without extinction schedule-thinning approach should ensure the reinforcer for the appropriate behavior is greater than the reinforcer accessed for problem behavior (Neef et al., 1994; Weinsztock & DeLeon, 2022). Consider the following example of schedule thinning without extinction. A clinician has an adult client who engages in problem behavior to escape demands. Without extinction programmed, the client will continue to earn a brief (e.g., 20 s) break following any instance of problem behavior. However, the clinician programs for greater reinforcement value for compliance following demands (e.g., 60-s break with access to attention and preferred tangibles).
Although initial DRA without extinction treatment effects are often promising, the few studies that have conducted schedule thinning without extinction have been unsuccessful and required extinction (DeLeon et al., 2001; Horner & Day, 1991) or remained at dense schedules of reinforcement that may not be practical (e.g., Briggs et al., 2019; Hoch et al., 2002). In addition, although more research is needed, a handful of studies suggest the recurrence of problem behavior during schedule thinning may be greater for DRA without extinction relative to DRA with extinction (Brown et al., 2020; Craig et al., 2017). As such, we recommend clinicians use this schedule thinning approach sparingly and with caution given the limited research on its effectiveness and durability.
Pacing Procedures
Schedule-thinning approaches are frequently used in conjunction with more specific pacing procedures such as dense-to-lean schedule thinning (Briggs et al., 2023). Pacing procedures refer to how one advances through or conducts schedule thinning (Hagopian et al., 2011). That is, pacing procedures are a decision-making process for moving through the various progressions within schedule thinning. Consider dense-to-lean schedule thinning within a multiple-schedule approach. Using this pacing procedure, clinicians would first identify an allowable amount of problem behavior (e.g., sustained 80% reduction from baseline) and implement FCT while progressively reducing the availability of reinforcement for the FCR. In an example in which sessions are 10 min, reinforcement for the FCR might initially be unavailable for 1 min (i.e., the S∆ period wherein the FCR would contact extinction). Then, if a reduction in problem behavior is maintained, clinicians progressively increase the S∆ period until reaching the terminal schedule. These overarching approaches and pacing procedures have previously been reviewed and described by Hagopian et al. (2011).
Dense-to-Lean Schedule Thinning
The current standard-of-care and most commonly used pacing procedure is dense-to-lean schedule thinning (Hagopian et al., 2011). In dense-to-lean schedule thinning, clinicians identify an allowable amount of problem behavior and continue to implement treatment while progressively reducing the availability of reinforcement for the FCR. Each progression, referred to as a step, continues until reaching the terminal schedule. Consider an example in which sessions are 10 min, and the terminal schedule is 9 min of unavailability of reinforcement for the FCR. In this example arrangement, clinicians first implement the period of availability followed by the period of unavailability of reinforcement for the FCR. After several additional sessions with a sustained reduction of problem behavior, clinicians progressively increase the time of unavailability of reinforcement for the FCR and continue in this fashion until the terminal schedule is met. Although dense-to-lean schedule thinning is effective, it is also time- and resource-intensive (Briggs et al., 2018; Falligant et al., 2022a, b; Hagopian et al., 2004). To address this concern, researchers have examined more efficient methods (i.e., requiring fewer sessions to reach the terminal schedule) that are just as efffective as dense-to-lean procedures. We outline three of these pacing methods below.
Terminal-Probe Schedule Thinning
One schedule-thinning procedure that could be more efficient is terminal-probe schedule thinning. Terminal-probe schedule thinning presumes that earlier steps are unnecessary to reach the terminal schedule. Using a terminal-probe schedule thinning procedure, a clinician would first conduct one probe session with the terminal schedule in place (e.g., 10-min extinction interval) and identify the latency to the first instance of problem behavior. Based on this latency, clinicians would initiate schedule thinning just before the duration at which problem behavior occured. In other words, during a terminal-probe session, in the presence of the S∆, the clinician would record how long after initiation of the sesssion until problem behavior first occurred. For example, suppose problem behavior occurs 6 min 30 s into the probe session. Based on this latency, clinicians would start schedule thinning with 6 min of unavailability (i.e., extinction component). In doing so, the clincians can avoid unnecessary schedule thinning steps, save valuable clinical resources and time, and likely reach the terminal schedule much faster compared to other methods.
Terminal-probe schedule thinning was first used by LeBlanc et al. (2001) and subsequently by Hagopian et al. (2005). Briggs et al. (2019) also used a form of terminal-probe schedule thinning in their evaluation to test the durability of schedule thinning in DRA procedures with and without extinction. However, the purposes of LeBlanc et al. (2001), Hagopian et al. (2005), and Briggs et al. (2019) were not to explicitly evaluate the effectiveness of terminal-probe schedule thinning. This is critically important, as efficiency and speed are futile without effectivness and accuracy. Kranak and Falligant (2022) evaluated the effectivness of terminal-probe schedule thinning in three applications. They found that terminal-probe schedule thinning was highly effective, leading to sustained reduction of problem behavior at the terminal schedule upon completion for all three applications. Further, they were able to reach the terminal schedule in two and three steps, respectively, for two out of three applications. Indeed, at the completion of terminal-probe schedule thinning, zero or near-zero rates of problem behavior occurred. In other words, terminal-probe schedule thinning was efficient and effective, and did not result in resurgence (i.e., relapse of problem behavior during schedule thinning; described in detail below in “Occurrence of Resurgence During Schedule Thinning”) at its completion (compared to the terminal probe). Thus, terminal-probe schedule thinning appears to have much clinical utility.
Rapid Schedule Thinning
Betz et al. (2013) described a schedule-thinning procedure referred to as rapid schedule thinning. Using this procedure, researchers first established discriminated responding during SD and S∆ periods for the FCR followed by an abrubt shift to the terminal reinforcement schedule. The procedures described by Betz et al. (2013) offer an alternative approach in which the focus is placed on establishing stimulus control of the FCR as quickly as possible and then shifting to the terminal schedule of reinforcement. Researchers found the discriminative stimuli (i.e., SDs and S∆) facilitated rapid schedule thinning. This approach has not been systematically replicated across populations (e.g., individuals of diverse age, language abilities, disorders), so its overall generality remains unknown. Also, and important, the rapid schedule thinning method incorporated verbal rules, which likely helped facilitate the jumps from one step to the next.
Progressive-Interval Assessments
One way clinicians can identify the optimal S∆ component for multiple schedules is to conduct a progressive-interval assessment. In the progressive-interval assessment, the clinician is able to identify the longest duration of extinction an individual will tolerate before engaging in problem behavior (Fisher et al., 2018a, b; Miller et al., 2022). Unlike the rapid schedule thinning and terminal-probe schedule thinning procedures previously described, this assessment entails conducting multiple trials with increasing S∆ durations. Consider the procedures from Miller et al. (2022) as an example. During the progressive-interval assessment, each trial was comprised of an SD and S∆ component in which reinforcement for the FCR was or was not available, respectively. The duration of these components was systematically increased when clinicians observed two trials without problem behavior (e.g., 2 s, 5 s, 10 s, 20 s, 40 s, etc.). During the systematic increases, there was a consistent 4:1 ratio of access to the reinforcer, relative to the S∆ component. If an individual engaged in problem behavior, the therapist repeated that S∆ duration up to four more trials. If problem behavior did not occur during these trials, clinicians resumed progressively increasing the S∆ duration. However, if problem behavior did continue for another trial resulting in two trials with problem behavior, the clinician terminated the assessment and selected the immediately preceding trial duration. Miller et al. (2022) used this procedure with four individuals who engaged in problem behavior. For two of four participants, researchers observed low-to-zero occurences of problem behavior up to the terminal schedule (i.e., 240-s S∆ period). These results replicated previous studies that have demonstrated the usefulness of discriminative stimuli to faciliate rapid schedule thinning (Betz et al., 2013) and generalization across contexts (Greer et al., 2019). For the remaining two participants, therapists selected individualized S∆ durations based on assessment results. As such, using a progressive-interval assessment is an alternative procedure for systematically identifying S∆ periods at which one could initiate schedule thinning using discriminative stimuli.
Occurrence of Resurgence during Schedule Thinning
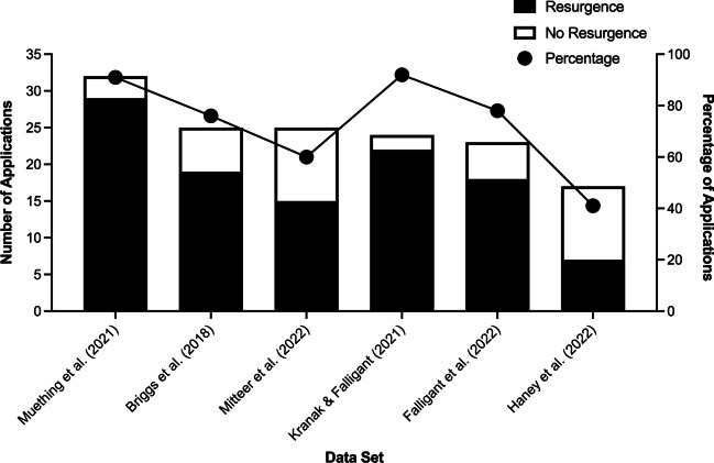
Researchers have noted for more than a decade that problem behavior can recur during schedule thinning, a phenomenon known as resurgence (e.g., Hagopian et al., 2011). In short, resurgence is the recurrence of a previously reinforced response (e.g., problem behavior) when the reinforcement conditions for an alternative response (e.g., an FCR) worsen (see Lattal et al., 2017). In short, as it relates to problem behavior, resurgence is the recurrence of problem behavior following successful treatment (e.g., Kimball et al., 2023). Although resurgence has been observed and documented for several decades, researchers have only recently quantified the phenomenology of resurgence during schedule thinning, namely its prevalence, across six consecutive controlled case series (CCCSs; Briggs et al., 2018; Falligant et al., 2022a, b; Haney et al., 2022; Kranak & Falligant, 2021; Mitteer et al., 2022; Muething et al., 2021; see Fig. 1). These six CCCSs reported on 146 schedule thinning applications. On average, resurgence occurred in 73% of applications and as high as 92% of applications in one study (i.e., Kranak & Falligant, 2021).
Fig. 1.
Resurgence across Large-N studies. Note. Number and percentage of applications of functional communication training and schedule thinning in which resurgence did or did not occur. The number of applications with and without resurgence are plotted on the primary y-axis. The percentage of applications with resurgence is plotted on the secondary y-axis
At first blush, one might be disheartened by the commonality of resurgence during schedule thinning. However, readers should take heart in three facts. First, schedule thinning is typically conducted in clinical settings by trained therapists with the expertise required to handle resurgence (Briggs & Greer, 2021; McCartney et al., 2005; Romani et al., 2021). Second, successful completion of schedule thinning decreases the likelihood of future resurgence following discharge (e.g., Kranak & Falligant, 2022; Ringdahl & St. Peter, 2017). Third, researchers have developed and validated procedures for managing and mitigating resurgence during both schedule thinning specifically and treatment broadly (see Kimball et al., 2023, and Kranak & Falligant, 2021, for detailed descriptions of these procedures). For example, during S∆ periods, clinicians can provide moderately preferred items with which the individual can engage so as to compete with problem behavior (Hagopian et al., 2020).
Supplemental Procedures during Schedule Thinning
In the last decade, there has been substantial advancement in our understanding of the use of supplemental procedures during schedule thinning, with three of the most frequently reported procedures being discriminative stimuli, competing activities, and increasing the complexity of the FCR.
Discriminative Stimuli
Discriminative stimuli are correlated with each component of the schedule (i.e., reinforcement and extinction) and are used in both multiple- and chained-schedule thinning approaches (Hagopian et al., 2011). The purpose of discriminative stimuli is to provide information to the client about the availability (or unavailability) of reinforcement for the FCR. Said another way, the incorporation of discriminative stimuli is meant to make the programmed contingencies more salient. Research supporting the necessity of discriminative stimuli is overwhelming and dates back more than 20 years (Saini et al., 2016). For example, Brown, Gaynor et al. (2022a, b) compared the probabilistic delay-tolerance approach to compound schedules with three participants. Researchers found that both approaches were comparably effective. However, the compound schedule approach resulted in more discriminated responding and sustained FCRs better compared to the probabilistic delay-tolerance approach, thereby extending other research on this topic (e.g., Hanley et al., 2001). The potential of discriminative stimuli in the mitigation of treatment degradation is so promising that a large body of basic and applied research continues to examine this line of research (see Kimball et al., 2023, for discussion). Below we outline some of the main findings related to discriminative stimuli since 2011.
As mentioned, problem behavior often resurges during schedule thinning, lapses in treatment implementation (e.g., a caregiver does not reinforce an FCR), and when generalizing treatment to a new context (e.g., settings, implementers; Briggs et al., 2018; Falligant et al., 2021; Fuhrman et al., 2016; Mitteer et al., 2022; Muething et al., 2021). Fortunately, a large and growing body of research has demonstrated discriminative stimuli can mitigate the resurgence of problem behavior during each of these situations (Betz et al., 2013; Fisher et al., 2015; Fisher et al., 2020; Fuhrman et al., 2016; Greer et al., 2019; Miller et al., 2022). For example, Greer et al. (2019) transferred a multiple and chained schedule of reinforcement treatment from therapists to caregivers with two participants. Therapists observed maintained low rates of problem behavior during the generalization sessions when discriminative stimuli were used. Given the current empirical evidence, clinicians should incorporate discriminative stimuli during schedule thinning.
Due to the importance of using discriminative stimuli, it can be problematic when an individual fails to discriminate. When this occurs, clinicians can use response restriction in which the individual’s communication modality (e.g., card) is available only when reinforcement is available (Hagopian et al., 2011). Response restriction may come with some social validity concerns in that the individual’s communication response is occasionally withheld from them for some interval of time (Randall et al., 2021). Although researchers have suggested many variables that may affect one’s ability to discriminate (e.g., stimulus salience, reinforcement history; see Saini et al., 2016), few studies have empirically examined these variables. One exception is Pizarro et al. (2021), who examined the correlation between discriminated responding in a multiple schedule and color-related skills (e.g., receptive and expressive identification of colors used in the multiple schedule). They also examined if topographically dissimilar stimuli (e.g., an orange vest and colored card) were more likely to promote discrimination relative to topographically similar stimuli (e.g., two colored cards). They found no differences in discriminated responding when using similar or dissimilar stimuli. However, they found participants’ performances during a multiple schedule were strongly correlated with their color-specific verbal skills, specifically receptive and expressive identification. Although correlational, these data suggest color-specific verbal skills may be a predictor of multiple schedule efficacy. Future studies are needed to verify these findings and inform best-practice recommendations when an individual fails to discriminate.
Perhaps due to the increasing use of discriminative stimuli in interventions (Saini et al., 2016), researchers have explored if clients prefer SD and S∆, SD–only, or S∆–only arrangements. Initial studies conducted with neurotypical preschool children mostly found preference for the SD and S∆ arrangement. Researchers hypothesized this was due to the SD and S∆ arrangement being more effective at teaching the discrimination to participants (Tiger et al., 2006; Tiger et al., 2008). O’Dell et al. (2021) replicated and extended this line of inquiry by assessing the efficacy and preference of these schedule arrangements (i.e., SD and S∆, SD–only, or S∆–only) with three children diagnosed with autism spectrum disorder. Researchers found preference varied across participants, and in contrast to previous studies, efficacy did not appear to predict preference. Given the current empirical evidence, clinicians should consider using two-signal arrangements (i.e., SD and S∆) when feasible and contextually appropriate.
One important contextual variable to consider when using multiple or chained schedule interventions is the topography of discriminative stimuli. Discriminative stimuli are often color-correlated cards (Saini et al., 2016). Although these forms of stimuli are often novel and salient to clients—two important considerations when selecting discriminative stimuli (Saini et al., 2016)—clinicians should incorporate client and caregiver preference when selecting these stimuli to the greatest extent possible (Bannerman et al., 1990; Brown et al., 2022a, b). If a situation arises in which the use of discriminative stimuli is not deemed socially valid by client and/or stakeholders, clinicians should attempt to systematically fade these stimuli once the terminal schedule is met.
Transferring Stimulus Control
To date, only a handful of research studies have compared the efficacy of naturalistic versus arbitrary discriminative stimuli (Boyle et al., 2021; Shamlain et al., 2016). To our knowledge, only one study conducted by Brown and Nercesian (2023) has empirically examined how to transfer stimulus control properties from arbitrary to naturalistic stimuli. In their study, researchers used a stimulus fading procedure in which the arbitrary discriminative (red and green colored cards) and naturalistic stimuli (a vocal-verbal delay statement) were simultaneously presented (step 1). Contingent on maintained discriminative use of the FCR and low-to-zero rates of problem behavior, researchers systematically decreased the size of the arbitrary discriminative stimuli until only the naturalistic stimuli remained. Researchers also used contingency-specifying rules throughout the stimulus control transfer sessions. These stimulus fading procedures effectively transferred stimulus control to the naturalistic stimulus for the two participants in their study. However, additional research is needed to examine the generality of these procedures and examine their efficacy in the absence of contingency-specifying rules.
Competing Stimuli
For several decades, research has shown embedding alternative items/activities during extinction components can facilitate more efficacious and efficient schedule thinning (e.g., Fisher et al., 1998; Hagopian et al., 2005). This supplemental procedure is based off the principle of reinforcer competition that asserts alternatively available stimuli may compete with or substitute the value of a functional reinforcer (e.g., Carr & Kologinsky, 1983; Favell et al., 1982). This approach has become increasingly common, and many contemporary CCCSs have found schedule thinning is more effective when alternative items and activities are provided (Greer et al., 2016a, b; Rooker et al., 2013). In the last decade researchers have published a substantial number of studies that have extended our understanding of embedding alternative items/activities during schedule thinning.
Studies that have incorporated this supplemental procedure during schedule thinning have used nontargeted functional reinforcers (e.g., Austin & Tiger, 2015; Hagopian et al., 2005; Fisher et al., 1998; Sumter et al., 2020), nonfunctional reinforcers (e.g., Drifke et al., 2020; Fisher et al., 1998; Fuhrman et al., 2018; Hagopian et al., 2005), and items within a functional reinforcer class (e.g., Miller et al., 2022). As an example, Sumter et al. (2020) used nontargeted functional reinforcers with two participants whose problem behavior was maintained by attention and access to tangibles. During the tangible intervention, therapists provided noncontingent access to attention during the extinction component, whereas in the attention intervention, they provided noncontingent access to tangibles. In other studies, such as with two participants in Fuhrman et al. (2018), researchers provided nonfunctional reinforcers such as noncontingent attention when problem behaviors were maintained by escape and access to tangibles. There are some published cases of providing access to items within a stimulus class (e.g., tangible items), that were not assessed as a potential functional reinforcer of problem behavior. For example, Miller et al. (2022) found one participant’s problem behavior was maintained by access to tangibles in the form of an iPad. During schedule thinning, researchers provided noncontingent access to a different tangible item (magazines). That said, this approach may not be ideal given it is possible problem behavior was maintained by a stimulus class (i.e., tangible items), rather than one specific tangible. If this is the case, this approach may not actually treat the referral concern (Fuhrman et al., 2018). There are also a handful of documented cases in which researchers embedded demands during the extinction component of a social-positive intervention, which increased the occurrence of problem behavior (e.g., Drifke et al., 2020; Ghaemmaghami et al., 2016). These findings suggest clinicians may consider incorporating nontarget functional reinforcers or nonfunctional reinforcers as a supplemental schedule thinning procedure. However, given the current empirical evidence, clinicians should exercise caution before incorporating nonfunctional reinforcers in the form of demands or items within the same functional reinforcer class.
Given the various ways clinicians can incorporate items/activities as a supplemental procedure during schedule thinning, Fuhrman et al. (2018) examined the efficacy of different items/activities at reducing problem behavior for two participants. Researchers found the type of activity/item that reduced problem behavior varied across participants. The findings of this study demonstrate that clinicians should use an empirical assessment to determine which activities to incorporate into schedule-thinning approaches. These may entail conducting a competing-stimulus or augmented competing-stimulus assessment (see Haddock & Hagopian, 2020; Hagopian et al., 2005, 2020; Laureano et al., 2023) or preference assessment (e.g., Fisher et al., 1992). These empirical assessments are preferred relative to informal observations and reports and will help practitioners develop interventions based on assessment results (BACB Ethics Code 2.14, 2020; Saini et al., 2020).
In addition to considering the efficacy of including alternative items/activities, clinicians should also consider the social validity of this supplemental procedure. Perhaps not surprising, individuals tend to prefer schedule-thinning approaches with noncontingent access to alternative activities/items during the S∆. For example, for some clients and stakeholders, it may be unlikely the client would be expected to wait to access a functional reinforcer without available alternatives. Whereas for other clients, this may be an expectation based on cultural, contextual, or normative information. Thus, we encourage practitioners to work closely with families to identify the social validity of incorporating items/activities during schedule thinning (see Brown et al., 2022a, b; Zarcone et al., 2016). If a situation arises in which the supplemental procedure is needed to facilitate schedule thinning, but is not socially valid, clinicians should systematically fade these stimuli once the terminal schedule is met and reductions in problem behavior are sustained (e.g., Miller et al., 2022; Hagopian et al., 2004).
FCR Preference, Persistence, and Complexity
Another consideration regarding FCRs during schedule thinning is the extent to which an individual prefers the modality of the FCR over both problem behavior and other FCR modalities, and is proficient in engaging in the FCR (Ringdahl et al., 2009). Not only is sustaining low levels of problem behavior critical during schedule thinning, but so too is ensuring socially valid and acceptable persistence of FCRs (McComas et al., 2019; Ringdahl et al., 2023). For example, Ringdahl et al. (2018) found that the use of high-preferred FCR modalities resulted in more persistence of FCRs when they contacted extinction compared to low-preferred FCR modalities. Indeed, individuals have demonstrated preferences for some FCR modalities over others within the context of FCT (see Ringdahl et al., 2016). Incorporating and considering an individual’s preference for certain modalities of FCRs serves as a means to involve the individual in a contextual and appropriate manner into their treatment planning, as well as empowering them to have more autonomy (see O’Brien et al., 2023, for a related discussion). Clinicians can assess preference for FCR modalities by using a concurrent operants or chains arrangement (cf. Harding et al., 1999).
It is important that when discussing the persistence of FCRs within FCT broadly and schedule thinning specifically, also consider the prompt level with which FCRs are initially taught (e.g., Romani et al., 2013). FCRs taught with relatively dense levels of prompting tend to be more persistent when they contact extinction. There are discrepant findings regarding whether or not dense levels of prompting lead to prompt dependency, but this is something of which to be mindful when implementing FCT, because it will certainly affect persistence of FCRs during schedule thinning.
Finally, clinicians may consider shaping increasingly complex FCRs during schedule thinning (e.g., Hanley et al., 2014; Ghaemmaghami et al., 2018; Jessel et al., 2018; Santiago et al., 2016). This is often achieved by reinforcing a simple, low-effort FCR (e.g., saying, “my way”) during treatment until it meets mastery criteria. After this, clinicians teach and reinforce a more complex FCR (e.g., saying, “my way please”). This process continues until the ideal, complex FCR is taught and maintained (e.g., saying, “Excuse me, can I have my way please?”). Although response efficiency is an important consideration when initially teaching the FCR, shaping increasingly more complex FCRs may promote generalization and be considered more socially valid by clients and/or stakeholders (Ghaemmaghami et al., 2018). We encourage interested readers to see the gradual shaping procedure outlined by Ghaemmaghami et al. (2018), as well as alternative procedures and considerations described by Mitteer et al. (2019).
Punishment and Restrictive Procedures
Although behavioral interventions that rely on reinforcement, like FCT and schedule thinning, are often highly efficacious, in some unique, cases punishment may be necessary to achieve clinically significant reductions in problem behavior (Hagopian et al., 1998; Greer et al., 2016a, b; Rooker et al., 2013). Note that “punishment” and “restrictive procedures,” although often used interchangeably, are not synonymous. Punishment refers to a specific class of procedures whose contingencies decrease the future frequency of a target behavior. Whereas restrictive procedures, like helmets or arm splints, are used and applied noncontingently for safety purposes. The use of punishment and restrictive procedures should be reserved for situations in which clinically significant reductions in problem behavior cannot be achieved using reinforcement-based procedures alone or when the client’s safety (or safety of others for that matter) is an immediate concern (BACB, Ethics Code 2.15, 2020). For example, an individual who engages in particularly dangerous forms of SIB may require protective equipment such as arm splints. As with any treatment component, it’s important to use the least restrictive alternative that is effective while concurrently ensuring the safety of all involved, especially the individual in cases of SIB. Like the schedule of reinforcement during schedule thinning, clinicians ought to pursue fading more restrictive components if at all possible (e.g., DeRosa et al., 2015).
Schedule Thinning Informed by Quantitative Models of Behavior
Quantitative (mathematical) models have long been used to inform the development of behavioral treatments (e.g., the matching law; Athens & Vollmer, 2010; Brown et al., 2021; Kunnavatana et al., 2018). Quantitative models enable clinicians (and researchers) to make predictions about future behavior or treatment success and treatment durability based on variables such as reinforcement history for a given response, exposure to extinction, rate and magnitude of reinforcement, and many other factors (Shahan et al., 2020; Shahan & Craig, 2017). Note that durability refers to the extent to which desirable behavior persists and problem behavior remains abated in the face of challenges (e.g., treatment integrity errors; Wacker et al., 2011). When treatment challenges occur, it is likely that relapse of problem behavior (i.e., resurgence) will occur. Given the durability of an intervention directly affects its generality (Baer et al., 1968), researchers are invested in identifying ways to make behavioral treatments for problem behavior more durable.
FCT with schedule thinning based on quantitative models has been shown to be more effective and durable compared to treatments not based on quantitative models (see Fisher et al., 2022; Saini et al., 2017). Two quantitative models that have substantially informed schedule thinning practices are behavioral momentum theory (BMT) and Resurgence as Choice (RaC). Our goal is not to provide an in-depth exploration of these quantitative models. Rather, we intend to briefly summarize how these models have been used to inform best practice such that practitioners can use the information about these models and their predictions to identify or troubleshoot common pitfalls or problems that may arise during schedule thinning. Akin to a warning light on a vehicle dashboard, an individual who has read the car manual will be able to identify that certain warning lights signal specific information about the car. Likewise, clinicians who have a rudimentary understanding of the quantitative predictions that have been used to inform schedule-thinning procedures, may be more equipped to respond to schedule thinning failures and concerns when they arise.
Behavioral Momentum Theory
In short, BMT is a quantitative and theoretical account of relapse that suggests reinforcers delivered in a given stimulus context (e.g., an individual’s home, a clinic treatment room) strengthens behaviors occuring in that context and make those behaviors less sensitive to extinction1 (Smith & Greer, 2023a). In other words, the more reinforcers a behavior contacts in a given environment, the more likely it is that behavior will persist in the environment when faced with changes in reinforcement for the behavior (Podlesnik & DeLeon, 2015), such as a decrease in reinforcement rate for the FCR during schedule thinning or when an omission error occurs.
Using a BMT-informed schedule-thinning procedure, prior to the initiation of schedule thinning, clinicians would (1) minimize the amount of reinforcement provided for the FCR; and (2) increase the amount of time spent in session whereby problem behavior has sufficient opportunity to contact the extinction contingency. In short and said another way, one could conceptualize BMT-informed schedule thinning as embedding and implementing schedule thinning during the course of treatment rather than as a separate procedure following treatment. Consider the following example of FCT and schedule thinning informed by BMT. Fisher et al. (2018a, b) demonstrated that FCT with BMT-informed reinforcement rates during baseline and treatment decreased rates of problem behavior by approximately two thirds for all participants and resulted in less resurgence when alternative behavior (i.e., the FCR) contacted extinction, compared to FCT based on standard clinical protocols. Their results support the notion that treatments designed and based on BMT may be more successful and durable than those that are not. For additional clinician-oriented information on BMT, we direct readers to Greer et al. (2016a, b).
Resurgence as Choice
RaC is a more contemporary quantitative model of relapse (Craig & Shahan, 2016; Shahan & Craig, 2017) that suggests individuals will allocate their responding between target (e.g., problem behavior) and alternative behavior (e.g., FCRs) based on the relative value of those responses over time (see Greer & Shahan, 2019, for a comprehensive overview). For example, an individual will be more likely to allocate responding towards the FCR if it results in 60-s access to escape with their most preferred tangible relative to problem behavior that results in 20-s access to escape only. Further, RaC allows clinicians to predict how an individual will allocate their responding based not only on the value of the reinforcer, but also the history of reinforcement for that specific response (i.e., problem behavior or the FCR).
RaC makes several predictions about when problem behavior will resurge during schedule thinning. One prediction is that any downshift in reinforcement will result in the resurgence of problem behavior (for a thorough discussion, we direct readers to Falligant et al., 2022a, b; Greer & Shahan, 2019; Shahan & Greer, 2021). In schedule thinning, downshifts occur when there is a reduction in reinforcement for the FCR, such as a reduction in how much or how often a reinforcer is delivered. Given this prediction, RaC suggests that the pacing of schedule thinning should include only incremental reductions in the availability of reinforcement for the FCR (at least upon initiation of schedule thinning), rather than stark or drastic reductions, to mitigate the likelihood of problem behavior recurring during schedule thinning.
For example, consider a clinician working with two clients who engage in problem behavior. Client A is a 3-year-old who engages in very mild problem behavior (e.g., pinching); Client B is a 17-year-old who engages in more-intense problem behavior (e.g., punching). When considering the predictions of RaC, a clinician may be more likely to tolerate greater resurgence of pinching from a 3-year-old compared to punching from a 17-year-old. Thus, the clinician might consider making stark reductions in reinforcement for the FCR for the 3-year-old (akin to fixed-lean schedule thinning; Hagopian et al., 2004), while making very slow and incremental reductions in reinforcement for the FCR for the 17-year-old (akin to dense-to-lean schedule thinning). Based on the predictions of RaC, those respective procedures would enable durable behavior change for both Clients A and B.
It is important to note that, to date, all applied investigations of RaC and schedule thinning have been retrospective in nature (Falligant et al., 2022a, b; Shahan & Greer, 2021). Thus, an important next step in this line of research is to apply RaC prospectively to design schedule thinning. For additional clinician-oriented information on RaC (and RaC in Context described below), we direct readers to Laureano and Falligant (2023).
Additional Recommendations for Clinical Practice
In addition to their article overall, Hagopian et al. (2011) provided a few specific recommendations and considerations for clinical practice. For example, they described how one might use a delay or multiple schedule for socially maintained problem behavior. Many of their recommendations still hold true. In the following subsections, we provide some updated suggestions based on contemporary research.
What Schedule-Thinning Pacing Procedure Should One Use?
Hagopian et al. (2011) noted there was a limited amount of research on how to select and proceed through schedule-thinning steps, and that is unfortunately still true today. However, there are a few recommendations that can be gleaned from the areas of schedule thinning, relapse, and safety. Based on the current empirical evidence there are two questions clinicians should consider when selecting a pacing procedure. First, how severe or intense is the client’s problem behavior? Second, how much problem behavior can the clinical staff safely manage? Responses to these questions that indicate problem behavior is severe (i.e., greater risk of injury or permanent damage) or clinical staff cannot safely manage these behaviors (e.g., staff do not have formal training on how to safely manage bursts of high-intensity behaviors) would indicate a dense-to-lean pacing procedure. The rationale here is twofold. First, the smaller the decrease in the availability of reinforcement, the smaller the likelihood and potential amount of resurgence occurring (e.g., Falligant et al., 2022a, b). Smaller schedule-thinning steps are likely to produce lower degrees of resurgence compared to larger changes. Second, and related to this, the smaller the decrease in availability of reinforcement compared to the previous level of availability, the less salient that change in reinforcement contingencies should be to an individual. These less-salient decreases should be unlikely to evoke problem behavior. In other words, if the individual does not discriminate that worsening of reinforcement conditions for the FCR occurred, then the individual should not engage in problem behavior (vis-à-vis resurgence).
Whereas responses to these questions that indicate low risk of injury with highly trained staff may be indicative of a fixed-lean or terminal-probe pacing procedure. Note that the fixed-lean pacing procedure refers to jumping to and implementing the terminal schedule from the onset of schedule thinning (Hagopian et al., 2004). Even if sustained reduction of problem behavior is lost, clinicians will continue to implement fixed-lean schedule-thinning sessions at the terminal schedule until sustained problem behavior reduction is re-achieved (or if clinically necessary modifications were required; Hagopian et al., 2004). If a clinician is working with a client who is small in stature and whose problem behavior is relatively mild (e.g., weak aggression displayed by a 4-year-old client), then implementing fixed-lean schedule thinning is a viable option when increases in problem behavior are likely, but also likely easily manageable. Loosely speaking, if intervention agents can tolerate the potential resurgence of problem behavior—and the topography of problem behavior does not pose a safety threat to the client or others—then fixed-lean schedule thinning could be an effective and efficient option.
Hagopian et al. (2011) also suggested that, when possible, clinicians should probe leaner schedules. Indeed, terminal-probe schedule thinning does appear to strike the balance between and capture the benefits of both dense-to-lean and fixed-lean schedule thinning. Terminal-probe schedule thinning can permit the identification and skipping of unnecessary intermediate steps, allowing one to reach the terminal schedule sooner, saving valuable clinical resources, time, and enabling expedited transfer of treatment to natural change agents (LeBlanc et al., 2001). Once an initial schedule thinning step is identified via the probe session, terminal-probe schedule thinning largely resembles dense-to-lean schedule thinning, meaning it should (presumably) retain treatment effectiveness and sustain low levels of problem behavior (Kranak & Falligant, 2022). Thus, terminal-probe schedule thinning seems to maximize both effectiveness and efficiency and as a pacing procedure.
How Many Sessions Are Required at Each Schedule-Thinning Step?
There does not yet appear to be consensus on how many sessions are or ought to be required before progressing to a next step in the schedule-thinning progression. Because it takes three data points to make a trend, one might assume that at least three sessions at any given step would be prudent to ensure one is able to detect a trend at the specific step. However, when considering the overall rate of behavior across all schedule-thinning steps, it might not be necessary to conduct three sessions at each and every step in the schedule-thinning progression. For example, if an individual engaged in zero instances of problem behavior during the first three steps of schedule thinning, and if each of those steps consisted of three sessions, this means there were nine sessions in a row without a single instance of problem behavior. Thus, it might seem clinically responsible to progress through the following steps more expeditiously (e.g., in one or two sessions per step). As an alternative, it seems safe to say that at least two sessions at each step is a fair starting point. Nevertheless, without empirical studies providing guidance on this question, it appears the current answer is, “it depends.”
What Happens If Clinically Relevant Reductions in Problem Behavior Are Lost?
It is reasonable to assume there will be occasions during schedule thinning in which treatment effects are lost (e.g., Muething et al., 2021). Suppose a clinician initiated schedule thinning with a fixed-lean progression, but resurgence was quickly observed and treatment effects were not readily recaptured. Although seemingly straightforward, it is important to note that one can change to or implement another type of schedule thinning. In other words, one must not “stick it out” with one pacing procedure (e.g., fixed-lean) because it was initially selected; it is certainly permissible (and encouraged) to alter one’s clinical course of action (i.e., selecting and implementing a different pacing procedure) if desirable effects are not being obtained. In a related matter, it is also possible to revert to a previous schedule-thinning step if necessary in order to recapture treatment effects (e.g., reverting from a 5-min S∆ period to a 3-min S∆ period).
It might also be the case that additional treatment components are necessary to sustain reductions in problem behavior (e.g., Rooker et al., 2013). For example, a relatively easy additional component is the addition of competing items and stimuli during periods of reinforcer unavailability. However, there might also be situations in which the problem behavior is particularly severe (e.g., potentially dangerous behavior) and more restrictive or non-reinforcement-based response reduction components could be required. These components might consist of procedures such as response cost, response restriction, overcorrection, or timeout (cf. Hagopian et al., 1998).
Areas for Future Research
Thus far, our discussion herein has been aimed towards clinicians working with individuals who engage in problem behavior. However, given the importance of this topic and continued work in this area, we would be remiss to not highlight a few areas for future research. Although there has been a significant amount of research on schedule thinning over the past decade, there are several areas primed for extension.
First, as mentioned, there are several pacing procedures (e.g., dense-to-lean, terminal probe) that can be used to conduct schedule thinning. Although each pacing procedure has pros and cons, an invaluable next step related to schedule thinning is to identify characteristics that predict when a given schedule-thinning pacing procedure should (and should not) be used (Falligant & Hagopian, 2020). These characteristics are called predictive behavioral markers (see Hagopian et al., 2018). In short, predictive behavioral markers are objective measures of behavior that predict the extent to which and individual’s behavior will (or will not) respond to treatment (e.g., Hagopian et al., 2017). Identification of predictive behavioral markers for schedule-thinning pacing procedures could save valuable time and resources, expedite the treatment process, and lead to more durable treatment gains (Wacker et al., 2011, 2017). One potential predictive behavioral marker is rate of behavior during baseline conditions, which might speak to the persistence of problem behavior in the face of disruptors (i.e., the discontinuation of reinforcement; Nevin et al., 2017; Nevin & Grace, 2005). Recall that the amount of resurgence that might occur during schedule thinning is proportional to the downshift in alternative reinforcement (Shahan & Greer, 2021; Falligant et al., 2022a, b). As such, it stands to reason that individuals who have higher rates of problem behavior in baseline might be more sensitive to stark downshifts in alternative reinforcement during schedule thinning. In such a scenario, it further stands to reason that dense-to-lean schedule thinning, wherein the downshifts are less salient and progress slowly, would be clinically indicated—whereas fixed-lean would be contraindicated. In any case, identifying predictive behavioral markers indicative of which schedule-thinning procedures should (and should not) be used will likely have tremendous benefit on clinical care (Falligant & Hagopian, 2020; Hagopian et al., 2023).
Second, and related to this, despite the ubiquity and necessity of schedule thinning, only a few studies have compared the efficiency and effectiveness of more than one schedule-thinning procedure (e.g., Brown et al., 2021; Hagopian et al., 2004; Hanley et al., 2001). As such, researchers ought to evaluate the comparative effectiveness and efficiency of schedule-thinning methods to ascertain under which situations a given procedure should (or should not) be used—this further speaks to the necessity of identifying predictive behavioral markers (Branch & Pennypacker, 2013; Hagopian, 2020). Because of the potential exploratory nature of these comparison studies, this line of inquiry seems well-suited for translational research (Fisher et al., 2022; Greer et al., 2022). Comparative studies would seem to be especially important, as many of the procedures have conflicting underlying logic (nb. RaC would predict that both terminal-probe and fixed-lean schedule thinning would be highly ineffective, but that hypothesis is counterfactual to published data). Further, researchers ought to (1) identify predictive behavioral markers that indicate when certain supplemental procedures are clinically indicated; and (2) compare those supplemental procedures with respect to their effectiveness, efficiency, and extent to which they further sustain behavior reduction. Related to this, comparison studies that are applied in nature might be best suited to group designs or large-scale prospective CCCSs, as those designs would enable researchers to identify the probability of a particular effect or finding, not just that it is possible to achieve an effect with a certain schedule thinning method (Hagopian, 2020; Huitema, 2011). This area of research seems particularly important, as it is difficult to imagine that one schedule-thinning approach works with all individuals and should be used in every scenario.
Third, it is true that treatments based on quantitative models of behavior (e.g., BMT or RaC) are more effective and durable compared to those that are not based on quantitative models of behavior (see Fisher et al., 2022; Pritchard et al., 2014). However, although there are a few notable exceptions (e.g., Fisher et al., 2018a, b; Pritchard et al., 2014), nearly all applications of quantitative models to problem behavior and schedule thinning have been retrospective in nature (e.g., Shahan & Greer, 2021). Thus, a necessary next step is further analysis of prospectively designed FCT and schedule thinning procedures based on quantitative models. It will also be important for researchers working in that area to consider developing tutorials that permit the translation and use of quantitative models from research-based to clinical settings (e.g., Greer et al., 2016a, b). Also, researchers have noted that additional exploration of the importance of FCT pretraining and its relationship to the durability of schedule thinning (e.g., Randall et al., 2021)
Fourth, since the development of RaC in 2017, a newer iteration of the model has emerged: RaC in Context2 (Shahan et al., 2020). A complete overview of RaC in Context is beyond the scope of the current article; therefore, we direct interested readers to Shahan et al. (2020). In short, like RaC, RaC in Context posits that resurgence is controlled by the same behavioral processes that underly choice behavior (Baum & Rachlin, 1969; Greer & Shahan, 2019). However, as its name might imply, RaC in Context also incorporates aspects of context theory (e.g., Schepers & Bouton, 2015; Trask et al., 2018).
Shahan et al. (2020) examined the predictions of RaC in Context in a laboratory study with rats. The researchers successfully mitigated resurgence of target behavior of rats by using cycles of “on” and “off” reinforcement for the alternative response. That is, they alternated sessions in which reinforcement was or was not available for the alternative response. The logic here is as follows: the organism learns that just because reinforcement for the alternative response is not available, does not mean that reinforcement for the target response is available.
Extending this logic to clinical settings, problem behavior, and FCRs, RaC in Context suggests that a separate, standalone schedule thinning phase might be unnecessary. Instead, clinicians might consider cycling sessions during treatment in which reinforcement is (“on” sessions) or is not (“off” sessions) available for the FCR. Over time, the client ought to associate that the unavailability of reinforcement for the FCR does not signal the availability of reinforcement for problem behavior. Consider the following example in which a client has completed the baseline portion of a treatment evaluation and is now undergoing FCT. And, suppose that treatment will last 10 sessions. It is traditional that, across all 10 treatment sessions, the FCR would be reinforced on a continuous schedule of reinforcement. Using FCT based on RaC in Context, reinforcement for the FCR would not be provided across all 10 treatments sessions. Instead, treatment would consist of and cycle between “on” sessions in which the FCR is reinforced (i.e., sessions 1, 3, 5, 7, and 9) and “off” sessions in which the FCR is not reinforced (i.e., sessions 2, 4, 6, 8, and 10). This approach does not necessarily rely on inclusion of SDs and S∆s so that the emphasis of discrimination is placed on the unavailability of reinforcement for the FCR does not signal availability of reinforcement for problem behavior. To date, researchers have not yet demonstrated this approach with clinical populations. As such, before recommending use of RaC in Context-based FCT or schedule thinning, a critical next step is to evaluate the effects of cycling “on” and “off” treatment sessions with problem behavior. Fortunately, recent translational studies (Smith & Greer, 2023b) have continued to bridge the gap from these basic findings to applied settings, and applied work is currently underway (Shahan, 2018–2028).
Fifth, recall that resurgence is likely to occur during schedule thinning (e.g., Briggs et al., 2018). The six aforementioned large-N studies have provided invaluable information regarding the phenomenology of resurgence during schedule thinning. Such information can be used to inform clinical practice and future research on this topic (Kimball & Kranak, 2022). At the same time, all six of those studies reported on treatment outcomes from highly specialized clinical settings (i.e., inpatient and outpatient clinics; Asmus et al., 2004; Call et al., 2013; Romani et al., 2022). Majority of service provision for problem behavior occurs in less-intense settings like day-treatment programs, homes, schools, and the community (Briggs & Greer, 2021; Romani et al., 2019). Thus, a logical extension for researchers who wish to further quantify the phenomenological aspects of resurgence during schedule thinning should consider conducting CCCSs in those previously mentioned less-controlled settings (e.g., schools). This would appear to be a worthy endeavor, as it would enable comparisons of resurgence across those discordant settings, which likely differ in terms of severity and topographies of problem behavior, resources, and intensity of treatments (Zarcone et al., 2016)—which would permit further study of the generality of resurgence (Hagopian, 2020).
Concluding Remarks
Schedule thinning is a critical component to behavioral treatments, including FCT. Schedule thinning improves both the feasibility of treatment implementation for caregivers in natural environments and durability of behavioral treatments (Greer et al., 2016b; Volkert et al., 2009). Given its importance, it is heartening to see many advancements in this area, especially regarding the efficiency and durability of schedule thinning and its collateral treatments. We described many of the contemporary advancements related to schedule thinning that have occurred over the past decade to help facilitate the use of these advancements in clinical practice. Further, we described some areas for consideration for researchers working in this area. We applaud those working in this area and hope the discussion contained herein permits incorporation of these advancements into readers’ clinical practice.
Acknowledgments
The authors thank Chloe Jones for her assistance during preparation of this manuscript.
Data availability
All analyses were conducted on publicly available data. All data beyond that contained herein are available from the corresponding author upon reasonable request.
Declarations
The authors declare that they have no conflicts of interest. No funding was used. No human subjects participated in this study. Thus, informed consent and institutional approval was not needed
Footnotes
Note that extinction is only one type of disruptor. Here, “disruption” or “disruptor” refers to some worsening of the reinforcement conditions for an alternative response such as the FCR. Common examples of disruptors include placing of the FCR on extinction or a downshift in the schedule of reinforcement, such as during schedule thinning or when omission errors occur.
Applied more broadly, RaC and RaC in Context are now referred to as the temporally weighted matching law. We direct readers to Shahan (2022) for a detailed overview.
Publisher's Note
Springer Nature remains neutral with regard to jurisdictional claims in published maps and institutional affiliations.
References
- Asmus JM, Ringdahl JE, Sellers JA, Call NA, Andelman MS, Wacker DP. Use of a short-term inpatient model to evaluate aberrant behavior: Outcome data summaries from 1996 to 2001. Journal of Applied Behavior Analysis. 2004;37(3):283–304. doi: 10.1901/jaba.2004.37-283. [DOI] [PMC free article] [PubMed] [Google Scholar]
- Athens ES, Vollmer TR. An investigation of differential reinforcement of alternative behavior without extinction. Journal of Applied Behavior Analysis. 2010;43(4):569–589. doi: 10.1901/jaba.2010.43-569. [DOI] [PMC free article] [PubMed] [Google Scholar]
- Austin JE, Tiger JH. Providing alternative reinforcers to facilitate tolerance to delayed reinforcement following functional communication training. Journal of Applied Behavior Analysis. 2015;48(3):663–668. doi: 10.1002/jaba.215. [DOI] [PubMed] [Google Scholar]
- Baer DM, Wolf MM, Risley TR. Some current dimensions of applied behavior analysis. Journal of Applied Behavior Analysis. 1968;1(1):91–97. doi: 10.1901/jaba.1968.1-91. [DOI] [PMC free article] [PubMed] [Google Scholar]
- Bannerman DJ, Sheldon JB, Sherman JA, Harchik AE. Balancing the right to habilitation with the right to personal liberties: The rights of people with developmental disabilities to eat too many doughnuts and take a nap. Journal of Applied Behavior Analysis. 1990;23(1):79–89. doi: 10.1901/jaba.1990.23-79. [DOI] [PMC free article] [PubMed] [Google Scholar]
- Baum WM, Rachlin HC. Choice as time allocation. Journal of the Experimental Analysis of Behavior. 1969;12(6):861–874. doi: 10.1901/jeab.1969.12-861. [DOI] [PMC free article] [PubMed] [Google Scholar]
- Behavior Analyst Certification Board. (2020). Ethics code for behavior analysts. https://www.bacb.com/ethics-information/ethics-codes/
- Betz AM, Fisher WW, Roane HS, Mintz JC, Owen TM. A component analysis of schedule thinning during functional communication training. Journal of Applied Behavior Analysis. 2013;46(1):219–241. doi: 10.1002/jaba.23. [DOI] [PubMed] [Google Scholar]
- Borrero CSW, Vollmer TR, Borrero JC, Bourret JC, Sloman KN, Samaha AL, Dallery J. Concurrent reinforcement schedules for problem behavior and appropriate behavior: Experimental applications of the matching law. Journal of the Experimental Analysis of Behavior. 2010;93(3):455–469. doi: 10.1901/jeab.2010.93-455. [DOI] [PMC free article] [PubMed] [Google Scholar]
- Boyle MA, Bacon MT, Carton SM, Augustine JJ, Janota TA, Curtis KS, Forck KL, Gaskill LA. Comparison of naturalistic and arbitrary discriminative stimuli during schedule thinning following functional communication training. Behavioral Interventions. 2021;36(1):3–20. doi: 10.1002/bin.1759. [DOI] [Google Scholar]
- Branch ME, Pennypacker HS. Generality and generalization of research findings. In: Madden GJ, Dube WV, Hackenberg TD, Hanley GP, Lattal KA, editors. APA handbook of behavior analysis. 1. Methods and principles; 2013. pp. 151–175. [Google Scholar]
- Briggs AM, Greer BD. Intensive behavioral intervention units. In: Maragakis A, Drossel C, Waltz TJ, editors. Applications of behavior analysis to healthcare and beyond. Springer; 2021. [Google Scholar]
- Briggs AM, Fisher WW, Greer BD, Kimball RT. Prevalence of resurgence of destructive behavior when thinning reinforcement schedules during functional communication training. Journal of Applied Behavior Analysis. 2018;51(3):620–633. doi: 10.1002/jaba.472. [DOI] [PMC free article] [PubMed] [Google Scholar]
- Briggs AM, Dozier CL, Lessor AN, Kamana BU, Jess RL. Further investigation of differential reinforcement of alternative behavior without extinction for escape-maintained destructive behavior. Journal of Applied Behavior Analysis. 2019;52(4):956–973. doi: 10.1002/jaba.648. [DOI] [PubMed] [Google Scholar]
- Briggs AM, Mitteer DR, Bergmann S, Greer BD. Reinforcer thinning: General approaches and considerations for maintaining skills and mitigating relapse. In: Matson JL, editor. Applied behavior analysis: A comprehensive guidebook. 2. Springer; 2023. pp. 105–102. [Google Scholar]
- Brown KR, Nercesian S. Discriminative stimuli promote the effectiveness of delay and denial tolerance training [Manuscript submitted for publication] Utah State University; 2023. [Google Scholar]
- Brown KR, Greer BD, Craig AR, Sullivan WE, Fisher WW, Roane HS. Resurgence following differential reinforcement of alternative behavior implemented with and without extinction. Journal of the Experimental Analysis of Behavior. 2020;113(2):449–467. doi: 10.1002/jeab.588. [DOI] [PMC free article] [PubMed] [Google Scholar]
- Brown KR, Zangrillo AN, Greer BD. Development of a systematic approach to identify reinforcer dimension sensitivity. Behavioral Development. 2021;26(2):62–80. doi: 10.1037/bdb0000102. [DOI] [Google Scholar]
- Brown KR, Gaynor RN, Randall KR, Zangrillo AN. A comparative analysis of procedures to teach delay tolerance. Behavior Analysis: Research and Practice. 2022;22(2):195–211. doi: 10.1037/bar0000224. [DOI] [Google Scholar]
- Brown, K. R., Hurd, A. M., Randall, K. R., Szabo, T., Mitteer, D. R. (2022). A family-centered care approach to behavior-analytic assessment and intervention. Behavior Analysis in Practice. 10.1007/s40617-022-00756-y Advance online publication
- Call NA, Parks NA, Reavis AR. Treating severe problem behavior within intensive day treatment programs. In: Reed D, DiGennaro Reed F, Luiselli JK, editors. Handbook of crisis intervention and developmental disabilities: Issues in clinical child psychology. Springer; 2013. pp. 367–391. [Google Scholar]
- Call NA, Clark SB, Lomas Mevers J, Parks NA, Volkert VM, Scheithauer MC. An individualized method for establishing and thinning multiple schedules of reinforcement following functional communication training. Learning & Motivation. 2018;62:91–102. doi: 10.1016/j.lmot.2017.03.006. [DOI] [Google Scholar]
- Carr EG, Kologinsky E. Acquisition of sign language by autistic children II: Spontaneity and generalization effects. Journal of Applied Behavior Analysis. 1983;16(3):297–314. doi: 10.1901/jaba.1983.16-297. [DOI] [PMC free article] [PubMed] [Google Scholar]
- Craig AR, Shahan TA. Behavioral momentum theory fails to account for the effects of reinforcement rate on resurgence. Journal of the Experimental Analysis of Behavior. 2016;105(3):375–392. doi: 10.1002/jeab.207. [DOI] [PMC free article] [PubMed] [Google Scholar]
- Craig AR, Browning KO, Shahan TA. Stimuli previously associated with reinforcement mitigate resurgence. Journal of the Experimental Analysis of Behavior. 2017;108(2):139–150. doi: 10.1002/jeab.278. [DOI] [PubMed] [Google Scholar]
- DeLeon IG, Neidert PL, Anders BM, Rodriguez-Catter V. Choices between positive and negative reinforcement during treatment for escape-maintained behavior. Journal of Applied Behavior Analysis. 2001;34(4):521–525. doi: 10.1901/jaba.2001.34-521. [DOI] [PMC free article] [PubMed] [Google Scholar]
- DeRosa NM, Roane HS, Wilson JL, Novak MD, Silkowski EL. Effects of arm-split rigidity on self-injury and adaptive behavior. Journal of Applied Behavior Analysis. 2015;48(4):860–864. doi: 10.1002/jaba.250. [DOI] [PubMed] [Google Scholar]
- Drifke MA, Tiger JH, Lillie MA. DRA contingencies promote improved tolerance to delayed reinforcement during FCT compared to DRO and fixed-time schedules. Journal of Applied Behavior Analysis. 2020;53(3):1579–1592. doi: 10.1002/jaba.704. [DOI] [PubMed] [Google Scholar]
- Dube WV, McIlvane WJ. Quantitative assessments of sensitivity to reinforcement contingencies in mental retardation. American Journal of Mental Retardation. 2002;107(2):136–145. doi: 10.1352/0895-8017(2002)107<0136:QAOSTR>2.0.CO;2. [DOI] [PubMed] [Google Scholar]
- Falligant JM, Hagopian LP. Further extensions of precision medicine to behavior analysis: A demonstration using functional communication training. Journal of Applied Behavior Analysis. 2020;53(4):1961–1981. doi: 10.1002/jaba.739. [DOI] [PMC free article] [PubMed] [Google Scholar]
- Falligant JM, Kranak MP, McNulty MK, Schmidt JD, Hausman NL, Rooker GW. Prevalence of renewal of problem behavior: Replication and extension to an inpatient setting. Journal of Applied Behavior Analysis. 2021;54(1):367–373. doi: 10.1002/jaba.740. [DOI] [PMC free article] [PubMed] [Google Scholar]
- Falligant JM, Chin MD, Kurtz PF. Renewal and resurgences of severe problem behavior in an intensive outpatient setting: Prevalence, magnitude, and implications for practice. Behavioral Interventions. 2022;37(3):909–924. doi: 10.1002/bin.1878. [DOI] [Google Scholar]
- Falligant JM, Hagopian LP, Kranak MP, Kurtz PF. Quantifying increases in problem behavior following downshifts in reinforcement: A retrospective analysis and replication. Journal of the Experimental Analysis of Behavior. 2022;118(1):148–155. doi: 10.1002/jeab.769. [DOI] [PubMed] [Google Scholar]
- Favell JE, McGimsey JF, Schell RM. Treatment of self-injury by providing alternate sensory activities. Analysis & Intervention in Developmental Disabilities. 1982;2(1):83–104. doi: 10.1016/0270-4684(82)90007-6. [DOI] [Google Scholar]
- Findley JD. Preference and switching under concurrent scheduling. Journal of the Experimental Analysis of Behavior. 1958;1(2):123–144. doi: 10.1901/jeab.1958.1-123. [DOI] [PMC free article] [PubMed] [Google Scholar]
- Fisher WW, Piazza CC, Bowman LG, Hagopian LP, Owens JC, Slevin I. A comparison of two approaches for identifying reinforcers for persons with severe and profound disabilities. Journal of Applied Behavior Analysis. 1992;25(2):491–498. doi: 10.1901/jaba.1992.25-491. [DOI] [PMC free article] [PubMed] [Google Scholar]
- Fisher WW, Kuhn DE, Thompson RH. Establishing discriminative control of responding using functional and alternative reinforcers during functional communication training. Journal of Applied Behavior Analysis. 1998;31(4):543–560. doi: 10.1901/jaba.1998.31-543. [DOI] [PMC free article] [PubMed] [Google Scholar]
- Fisher WW, Thompson RH, Hagopian LP, Bowman LG, Krug A. Facilitating tolerance of delayed reinforcement during functional communication training. Behavior Modification. 2000;24(1):3–29. doi: 10.1177/0145445500241001. [DOI] [PubMed] [Google Scholar]
- Fisher WW, Greer BD, Fuhrman AM, Querim AC. Using multiple schedules during functional communication training to promote rapid transfer of treatment effects. Journal of Applied Behavior Analysis. 2015;48(4):713–733. doi: 10.1002/jaba.254. [DOI] [PMC free article] [PubMed] [Google Scholar]
- Fisher WW, Greer BD, Craig AR, Retzlaff BJ, Fuhrman AM, Lichtblau KR, Saini V. On the predictive validity of behavioral momentum theory for mitigating resurgence of problem behavior. Journal of the Experimental Analysis of Behavior. 2018;109(1):281–290. doi: 10.1002/jeab.488. [DOI] [PMC free article] [PubMed] [Google Scholar]
- Fisher WW, Greer BD, Fuhrman AM, Saini V, Simmons CA. Minimizing resurgence of destructive behavior using behavioral momentum theory. Journal of Applied Behavior Analysis. 2018;51(4):831–853. doi: 10.1002/jaba.499. [DOI] [PMC free article] [PubMed] [Google Scholar]
- Fisher WW, Fuhrman AM, Greer BD, Mitteer DR, Piazza CC. Mitigating resurgence of destructive behavior using the discriminative stimuli of a multiple schedule. Journal of the Experimental Analysis of Behavior. 2020;113(1):263–277. doi: 10.1002/jeab.552. [DOI] [PMC free article] [PubMed] [Google Scholar]
- Fisher WW, Greer BD, Mitteer DR, Fuhrman AM. Translating quantitative theories of behavior into improved clinical treatments for problem behavior. Behavioural Processes. 2022;198:104639. doi: 10.1016/j.beproc.2022.104639. [DOI] [PMC free article] [PubMed] [Google Scholar]
- Fuhrman AM, Fisher WW, Greer BD. A preliminary investigation on improving functional communication training by mitigating resurgence of destructive behavior. Journal of Applied Behavior Analysis. 2016;49(4):884–899. doi: 10.1002/jaba.338. [DOI] [PMC free article] [PubMed] [Google Scholar]
- Fuhrman AM, Greer BD, Zangrillo AN, Fisher WW. Evaluating competing activities to enhance functional communication training during reinforcement schedule thinning. Journal of Applied Behavior Analysis. 2018;51(4):931–942. doi: 10.1002/jaba.486. [DOI] [PMC free article] [PubMed] [Google Scholar]
- Ghaemmaghami M, Hanley GP, Jessel J. Contingencies promote delay tolerance. Journal of Applied Behavior Analysis. 2016;49(3):548–575. doi: 10.1002/jaba.333. [DOI] [PubMed] [Google Scholar]
- Ghaemmaghami M, Hanley GP, Jessel J, Landa R. Shaping complex functional communication responses. Journal of Applied Behavior Analysis. 2018;51(3):502–520. doi: 10.1002/jaba.468. [DOI] [PubMed] [Google Scholar]
- Ghaemmaghami M, Hanley GP, Jessel J. Functional communication training: From efficacy to effectiveness. Journal of Applied Behavior Analysis. 2021;54(1):122–143. doi: 10.1002/jaba.762. [DOI] [PubMed] [Google Scholar]
- Greer BD, Shahan TA. Resurgence as choice: Implications for promoting durable behavior change. Journal of Applied Behavior Analysis. 2019;52(3):816–846. doi: 10.1002/jaba.573. [DOI] [PMC free article] [PubMed] [Google Scholar]
- Greer BD, Fisher WW, Saini V, Owen TM, Jones JK. Functional communication training during reinforcement schedule thinning: An analysis of 25 applications. Journal of Applied Behavioral Analysis. 2016;49(1):105–121. doi: 10.1002/jaba.265. [DOI] [PMC free article] [PubMed] [Google Scholar]
- Greer BD, Fisher WW, Romani PW, Saini V. Behavioral momentum theory: A tutorial on response persistence. The Behavior Analyst. 2016;39(2):269–291. doi: 10.1007/s40614-016-0050-0. [DOI] [PMC free article] [PubMed] [Google Scholar]
- Greer BD, Fisher WW, Briggs AM, Lichtblau KR, Phillips LA, Mitteer DR. Using schedule-correlated stimuli during functional communication training to promote the rapid transfer of treatment effects. Behavioral Development. 2019;24(2):110–119. doi: 10.1037/bdb0000085. [DOI] [PMC free article] [PubMed] [Google Scholar]
- Greer BD, Fisher WW, Fuhrman AM, Mitteer DR. Conducting translational research in the context of patient care. Perspectives on Behavior Science. 2022;45(2):383–398. doi: 10.1007/s40614-022-00333-2. [DOI] [PMC free article] [PubMed] [Google Scholar]
- Haddock JN, Hagopian LP. Competing stimulus assessments: A systematic review. Journal of Applied Behavior Analysis. 2020;53(4):1982–2001. doi: 10.1002/jaba.754. [DOI] [PMC free article] [PubMed] [Google Scholar]
- Hagopian LP. The consecutive controlled case series: Design, data-analytics, and reporting methods supporting the study of generality. Journal of Applied Behavior Analysis. 2020;53(2):596–619. doi: 10.1002/jaba.691. [DOI] [PMC free article] [PubMed] [Google Scholar]
- Hagopian LP, Fisher WW, Sullivan MT, Acquisto J, LeBlanc LA. Effectiveness of functional communication training with and without extinction and punishment: A summary of 21 inpatient cases. Journal of Applied Behavior Analysis. 1998;31(2):211–235. doi: 10.1901/jaba.1998.31-211. [DOI] [PMC free article] [PubMed] [Google Scholar]
- Hagopian LP, Toole LM, Long ES, Bowman LG, Lieving GA. A comparison of dense-to-lean and fixed lean schedules of alternative reinforcement and extinction. Journal of Applied Behavior Analysis. 2004;37(3):323–338. doi: 10.1901/jaba.2004.37-323. [DOI] [PMC free article] [PubMed] [Google Scholar]
- Hagopian LP, Contrucci Kuhn SA, Long ES, Rush KS. Schedule thinning following communication training: Using competing stimuli to enhance tolerance to decrements in reinforcer density. Journal of Applied Behavior Analysis. 2005;38(2):177–193. doi: 10.1901/jaba.2005.43-04. [DOI] [PMC free article] [PubMed] [Google Scholar]
- Hagopian LP, Boelter EW, Jarmolowicz DP. Reinforcement schedule thinning following functional communication training: Review and recommendations. Behavior Analysis in Practice. 2011;4(1):4–16. doi: 10.1007/BF03391770. [DOI] [PMC free article] [PubMed] [Google Scholar]
- Hagopian LP, Rooker GW, Zarcone JR, Bonner AC, Arevalo AR. Further analysis of subtypes of automatically reinforced SIB: A replication and quantitative analysis of published datasets. Journal of Applied Behavior Analysis. 2017;50(1):48–66. doi: 10.1002/jaba.368. [DOI] [PMC free article] [PubMed] [Google Scholar]
- Hagopian LP, Rooker GW, Yenokyan G. Identifying predictive behavioral markers: A demonstration using automatically reinforced self-injurious behavior. Journal of Applied Behavior Analysis. 2018;51(3):443–465. doi: 10.1002/jaba.477. [DOI] [PMC free article] [PubMed] [Google Scholar]
- Hagopian LP, Frank-Crawford MA, Javed N, Fisher AB, Dillon CM, Zarcone JR, Rooker GW. Initial outcomes of an augmented competing stimulus assessment. Journal of Applied Behavior Analysis. 2020;53(4):2172–2185. doi: 10.1002/jaba.725. [DOI] [PMC free article] [PubMed] [Google Scholar]
- Hagopian LP, Falligant JM, Frank-Crawford MA, Yenokyan G, Piersma DE, Kaur J. Simplified methods for identifying subtypes of automatically maintained self-injury. Journal of Applied Behavior Analysis. 2023;56(3):575–592. doi: 10.1002/jaba.1005. [DOI] [PMC free article] [PubMed] [Google Scholar]
- Haney SD, Greer BD, Mitteer DR, Randall KR. Relapse during the treatment of pediatric feeding disorders. Journal of Applied Behavior Analysis. 2022;55(3):704–726. doi: 10.1002/jaba.913. [DOI] [PMC free article] [PubMed] [Google Scholar]
- Hanley GP, Iwata BA, Thompson RA. Reinforcement schedule thinning following treatment with functional communication training. Journal of Applied Behavior Analysis. 2001;34(1):17–38. doi: 10.1901/jaba.2001.34-17. [DOI] [PMC free article] [PubMed] [Google Scholar]
- Hanley GP, Jin CS, Vanselow NR, Hanratty LA. Producing meaningful improvements in problem behavior of children with autism via synthesized and treatments. Journal of Applied Behavior Analysis. 2014;47(1):16–36. doi: 10.1002/jaba.106. [DOI] [PubMed] [Google Scholar]
- Harding JW, Wacker DP, Berg WK, Cooper LJ, Asmus J, Mlela K, Muller J. An analysis of choice making in the assessment of young children with severe behavior problems. Journal of Applied Behavior Analysis. 1999;32(1):63–82. doi: 10.1901/jaba.1999.32-63. [DOI] [PMC free article] [PubMed] [Google Scholar]
- Hoch H, McComas JJ, Thompson AL, Paone D. Concurrent reinforcement schedules: Behavior change and maintenance without extinction. Journal of Applied Behavior Analysis. 2002;35(2):155–169. doi: 10.1901/jaba.2002.35-155. [DOI] [PMC free article] [PubMed] [Google Scholar]
- Horner RH, Day HM. The effects of response efficiency on functionally equivalent competing behaviors. Journal of Applied Behavior Analysis. 1991;24(4):719–732. doi: 10.1901/jaba.1991.24-719. [DOI] [PMC free article] [PubMed] [Google Scholar]
- Houck EJ, Dracobly JD, Baak SA. A practitioner’s guide for selecting functional communication responses. Behavior Analysis in Practice. 2022;16(1):65–75. doi: 10.1007/s40617-022-00705-9. [DOI] [PMC free article] [PubMed] [Google Scholar]
- Huitema BE. The analysis of covariance and alternatives: Statistical methods for experiments, quasi-experiments, and single-case studies. Wiley; 2011. [Google Scholar]
- Jessel J, Ingvarsson ET, Metras R, Kirk H, Whipple R. Achieving socially significant reductions in problem behavior following the interview-informed synthesized contingency analysis: A summary of 25 outpatient applications. Journal of Applied Behavior Analysis. 2018;51(1):130–157. doi: 10.1002/jaba.436. [DOI] [PubMed] [Google Scholar]
- Kimball RT, Kranak MP. Six things practitioners should know about renewal. Education & Treatment of Children. 2022;45(4):395–410. doi: 10.1007/s43494-022-00078-2. [DOI] [Google Scholar]
- Kimball RT, Greer BD, Fuhrman AM, Lambert JM. Relapse and its mitigation: Toward behavioral inoculation. Journal of Applied Behavior Analysis. 2023;56(2):282–301. doi: 10.1002/jaba.971. [DOI] [PMC free article] [PubMed] [Google Scholar]
- Kranak MP, Falligant JM. Further investigation of resurgence following schedule thinning: Extension to an inpatient setting. Behavioral Interventions. 2021;36(4):1003–1012. doi: 10.1002/bin.1831. [DOI] [Google Scholar]
- Kranak MP, Falligant JM. Analysis of terminal schedule probes and schedule thinning effects following functional communication training. Behavioral Interventions. 2022;37(2):323–333. doi: 10.1002/bin.1842. [DOI] [Google Scholar]
- Kunnavatana, S. S., Bloom, S. E., Samaha, A. L., Slocum, T. A., Clay, C. J. (2018). Manipulating parameters of reinforcement to reduce problem behavior without extinction. Journal of Applied Behavior Analysis, 51(2), 10.1002/jaba.443 [DOI] [PubMed]
- Kurtz PF, Boelter EW, Jarmolowicz DP, Chin MD, Hagopian LP. An analysis of functional communication training as an empirically supported treatment for problem behavior displayed by individuals with intellectual and developmental disabilities. Research in Developmental Disabilities. 2011;32(6):2935–2942. doi: 10.1016/j.ridd.2011.05.009. [DOI] [PubMed] [Google Scholar]
- Lalli JS, Casey SD. Treatment of multiply controlled problem behavior. Journal of Applied Behavior Analysis. 1996;29(3):391–395. doi: 10.1901/jaba.1996.29-391. [DOI] [PMC free article] [PubMed] [Google Scholar]
- Lattal KA, Cancado CRX, Cook JE, Kincaid SL, Nighbor TD, Oliver AC. On defining resurgence. Behavioural Processes. 2017;141(1):85–91. doi: 10.1016/j.beproc.2017.04.018. [DOI] [PubMed] [Google Scholar]
- Laureano B, Falligant JM. Modeling behavioral persistence with resurgence as choice in context (RaC2): A tutorial. Behavior Analysis in Practice. 2023;16:640–651. doi: 10.1007/s40617-023-00796-y. [DOI] [PMC free article] [PubMed] [Google Scholar]
- Laureano B, Fernandez N, Hagopian LP. Efficacy of competing stimulus assessments: A summary of 35 consecutively encountered cases. Journal of Applied Behavior Analysis. 2023;56(2):428–441. doi: 10.1002/jaba.979. [DOI] [PMC free article] [PubMed] [Google Scholar]
- LeBlanc LA, Hagopian LP, Marhefka JE, Wilke AE. Effects of therapist gender and type of attention on assessment and treatment of attention-maintained destructive behavior. Behavioral Interventions. 2001;16(1):39–57. doi: 10.1002/bin.73. [DOI] [Google Scholar]
- Lerman DC, Kelley ME, Vorndran CM, Kuhn SAC, LaRue RH., Jr Reinforcement magnitude and responding during treatment with differential reinforcement. Journal of Applied Behavior Analysis. 2002;35(1):29–48. doi: 10.1901/jaba.2002.35-29. [DOI] [PMC free article] [PubMed] [Google Scholar]
- McCartney EJ, Anderson CM, English CL, Horner RH. Effect of brief clinic-based training on the ability of caregivers to implement escape extinction. Journal of Positive Behavior Interventions. 2005;7(1):18–32. doi: 10.1177/10983007050070010301. [DOI] [Google Scholar]
- McComas J, Hartman EC, Jimenez A. Some effects of magnitude of reinforcement on persistence of responding. The Psychological Record. 2008;58(4):517–528. doi: 10.1007/BF03395635. [DOI] [Google Scholar]
- McComas J, Wacker DP, Schieltz KM, Simacek J, Berg WK. Functional communication training for durable behavior change. In: Ganz JB, Simpson RL, editors. Interventions for individuals with autism spectrum disorders and complex communication needs. Paul H Brookes; 2019. [Google Scholar]
- Miller SA, Fisher WW, Greer BD, Saini V, Keevy MD. Procedures for determining and then modifying the extinction component of multiple schedules for destructive behavior. Journal of Applied Behavior Analysis. 2022;55(2):463–480. doi: 10.1002/jaba.896. [DOI] [PubMed] [Google Scholar]
- Mitteer DR, Fisher WW, Briggs AM, Greer BD, Hardee AM. Evaluation of an omnibus mand in the treatment of multiply controlled destructive behavior. Behavioral Development. 2019;24(2):74–88. doi: 10.1037/bdb0000088. [DOI] [PMC free article] [PubMed] [Google Scholar]
- Mitteer DR, Greer BD, Randall KR, Haney SD. On the scope and characteristics of relapse when treating severe destructive behavior. Journal of Applied Behavior Analysis. 2022;55(3):688–703. doi: 10.1002/jaba.912. [DOI] [PMC free article] [PubMed] [Google Scholar]
- Muething C, Pavlov A, Call N, Ringdahl J, Gillespie S. Prevalence of resurgence during thinning of multiple schedules of reinforcement following functional communication training. Journal of Applied Behavior Analysis. 2021;54(2):813–823. doi: 10.1002/jaba.791. [DOI] [PubMed] [Google Scholar]
- Muharib R, Alrasheed F, Ninci J, Walker VL, Voggt AP. Thinning schedules of reinforcement following functional communication training for children with intellectual and developmental disabilities: A meta-analytic review. Journal of Autism & Developmental Disorders. 2019;49(12):4788–4806. doi: 10.1007/s10803-019-04191-x. [DOI] [PubMed] [Google Scholar]
- Muharib R, Walker VL, Alrasheed F, Gerow S. Effects of multiple schedules of reinforcement on appropriate communication and challenging behaviors: A meta-analysis. Journal of Autism & Developmental Disorders. 2021;51:613–631. doi: 10.1007/s10803-020-04569-2. [DOI] [PubMed] [Google Scholar]
- Neef NA, Shade D, Miller MS. Assessing influential dimensions of reinforcers on choice in students with serious emotional disturbance. Journal of Applied Behavior Analysis. 1994;27(4):575–583. doi: 10.1901/jaba.1994.27-575. [DOI] [PMC free article] [PubMed] [Google Scholar]
- Nevin JA, Grace RC. Resistance to extinction in the steady state and in transition. Journal of Experimental Psychology: Animal Behavior Processes. 2005;31(2):199–212. doi: 10.1037/0097-7403.31.2.199. [DOI] [PubMed] [Google Scholar]
- Nevin JA, Craig AR, Cunningham PJ, Podlesnik CA, Shahan TA, Sweeney MM. Quantitative models of persistence and relapse from the perspective of behavioral momentum theory: Fits and misfits. Behavioural Processes. 2017;141(1):92–99. doi: 10.1016/j.beproc.2017.04.016. [DOI] [PMC free article] [PubMed] [Google Scholar]
- O’Brien, M. J., Pauls, A. M., Schieltz, K. M., McComas, J. J., Ringdahl, J. E. (2023). Mand modality preference assessments among high- and low-tech options for individuals with intellectual and developmental disabilities: A systematic review. Behavior Analysis in Practice. 10.1007/s40617-023-00829-6 Advance online publication [DOI] [PMC free article] [PubMed]
- O'Dell AJ, Greer BD, Fuhrman AM, Hardee AM. On the efficacy of and preference for signaling extinction in a multiple schedule. Behavioral Development. 2021;26(2):43–61. doi: 10.1037/bdb0000104. [DOI] [PMC free article] [PubMed] [Google Scholar]
- Petscher ES, Rey C, Bailey JS. A review of empirical support for differential reinforcement of alternative behavior. Research in Developmental Disabilities. 2009;30(3):409–425. doi: 10.1016/j.ridd.2008.08.008. [DOI] [PubMed] [Google Scholar]
- Piazza CC, Bowman LG, Contrucci SA, Delia MD, Adelinis JD, Goh HL. An evaluation of the properties of attention as reinforcement for destructive and appropriate behavior. Journal of Applied Behavior Analysis. 1999;32(4):437–449. doi: 10.1901/jaba.1999.32-437. [DOI] [PMC free article] [PubMed] [Google Scholar]
- Pizarro EM, Vollmer TR, Morris SL. Evaluating skills correlated with discriminated responding in multiple schedule arrangements. Journal of Applied Behavior Analysis. 2021;54(1):334–345. doi: 10.1002/jaba.759. [DOI] [PubMed] [Google Scholar]
- Podlesnik CA, DeLeon IG. Behavioral momentum theory: Understanding persistence and improving treatment. In: Reed FDD, Reed DD, editors. Autism service delivery: Bridging the gap between science and practice. Springer Science + Business Media; 2015. pp. 327–351. [Google Scholar]
- Pritchard D, Hoerger M, Mace FC. Treatment relapse and behavioral momentum theory. Journal of Applied Behavior Analysis. 2014;47(4):814–833. doi: 10.1002/jaba.163. [DOI] [PubMed] [Google Scholar]
- Randall KR, Greer BD, Smith SW, Kimball RT. Sustaining behavior reduction by transitioning the topography of the functional communication response. Journal of Applied Behavior Analysis. 2021;54(3):1013–1031. doi: 10.1002/jaba.824. [DOI] [PMC free article] [PubMed] [Google Scholar]
- Reichle J, Wacker DP. Functional communication training for problem behavior. Guilford Press; 2017. [Google Scholar]
- Ringdahl JE, St. Peter CC. Resurgence: The unintended maintenance of problem behavior. Education and Treatment of Children. 2017;40(1):7–26. doi: 10.1353/etc.2017.0002. [DOI] [Google Scholar]
- Ringdahl JE, Falcomata TS, Christensen TJ, Bass-Ringdahl SM, Lentz A, Dutt A, Schuh-Claus J. Evaluation of a pre-treatment assessment to select mand topographies for functional communication training. Research in Developmental Disabilities. 2009;30(2):330–341. doi: 10.1016/j.ridd.2008.06.002. [DOI] [PubMed] [Google Scholar]
- Ringdahl JE, Berg WK, Wacker DP, Ryan S, Ryan A, Crook K, Molony M. Further demonstrations of individual preference among mand modalities during functional communication training. Journal of Developmental & Physical Disabilities. 2016;28(6):905–917. doi: 10.1007/s10882-016-9518-9. [DOI] [PMC free article] [PubMed] [Google Scholar]
- Ringdahl JE, Berg WK, Wacker DP, Crook K, Molony MA, Vargo KK, Neurnberger JE, Zabala K, Taylor CJ. Effects of response preference on resistance to change. Journal of the Experimental Analysis of Behavior. 2018;109(1):265–280. doi: 10.1002/jeab.308. [DOI] [PMC free article] [PubMed] [Google Scholar]
- Ringdahl JE, Crook K, Berg WK, Wacker DP, Molony M, Romani P, Ryan S, Ryan A, Zabala K. Further evaluation of prompt density, rate of reinforcement, and the persistence of manding. Behavioral Interventions. 2023;38(3):538–553. doi: 10.1002/bin.1944. [DOI] [Google Scholar]
- Romani PW, Suess AN, Whittington H, Kopelman C, Ringdahl JE, Vinquist KM, Dutt A. Prompt density, rate of reinforcement, and the persistence of manding. The Psychological Record. 2013;63(4):821–834. doi: 10.11133/j.tpr.2013.63.4.008. [DOI] [Google Scholar]
- Romani PW, Donaldson A, Ager AJ, Peaslee JE, Garden SM, Ariefdjohan M. Assessment and treatment of aggression during public outings. Education & Treatment of Children. 2019;42(3):345–360. doi: 10.1353/etc.2019.0016. [DOI] [Google Scholar]
- Romani PW, Banks T, Barnes JC, Murphy J, Sannar EM, Anderson T. Use of a short-term psychiatric inpatient model to address problem behavior exhibited by youth with intellectual or developmental disabilities. Evidence-Based Practice in Child & Adolescent Mental Health. 2021;6(4):447–458. doi: 10.1080/23794925.2021.1975517. [DOI] [Google Scholar]
- Romani PW, Sannar EM, Luehring MC, McCleary M, Ladyga R. 48.3 A short-term partial hospitalization program for youth with ASD and developmental disorders. Journal of the American Academy of Child & Adolescent Psychiatry. 2022;61(10):S65. doi: 10.1016/j.jaac.2022.07.272. [DOI] [Google Scholar]
- Rooker GW, Jessel J, Kurtz PF, Hagopian LP. Functional communication training with and without alternative reinforcement and punishment: An analysis of 58 applications. Journal of Applied Behavior Analysis. 2013;46(4):708–722. doi: 10.1002/jaba.76. [DOI] [PubMed] [Google Scholar]
- Saini V, Miller SA, Fisher WW. Multiple schedules in practical application: Research trends and implications for future investigation. Journal of Applied Behavior Analysis. 2016;49(2):421–444. doi: 10.1002/jaba.300. [DOI] [PMC free article] [PubMed] [Google Scholar]
- Saini V, Fisher WW, Pisman MD. Persistence during and resurgence following noncontingent reinforcement implemented with and without problem behavior. Journal of Applied Behavior Analysis. 2017;50(2):377–392. doi: 10.1002/jaba.380. [DOI] [PubMed] [Google Scholar]
- Saini V, Fisher WW, Retzlaff BJ, Keevy M. Efficiency in functional analysis of problem behavior: A quantitative and qualitative review. Journal of Applied Behavior Analysis. 2020;53(1):44–66. doi: 10.1002/jaba.583. [DOI] [PMC free article] [PubMed] [Google Scholar]
- Santiago JL, Hanley GP, Moore K, Jin S. The generality of interview-informed functional analyses: Systematic replication in school and home. Journal of Autism & Developmental Disorders. 2016;46(2):797–811. doi: 10.1007/s10803-0150-2617-0. [DOI] [PubMed] [Google Scholar]
- Schepers ST, Bouton ME. Effects of reinforcer distribution during response elimination on resurgence of an instrumental behavior. Journal of Experimental Psychology: Animal Learning and Cognition. 2015;41(2):179–192. doi: 10.1037/xan0000061. [DOI] [PMC free article] [PubMed] [Google Scholar]
- Shahan TA. A theory of the extinction burst. Perspectives on Behavior Science. 2022;45(3):495–519. doi: 10.1007/s40614-022-00340-3. [DOI] [PMC free article] [PubMed] [Google Scholar]
- Shahan TA, Craig AR. Resurgence as choice. Behavioural Processes. 2017;141:100–127. doi: 10.1016/j.beproc.2016.10.006. [DOI] [PMC free article] [PubMed] [Google Scholar]
- Shahan TA, Greer BD. Destructive behavior increases as a function of reductions in alternative reinforcement during schedule thinning: A retrospective quantitative analysis. Journal of the Experimental Analysis of Behavior. 2021;116(2):243–248. doi: 10.1002/jeab.708. [DOI] [PMC free article] [PubMed] [Google Scholar]
- Shahan TA, Browning KO, Nall RW. Resurgence as choice in context: Treatment duration and on/off alternative reinforcement. Journal of the Experimental Analysis of Behavior. 2020;113(1):57–76. doi: 10.1002/jeab.563. [DOI] [PMC free article] [PubMed] [Google Scholar]
- Shahan, T. A. (Principal Investigator). (2018–2028). Basic and clinical studies in reinforcing positive behaviors in intellectual and developmental disabilities (Project No. 2R01HD093734-06) [Grant]. Eunice Kennedy Shriver National Institute of Child Health & Human Development. https://reporter.nih.gov/search/MthD5-HBfkCG531pG-MN6A/project-details/10583211
- Shamlian KD, Fisher WW, Steege MW, Cavanaugh BM, Samour K, Querim AC. Evaluation of multiple schedules with naturally occurring and therapist-arranged discriminative stimuli following functional communication training. Journal of Applied Behavior Analysis. 2016;49(2):228–250. doi: 10.1002/jaba.293. [DOI] [PMC free article] [PubMed] [Google Scholar]
- Shirley MJ, Iwata BA, Kahng SW, Mazaleski JL, Lerman DC. Does functional communication training compete with ongoing contingencies of reinforcement? An analysis during response acquisition and maintenance. Journal of Applied Behavior Analysis. 1997;30(1):93–104. doi: 10.1901/jaba.1997.30-93. [DOI] [PMC free article] [PubMed] [Google Scholar]
- Slocum SK, Vollmer TR. A comparison of positive and negative reinforcement for compliance to treat problem behavior maintained by escape. Journal of Applied Behavior Analysis. 2015;48(3):563–574. doi: 10.1002/jaba.216. [DOI] [PubMed] [Google Scholar]
- Smith SW, Greer BD. Behavioral momentum theory. In: Matson JL, editor. Handbook of applied behavior analysis: Integrating research into practice. Springer; 2023. pp. 123–139. [Google Scholar]
- Smith, S. W., Greer, B. D. (2023b). Translational evaluation of on/off alternative reinforcement cycling. Journal of the Experimental Analysis of Behavior. 10.1002/jeab.879 Advance online publication [DOI] [PMC free article] [PubMed]
- Sumter ME, Gifford MR, Tiger JH, Effertz HM, Fulton CJ. Providing noncontingent, alternative, functional reinforcers during delays following functional communication training. Journal of Applied Behavior Analysis. 2020;53(4):2319–2329. doi: 10.1002/jaba.708. [DOI] [PubMed] [Google Scholar]
- Tiger JH, Hanley GP, Hernandez E. An evaluation of the value of choice with preschool children. Journal of Applied Behavior Analysis. 2006;39(1):1–16. doi: 10.1901/jaba.2006.158-04. [DOI] [PMC free article] [PubMed] [Google Scholar]
- Tiger JH, Hanley GP, Bruzek J. Functional communication training: A review and practical guide. Behavior Analysis in Practice. 2008;1(1):16–23. doi: 10.1007/BF03391716. [DOI] [PMC free article] [PubMed] [Google Scholar]
- Torelli JN, Pickren SE. Using chained or tandem schedules with functional communication training: A systematic review. Behavior Modification. 2022;47(1):185–218. doi: 10.1177/01454455221077420. [DOI] [PubMed] [Google Scholar]
- Trask S, Keim CL, Bouton ME. Factors that encourage generalization from extinction to test reduce resurgence of an extinguished operant response. Journal of the Experimental Analysis of Behavior. 2018;110(1):11–23. doi: 10.1002/jeab.446. [DOI] [PMC free article] [PubMed] [Google Scholar]
- Trosclair-Lasserre NM, Lerman DC, Call NA, Addison LR, Kodak T. Reinforcement magnitude: An evaluation of preference and reinforcer efficacy. Journal of Applied Behavior Analysis. 2008;41(2):203–220. doi: 10.1901/jaba.2008.41-203. [DOI] [PMC free article] [PubMed] [Google Scholar]
- Volkert VM, Lerman DC, Call NA, Trosclair-Lasserre N. An evaluation of resurgence during treatment with functional communication training. Journal of Applied Behavior Analysis. 2009;42(1):145–160. doi: 10.1901/jaba.2009.42-145. [DOI] [PMC free article] [PubMed] [Google Scholar]
- Vollmer TR, Peters KP, Kronfli FR, Lloveras LA, Ibanez VF. On the definition of differential reinforcement of alternative behavior. Journal of Applied Behavior Analysis. 2020;53(3):1299–1303. doi: 10.1002/jaba.701. [DOI] [PubMed] [Google Scholar]
- Wacker DP, Harding JW, Berg WK, Lee JF, Schieltz KM, Padilla YC, Nevin JA, Shahan TA. An evaluation of persistence of treatment effects during long-term treatment of destructive behavior. Journal of the Experimental Analysis of Behavior. 2011;96(2):261–282. doi: 10.1901/jeab.2011.96-261. [DOI] [PMC free article] [PubMed] [Google Scholar]
- Wacker DP, Schieltz KM, Berg WK, Harding JW, Dalmau YCP, Lee JF. The long-term effects of functional communication training conducted in young children's home settings. Education and Treatment of Children. 2017;40(1):43–56. doi: 10.1353/etc.2017.0003. [DOI] [PMC free article] [PubMed] [Google Scholar]
- Weinsztok SC, DeLeon IG. The mitigating effects of enhanced reinforcer magnitude and quality on treatment degradation. Journal of Applied Behavior Analysis. 2022;55(2):547–571. doi: 10.1002/jaba.910. [DOI] [PubMed] [Google Scholar]
- Wu J, Kopelman TG, Miller K. Using functional communication to reduce problem behavior. Intervention in School & Clinic. 2022;57(5):343–347. doi: 10.1177/10534512211032628. [DOI] [Google Scholar]
- Zarcone JR, Hagopian LP, Ninci J, McKay C, Bonner A, Dillon C, Hausman NL. Measuring the complexity of treatment for challenging behavior using the treatment intensity rating form. International Journal of Developmental Disabilities. 2016;62(3):183–191. doi: 10.1080/20473869.2016.1173316. [DOI] [PMC free article] [PubMed] [Google Scholar]
Associated Data
This section collects any data citations, data availability statements, or supplementary materials included in this article.
Data Availability Statement
All analyses were conducted on publicly available data. All data beyond that contained herein are available from the corresponding author upon reasonable request.

