Abstract
Background
Insecticide resistance (IR) is one of the major threats to malaria vector control programs in endemic countries. However, the mechanisms underlying IR are poorly understood. Thus, investigating gene expression patterns related to IR can offer important insights into the molecular basis of IR in mosquitoes. In this study, RNA-Seq was used to characterize gene expression in Anopheles gambiae surviving exposure to pyrethroids (deltamethrin, alphacypermethrin) and an organophosphate (pirimiphos-methyl).
Results
Larvae of An. gambiae s.s. collected from Bassila and Djougou in Benin were reared to adulthood and phenotyped for IR using a modified CDC intensity bottle bioassay. The results showed that mosquitoes from Djougou were more resistant to pyrethroids (5X deltamethrin: 51.7% mortality; 2X alphacypermethrin: 47.4%) than Bassila (1X deltamethrin: 70.7%; 1X alphacypermethrin: 77.7%), while the latter were more resistant to pirimiphos-methyl (1.5X: 48.3% in Bassila and 1X: 21.5% in Djougou). RNA-seq was then conducted on resistant mosquitoes, non-exposed mosquitoes from the same locations and the laboratory-susceptible An. gambiae s.s. Kisumu strain. The results showed overexpression of detoxification genes, including cytochrome P450s (CYP12F2, CYP12F3, CYP4H15, CYP4H17, CYP6Z3, CYP9K1, CYP4G16, and CYP4D17), carboxylesterase genes (COEJHE5E, COE22933) and glutathione S-transferases (GSTE2 and GSTMS3) in all three resistant mosquito groups analyzed. Genes encoding cuticular proteins (CPR130, CPR10, CPR15, CPR16, CPR127, CPAP3-C, CPAP3-B, and CPR76) were also overexpressed in all the resistant groups, indicating their potential role in cross resistance in An. gambiae. Salivary gland protein genes related to ‘salivary cysteine-rich peptide’ and ‘salivary secreted mucin 3’ were also over-expressed and shared across all resistant groups.
Conclusion
Our results suggest that in addition to metabolic enzymes, cuticular and salivary gland proteins could play an important role in cross-resistance to multiple classes of insecticides in Benin. These genes warrant further investigation to validate their functional role in An. gambiae resistance to insecticides.
Supplementary Information
The online version contains supplementary material available at 10.1186/s12864-024-10261-x.
Keywords: Insecticide resistance, An. gambiae, Vector surveillance, RNA-seq, Differential gene expression
Background
Insecticide-based vector control approaches such as insecticide-treated nets (ITNs) and indoor residual spraying (IRS) are core methods to break human-vector contact, thus reducing transmission of malaria [1]. The insecticides traditionally used in vector control fall within 4 main classes: pyrethroids, carbamates, organochlorines, and organophosphates, with pyrroles and neonicotinoids being recently repurposed from agricultural pesticides [2]. Because of this reliance on insecticide-based control methods, the emergence and spread of insecticide resistance in mosquito vectors is becoming a serious threat.
Insecticide resistance is caused by multiple mechanisms including target site insensitivity, such as knockdown resistance (kdr), and metabolic resistance brought about by the increased production of enzymes capable of breaking down insecticides [3]. Knockdown resistance (kdr) arises from mutations in the voltage-gated sodium channel gene which is a target of pyrethroid and organochlorine insecticides, while the acetylcholinesterase (ace-1) gene is a target of organophosphate and carbamate insecticides. Mutations such as L1014S and L1014F in the kdr gene [4] and the G280S mutation in the ace-1 gene [5] cause structural changes that decrease the ability of certain insecticides to bind with their target sites. Additionally, the overexpression of genes encoding detoxification enzymes (e.g., cytochrome P450s, glutathione S-transferases and carboxylesterases) are known to contribute to metabolic resistance in mosquitoes [6, 7] and can be markers of IR in mosquito populations [8]. Because these changes resulting in IR have a genetic basis, robust sets of molecular markers could provide sensitive and timely diagnoses of insecticide resistance in mosquito populations, thereby enabling the implementation of effective insecticide resistance management (IRM) strategies.
Next-generation sequencing approaches such as RNA-seq and whole genome sequencing (WGS) enable the understanding of the genetic variations that result in changes to mosquito biology and behavior in response to environmental factors, including insecticide pressure. Transcriptomic analyses allow for the investigation of gene expression and polymorphic variations associated with specific phenotypes [9, 10], as well as the identification of candidate genes related to resistance to a specific insecticide or multiple insecticides [9, 11, 12]. A recent study of the malaria vector Anopheles arabiensis found multiple highly overexpressed genes related to cuticular-associated proteins and salivary gland proteins associated with pyrethroid and organophosphate resistance, suggesting roles of these lesser-understood gene groups in cross-resistance [12].
The objective of this study was to use transcriptomic data to identify candidate genes associated with insecticide resistance in An. gambiae s.s collected from Djougou and Bassila, two sites in Benin with differing levels of resistance to pyrethroid and organophosphate insecticides (Fig. 1).
Fig. 1.
Experimental design and study sites. Panel A shows the experimental workflow. Panel B depicts the map of Benin Republic showing the two study sites, Djougou and Bassila. The black dots correspond to the collection while the land use represents where habitats are located
Results
Resistance profiles of an. Gambiae from Bassila and Djougou
Intensity CDC bottle bioassays were conducted on 4-to-5-day old mosquitoes from Bassila and Djougou (Fig. 1). The mortality of the mosquitoes in each insecticides bioassay is presented in Figure 2 and Additional file 1. There was a significant difference in the mortality between mosquitoes from Bassila and Djougou (P < 0.05) with those from Djougou being more resistant to alphacypermethrin and deltamethrin than Bassila. There was no mortality to 1X alphacypermethrin or deltamethrin in mosquitoes sampled from Djougou, improving to 46.7% (sd: 1.06) and 26.68% (sd: 2.5) for 2X doses of the two insecticides, respectively. Mortality was 77.5% (sd: 2.28) for alphacypermethrin and 65.5% (sd: 3.03) for deltamethrin in Bassila at 1X improving to 82.8% (sd: 0.1) and 80% (sd: 5.54) at 2X, respectively. At 5X exposure, the average percent mortality in Djougou was 77.4% (sd: 1.65) and 50.8% (sd: 2.98) for alphacypermethrin and deltamethrin, respectively, and 100 and 86.8% (sd: 0.72) in Bassila (Additional file 1).
Fig. 2.
Phenotypic insecticide resistance profiles of Anopheles gambiae from Bassila (red) and Djougou (gray), Benin. The average mortalities of mosquitoes exposed to alphacypermethrin, deltamethrin and pirimiphos-methyl at 30 minutes are shown as percentages on the y-axis with 95% confidence intervals. * P < 0.05 and ** P < 0.005
In contrast to the pyrethroids, mosquitoes from Bassila were more resistant than mosquitoes from Djougou when tested against pirimiphos-methyl. The mortality following 1X exposure was 22.0% (sd: 0.31) in Djougou and 2.1% (sd: 0.58) in Bassila. At 1.5X exposure, the mortality was 75.2% (sd: 1.66) in Djougou and 26.3% (sd: 3.81) in Bassila (Additional file 1).
RNA-Seq data quality control and mapping
The following sets of surviving mosquitoes were sequenced: from Bassila; exposed to 1X deltamethrin or 1.5X pirimiphos-methyl; from Djougou; surviving 2X alphacypermethrin, 5X deltamethrin or 1X pirimiphos-methyl along with unexposed mosquitoes from both localities and mosquitoes form the susceptible Kisumu An. gambiae reference strain. Raw reads generated ranged from 45 to 112 million for mosquitoes from Bassila, 51-108 million for mosquitoes from Djougou and 77-102 million for the susceptible Kisumu strain mosquitoes. After filtering, more than 98% of the reads were retained in all experiments and mapped to the reference genome of Anopheles gambiae PEST (VectorBase release 48). The percentage of reads mapped to the reference genome ranged between 61 and 70.6% for Bassila, 51.4 and 76% for Djougou and 69.2 and 75% for the susceptible Kisumu strain (Additional file 2), and 70 and 79% of the alignments (read pairs) were successfully assigned to the exonic features of the gene set AgamP4 (Additional file 3). The mapping rate reported here included only uniquely mapped reads, as the multi-mapped reads are not relevant for differential gene expression analysis. The relatively low uniquely mapped reads suggest that RNA-Seq of Anopheles may result in a large number of multi-mapped reads, likely due to the high level of repeat elements and short Illumina reads. However, similar percentages were observed in another study [12].
Principal component analysis
To evaluate the level of similarity between mosquito strains and biological replicates, Principal component analysis (PCA) was performed on the normalized RNA-Seq data. The PCA analysis revealed that 30.44% of the total variation could be explained by PC1, while 22.1% could be explained by PC2 (Additional file 4). The RNA-seq libraries were grouped based on biological replicates and insecticide susceptibility status, validating the RNA-Seq quality and highlighting the distinct rearing histories of the mosquito populations. The analysis revealed two main clusters: 1) the insecticide-susceptible population (Kisumu), and 2) mosquitoes collected from the field, encompassing both insecticide-resistant and unexposed mosquitoes from Djougou and Bassila (Additional file 4).
Differential gene expression analysis
EdgeR was used to perform differential gene expression (DGE) analysis between the resistant field mosquitoes and the laboratory susceptible mosquitoes (R-S): (DA vs KIS; DD vs KIS; DP vs KIS; BD vs KIS; BP vs KIS); the unexposed field mosquitoes and the laboratory susceptible mosquitoes (C-S): (DU vs KIS; BU vs KIS) and between the resistant field mosquitoes and the unexposed field mosquitoes (R-C): (DA vs DU; DD vs DU; DP vs DU; BD vs BU; BP vs BU). A fold-change (FC) > 2 and a false discovery rate (FDR) < 0.01 were used to identify differentially expressed genes (Fig. 3). The DGE results are summarized in Table 1 and Additional file 5.
Fig. 3.
Gene expression profiles of resistant Anopheles gambiae from Bassila and Djougou, Benin. Volcano plots of the gene expression profiles based on mosquitoes resistant to alphacypermethrin, deltamethrin or pirimiphos-methyl when compared to the susceptible An. gambiae Kisumu strain. The gene expression level is plotted on the x-axis while the statistical significance is shown on the y-axis as log10 of the correlated p value. Panel (BD vs KIS) represents Bassila mosquitoes resistant to deltamethrin against Kisumu, (BP vs KIS) represents Bassila mosquitoes resistant to pirimiphos-methyl against Kisumu, (DD vs KIS) represents Djougou mosquitoes resistant to deltamethrin against Kisumu, (DP vs KIS) represents Djougou mosquitoes resistant to pirimiphos-methyl against Kisumu and (DA vs KIS) represents Djougou mosquitoes resistant to alphacypermethrin against Kisumu. Key gene families are indicated: in red (COE: carboxylesterases), blue (CYP: cytochrome P450s), pink (SGP: salivary gland proteins), green (CP: cuticular proteins) and purple (GST: glutathione-S-transferases) while other genes were represented in gray
Table 1.
Differential gene expression summary for alphacypermethrin, deltamethrin and pirimiphos-methyl
| Insecticide | Site | Condition | Number of genes tested | DE genes (|FC| > 2 & adjP< 0.05) | DE genes (|FC| > 2 & adjP< 0.01) | ||
|---|---|---|---|---|---|---|---|
| UP | Down | UP | Down | ||||
| Alphacypermethrin | Djougou | DA vs DU (R-C) | 9743 | 31 | 30 | 13 | 12 |
| DA vs KIS (R-S) | 10,041 | 949 | 860 | 850 | 755 | ||
| Deltamethrin | Bassila | BD vs BU (R-C) | 9920 | 41 | 65 | 28 | 47 |
| BD vs KIS (R-S) | 10,146 | 966 | 819 | 943 | 805 | ||
| Djougou | DD vs DU (R-C) | 9937 | 68 | 24 | 45 | 17 | |
| DD vs KIS (R-S) | 10,154 | 887 | 573 | 822 | 555 | ||
| Pirimiphos-methyl | Bassila | BP vs BU (R-C) | 9740 | 12 | 50 | 8 | 39 |
| BP vs KIS (R-S) | 10,080 | 968 | 776 | 926 | 758 | ||
| Djougou | DP vs DU (R-C) | 9571 | 94 | 114 | 55 | 81 | |
| DP vs KIS (R-S) | 9979 | 953 | 764 | 932 | 750 | ||
| Unexposed | Bassila | BU vs KIS (C-S) | 9999 | 886 | 696 | 863 | 686 |
| Djougou | DU vs KIS (C-S) | 10,014 | 757 | 609 | 698 | 576 | |
• DA Djougou mosquitoes surviving exposure to alphacypermethrin
• DD Djougou mosquitoes surviving exposure to deltamethrin
• DP Djougou mosquitoes surviving exposure to pirimiphos-methyl
• DU Djougou mosquitoes unexposed
• BD Bassila mosquitoes surviving exposure to deltamethrin
• BP Bassila mosquitoes surviving exposure to pirimiphos-methyl
• BU Bassila mosquitoes unexposed
Differential gene expression associated with alphacypermethrin resistance
Genes associated with alphacypermethrin resistance were derived from three different comparisons using mosquitoes from Djougou. A total of 1274, 1605 and 25 genes were significantly differentially expressed in the C-S, R-S and R-C comparisons, respectively (Table 1). Four upregulated genes were shared between the three comparison sets, with only one characterized protein belonging to the cuticular protein RR-1 family 75 (Additional file 6-A). Comparing the R-S and C-S groups, genes overexpressed in both sets are shown in Additional file 7. Interestingly, one carboxylesterase (COE22933), six cuticular proteins (CPR76, CPR75, CPR16, TWDL1, CPR81, and CPAP3-A1b), two members of the cytochrome P450 family (CYP4D17 and CYP12F2) and two salivary gland proteins (salivary secreted peptide (AGAP013060) and kDa salivary (AGAP004316)) showed higher fold changes in the R-S comparison compared to the C-S comparison. Additional genes such as DE-cadherin-like isoform X1 (AGAP029696), COX2, TEP1, and ESP also had a higher fold change in the R-S group (Additional file 7).
Importantly, a comparison between the R-S and R-C groups (Additional file 8) showed that a cuticular protein (CPR75) and a carboxylesterase (COEunkn) were differentially expressed and shared among both comparisons.
The R-S comparisons showed an overexpression of three cuticular proteins (CPAP3-A1c, CPAP3-A1a, and CPAP3-D), two salivary gland proteins (salivary secreted mucin 3 (AGAP009473), secreted salivary gland (AGAP001989)), three carboxylesterases (COE12O, COEunkn, and COEBE3C), three cytochrome P450s (CYP12F3, CYP306A1, and CYP4G16), and one odorant-binding protein (AGAP012867) that were not significantly expressed in the C-S set of genes (Additional file 7). Additionally, the top 10 genes (FC ~ 11.2-380.5) overexpressed in the R-S set of genes were genes unrelated to detoxification enzymes such as autophagy 12-like (AGAP012847), DE-cadherin-like isoform X1 (AGAP029698), or NADH dehydrogenase subunit 6 (AGAP028386) (Additional file 7).
Differential gene expression associated with deltamethrin resistance
In Bassila, 1549, 1748 and 75 genes were significantly differentially expressed in C-S, R-S and R-C comparisons, respectively (Table 1). No DEGs were shared between the three groups (Additional file 6-B). In Djougou, the number of DEGs significantly differentially expressed in the C-S, R-S and R-C comparisons were 1274, 1377 and 62 genes, respectively (Table 1). Unlike in Bassila, five DEGs were upregulated and shared between the three groups (Additional file 6-C). Among them, two had retrievable annotations and were related to SERAC1 isoform X1 (AGAP011044) and serine protease (CLIPB5).
A total of 1240 and 887 DEGs were shared between the R-S and C-S groups from Bassila and Djougou, respectively. DEGs with notably higher expression in Bassila within the R-S group compared to the C-S group included 35 detoxification genes. The difference in expression between the R-S and the C-S groups showed that cuticular and salivary gland proteins accounted for some of the most over expressed (CPCFC1, CPR125, CPR140, D7r2, SG7, SG3) genes. In Djougou, DEGs included 14 detoxification genes, 7 cuticular proteins (CPAP3-A1b, CPR76, TWDL1, CPAP3-B, CPR81, CPR75, and CPAP3-E) and one salivary gland protein (SG2), suggesting the importance of these gene families to the insecticide resistant phenotype. Additional DEGs with higher expression in the R-S group compared to the C-S group included TEP9, GNBPB4, and indirect flight muscle (AGAP011514) in Bassila, and CLIPB5, TEP4, ESP, CLIPC7, and SERAC1 isoform X1 (AGAP011044) in Djougou (Additional file 7).
Comparing the R-S and R-C groups, both sets shared CYP6Z3 in Bassila, while CPR9, CPR144 and CYP4H24 were shared in Djougou. Additionally, only the angiopoietin-like salivary protein (AGAP007041) in Bassila and CYP314A1 in Djougou were overexpressed solely in the R-C group. Other genes such as fibrinogen A (AGAP011228), CLIPB12, PPO6, and PGRPLB were overexpressed in the Djougou R-C group. (Additional file 8).
Focusing on DEGs within the R-S group, a total of 951 genes were commonly differentially expressed in deltamethrin survivors from both the Bassila and Djougou populations relative to the susceptible strain (Fig. 4-A). The upregulated genes included cuticular proteins (CPLCP3, CPR130, CPR30, CPR59, CPAP3-B, CPR76, and TWDL1), a salivary gland protein (SG2) (Fig. 5), some metabolic genes (COEJHE5E, CYP4H15, CYP12F2, CYP6Z3, CYP9K1, CYP9M1, GSTE2, GSTD7, and GSTE4) (Fig. 6), and an odorant binding protein (OBP47). Interestingly, the detoxification genes CYP12F2 and CYP6Z3 exhibited higher transcription activity in deltamethrin survivors from Djougou (FC = 33.6 & 24.3, respectively) than in those from Bassila (FC = 15.1 & 6.7, respectively), suggesting their potential association with the differing intensities of resistance between the two field populations (Additional file 9).
Fig. 4.
Venn diagrams showing differentially expressed genes. Panel A represents genes differentially expressed in Bassila and Djougou mosquitoes resistant to deltamethrin; B represents genes differentially expressed in mosquitoes from both sites resistant to pirimiphos-methyl. Each Venn diagram section shows the number of differentially expressed genes meeting each set of conditions and the P -values were adjusted for multiple testing based on FDR < 0.01 and FC > 2
Fig. 5.

Heatmap showing cuticular and salivary gland proteins genes expressed in each R-S comparison. The heatmap shows log2fold-change values relative to the susceptible strain Kisumu (KIS) on a black-cyan scale. The cyan color indicates overexpression. Genes represented in this plot are CPs and SGPs shared among all R-S comparisons as well as those specifically expressed in either pyrethroids R-S or organophosphates R-S comparisons. DP_KIS = Djougou mosquitoes resistant to pirimiphos-methyl vs. the susceptible strain Kisumu, DD_KIS = Djougou mosquitoes resistant to deltamethrin vs. the susceptible strain Kisumu, DA_KIS = Djougou mosquitoes resistant to alphacypermethrin vs. the susceptible strain Kisumu, BP_KIS = Bassila mosquitoes resistant to pirimiphos-methyl vs. the susceptible strain Kisumu and BD_KIS = Bassila mosquitoes resistant to deltamethrin vs. the susceptible strain Kisumu
Fig. 6.

Heatmap showing cytochrome P450s, COEs and GSTs genes expressed in each R-S comparison. The heatmap shows log2fold-change values relative to the susceptible strain Kisumu (KIS) on a black-cyan scale. The cyan color indicates overexpression. Genes represented in this plot are COEs, CYPs and GSTs shared among all R-S comparisons as well as those specifically expressed in either pyrethroids R-S or organophosphates R-S comparisons. DP_KIS = Djougou mosquitoes resistant to pirimiphos-methyl vs. the susceptible strain Kisumu, DD_KIS = Djougou mosquitoes resistant to deltamethrin vs. the susceptible strain Kisumu, DA_KIS = Djougou mosquitoes resistant to alphacypermethrin vs. the susceptible strain Kisumu, BP_KIS = Bassila mosquitoes resistant to pirimiphos-methyl vs. the susceptible strain Kisumu and BD_KIS = Bassila mosquitoes resistant to deltamethrin vs. the susceptible strain Kisumu
Differential gene expression associated with pirimiphos-methyl resistance
Differentially expressed genes in Bassila included 1549, 1684 and 47 genes in C-S, R-S and R-C respectively (Table 1). In Djougou, 1274, 1682 and 136 were differentially expressed in C-S, R-S and R-C, respectively (Table 1). In Bassila, a total of 1220 DEGs were shared between the R-S and C-S groups (Additional file 6-D). Some of them exhibited higher fold change of expression in the R-S group than in the C-S group, including 20 detoxification genes. SG7 and some members of the cytochrome P450 family (CYP9M1, CYP6Z2, CYP6P3, CYP6Z3) were more overexpressed in the R-S group than C-S group (Additional file 7). In Djougou, 982 DEGs were shared between the R-S and C-S comparisons (Additional file 6-E). From these DEGs, those that exhibited higher fold changes included cuticular proteins (CPR30, CPR76, CPR16, CPLCG1, CPR81, CPLCX2, and CPAP3-E), cytochrome P450s (CYP6M2, CYP6P3, CYP6Z3, CYP4D22, and CYP9K1), and a carboxylesterase (COE22933). Other DEGs with retrievable annotations were two trypsin-related proteases (TRYP7, and AGAP012842), a glycine-rich cell wall structural-like (AGAP008892) and others (Additional file 7).
Comparing the R-S and R-C groups, no metabolic genes were shared among the two comparisons in Bassila, while CYP6Z3 and GSTD11 were shared in Djougou. Additionally, two carboxylesterases PPO6, PPO9, PGRPLB, and fibrinogen A (AGAP011228) were overexpressed in only the R-C group from Djougou (Additional file 8).
Focusing on the DEGs in the R-S group, a total of 1191 were differentially expressed in the pirimiphos-methyl survivors from both Bassila and Djougou when compared to the susceptible strain (Fig. 4-B). These shared DEGs included cuticular proteins (CPLCG5, CPR130, CPR30, CPCFC1, CPR76, CPR75, CPAP3-B, CPR127, CPR15, CPR16, and CPR144), salivary gland proteins (SG7, SG2, SG9) (Fig. 5), some metabolic genes (COE22933, COEJHE5E, CYP6Z3, CYP12F2, CYP6M2, CYP9K1, CYP6P4, CYP6P3, CYP6Z2, GSTD7, GSTE2, and GSTE4) (Fig. 6), and two odorant binding proteins (OBP47, OBP26) (Additional file 9).
Genes associated with resistance to multiple insecticides
A total of 500 DEGs were shared by mosquitoes that survived exposure to either alphacypermethrin, deltamethrin or pirimiphos-methyl (Additional file 10). Among those genes, were cuticular proteins (CPAP3-B, CPAP3-E, CPR10, CPR130, CPR15, CPR16, CPR30, CPR75, CPR76, and CPR81), cytochrome P450s (CYP12F2, CYP307A1, CYP4C26, CYP4C27, CYP6Z3, CYP9J3, CYP9K1, and CYP9L3), glutathione S- transferases (GSTD7, GSTE2, and GSTMS3) and some uncharacterized salivary gland proteins (Fig. 7-A, Additional file 11). Other genes (FC ~ 5.93-13.25) related to inhibitor of apoptosis, zinc finger 593, ribosomal mitochondrial, flotillin − 2, acyl-thioester, allatropins, serine protease inhibitor (SRPN9) were among the top 20 genes over-expressed in all R-S comparisons (Fig. 7-B).
Fig. 7.

Differentially expressed genes associated with resistance to multiple insecticides. Panel A shows a heatmap underlining the log2-fold change (log2FC) expression of the 24 detoxification genes differentially expressed in all the R-S comparisons. Panel B shows the log2-fold change (log2FC) expression of the top 20 genes differentially expressed in all the R-S comparisons. A black-blue scale was used with the color blue indicating over-expression
Non-synonymous target site mutations
Target site mutations on the Ace-1 and in the kdr genes were identified through the analysis of single nucleotide polymorphisms (SNPs). The analyzed samples were composed of pools of seven mosquitoes each, and a single population included three replicates (pools). The pools also contained all non-phenotyped mosquitoes (unexposed). The frequency at which polymorphisms appeared in a population was derived from the depth coverage at each position with the contribution of each mosquito in the pools. The G280S mutant allele frequency in the Ace-1 gene was 50% for Bassila compared to 66% for Djougou (Fig. 8). For the kdr gene, among variants of interest highlighted in a previous study [13], only mutations at positions L995F, T791M, A1746F, and P1874L were detected. The L995F mutation frequency was 33% in Bassila and 100% in Djougou, while the mutant allele frequency for the variants T791M, A1746H and P1874L were of 33% in both populations Fig. 8.
Fig. 8.

Non-synonymous target site mutations. The heatmap shows on a gray-teal scale (teal = 1) the overall average allele frequency observed in each group. Only mutations in the Ace-1 gene (G280S) and mutations L995F, T791M, A1746F and P1874L in the Vgsc gene were observed within the data sets. All other mutations were not detected even with reads spanning those genomic locations
Gene ontology annotation and enrichment analysis
Gene ontology enrichment (GOE) analysis was conducted on differentially expressed genes (up and downregulated) for all R-S comparisons. Gene ontologies are classified into three classes: biological process (BP), molecular function (MF) and cellular component (CC) (Additional file 12).
Among BP GO terms, terms related to proton transport (GO:0015986), aerobic respiration (GO:0009060) and mitochondrial electron transport (GO:0006123, GO:0006120) were shared in the BD vs KIS, BP vs KIS, DD vs KIS and DP vs KIS comparisons. Furthermore, GO terms associated with glycolytic processes (GO:0006096) were enriched in BP vs KIS and DP vs KIS, while the carbohydrate metabolic processes (GO:0005975) were enriched in BD vs KIS and DD vs KIS (Additional file 13). Considering the CC GO terms, terms associated with mitochondrial respiratory chain complex I (GO:0005747) III (GO:0005750) and IV (GO:0005751) were enriched in BD vs KIS, BP vs KIS, DD vs KIS and DP vs KIS with mitochondrial proton-transporting ATP synthase complex and coupling factor F(o) (GO:0000276) enriched in only the BP vs KIS and DP vs KIS (Additional file 13). Concerning terms related to MF, macromolecular complex binding related terms (GO:0044877) and sulfur cluster binding (GO:0051539) were enriched in all R-S comparisons except DA vs KIS. Hydrogen ion transmembrane transporter activity (GO:0015078) was enriched in both BP and DP vs KIS, highlighting its strong correlation with resistance to pirimiphos-methyl (Additional file 13).
RNA-Seq data validation using quantitative PCR
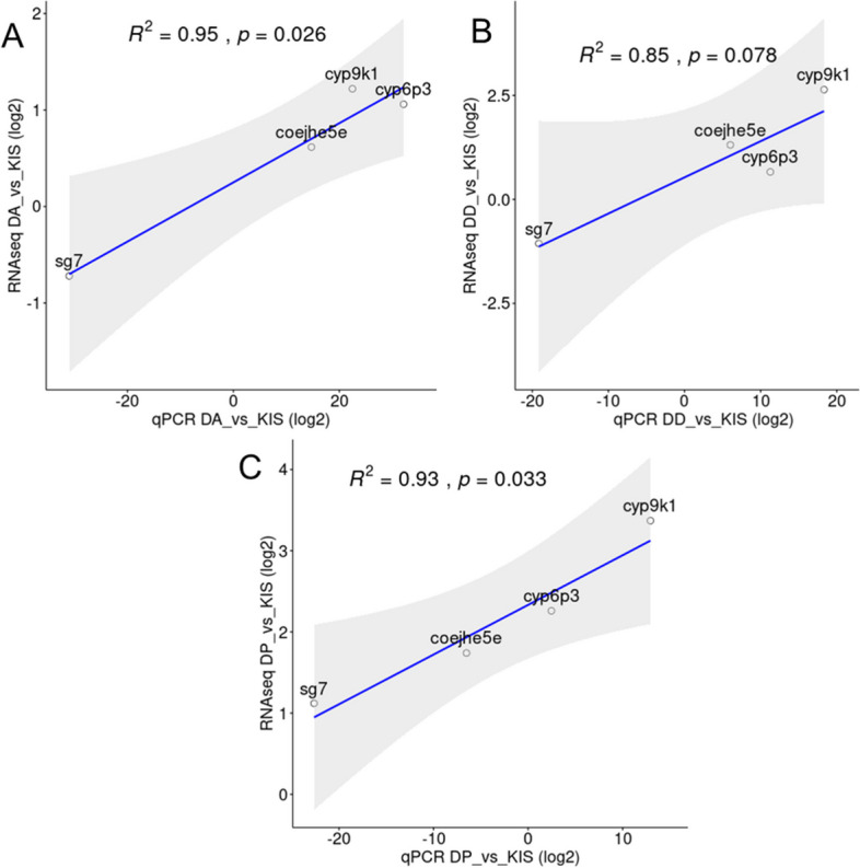
The expression patterns of four genes (SG7, CYP9K1, CYP6P3 and COEJHE5E) were validated in relation to two housekeeping genes (40S ribosomal protein S7; RPS7 and Actin5c) (Additional file 14, Fig. 9). Most of the qPCR results supported the directionality of the expression level changes observed after RNA sequencing (P < 0.05 and R2 > 90) (Fig. 9). Nevertheless, for Djougou mosquitoes exposed to deltamethrin, R2 was equal to 85 with P = 0.078 (Fig. 9), which could be due to an overestimation in the RNA-Seq data.
Fig. 9.

Correlation of expression levels between qRT-PCR and RNA-Seq data. The different panels show the correlation between qRT-PCR results and RNA-Seq data for the four selected genes in each sample. A) Djougou mosquitoes surviving exposure to alphacypermethrin compared to Kisumu, B) Djougou mosquitoes surviving exposure to deltamethrin compared to Kisumu, C) Djougou mosquitoes surviving exposure to pirimiphos-methyl compared to Kisumu
Discussion
In this study, we analyzed the gene expression profiles of two An. gambiae populations following exposure to key insecticides used for malaria vector control. In addition to detecting differential expression of genes encoding detoxification enzymes, genes coding for salivary gland and cuticular proteins were also overexpressed in mosquitoes from both study sites.
The two mosquito populations displayed variable levels of resistance to alphacypermethrin, deltamethrin and pirimiphos-methyl. A higher intensity of resistance to both alphacypermethrin and deltamethrin was observed in Djougou than in Bassila despite both being located in Donga district in northern Benin. Such heterogeneity in the levels of insecticide resistance despite relative geographic proximity has also been described elsewhere [14, 15]. The high pyrethroid resistance detected in the Djougou population could be related to the intensive use of pyrethroids in vector control by the NMCP which has intensified ITN distribution every 3 years since 2008 in Djougou [16]. In addition, there is intensive use of carbamates, organophosphates and pyrethroid pesticides for agricultural activities in Donga district [16, 17]. In contrast, in Bassila, although also an agricultural site, no NMCP vector control interventions have been distributed to date. The lower alphacypermethrin and deltamethrin resistance in mosquitoes from this locality might thus be related to reduced selective pressure. For this reason, the increased resistance to pirimiphos-methyl is surprising as it was higher than that of Djougou.
Cytochrome P450s are naturally abundant in insects [18] and their primary function is to metabolize pheromones and xenobiotics [18–21]. In the Djougou mosquitoes that survived alphacypermethrin exposure, two members of this family, CYP4H17 and CYP4D17, were overexpressed. Both genes have been found to be overexpressed in mosquitoes resistant to permethrin [22, 23] with an overexpression of CYP4D17 in mosquitoes exposed to 0.05% deltamethrin [23]. Their over-expression only in mosquitoes resistant to alphacypermethrin here is quite interesting given that they were not overexpressed in deltamethrin resistant mosquitoes from the same population. Further, CYP4G16 and CYP12F3 were overexpressed in Djougou mosquitoes that survived both alphacypermethrin and deltamethrin exposure. Overexpression of CYP4G16 has been demonstrated to be important in cuticular hydrocarbon content enrichment and thus reducing the uptake of pyrethroid insecticides [23, 24]. On the other hand, over-expression of CYP12F3 has not yet been associated with insecticide resistance. Functional validation of these four genes associated with the high intensity of resistance recorded to these class two pyrethroids would confirm the role played in conferring resistance.
Several CYP450s were found to be commonly shared among all R-S comparisons including CYP9K1, CYP6Z3 and CYP12F2. All three were shown to be consistently overexpressed in both pyrethroid and pirimiphos-methyl resistant mosquitoes. CYP9K1 has previously been shown to be involved in the metabolism of deltamethrin and pyriproxyfen in An. gambiae [23, 25] and therefore its overexpression in the pyrethroid-resistant groups is not surprising. Additionally, a similar study in An. arabiensis showed its association with resistance to both organophosphates and pyrethroids [12], consistent with our findings here of its association with resistance to both chemical classes. CYP6Z3 has previously been associated with pyrethroid metabolism [24] but here we observed its overexpression in survivors exposed to both pyrethroids and pirimiphos-methyl indicating a potential role in cross-resistance as has been reported before [26–29]. CYP12F2 has been previously associated with permethrin resistance in An. arabiensis [30, 31] and was associated with both pyrethroid and organophosphate resistance in our study, suggesting a role in the detoxification of both insecticide classes. Moreover, CYP6Z2, CYP9M1 and CYP4H15 were found to be overexpressed in 4 out of 5 R-S comparison groups, with the exception of BD vs KIS. The Bassila population was not as intensely resistant to pyrethroids as Djougou, which suggests that these three genes could potentially contribute to intensified pyrethroid resistance as well as pirimiphos-methyl resistance.
Other metabolic genes including three glutathione-S-transferase genes (GSTD7, GSTE2, GSTE4) and two carboxylesterase genes (COEJHE5E, COE22933) were overexpressed in all R-S comparisons. This is consistent with the understanding that GSTs contribute to resistance against multiple insecticide classes [32]. They participate in the detoxification of xenobiotics and metabolize secondary products from other metabolic activities (CYP450s, COEs) [32, 33]. COEJHE5E has been recently found to be overexpressed in deltamethrin and permethrin resistant An. coluzzii population [23], and genomic signals of resistance to deltamethrin were found around the COE22933 locus in An. gambiae and An. coluzzii [34]. A functional validation of these two genes might enhance understanding of their role in pyrethroid resistance.
In addition to metabolic genes, a wide variety of genes encoding cuticular proteins (CPs) were found to be overexpressed in R-S comparisons. Among them, CPR10, CPAP3-E, CPAP3-B, CPRd30, CPR130, CPR15, CPR16, CPR76, CPR75, and CPR81 were overexpressed in all R-S comparisons. Their mechanism of function is not well understood but alterations to the mosquito cuticle by thickening or hardening could inhibit the penetration of insecticides and other toxicants [35]. Additionally, recent studies highlighted the massive production of chitin to enhance metabolic gene functions, such as CYPs, which could lead to cuticle hardening in Aedes aegypti [36]. If this is the case, this mechanism would lead to cross-resistance of insecticides regardless of class. CPAP3s belong to a group of proteins that maintain the structural integrity of the cuticle [37]. CPAP3s with an obstructor-E function have been found to play a role in multiple insecticide resistance in An. gambiae [38]. In this study, CPAP3-B was overexpressed in all R-S comparisons making this gene a potential candidate marker for cross-resistance. Additional cuticular genes were observed to be more specifically overexpressed in response to exposure to certain classes of insecticides: CPR9, CPR59, CPLCP3, TWDL1, CPAP3-A1b and CPAP3-A1c in response to pyrethroids and CPR144 in response to pirimiphos-methyl. The involvement of CPLCP3 in cuticle barrier formation has been previously described and its overexpression has been associated with mosquito survival following deltamethrin exposure [39]. The overexpression of CPAP3-A1b and CPAP3-A1c has also been associated with resistance to permethrin, deltamethrin or lambdacyhalothrin [40–42].
Recently, salivary gland proteins have been reported to play a potential role in insecticide resistance [12]. In this study, three salivary gland genes stood out among the overexpressed genes in resistant mosquitoes. A threonine serine-rich mucin (SG9: AGAP013423, FC ranging from 2.51 to 2.62) and a salivary cysteine-rich peptide (AGAP011460, FC ranging from 2.03 to 3.38) were overexpressed in mosquitoes resistant to pirimiphos-methyl, while salivary secreted mucin 3 (AGAP009473, FC ranging from 2.04 to 2.21) was overexpressed in Djougou mosquitoes resistant to alphacypermethrin and deltamethrin. The salivary protein SG9 is a mucin protein. The role of mucin proteins in mosquitoes remains uncharacterized to date, unlike in vertebrates (including humans). They are found in the peritrophic membrane and have been reported to only be induced in female mosquitoes after blood ingestion [43]. Here, we found a slight overexpression of this gene in mosquitoes resistant to pirimiphos-methyl. It has been demonstrated that salivary gland mucin-like protein in Drosophila could perform an immune defense reaction [44], and for this reason, we hypothesize that SG9 could perform a similar function in protecting and defending the respiratory wall against the penetration of organophosphate molecules. In humans, for example, exposure to low-level OPs triggers increased mucin secretion in asthmatic patients [45]. This might also be the case in mosquitoes, highlighting the need to further investigate mucin-like protein functions.
On the other hand, AGAP011460 and AGAP009473 are two uncharacterized genes that were both highly overexpressed in mosquitoes resistant to pirimiphos-methyl and both pyrethroids. Further characterization and functional annotation are needed to understand their involvement in insecticide resistance.
Furthermore, in mosquitoes from Djougou that were resistant to both pyrethroids, there was an overexpression of the thioester-containing protein 1 (TEP1). Genes of the TEPs family are key components of the innate immune systems of mosquitoes [34]. Specifically, TEP1 is known to inhibit the development of malaria parasite in the midgut of mosquitoes through ookinete lysis and melanization [46, 47]. The overexpression of this gene in mosquitoes that are highly resistant to pyrethroids could imply that the immune system of mosquitoes might not only suppress parasite or microbe growth in the mosquitoes but also could play a role in insecticide detoxification. Indeed, recent studies have shown the overexpression of TEP1 in mosquitoes resistant to permethrin and deltamethrin [23, 34], highlighting how the immune system could trigger insecticide resistance. Moreover, genes from the serine protease family (CLIPAs, CLIPBs, CLIPCs and CLIPEs) were over-expressed with a slight down-regulation of prophenoloxidases (PPO; PPO6, PPO9) in mosquitoes resistant to alphacypermethrin from Djougou. Through cascade reactions, CLIPC genes activate CLIPB genes which further cleave PPOs into their active form, phenoloxidase (PO) [48, 49]. The latter plays a crucial role in the mosquito immune system and is said to have, apart from melanization function, the ability to harden the insect epidermis as a response to abiotic stress [50]. As such, the activation of PO might reduce insecticide penetration, resulting in resistance in mosquitoes. Further research is needed to understand the role of genes linked to the mosquito immune system in insecticide resistance.
In addition to differential gene expression, target site mutations are important genetic markers of phenotypic insecticide resistance. Mutations such as L995F or L995S in the kdr gene [4] and G280S mutations in the Ace-1 gene [5] have been reported to confer resistance to insecticides. The data on target site mutations presented here are relatively low resolution, as they were extrapolated from RNA-Seq data on pooled mosquitoes. Nevertheless, these data provide some insight into the presence of these mutations in the two populations. The mutation L995F was found in Djougou with an allele frequency of one (100%) and in Bassila with an allele frequency of 0.33 (33%). This is likely the result of evolution due to the selective pressure caused by the intensive use of pyrethroid insecticides in Djougou [16, 17]. A frequency of 0.66 (66%) of the G280S mutation which can confer resistance to organophosphates was detected in Djougou. although this population was less resistant to pirimiphos-methyl than Bassila where the mutation frequency was 0.5 (50%). Previous research has shown that the G280S mutation may not be a strong predictor of resistance to all organophosphates [51]. The overexpression of the genes described above could be important contributors to the resistant phenotypes observed.
Conclusions
The analysis of RNA-Seq data allowed us to describe differentially expressed genes and target site mutations that were associated with pyrethroid and organophosphate resistance in An. gambiae from two locations in Benin: Bassila and Djougou. Multiple genes, including members of the cytochrome P450 family (CYP4H17, CYP4D17 and CYP12F2), salivary gland proteins (SG9, AGAP011460 and AGAP009473) and cuticular proteins (CPR30, CPR130, CPR15, CPR16, CPR76, CPAP3-A1b and CPAP3-A1c) were found overexpressed in resistant mosquitoes after exposure to alphacypermethrin, deltamethrin, or pirimiphos-methyl. The DEGs described here are potential molecular markers of insecticide resistance that could be incorporated into Benin’s NMCP insecticide resistance surveillance and management strategy once validated.
Methods
Study sites and samples
Anopheles gambiae larvae were collected in August 2019 from Djougou (9° 42′ 29.1312″ N and 1° 39′ 58.8672″ E) and in October 2019 from Bassila (9° 0′ 23.0148″ N and 1° 39′ 50.1264″ E) (Fig. 1) from puddles, swamp areas and drains near irrigated croplands using the dipping method. Mosquito larvae were brought back to the insectary of the ‘Environnement, Gestion des Données et Formation Universitaire (EGDFU)’ unit of the Tropical Infectious Diseases Research Center (TIDRC) of Benin Republic and reared to the adult stage under insectary conditions (insecticide-free environment, 27 ± 2 °C ambient temperature, 70 ± 8% relative humidity and 12 h:12 h light:dark photoperiod). Larvae were fed ad libitum with TetraMin Baby® fish food and emerged adults were fed on 10% honey solution.
Anopheles gambiae from the insecticide susceptible reference Kisumu laboratory strain were reared in the insectary at the Centers for Disease Control and Prevention (CDC), Atlanta, Georgia, USA. Mosquitoes were maintained at a constant 27 ± 2 °C and 70 ± 10% humidity on a 14 h:10 h hour light:dark cycle and adults were provided 10% sucrose ad libitum.
Insecticide resistance intensity bioassays
Insecticide resistance intensity assays using modified CDC bottle bioassays were conducted on the reared adult mosquitoes using 1X, 2X, and 5X the diagnostic doses of deltamethrin and alpha-cypermethrin and 0.5X, 1X and 1.5X the diagnostic doses of pirimiphos-methyl. Stock solutions (10X) of the diagnostic doses (1X for deltamethrin: 12.5 μg/bottle, alphacypermethrin: 12.5 μg/bottle and pirimiphos-methyl: 20 μg/bottle) were prepared by diluting technical grade insecticide in 50 mL of absolute ethanol. Lower doses were obtained by serial dilution.
For each concentration, four bottles were coated with 1 ml of insecticide solution and one control bottle was coated with absolute ethanol. Alphacypermethrin and deltamethrin coated bottles were covered to keep them protected from light and to allow evaporation of the solvent overnight while the bottles coated with pirimiphos-methyl were left covered and protected from light for 8 hours.
Approximately 10 to 25 mosquitoes aged 4–5 days and fed with 10% honey solution were released in each bottle using an aspirator. The exposure time was set to 30 min, after which the mosquitoes were removed from the bottles and sorted into “alive” and “knocked-down” groups. Mosquitoes alive after 30 minutes of exposure to insecticide were considered resistant [52, 53]. Mosquitoes from the control bottle were labeled as unexposed.
Mosquito species identification
The legs of the resistant and unexposed mosquitoes were removed, and the rest of the body was immediately stored in RNA later. DNA extraction from the legs was performed following the protocol of Myriam and Cecile (2003) using the cetyltrimethyl ammonium bromide (CTAB) technique. Mosquito species identification was carried out to distinguish members of the An. gambiae s.l species complex using species-specific PCR primers for An. gambiae s.s, and An. arabiensis. The PCR mix had a total volume of 20 μl composed of 5 μl of DNA, 8.4 μl of H2O, 2.5 μl of reaction buffer 1x, 0.1 μl of Taq DNA polymerase, 1 μl of MgCl2, and 1 μl of each primer (Universal forward primer: 5′-GTGTGCCCCTTCCTCGATGT-3′; An. gambiae s.s reverse primer:5′-CTGGTTTGGTCGGCACGTTT-3′ and An. arabiensis reverse primer: 5′-AAGTGTCCTTCTCCATCCTA). The PCR cycling conditions were: 94 °C for 5 min, followed by 25 amplification cycles (94 °C for 30 s, 72 °C for 30 s) and a final elongation step at 72 °C for 5 min. The PCR products were visualized using 1.5% agarose gels stained with 5 μl of BET. The DNA bands on the gel (390 bp for An. gambiae s.s. and 315 bp for An. arabiensis) were compared to a 1 kb reference ladder.
RNA extraction, RNA-Seq library preparation and sequencing
Four-to-five-day-old adult nonblood-fed female mosquitoes from the susceptible Kisumu strain were killed by freezing and stored at − 80 °C until RNA extraction. Mosquitoes from the field populations unexposed to insecticides and those that survived to the highest dose of each insecticide were stored in RNAlater and shipped to the Entomology Branch laboratory at the CDC, Atlanta, USA, for RNA extraction, library preparation and sequencing.
RNA extraction was conducted using the Arcturus PicoPure RNA isolation kit (Life Technologies, USA) according to the manufacturer’s instructions from three biological replicates with pools of 7 mosquitoes each from the following groups: mosquitoes from Djougou phenotyped as resistant to pirimiphos-methyl (DP), alphacypermethrin (DA) or deltamethrin (DD); mosquitoes from Djougou unexposed to insecticides (DU); mosquitoes from Bassila phenotyped as resistant to pirimiphos-methyl (BP) or deltamethrin (BD); mosquitoes from Bassila unexposed to insecticides (BU) and mosquitoes from the susceptible Kisumu strain (KIS). The Agilent 4200 TapeStation was used to measure the RNA concentration and integrity. Ribosomal RNA was depleted using the Ribo-Zero™ Magnetic Core Kit and Ribo-Zero™ rRNA Removal kit (Illumina, USA). Library preparation was carried out using the ScriptSeq v2 RNA-Seq Library Preparation Kit (Epicenter, Illumina) according to the manufacturer’s instructions. Libraries were purified using Agencourt AMPure XP beads (Beckman Coulter, USA). The quantity and size distributions of the libraries were assessed using the Agilent DNA ScreenTape assay. Equimolar amounts of each library were pooled and sequenced (2 × 125 bp paired-end) on an Illumina HiSeq 2500 sequencer, using v2 chemistry. Sequencing was performed at the Biotechnology Core Facility at CDC, Atlanta, USA.
RNA-Seq data quality control and mapping
Quality control was performed on the raw demultiplexed paired end sequencing reads obtained from the sequencing center using FastqC [54]. Reads from lane 1 and lane 2 were concatenated and trimmed to remove polyG tails, polyX at the 3′ ends, bases that did not meet the minimum quality score of 20 and paired reads where one or both were shorter than 50 bp using Fastp [55]. The trimmed reads (R1/R2) were aligned to the An. gambiae PEST reference genome (GenBank assembly identifier = GCA_000005575.2), directly downloaded from Vectorbase (release48) using ‘subjunc’, which is part of the subread aligner package, version 2.0.1 [56] with default settings. The alignments were filtered to remove low quality mapping reads (< 10) and sorted using SAMtools (v.1.10) [57].
FeatureCounts from the subread package version 2.0.1 [56, 58] was used to count tags that overlapped the coding sequence (CDS) features by at least 1 bp in the sense orientation of the gene set AgambiaePest (structural annotation version = AgamP4.13). Tag counts represent the number of sequence reads that originated from a particular gene. The higher the number of counts, the more reads associated with that gene, and the assumption that there is a higher level of expression of that gene in the sample. To identify main sources of variability in the dataset, Principal Component Analysis (PCA) was performed and visualized using ‘ggplot2’ in R.
Differential gene expression analysis was performed using the package EdgeR version 4.1.1 [59]. Thus, to remove the effect of noise and genes with very low expression, only genes where at least a tag count of 50 or more was obtained across all libraries were considered. CalcNormFactors, a function of the edgeR package that uses the TMM (trimmed mean M-values) method, was used to normalize the number of tags between samples, by finding a set of scaling factors for the library sizes that minimize log-fold changes between samples for most genes. DEGs between the different comparisons were selected after multiple testing using the decideTests function, of the limma package [60]. An absolute fold-change > 2 and FDR (false discovery Rate) ≤ 0.01 were used as statistical cutoffs to tag a gene as a DEG.
Comparisons were made between i) resistant field mosquitoes and laboratory susceptible mosquitoes (R-S): (DA vs KIS; DD vs KIS; DP vs KIS; BD vs KIS; BP vs KIS); ii) unexposed field mosquitoes and laboratory susceptible mosquitoes (C-S): (DU vs KIS; BU vs KIS) and iii) resistant field mosquitoes and unexposed field mosquitoes (R-C): (DA vs DU; DD vs DU; DP vs DU; BD vs BU; BP vs BU). R-S and C-S comparisons were made following the assumptions that constitutive resistance genes would be differentially expressed between both bioassay survivors and the unexposed mosquitoes when compared to the susceptible strain. The R-C comparison was made to detect gene expression that may be induced due to insecticide exposure. In addition, insecticide-specific comparisons were made (DD vs BD and DP vs BP) to detect DEGs associated with the same insecticide across the different mosquito populations.
Detection of non-synonymous target site mutations
Target site mutations were detected from the variant calling analysis. Sorted bam files of the three replicates for each sample (DA, BD, DD, BP, DP, KIS) were used. Read coverage was counted at each genomic position to provide genotype likelihoods using the ‘mpileup’ methods of BCFtools [57, 61]. Single nucleotide variants (SNVs) were then detected using bcftool ‘call’ and the resulting vcf file was filtered with vcfutils.pl [57, 61].
For each population, the frequencies of known point mutations in the Ace-1 gene (G280S) and in the kdr gene (A1125V, A1746S, A1934V, D466H, E1597G, F1920S, I1527T, I1868T, I1940T, K1603T, L995F, L995S, M490I, N1575Y, P1874L, P1874S, T791M, V1254I, V1853I, V402L, and V1853I) were calculated.
Gene ontology enrichment analysis
Gene ontology enrichment analysis was used to classify the differentially expressed genes based on specific biological functions using Goatools [62]. This approach allows enrichment analysis to indicate which molecular functions, biological processes or cellular components were overrepresented (enriched) in a DEG list compared to an annotated list of the whole genome of An. gambiae obtained from blast2go [63] (Additional file 15). The GO term enrichment analysis of up- and downregulated genes was carried out using the Database for Annotation, Visualization, and Integrated Discovery (DAVID) [64, 65]. The P-values used to assess significantly enriched GO terms associated with the DEG list were calculated based on Fisher’s exact test and corrected by the Benjamini-Hochberg multiple testing correction method. Thus, an FDR adjusted P-value < 0.05 was used to report significantly enriched GO terms from the list of DEGs (Additional file 12). Visualization of the enriched GO terms was performed using the package ‘ggplot2’ following the protocol of Bonnot and others [66].
RNAseq data validation using quantitative PCR
To validate the RNA-seq data, a set of six genes (SG7, CYP9K1, CYP6P3, COEJHE5E, RPS7, Actinc5) was used. RNA from three replicates of samples resistant to alphacypermethrin, deltamethrin or pirimiphos-methyl from Djougou (same batch of mosquitoes used for RNA sequencing) was used to synthesize cDNA using the HighCapacity cDNA reverse transcription kit (Applied Biosystems) with oligo-dT20 (NEB), according to the manufacturer’s instructions. The primers used are listed in Additional file 16. Standard curves of Ct values for each gene were generated using a serial dilution of cDNA, allowing assessment of PCR efficiency. qPCR amplification was carried out on an Agilent Technologies Stratagene Mx3005P using PowerUp SYBR Green Master Mix (Applied Biosystems). cDNA from each sample was used as a template in a three-step program: 50 °C for 2 minutes denaturation at 95 °C for 10 minutes, followed by 40 cycles of 15 seconds at 95 °C, 1 minute at 60 °C and a final step of 15 seconds at 95 °C, 1 minute at 60 °C, and 15 seconds at 95 °C. The relative expression level and fold change (FC) of each target gene from resistant field samples relative to the susceptible lab strain were calculated using the 2 − ΔΔCT method [67] incorporated in Python script (https://github.com/dany-gaga/from_Ct_to_logFoldChange). Housekeeping genes encoding ribosomal protein S17 (RPS17; AGAP010592) and Actin5C (AGAP000651) were used for normalization. A Pearson correlation coefficient was computed to assess the statistical difference between log2Foldchange obtained from resistant against susceptible strain comparisons for both RNAseq and qPCR results. The coefficient was computed and plotted using the ‘ggscatter’ function from the ‘ggpubr’ package in R.
Supplementary Information
Acknowledgments
We would like to thank all of the ‘Unité Environnement, Gestion des Données et Formation Universitaire’ (UEGDFU), Pierre Marie Sovegnon for his assistance during larval collection and ideas brainstorming, Adande Bernard Medjigbodo for his help during the bioassays and Laurette Djossou for her help during DNA extractions and species identification. We acknowledge the MR4 team at the Entomology Branch, CDC Atlanta for providing the susceptible colony used for this study. Furthermore, we express our gratitude to Yassimine Djibril, Flavia Hounwanou, Horace Agossadou, Nicole Dzuris for facilitating the administrative tasks related to this study. The views expressed in this manuscript are those of the authors and do not necessarily reflect the official policy or position of the Centers for Disease Control and Prevention.
Abbreviations
- IR
Insecticide resistance
- ITNs
Insecticide-treated nets
- IRS
Indoor residual spraying
- DGE
Differential gene expression
- FC
Fold-change
- PCA
Principal component analysis
- CPs
Cuticular proteins
- CYPs
Cytochrome P450 genes
- GSTs
Glutathione-S-transferases
- COE
Carboxylesterases
- SNPs
Single nucleotide polymorphisms
- GOE
Gene ontology
- BP
Biological process
- MF
Molecular function
- CC
Cellular component
- NMCP
National Malaria Control Program
- LLINs
Long-lasting insecticidal nets
- SGPs
Salivary gland proteins
- RPS17
Ribosomal protein S1
- CDS
Coding sequence
- GO
Gene ontology
- DAVID
Database for Annotation, Visualization, and Integrated Discovery
- CTAB
Cetyl trimethyl ammonium bromide
Authors’ contributions
EO, LSD, LI, ND and AL: project design and funding acquisition; HS, DD, CC and LI: pipeline design, formal analysis, writing of the original draft and editing; DO, SO, NM, EO, LSD, ND and AL: manuscript review and editing.
Funding
This work was supported by the Bill and Melinda Gates Foundation, Grand Challenges Grant No. INV024969 and Investment Grant OPP1210769.
Availability of data and materials
The dataset supporting the conclusions of this article is available at Sequence Read Archive (SRA) under the accession number PRJNA982704.
Project link: https://www.ncbi.nlm.nih.gov/bioproject/PRJNA982704
Declarations
Ethics approval and consent to participate
Ethics approval was granted by the Kenya Medical Research Institute (KEMRI), scientific Ethics Review Unit steering committee (SERU 3275). Verbal informed consent was obtained from the head of each household prior to mosquito collections.
Consent for publication
Not Applicable (NA)
Competing interests
The author declares that they have no competing interests.
Footnotes
Publisher’s Note
Springer Nature remains neutral with regard to jurisdictional claims in published maps and institutional affiliations.
Contributor Information
Helga Saizonou, Email: daniellamodukpe@gmail.com.
Luc S. Djogbénou, Email: ldjogbenou22002@yahoo.fr
References
- 1.Raghavendra K, Barik TK, Reddy BPN, Sharma P, Dash AP. Malaria vector control: From past to future. Parasitol Res. 2011;108:757–779. doi: 10.1007/s00436-010-2232-0. [DOI] [PubMed] [Google Scholar]
- 2.WHO. World malaria report 2019. Geneva; 2019.
- 3.Liu N. Insecticide Resistance in Mosquitoes: Impact, Mechanisms, and Research Directions. Annu Rev Entomol. 2015;60:537–559. doi: 10.1146/annurev-ento-010814-020828. [DOI] [PubMed] [Google Scholar]
- 4.Chandre F, Darrier F, Manga L, Akogbeto M, Faye O, Mouchet J, et al. Status of pyrethroid resistance in Anopheles gambiae sensu lato. Bull World Health Organ. 1999;77:230–234. [PMC free article] [PubMed] [Google Scholar]
- 5.Weill M, Luffalla G, Mogensen K, Chandre F, Berthomieu A, Berticat C, et al. Insecticide resistance in mosquito vectors. Nature. 2003;423:136–137. doi: 10.1038/423136b. [DOI] [PubMed] [Google Scholar]
- 6.Riveron JM, Tchouakui M, Mugenzi L, Menze B D, Chiang M-C, Wondji CS. Insecticide Resistance in Malaria Vectors: An Update at a Global Scale. Towar Malar Elimin - A Leap Forw. 2018. [Google Scholar]
- 7.Tchouakui M, Miranda JR, Mugenzi LMJ, Djonabaye D, Wondji MJ, Tchoupo M, et al. Cytochrome P450 metabolic resistance (CYP6P9a) to pyrethroids imposes a fitness cost in the major African malaria vector Anopheles funestus. Heredity (Edinb) 2020;124:621–632. doi: 10.1038/s41437-020-0304-1. [DOI] [PMC free article] [PubMed] [Google Scholar]
- 8.Black WC, Snell TK, Saavedra-Rodriguez K, Kading RC, Campbell CL. From Global to Local—New Insights into Features of Pyrethroid Detoxification in Vector Mosquitoes. Insects. 2021;12:276. doi: 10.3390/insects12040276. [DOI] [PMC free article] [PubMed] [Google Scholar]
- 9.Faucon F, Gaude T, Dusfour I, Navratil V, Corbel V, Juntarajumnong W, et al. In the hunt for genomic markers of metabolic resistance to pyrethroids in the mosquito Aedes aegypti: an integrated next-generation sequencing approach. PLOS Negl Trop Dis. 2017;11 [DOI] [PMC free article] [PubMed]
- 10.Neafsey DE, Taylor AR, MacInnis BL. Advances and opportunities in malaria population genomics. Nat Rev Genet. 2021;22:502–517. doi: 10.1038/s41576-021-00349-5. [DOI] [PMC free article] [PubMed] [Google Scholar]
- 11.Mackenzie-Impoinvil L, Weedall GD, Lol JC, Pinto J, Vizcaino L, Dzuris N, et al. Contrasting patterns of gene expression indicate differing pyrethroid resistance mechanisms across the range of the New World malaria vector Anopheles albimanus. PLoS One. 2019;14 [DOI] [PMC free article] [PubMed]
- 12.Messenger LA, Impoinvil LM, Derilus D, Yewhalaw D, Irish S, Lenhart A. A whole transcriptomic approach provides novel insights into the molecular basis of organophosphate and pyrethroid resistance in Anopheles arabiensis from Ethiopia. Insect Biochem Mol Biol. 2021;139:103655. doi: 10.1016/j.ibmb.2021.103655. [DOI] [PMC free article] [PubMed] [Google Scholar]
- 13.Clarkson CS, Miles A, Harding NJ, AO O, Weetman D, Kwiatkowski D, et al. The genetic architecture of target-site resistance to pyrethroid insecticides in the African malaria vectors Anopheles gambiae and Anopheles coluzzii the Anopheles gambiae 1000 genomes consortium †. Mol Ecol. 2021;00:1–15. doi: 10.1111/mec.15845. [DOI] [PMC free article] [PubMed] [Google Scholar]
- 14.Hancock PA, Hendriks CJM, Tangena JA, Gibson H, Hemingway J, Coleman M, et al. Mapping trends in insecticide resistance phenotypes in African malaria vectors. PLoS Biol. 2020;18:e3000633. doi: 10.1371/journal.pbio.3000633. [DOI] [PMC free article] [PubMed] [Google Scholar]
- 15.Ochomo E, Bayoh NM, Kamau L, Atieli F, Vulule J, Ouma C, et al. Pyrethroid susceptibility of malaria vectors in four districts of western Kenya. Parasit Vectors. 2014;7:1–9. doi: 10.1186/1756-3305-7-310. [DOI] [PMC free article] [PubMed] [Google Scholar]
- 16.Akogbéto MC, Dagnon F, Aïkpon R, Ossé R, Salako AS, Ahogni I, et al. Lessons learned, challenges and outlooks for decision-making after a decade of experience monitoring the impact of indoor residual spraying in Benin. West Africa Malar J. 2020;19:1–16. doi: 10.1186/s12936-020-3131-1. [DOI] [PMC free article] [PubMed] [Google Scholar]
- 17.Assogba BS, Pasteur N, Makoundou P, Unal S, Baba-Moussa L, Labbé P, et al. Dynamic of resistance alleles of two major insecticide targets in Anopheles gambiae (s.l.) populations from Benin, West Africa. Parasit Vectors. 2020;13:1–16. doi: 10.1186/s13071-020-4006-6. [DOI] [PMC free article] [PubMed] [Google Scholar]
- 18.Ye M, Nayak B, Xiong L, Xie C, Dong Y, You M, et al. The role of insect cytochrome P450s in mediating insecticide resistance. Agric. 2022:12.
- 19.Berenbaum MR. Postgenomic chemical ecology: from genetic code to ecological interactions. J Chem Ecol. 2002;28:873–896. doi: 10.1023/A:1015260931034. [DOI] [PubMed] [Google Scholar]
- 20.Claudianos C, Ranson H, Johnson RM, Biswas S, Schuler MA, Berenbaum MR, et al. A deficit of detoxification enzymes: pesticide sensitivity and environmental response in the honeybee. Insect Mol Biol. 2006;15:615–636. doi: 10.1111/j.1365-2583.2006.00672.x. [DOI] [PMC free article] [PubMed] [Google Scholar]
- 21.Zhang H, Zhao M, Liu Y, Zhou Z, Guo J. Identification of cytochrome P450 monooxygenase genes and their expression in response to high temperature in the alligatorweed flea beetle Agasicles hygrophila (Coleoptera: Chrysomelidae) Sci Rep. 2018;8:1–13. doi: 10.1038/s41598-018-35993-1. [DOI] [PMC free article] [PubMed] [Google Scholar]
- 22.Sandeu MM, Mulamba C, Weedall GD, Wondji CS. A differential expression of pyrethroid resistance genes in the malaria vector Anopheles funestus across Uganda is associated with patterns of gene flow. PLoS One. 2020;15:e0240743. doi: 10.1371/journal.pone.0240743. [DOI] [PMC free article] [PubMed] [Google Scholar]
- 23.Ibrahim SS, Muhammad A, Hearn J, Weedall GD, Nagi SC, Mukhtar MM, et al. Molecular drivers of insecticide resistance in the Sahelo-Sudanian populations of a major malaria vector Anopheles coluzzii. BMC Biol. 2023;21:1–23. doi: 10.1186/s12915-023-01610-5. [DOI] [PMC free article] [PubMed] [Google Scholar]
- 24.Balabanidou V, Kampouraki A, Maclean M, Blomquist GJ, Tittiger C, Juárez MP, et al. Cytochrome P450 associated with insecticide resistance catalyzes cuticular hydrocarbon production in Anopheles gambiae. Proc Natl Acad Sci USA. 2016;113:9268–9273. doi: 10.1073/pnas.1608295113. [DOI] [PMC free article] [PubMed] [Google Scholar]
- 25.Vontas J, Grigoraki L, Morgan J, Tsakireli D, Fuseini G, Segura L, et al. Rapid selection of a pyrethroid metabolic enzyme CYP9K1 by operational malaria control activities. Proc Natl Acad Sci USA. 2018;115:4619–4624. doi: 10.1073/pnas.1719663115. [DOI] [PMC free article] [PubMed] [Google Scholar]
- 26.David JP, Ismail HM, Chandor-Proust A, Paine MJI. Role of cytochrome P450s in insecticide resistance: impact on the control of mosquito-borne diseases and use of insecticides on earth. Philos Trans R Soc B Biol Sci. 2013:368. [DOI] [PMC free article] [PubMed]
- 27.Adebiyi MO, Olugbara OO. Homology modeling of CYP6Z3 protein of Anopheles mosquito. Adv Sci Technol Eng Syst J. 2021;6:580–585. doi: 10.25046/aj060266. [DOI] [Google Scholar]
- 28.Haruna AS, Vontas J, Eyo JE. First Incidence of CYP9K1, CYP6P4 and CYP6Z1 in Anopheles gambiae ss from Nigeria. 2020. [Google Scholar]
- 29.Irving H, Riveron JM, Ibrahim SS, Lobo NF, Wondji CS. Positional cloning of rp2 QTL associates the P450 genes CYP6Z1,CYP6Z3 and CYP6M7 with pyrethroid resistance in the malaria vectorAnopheles funestus. Heredity (Edinb) 2012;109:383. doi: 10.1038/hdy.2012.53. [DOI] [PMC free article] [PubMed] [Google Scholar]
- 30.Nardini L, Christian RN, Coetzer N, Koekemoer LL. DDT and pyrethroid resistance in Anopheles arabiensis from South Africa. Parasit Vectors. 2013;6:229. doi: 10.1186/1756-3305-6-229. [DOI] [PMC free article] [PubMed] [Google Scholar]
- 31.Ingham VA, Wagstaff S, Ranson H. Transcriptomic meta-signatures identified in Anopheles gambiae populations reveal previously undetected insecticide resistance mechanisms. Nat Commun. 2018;9:1–11. doi: 10.1038/s41467-018-07615-x. [DOI] [PMC free article] [PubMed] [Google Scholar]
- 32.Enayati AA, Ranson H, Hemingway J. Insect glutathione transferases and insecticide resistance. Insect Mol Biol. 2005;14:3–8. doi: 10.1111/j.1365-2583.2004.00529.x. [DOI] [PubMed] [Google Scholar]
- 33.Pavlidi N, Vontas J, Van Leeuwen T. The role of glutathione S-transferases (GSTs) in insecticide resistance in crop pests and disease vectors. Curr Opin Insect Sci. 2018;27:97–102. doi: 10.1016/j.cois.2018.04.007. [DOI] [PubMed] [Google Scholar]
- 34.Lucas ER, Nagi SC, Egyir-Yawson A, Essandoh J, Dadzie S, Chabi J, et al. Genome-wide association studies reveal novel loci associated with pyrethroid and organophosphate resistance in Anopheles gambiae and Anopheles coluzzii. Nat Commun. 2023;14:4946. doi: 10.1038/s41467-023-40693-0. [DOI] [PMC free article] [PubMed] [Google Scholar]
- 35.Xu Y, Xu J, Zhou Y, Li X, Meng Y, Ma L, et al. CPR63 promotes pyrethroid resistance by increasing cuticle thickness in Culex pipiens pallens. Parasit Vectors. 2022;15:1–7. doi: 10.1186/s13071-022-05175-0. [DOI] [PMC free article] [PubMed] [Google Scholar]
- 36.Jacobs E, Chrissian C, Rankin-Turner S, Wear M, Camacho E, Broderick NA, et al. Cuticular profiling of insecticide resistant Aedes aegypti. Sci Rep. 2023;13:10154. doi: 10.1038/s41598-023-36926-3. [DOI] [PMC free article] [PubMed] [Google Scholar]
- 37.Chen EH, Hou QL, Dou W, Wei DD, Yue Y, Yang RL, et al. Genome-wide annotation of cuticular proteins in the oriental fruit fly (Bactrocera dorsalis), changes during pupariation and expression analysis of CPAP3 protein genes in response to environmental stresses. Insect Biochem Mol Biol. 2018;97:53–70. doi: 10.1016/j.ibmb.2018.04.009. [DOI] [PubMed] [Google Scholar]
- 38.Yahouédo GA, Chandre F, Rossignol M, Ginibre C, Balabanidou V, Mendez NGA, et al. Contributions of cuticle permeability and enzyme detoxification to pyrethroid resistance in the major malaria vector Anopheles gambiae. Sci Rep. 2017;7:1–10. doi: 10.1038/s41598-017-11357-z. [DOI] [PMC free article] [PubMed] [Google Scholar]
- 39.Kefi M, Charamis J, Balabanidou V, Ioannidis P, Ranson H, Ingham VA, et al. Transcriptomic analysis of resistance and short-term induction response to pyrethroids, in Anopheles coluzzii legs. BMC Genomics. 2021;22 [DOI] [PMC free article] [PubMed]
- 40.Matiya DJ, Philbert AB, Kidima W, Matowo JJ. Dynamics and monitoring of insecticide resistance in malaria vectors across mainland Tanzania from 1997 to 2017: a systematic review. Malar J. 2019;18:1–16. doi: 10.1186/s12936-019-2738-6. [DOI] [PMC free article] [PubMed] [Google Scholar]
- 41.Toé KH, N’Falé S, Dabiré RK, Ranson H, Jones CM. The recent escalation in strength of pyrethroid resistance in Anopheles coluzzi in West Africa is linked to increased expression of multiple gene families. BMC Genomics. 2015;16:1–11. doi: 10.1186/s12864-015-1342-6. [DOI] [PMC free article] [PubMed] [Google Scholar]
- 42.Ibrahim SS, Muhammad A, Hearn J, Weedall GD, Nagi SC, Mukhtar MM, et al. Molecular drivers of insecticide resistance in the Sahelo-Sudanian populations of a major malaria vector. bioRxiv. 2022;:2022.03.21.485146. [DOI] [PMC free article] [PubMed]
- 43.Deng F, Wu S, Wu Y, Liu X, Wu P, Zhai Z. Identification of mucins and their expression in the vector mosquito Aedes albopictus. J Vector Ecol. 2020;45:297–305. doi: 10.1111/jvec.12400. [DOI] [PubMed] [Google Scholar]
- 44.Korayem AM, Fabbri M, Takahashi K, Scherfer C, Lindgren M, Schmidt O, et al. A Drosophila salivary gland mucin is also expressed in immune tissues: evidence for a function in coagulation and the entrapment of bacteria. Insect Biochem Mol Biol. 2004;34:1297–1304. doi: 10.1016/j.ibmb.2004.09.001. [DOI] [PubMed] [Google Scholar]
- 45.Canesi L, Negri A, Barmo C, Banni M, Gallo G, Viarengo A, et al. The organophosphate Chlorpyrifos interferes with the responses to17β-estradiol in the digestive gland of the marine mussel Mytilusgalloprovincialis. PLoS One. 2011;6 [DOI] [PMC free article] [PubMed]
- 46.Hamid-Adiamoh M, Jabang AMJ, Opondo KO, Ndiath MO, Assogba BS, Amambua-Ngwa A. Distribution of Anopheles gambiae thioester-containing protein 1 alleles along malaria transmission gradients in the Gambia. Malar J. 2023;22:1–8. doi: 10.1186/s12936-023-04518-1. [DOI] [PMC free article] [PubMed] [Google Scholar]
- 47.Blandin S, Shiao SH, Moita LF, Janse CJ, Waters AP, Kafatos FC, et al. Complement-like protein TEP1 is a determinant of vectorial capacity in the malaria vector Anopheles gambiae. Cell. 2004;116:661–670. doi: 10.1016/S0092-8674(04)00173-4. [DOI] [PubMed] [Google Scholar]
- 48.Sousa GL, Bishnoi R, Baxter RHG, Povelones M. The CLIP-domain serine protease CLIPC9 regulates melanization downstream of SPCLIP1, CLIPA8, and CLIPA28 in the malaria vector Anopheles gambiae. PLoS Pathog. 2020;16:e1008985. doi: 10.1371/journal.ppat.1008985. [DOI] [PMC free article] [PubMed] [Google Scholar]
- 49.Wang HC, Wang QH, Bhowmick B, Li YX, Han Q. Functional characterization of two clip domain serine proteases in innate immune responses of Aedes aegypti. Parasit Vectors. 2021;14:1–13. doi: 10.1186/s13071-021-05091-9. [DOI] [PMC free article] [PubMed] [Google Scholar]
- 50.Huang X, Jing D, Prabu S, Zhang T, Wang Z. RNA interference of Phenoloxidases of the fall armyworm, Spodoptera frugiperda, enhance susceptibility to bacillus thuringiensis protein Vip3Aa19. Insects. 2022;13:1–15. doi: 10.3390/insects13111041. [DOI] [PMC free article] [PubMed] [Google Scholar]
- 51.Wipf NC, Duchemin W, Kouadio FPA, Fodjo BK, Sadia CG, Mouhamadou CS, et al. Multi-insecticide resistant malaria vectors in the field remain susceptible to malathion, despite the presence of Ace1 point mutations. PLoS Genet. 2022;18:e1009963. doi: 10.1371/journal.pgen.1009963. [DOI] [PMC free article] [PubMed] [Google Scholar]
- 52.Brogdon WG. Centers for DC and P. Guideline for Evaluating Insecticide Resistance in Vectors Using the CDC Bottle Bioassay. 2010. [Google Scholar]
- 53.Vatandoost H, Abai MR, Akbari M, Raeisi A, Yousefi H, Sheikhi S, et al. Comparison of CDC bottle bioassay with WHO standard method for assessment susceptibility level of malaria vector, Anopheles stephensi to three Imagicides. J Arthropod Borne Dis. 2019;13:17. [PMC free article] [PubMed] [Google Scholar]
- 54.LaMar D. FastQC. 2015. [Google Scholar]
- 55.Chen S, Zhou Y, Chen Y, Gu J. Fastp: an ultra-fast all-in-one FASTQ preprocessor. Bioinformatics. 2018;34:i884–i890. doi: 10.1093/bioinformatics/bty560. [DOI] [PMC free article] [PubMed] [Google Scholar]
- 56.Liao Y, GK S, W S. The subread aligner: fast, accurate and scalable read mapping by seed-and-vote. Nucleic Acids Res. 2013:41. [DOI] [PMC free article] [PubMed]
- 57.Li H, Handsaker B, Wysoker A, Fennell T, Ruan J, Homer N, et al. The sequence alignment/map format and SAMtools. Bioinformatics. 2009;25:2078–2079. doi: 10.1093/bioinformatics/btp352. [DOI] [PMC free article] [PubMed] [Google Scholar]
- 58.Liao Y, Smyth GK, Shi W. featureCounts: an efficient general purpose program for assigning sequence reads to genomic features. Bioinformatics. 2014;30:923–930. doi: 10.1093/bioinformatics/btt656. [DOI] [PubMed] [Google Scholar]
- 59.McCarthy DJ, Chen Y, Smyth GK. Differential expression analysis of multifactor RNA-Seq experiments with respect to biological variation. Nucleic Acids Res. 2012;40:4288–4297. doi: 10.1093/nar/gks042. [DOI] [PMC free article] [PubMed] [Google Scholar]
- 60.Ritchie ME, Phipson B, Wu D, Hu Y, Law CW, Shi W, et al. Limma powers differential expression analyses for RNA-sequencing and microarray studies. Nucleic Acids Res. 2015;43:e47. doi: 10.1093/nar/gkv007. [DOI] [PMC free article] [PubMed] [Google Scholar]
- 61.Danecek P, Bonfield JK, Liddle J, Marshall J, Ohan V, Pollard MO, et al. Twelve years of SAMtools and BCFtools. Gigascience. 2021;10:1–4. doi: 10.1093/gigascience/giab008. [DOI] [PMC free article] [PubMed] [Google Scholar]
- 62.Klopfenstein DV, Zhang L, Pedersen BS, Ramírez F, Vesztrocy AW, Naldi A, et al. GOATOOLS: a Python library for gene ontology analyses. Sci Rep. 2018:8. [DOI] [PMC free article] [PubMed]
- 63.Conesa A, Götz S, García-Gómez JM, Terol J, Talón M, Robles M. Blast2GO: a universal tool for annotation, visualization and analysis in functional genomics research. Bioinforma Appl NOTE. 2005;21:3674–3676. doi: 10.1093/bioinformatics/bti610. [DOI] [PubMed] [Google Scholar]
- 64.Huang DW, Sherman BT, Lempicki RA. Systematic and integrative analysis of large gene lists using DAVID bioinformatics resources. Nat Protoc. 2009;4:44–57. doi: 10.1038/nprot.2008.211. [DOI] [PubMed] [Google Scholar]
- 65.Sherman BT, Hao M, Qiu J, Jiao X, Baseler MW, Lane HC, et al. DAVID: a web server for functional enrichment analysis and functional annotation of gene lists (2021 update) Nucleic Acids Res. 2022;50:W216–W221. doi: 10.1093/nar/gkac194. [DOI] [PMC free article] [PubMed] [Google Scholar]
- 66.Bonnot T, Gillard MB, Nagel DH. A simple protocol for informative visualization of enriched gene ontology terms. BIO-PROTOCOL. 2019. 10.21769/BioProtoc.3429.
- 67.Rao X, Huang X, Zhou Z, Lin X. An improvement of the 2ˆ(−delta delta CT) method for quantitative real-time polymerase chain reaction data analysis. Biostat Bioinforma Biomath. 2013;3:71. [PMC free article] [PubMed] [Google Scholar]
Associated Data
This section collects any data citations, data availability statements, or supplementary materials included in this article.
Supplementary Materials
Data Availability Statement
The dataset supporting the conclusions of this article is available at Sequence Read Archive (SRA) under the accession number PRJNA982704.
Project link: https://www.ncbi.nlm.nih.gov/bioproject/PRJNA982704




