Abstract
Pyrimidine is a moiety that occurs in living organisms and has a variety of significant biological properties in pharmacology. Due to the easy handling of synthesis, easily available precursor, and less duration for the reaction, for the synthesis, not many technical skills are needed. All these factors attract chemists to focus more on pyrimidines. Apart from the synthesis of biological applications of pyrimidines, medicinal chemists have gathered to explore more pyrimidine scaffolds due to their interesting medicinal properties and easy targeting of various binding sites. This review delves into the diverse biological activities of compounds derived from pyrimidine during the year 2024. We have attempted to explore the growing significance of pyrimidine derivatives and provide a new path for designing new potent molecules.
Keywords: pyrimidines, biologically potent, nitrogen-containing heterocycles, nucleobases
1. Introduction
In the living organism, N-containing heterocycles are the foremost class, as they consist of the majority of all the parts. Among the N-containing heterocycles, pyrimidines are one of the important classes due to biological significance, and these are also found in all living organisms. Pyrimidines are electron-rich heterocycles containing two nitrogens in the ring. Pyrimidine derivatives are present in nucleobases (Figure 1), vitamins (Figure 2), dyes, agrochemicals, antibiotics (Figure 3), etc. Some of the pyrimidine derivatives are used in various medications, e.g., Minoxidil is employed to manage hypertension (Figure 4) and alopecia, Doxazosin is prescribed for hypertension treatment, Etravirine, Rilpivirine, and Zidovudine are used to treat HIV (Figure 5), Zaleplon, Indiplon, and Ocinaplon are used as sedatives and hypnotics (Figure 6), Pyrazophos is used as a fungicide and an insecticide (Figure 7), Rosuvastatin is used in the treatment of cardiovascular disease (Figure 7), Risperidone is used to treat schizophrenia and bipolar disorder (Figure 8), and Pirenperone is an antipsychotic drug (Figure 8). The pyrimidine ring frequently enhances the pharmacokinetic/pharmacodynamic qualities of the medication because of its capacity to interact with a variety of targets by efficiently generating hydrogen bonds and by serving as bioisosteres for phenyl as well as other aromatic π systems [1].
Figure 1.
Well-known N-containing heterocycles are present in nucleobases.
Figure 2.
Pyrimidine-containing vitamins.
Figure 3.
Pyrimidine-containing antibiotics.
Figure 4.
Pyrimidine-containing antihypertensive drugs.
Figure 5.
Pyrimidine-containing anti-HIV drugs.
Figure 6.
Pyrimidine-containing sedative and hypnotic drugs.
Figure 7.
Pyrimidine-containing fungicide and an insecticide and cardiovascular drug.
Figure 8.
Pyrimidine-containing schizophrenia and bipolar disorder and antipsychotic drugs.
The Biginelli reaction, a well-known multicomponent, one-pot reaction, is used to manufacture pyrimidines. This process, first described by Pietro Biginelli in 1891, condenses three ingredients: urea (compound c), aryl aldehyde (compound b), and ethyl acetoacetate (compound a). This enables the effective production of pyrimidine derivatives. These reactants combine in an RB, where they go through condensation and cyclization processes to produce pyrimidines (compound d). The Biginelli reaction holds great significance in medicinal chemistry because of its ease of use, effectiveness, and capacity to provide diverse pyrimidine-based compounds that exhibit biological activity. This procedure, shown in Scheme 1, demonstrates how a one-pot synthesis can simplify the synthesis of complicated heterocyclic compounds by eliminating the need for several steps and providing a flexible route for the synthesis of pyrimidine derivatives.
Scheme 1.
Overall Biginelli reaction synthetic route.
Various pyrimidine-containing derivatives are used in a variety of cancer treatments, e.g., Dinaciclib is used as CDK, Cytarabine as induction chemotherapy, Avapritinib in the treatment of mastocytosis, Neratinib and Afatinib as a tyrosine kinase inhibitor, osimertinib, Gefitinib as EGFR TKI, Lapatinib as HER2/neu EGFR, Ibrutinib as Bruton’s tyrosine kinase, Sapanisertib as an inhibitor of mTOR, Umbralisib as PI3K-delta and casein kinase CK1-epsilon (Figure 9).
Figure 9.
Pyrimidine-containing anticancer drugs.
Pyrimidine derivatives are well known to possess a variety of biological properties (Figure 10), like antibacterial [2], anti-inflammatory [3,4], antifungal [5], antileishmanial [6], anticancer [7,8], analgesic [9], anticonvulsant [10], antihypertensive [11], insecticidal [12], antidiabetic [13], antiviral [14], anthelmintic [15], antitubercular [16], larvicidal [17,18,19], and antioxidant [20]. Apart from pharmacological applications, pyrimidine derivatives are also found in agrochemicals [21], the petroleum industry [22], corrosion inhibitors [23], fluorescent receptors showing dual signaling mechanisms [24], bioimaging [25], fluorescent pseudomonads [26], photosensitizers [27], Photophysics and Nonlinear Optical Properties [28], dyes [29], electroluminescence [30], Organic Light-Emitting Diodes [31], optoelectronics [32], and organic semiconductors [33].
Figure 10.
Pyrimidine-containing drugs are used in the market.
Because of the extraordinary significance of pyrimidines, a great swath of research efforts has proceeded to study these scaffolds [34] (Figure 11). Apart from its easy accessibility, the pyrimidine skeleton can be readily altered to create structural variation at positions 2, 4, 5, and 6. In this regard, numerous studies have been written that provide a general discussion of the synthesis of pyrimidine analogs and their significance as a class of potentially pharmacologically active compounds [35]. This review concentrates on investigating the pharmacological applications of pyrimidine derivatives and examining their SAR.
Figure 11.
Pyrimidine-containing bioactive molecules reported in the literature.
2. Pharmacological Properties
In this review, we have focused on various pharmacological properties of pyrimidine and pyrimidine-containing compounds. There have been recent developments in the pyrimidines against various targets, such as EGFR, HDAC, and CDKs. This study aims to explore recent advancements in the anticancer, antimicrobial, antidiabetic, anti-inflammatory, and antioxidant properties of the pyrimidines.
2.1. As Anticancer Agents
Tiwari et al. synthesized 27 pyrimidine-triazoles and screened them against MCF-7, MDA-MB453, and MDA-MB231 cell lines; YM155 and menadione were employed as positive controls via the cell viability method. One of the representative compounds, compound 10, emerged as a better anticancer agent against MDA-MB453, with IC50 = 29.1 µM, but compound 11 exhibited better activity against MCF-7 cells, with IC50 = 15.3 µM. Both compounds 10 and 11 have the same structures, but different stereochemistry made them drastically different in terms of their anticancer properties [36].
Sabita et al. employed etoposide, a widely recognized chemotherapeutic drug, as a reference point to introduce a new set of pyrimidine-pyrazine-oxazole compounds integrated with chalcone. They then assessed the anticancer potential of these compounds against SiHa, A549, MCF-7, and Colo-205 cell lines using the MTT assay. Most of the examined drugs showed greater activity in comparison to etoposides, based on the data that were acquired. Compounds 12 and 13 exhibited the strongest antitumor action. Compound 12, featuring a 4-pyridyl group conferred to an unsaturated functional group, demonstrated significant anticancer efficacy, with IC50 values given in Table 1. When the 4-pyridyl ring was replaced with a 2-thiazolyl ring in compound 13, its activity was further improved, with IC50 values compared to 12 [37].
Table 1.
IC50 values of pyrimidine-pyrazine-oxazoles [37].
| Compound | SiHa (µM) | A549 (µM) | MCF-7 (µM) | Colo-205 (µM) |
|---|---|---|---|---|
| 12 | 0.03 ± 0.0076 | 0.01 ± 0.0054 | 0.12 ± 0.055 | 0.34 ± 0.033 |
| 13 | 0.071 ± 0.0048 | 0.09 ± 0.0018 | 0.011 ± 0.0067 | 0.16 ± 0.025 |
Sources: Sabita et al.
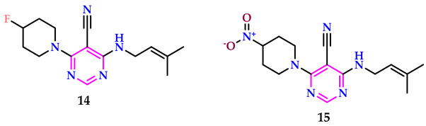
Sivaiah et al. created pyrimidine products as anticancer (against MCF-7, HepG2, and A549 cancer cells) agents using erlotinib as a reference medication; they are powerful dual inhibitors of HDAC and EGFR [38]. Compounds 14 and 15 showed significantly higher efficacy against MCF-7, A549, and HepG2 cell lines, as well as increased safety versus normal WI-38 cells. Compounds 14 and 15 inhibited the EGFR L858R/T790M mutant kinase significantly, with IC50 values of 8.43 and 6.91 nM, respectively. Compound 15 exhibited greater inhibitory potency compared to the reference drug SAHA against the analyzed HDAC1, HDAC2, HDAC4, and HDAC6 isoenzymes, with IC50 values of 22.73, 20.08, 3100, and 3.71 nM, respectively.
Compound 15, featuring a nitro-substituted piperidine linked to pyrimidine, stands out as the most powerful within the sequences. It displays IC50 values of 2.74, 4.92, and 1.96 μM against the MCF-7, HepG2, and A549 cell lines, respectively. Compound 14, with a fluorine-substituted piperidine linked to pyrimidine, has IC50 values of 3.01, 5.88, and 2.81 μM against the MCF-7, HepG2, and A549 cell lines, respectively. Both molecules were more powerful than the clinically utilized erlotinib, with IC50 values of 19.51, 23.61, and 15.83 μM, respectively.
Vemuluri et al. created aryl amide conjugates of thiazole-benzothiazole-pyrimidines and tested them against MCF-7, A549, Colo-205, and A2780 cells, with etoposide as the reference. The results of the in vitro assays indicated that compounds 16, 17, 18, and 19 exhibited greater efficacies compared to the standard agent. Among these compounds, 16 demonstrated particularly potent anticancer activity. Specifically, compound 16, containing an electron-rich group (3,4,5-tri methoxy), displayed superior activity compared to the standard across all cell lines tested (MCF-7 = 0.09 ± 0.0085, 2.19 ± 1.87 µM; A549 = 0.03 ± 0.0056, 3.34 ± 0.152 µM; Colo-205 = 0.01 ± 0.074, 0.17 ± 0.034 µM; and A2780 = 0.12 ± 0.064, 1.38 ± 0.56 µM, respectively) [39].
Jame studied the cytotoxicity of thiazolidin-4-one clubbed pyrimidines on HepG2, HCT-116, PC3, MCF-7, and WI38 cells. Cytotoxicity was evaluated by comparing the IC50 values to those of the referral drug, 5-fluorouracil. The investigation revealed that hybrid combinations exhibited diverse cytotoxic impacts on cell lines. Notably, hybrids 20 and 21 explained prominent anticancer profiles against MCF-7, with IC50 values of 7.53 ± 0.43 as well as 9.17 ± 0.31 μM, respectively. However, 20 showed strong cytotoxicity across four cancer cell lines and exhibited a marked inhibition (IC50 = 7.53 ± 0.43 μM) against MCF-7 cell viability, indicating potential selectivity for breast cancer, and lower cytotoxicity in normal WI38 cells, implying a proper selectivity against three other cancer cells, with IC50 values of 15.05 ± 0.61, 15.35 ± 0.20, and 16.26 ± 0.42 μM [40].
The IC50 values revealed that the benzylidene analogues exhibited strong cytotoxic action, notably against the MCF-7 cancer cell; even the placement of the substituent on the aryl ring influences the relative cytotoxic action and can be regarded as variations in either bioavailability. While hybrid 20 with a 4-methoxyl moiety showed considerable cytotoxicity, the presence of 4-methoxyl suggests more activity than 2-methyl and 3-methyl replacements. 4-methoxy demonstrated greater reactivity, especially against MCF-7.
2.2. As Antimicrobial Agents
Limaye et al. reported that employing biogenically synthesized single-phase δ-MnO2 nanoparticles underneath an external ligand-free environment is a sustainable strategy for pharmaceutically important pyrimidine derivatives. Furthermore, investigations were conducted on the growth curve and lowest inhibitory concentration of δ-MnO2 nanoparticles and pyrimidine derivatives, and compound 22 was tested regarding its antibacterial ability against the Gram-negative bacterium E. coli [41].
Bryndal et al. produced and tested it for antibacterial efficacy against E. faecalis in conjunction with the antineoplastic properties of pyrimidines. The maximum cytotoxicity against RPTEC was seen in 23 (65% at 250 μM after 72 h) and 24 (67% at 250 μM after 72 h). The maximum cytotoxic impact (<100 µM) was reported for 25, which includes a 3-chlorophenyl analogy in the 5-position. The results for 25 were quite promising and should be useful in anticancer medication research. Synthesized compounds were tested against seven microbial strains (E. coli, S. aureus, K. pneumoniae, A. baumannii, P. aeruginosa, E. faecalis, and C. albicans). No MIC or MBC/MFC action was detected at concentrations varying between 0.5 and 256 µg/mL [42].
Yao et al. developed various pyrimidine-based complexes. The cytostatic abilities of the eight complexes against HepG-2 and A549 cells were investigated in vitro, indicating that organoantimony derivatives with tolyl groups exhibited superior cytostatic activity. Additionally, bacteriostatic assessments were accomplished to ascertain the inhibitory impacts of the complexes on three powerful plant pathogenic fungi along with a bacterium. The findings demonstrated that the complex of Sb with a methyl position at the third position exhibited strong fungicidal action, but the complex of Sb with a methyl position at the fourth position exhibited better antibacterial activity against MRSA [43].
The effectiveness of organic antimony complexes in biological activities is influenced by several factors, such as the structural characteristics involving oxygen links, the type of organic substituents (like phenyl or tolyl) connected to the antimony atoms, and the function of the ligand, 26. Among these, antimony complexes featuring oxygen bridge dimers, 3-tolyl substituents, and developed from 4-pyrimidine carboxylic acid exhibited superior anticancer properties compared to other synthetic organic antimony derivatives.
Mahdavi et al. synthesized pyrimidines and studied their antibacterial behavior against E. coli and S. aureus. Compounds 27 and 28 had the largest inhibition zones for S. aureus, while compounds 29 and 30 had the largest inhibition zones for E. coli [44].
Mor et al. discovered pyrimidines and assessed their in vitro anticancer potential against HCT116, MCF7, and PC3 cell lines, using Camptothecin as an accepted drug reference. They also evaluated their in vitro antimicrobial activity against E. faecalis, and E. coli, S. aureus, and S. Typhi, as well as the fungal strain R. oryzae, employing Fluconazole and Tetracycline as standard reference drugs for antifungal and antibacterial testing, respectively. Compounds 31 and 32 exhibited notable inhibition of all cancer cell lines tested, with IC50 data ranging from 29.40 ± 0.21 µM-S53.31 ± 0.22 µM, related to the standard medication Camptothecin (0.25 ± 0.09 µM for HCT116, 0.41 ± 0.07 µM for MCF7, and 0.38 ± 0.03 µM for PC3) [45].
Compound 33 demonstrated superior performance compared to the standard drug Tetracycline (IC50 = 0.0018–0.0128 µM) against two Gram-positive bacterial strains (S. aureus and E. faecalis) and two Gram-negative bacterial strains (S. Typhi and E. coli), with IC50 values of 0.0252 µM, 0.0029 µM, 0.0062 µM, and 0.0328 µM, respectively, as well as against the fungal strain R. oryzae (IC50 = 0.0227 µM). Moreover, in the comparison among methyl and phenyl substituents on the pyrimidine ring of pyrazolones, derivatives containing a methyl group exhibited heightened anticancer action against all examined cell types.
Almakhzoum and Almaqtari reported several pyrimidines and their antibacterial behavior against the investigated bacteria S. aureus and E. coli, and the fungi A. flavus and A. niger, which exhibited activity ranging from strong, moderate, and minor for the synthesized pyrimidine compounds. All of the test compounds from 34, 35, and 36 showed high action against the bacteria E. coli and S. aureus, and the fungi A. flavus and A. niger [46].
Mamand et al. reported pyrimidines with azo linkages, which were estimated for their antimicrobial action against S. aureus and E. coli with standard Metronidazole. The findings demonstrated that with increasing concentration, sensitivity also increased, and at a concentration of 800 µg/mL, no bacterial growth was observed. The investigated compounds exhibited enhanced biological action alongside both S. aureus and E. coli, indicating Gram-positive and Gram-negative bacteria, respectively, at concentrations of 200 μg/mL. Their activity further increased at 400 μg/mL and 600 μg/mL, reaching a point of no growth at 800 μg/mL. Consequently, the synthesized compounds 37–39 displayed considerable biological activity, showcasing notable antimicrobial efficacy against both types of bacteria [47].
Uysal et al. described a greener method for pyrimidines, and some of the compounds were tested for antibacterial behavior against S. epidermidis and S. aureus using the reference drugs Ampicillin and Penicillin G. The test outcomes indicated that compounds 40, 41, 42, and 43 exhibited bacteriostatic consequences against S. aureus, while compounds 40, 42, and 43 displayed such effects against S. epidermidis. These conclusions suggest that the existence of allyl, 4-fluorophenyl, and propargyl groups on thiazolo [3,2-c]pyrimidines contributes to their antibacterial actions [48].
2.3. As Anti-Alzheimer’s Agents
Almehizia et al. synthesized pyrazolo-pyrimidine derivatives and screened for various biological potentials using in vitro methods for anti-Alzheimer’s, anti-diabetic, anti-arthritic, antioxidant, and anti-cancer representatives. The antioxidant analysis revealed that compound 44 displayed slightly elevated TAC at 31.27 ± 0.07 mg gallic acid per g, higher Iron-Reducing Power (IRP) at 17.97 ± 0.04 μg mL−1, and a lower IC50 value against DPPH at 18.33 ± 0.04 μg mL−1. Additionally, it exhibited increased inhibitory activity against ABTS at 28.23 ± 0.06% compared to compound 45, which had TAC of 30.58 ± 0.07 mg gallic acid per g and an IC50 value of 17.29 ± 0.04 μg mL−1 [49].
The findings from the anti-diabetic evaluation revealed that compound 44 exhibited reduced IC50 values against β-glucosidase (5.18 ± 0.01 mg mL−1) and α-glucosidase (2.80 ± 0.01 mg mL−1), as well as α-amylase (1.80 ± 0.01 mg mL−1), when compared to 45, using the standard drug acarbose as a reference. Compound 44 showed the highest anti-Alzheimer’s effect in terms of AChE activity (16.00 ± 0.04%) with standard drug Donepezil and on proteinase denaturation (17.55 ± 0.04%) (diclofenac sodium as standard) and proteinase action (16.25 ± 0.04%) as an anti-arthritic representative. Compound 44 demonstrates a decreased IC50 value of 40.54 μg mL−1 for A549 and 29.77 μg mL−1 for Caco-2 in terms of cytotoxicity when correlated to the standard drug doxorubicin. The presence of the chloro group at the phenyl ring will be responsible for the enhanced activities in the case of compound 44.
Kahvecioglu et al. described pyrimidines [50]. The inhibitory effect of prepared compounds that could be used to treat Alzheimer’s disease was meticulously tested against the enzymes AChE and BChE. Furthermore, the compounds’ antioxidant activity was investigated because there is a link between the two bioactivities. In ABTS, DPPH, and CUPRAC experiments, compound 46 with a methoxy group outperformed α-tocopherol in terms of antioxidant activity. Compound 47, with a methoxy group, has the highest antioxidant activity among the thiosemicarbazide-containing compounds when assessed using CUPRAC, ABTS, and DPPH results based on the electron transfer mechanism. This chemical demonstrated higher antioxidant activity than α-TOC and BHA in ABTS and DPPH tests. Compound 46 effectively inhibited both AChE and BChE, with IC50 data of 20.15 ± 0.44 µM and 36.42 ± 0.73 µM, respectively. In contrast, the reference medication galantamine had IC50 values of 4.82 ± 0.75 µM and 45.54 ± 0.18 µM. Compound 46 has also shown significant antioxidant action.
Pant et al. reported pyrimidines and assessed them for anti-Alzheimer’s action. Among the conjugates tested, 48 exhibited superior AChE inhibitory action, with an IC50 value of 0.03 ± 0.002 μM alongside AChE, associated with the accepted drug donepezil. In behavioral assessments for memory impairment in mice, compound 48 demonstrated the most powerful effects, drastically ameliorating cognitive deficits at a dosage of 2 mg/kg, surpassing the efficacy of donepezil at the same dosage. Treatment with the substituted pyrimidine 48 aided in restoring normal levels of biochemical intermediaries while also inhibiting reactive oxygen and nitrogen species associated with neuroinflammation mechanisms [51].
2.4. Herbicidal Properties
According to Thakuri et al., the functionalized pyrimidines’ herbicidal properties were evaluated in vitro at various doses against R. sativus seeds that had been sterilized. Significant pre-emergent herbicidal activity was demonstrated by the compounds. The findings of the herbicidal activity tests on compounds 49 and 50 showed that they performed better when substituted with chloro (IC50 value of 49.82) and methoxy (IC50 value of 39.56), but not as well when using normal pendimethalin (IC50 value of 56.52). The compounds performed well for in vitro and in silico experiments, offering plenty of room for additional adjustments and research into the potential of phenyl pyrimidines as a strong herbicide [52].
Luo et al. conducted the first screening of pyrimido-triazolo-pyrimidines and their herbicidal properties using both Petri dish assessments and pot testing in a glasshouse. Compound 51 exhibited effective post-emergence herbicidal action against A. theophrasti, A. spinosus, C. album, Echinochloa crusgalli, D. sanguinalis, and S. viridis at a scale of 375 g/ha, comparable to the positive controller Flumetsulam. Enzymatic bioassays showed that compounds 51, 52, and 53 had significant inhibitory activity against ALS, with inhibition rates of 39.6%, 39.1%, and 40.9%, respectively, like Flumetsulam’s rate (43.5%). SAR studies revealed that compounds with C5H11 exhibited higher herbicidal efficacy compared to long-chain compounds. Substituents 4-F, 3-CF3, 4-Cl, and 2,4-di-Cl did not notably affect herbicidal action. Additionally, the presence of benzoyl did not enhance herbicidal efficacy [53].
2.5. As Antioxidant
Abouzayed et al. identified a few pyrimidine complexes based on bioactive chelates and assessed them for cytotoxicity against MCF-7 and Hep-G2 cells. All of the analyzed chelates, except Sm(III) chelate, were more cytotoxic to cancer cells than the parent ligand, 54. Except for Zn(II) chelate, which showed activity on Hep-G2 instead of MCF-7, each metal chelate’s effects on the two cells were almost identical. According to the Zn(II) complex’s trend, Hep-G2 was the target of more selectivity than MCF-7. Compound 54’s association with certain metal ions enhanced its cytotoxic action. Compound 54 (IC50 = 42 μg/mL) was not as powerful an antioxidant as any of the investigated chelates, particularly Zn(II) (IC50 = 20 μg/mL) and Co(II) (IC50 = 28 μg/mL) [54].
Alzahrani et al. exploited sequences of spiro pyrrolo-pyrimidines and investigated them against DPPH while evaluating their ability to inhibit COX-1 and COX-2 enzymes. All complexes displayed substantial anti-inflammatory action, inhibiting both COX-1 and 2 enzymes with an SI higher than that of celecoxib, a referral drug. Among them, compounds 55 and 56 emerged as the utmost effective and selective COX-2 inhibitors, with SIs of 175 and 129.21, respectively, compared to celecoxib’s index of 31.52. Notably, candidate 57 exhibited highly promising anti-inflammatory activity, with an IC50 value of 6.00, whereas celecoxib had an IC50 of 14.50. Additionally, compound 55 demonstrated strong antioxidant activity, with an IC50 value of 33.0 μg mL−1, compared to the standard ascorbic acid’s IC50 of 4.08 μg mL−1, along with DPPH scavenging percentages of 86.1% and 97%, respectively [55].
Bouguessa et al. developed pyrimido-pyrimidine and pyrimido-purines, as well as testing their antibacterial profiles against Gram-positive (S. aureus) and Gram-negative (E. coli) bacteria. Compound 58 showed modest efficacy against E. coli at 25 μg/mL, with an inhibition diameter of 12 mm. It inhibited S. aureus with inhibition diameters of 13 mm, 10 mm, and 8 mm at concentrations of 25 μg/mL, 12.5 μg/mL, and 6.25 μg/mL, respectively. Additionally, they underwent in vitro antioxidant action testing via DPPH and ABTS radical scavenging assays, where compounds 58 and 59 demonstrated moderate effectiveness in scavenging radicals [56].
The findings indicated that compound 59 exhibited the most potent reducing power, with an IC50 value of 22.02 μg/mL in the DPPH and 90.72 μg/mL in the ABTS examinations. This could be attributed to the absence of an amide substitution attached to the adenine nucleus. Compound 58 displayed a scavenging capacity comparable to compound 59, with measurements of 27.11 μg/mL in DPPH and 97.86 μg/mL in ABTS.
Abu-Hashem et al. synthesized some pyrimidines, and their anticancer activities against MCF-7 and RPE-1, as well as their antioxidant activities, were studied. The research unveiled significant antiproliferative activity of certain compounds against MCF-7 and RPE1 carcinoma cell lines, with IC50 values ranging from 6.2 to 15.1 μM for MCF-7 and from 17.5 to 26.4 μM for RPE-1 cells. Compounds 60, 61, 62, and 63 demonstrated high efficacy in targeting carcinoma cell lines, remarkably MCF-7 and RPE-1. Furthermore, these compounds possess diverse functional groups and moieties, contributing to their enhanced cytotoxicity matched to the drug, Doxorubicin. The results suggest that compounds 63, 62, 61, and 60 exhibit anticancer action alongside antioxidant results, as evidenced by their DPPH inhibition [57].
Sivanandhan and Parasuraman discovered pyridopyrimidines. Compound 64 demonstrated the strongest antibacterial activity. Chloramphenicol was used as a standard drug. Regarding antifungal action, the compounds containing electron-drawing groups pointed to an improved zone of inhibition, except that C. albicans fluconazole was used as a standard. Compound 65 demonstrated the strongest activity against A. niger, C. albicans, and A. parasiticus. However, compound 64 had the highest activity against A. fumigatus. Compounds (66, 67, and 68) containing electron-donating groups positioned parallel to the phenyl nucleus displayed heightened antioxidant action. The compounds with electron-donating groups showcased outstanding capability in scavenging free radicals [58].
Compounds 64 and 65, featuring electron-withdrawing groups, demonstrated enhanced anticancer activity. Due to its potent anticancer effects, compound 64 was preferred for cytotoxicity evaluation against the L929 mouse fibroblast cell line based on its IC50 values. When compared to their respective standards, halogen-substituted compounds demonstrated greater antibacterial and anticancer action. Based on the anticancer activity IC50 value, 64 was examined for apoptosis using the AO/EB staining mode. The data pointed to early apoptosis in the MCF-7 cell line.
2.6. Use of Pyrimidine Core as Insecticide
Abbass et al. produced spiro pyrimidines and tested their toxicological efficiency and biological effects on C. pipiens L. larvae. The toxicity of produced compounds differed significantly against C. pipiens larvae. The most effective compounds were 69, 70, and 71, with LC50 values of 12.43, 16.29, and 21.73 µg/mL, respectively, and exhibited minimal to no harmful effects. Apart from their notable effectiveness against mosquito larvae, compounds 69 and 70 inhibited adult emergence at a concentration of 100 µg/mL. Compounds 71, 69, and 70 not only hindered the advancement and growth of C. pipiens larvae but likewise induced numerous morphological abnormalities, attributed to the enhanced activity resulting from the fused aromatic ring. The cyclocondensation of spiro pyrimidine leads to combined pyrimidopyrimidine, which incorporates an amide C=O group, further enhancing the action of compounds 71 and 69 [59].
El-Lateef et al. reported indole clubbed heterocycles. The LC50 values of compound 72 (pyrimidine ring linked to a pyran ring) are 0.44 ppm and have the highest insecticidal activity against C. aphids (nymphs). LC50 values of compound 72 are 1.00 ppm and have the highest insecticidal activity against C. aphids (adults) [60]. Compound 72 exhibited the highest impact against C. neoformans at a dosage of 20 mg/mL, with a 96.81% inhibition zone. Compound 72 had a high impact on S. racemosum, with 95%.
2.7. Use of Pyrimidine Core as Anti-Inflammatory
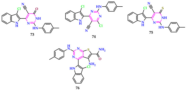
Sayed et al. investigated indole–pyrimidine hybrids and assessed their anti-inflammatory activity. The incorporation of an indole moiety enhances the structural diversity of these compounds, potentially exerting a significant influence on their biological activities. Compounds 73, 74, 75, and 76 demonstrated notable activity as potential candidates, exhibiting 43.17%, 40.91%, 36.35%, and 43.17% inhibition after 4 h in paw edema, and 26.67%, 35.56%, 26.67%, and 31.10% inhibition after 5 h, respectively. These values were compared to indomethacin, a standard drug, which showed 47.72% and 42.22% inhibition at 4 and 5 h, respectively. Furthermore, compounds 73, 74, 75, and 76 demonstrated higher anti-inflammatory efficacy than indomethacin. The elevated activities in cases 73, 74, 75, and 76 will be caused by the presence of oxygen at the pyrimidine ring, the existence of a chloro group at the pyrimidine nucleus, the presence of sulfur at the pyrimidine ring, and the presence of an amido side chain [61].
Bafail and Samman reported a variety of poly-fused pyrimidine derivatives [62]. Compared to Benzotropene® (1.00 ± 0.02), compounds 77 and 78 showed significant anti-parkinsonian activity (0.76 ± 0.01, 0.82 ± 0.02 inhibition). Compound 78 had comparable anti-inflammatory activity (62.3 ± 1.1) to the reference medication, Indomethacin® (65.4 ± 1.2). Compound 78 demonstrated no significant ulcerogenic activity when compared to the control group. Compound 77 strongly inhibits S. aureus, E. coli, K. pneumoniae, B. subtilis, and C. albicans (p < 0.05). Compound 79 successfully inhibited both S. aureus and E. coli (p < 0.05). Compounds 80 and 81 strongly inhibited S. aureus, E. coli, K. pneumoniae, B. subtilis, C. albicans, and A. fumigates compared to ciprofloxacin and ketoconazole (p < 0.05). Compound 82 had considerably higher analgesic activity (1.12 ± 0.01) than Valdecoxib® (1.00 ± 0.01) after 60 min.
Compounds 77 and 78 had substantial hypoglycemic effects (80.7 ± 2.2, 82.2 ± 2.4 mg/dL, respectively) after 24 h (p < 0.05). Compounds 77 and 78 have significant hypoglycemic effects (81.2 ± 2.3, 84.4 ± 2.4 mg/dL) after 72 and 120 h (82.6 ± 2.5, 87.5 ± 2.2 mg/dL, respectively). As compared with pioglitazone® (100.0 ± 2.2 mg/dL), compounds 77 and 78 showed considerably stronger hypoglycemic action (81.3 ± 1.7 and 85.1 ± 1.2 mg/dL, respectively) compared to pioglitazone® (100 ± 2.1 mg/dL).
Compounds 80 and 81 outperformed doxorubicin® (6.52 mol/L) regarding anticancer action against HT-29, with IC50 values of 6.38 and 7.82 mol/L, respectively. Compound 80 outperformed doxorubicin® (6.83 mol/L) against DU145.
2.8. Use of Pyrimidine Core as Anti-Diabetic
Kamat et al. analyzed pyrimidines for α-amylase and α-glucosidase activity. Compound 83 had a much lower IC50 value for α-amylase (1.08 ± 0.42 mg/mL) compared to normal Acarbose (1.42 ± 0.46 mg/mL). Compound 83 has an IC50 of 92.64 ± 0.42%, and compound 84 has an IC50 of 89.05 ± 0.16%, while normal Acarbose showed 70.61 ± 0.46% inhibition of α-amylase at 2 mg/mL. Compounds 83 and 84 demonstrated the most powerful inhibitory action against α-glucosidase, with IC50 values of 1.16 ± 0.72 mg/mL and 1.1 ± 0.68 mg/mL, respectively. These values surpassed those of the reference medication acarbose, which had an IC50 value of 1.42 ± 0.46 mg/mL. At a concentration of 2 mg/mL, compounds 83 and 84 demonstrated α-glucosidase inhibitory activities of 90.94 ± 0.68% and 85.92 ± 0.72%, respectively, while standard acarbose inhibited α-glucosidase by 69.89 ± 0.61% [63].
Mallidi et al. reported pyrimidine-based carbocyclic nucleosides [64]. Compounds 85 and 86 demonstrated encouraging IC50 values against α-glucosidase, measuring 43.292 nmol and 48.638 nmol, correspondingly. Additionally, compounds 86 and 87 showed enhanced antimicrobial action against B. cereus, with zone of inhibition values of 2.2 ± 0.25 mm and 1.4 ± 0.1 mm, respectively, at a concentration of 100 μL. Furthermore, compound 86 displayed a moderate zone of inhibition of 1.2 ± 0.15 mm against E. coli at 100 μL.
2.9. Use of Pyrimidine Core as Antiviral
Gallo et al. conducted a low-throughput antiviral investigation, identifying compound 88 as an effective inhibitor of ZIKV and DENV-2, with EC50 data of 2.4 μM and 1.4 μM, respectively. Compound 89 exhibited lower toxicity compared to similar compounds. Compound 90 demonstrated significant antiviral action against both ZIKV and DENV-2. Even with its toxicity, 90 exhibited the highest SI [65].
Song et al. reported pyrimidines containing long chains. Following 48 h of treatment, compound 91 markedly suppressed cell growth and viability in PK-15 cells (** p = 0.002869). Compound 92 generated a substantial G1-phase arrest in PK-15 cells linked to MOCK (* p = 0.03138) post-treatment of 24 h. Compound 93, after 48 h, had a changed appearance on the cell cycle. In PK-15 cells, the compound 93-treated group had a significantly higher cell apoptosis rate than the control group (** p = 0.007938). Except for compound 93, these tiny molecules can initiate NF-κB promoters [66].
Compounds 94, 95, 92, and 96 exhibited superior antiviral efficacies compared to others, with IC50 values of 10.06, 1.38, 1.93, and 8.3 µM, respectively. These drugs significantly suppressed viral replication when cells were infected with PRV-GFP (MOI = 0.1). Their IC50 values for PRV-GFP were 29.05, 0.15, 0.13, and 0.095 µM, respectively. Apilimod, a positive control antiviral drug, showed IC50 values of 0.66 µM for PRV-GFP and 2.16 µM for VSV-GFP. In vivo studies demonstrated that compounds 94, 92, 95, and 96 effectively protected mice from PRV-QXX infection, as evidenced by reduced viral growth in lung tissues. Compound 95 displayed the most powerful antiviral action, lowest virus load, and minimal tissue damage.
2.10. Use of Pyrimidine Core as Antitubercular
Cele [67] et al. reported quinoline-pyrazolopyrimidines, with 4-methylpiperidine compounds (97) and 4-trifluoromethoxy (98) groups, respectively, demonstrating the greatest securing α-glucosidase inhibition behavior, with IC50 values of 46.70 and 40.84 μM, related to the referral inhibitor, acarbose (IC50 = 51.73 μM). SAR exploration suggested that the pendants, i.e., cyclic secondary amine and 4-phenyl substitutions, describe the inconsistent enzyme inhibition. Compounds 98 (IC50 = 40.84 μM) and 99 (IC50 = 45.99 μM) bearing electron-withdrawing substituents were found to be more potent inhibitors. Antioxidant action further revealed that N-methylpiperazine compounds (100) and (101) with the N-ethylpiperazine ring, respectively, have decent DPPH scavenging capabilities, with IC50 = 0.18, 0.93, and 0.58 mM, as related to ascorbic acid (IC50 value of 0.05 mM), while the finest DPPH scavenger is the NO2− attached compound (IC50 value of 0.08 mM). Also, in the N-(2-hydroxyethyl)piperazine substituted moiety, 102 appeared as the leading NO radical scavenger, with IC50 value of 0.28 mM. Compound 99 emerged as the best DPPH scavenger, with an IC50 value of 0.08 mM, akin to the reference antioxidant, ascorbic acid (IC50 of 0.05 mM).
Raghu et al. reported thiazolidinedione-containing pyrimidines [68]. Active compounds 103, 105, and 104 displayed 1.85, 1.38, and 1.15 times the action of streptomycin, counter to S. aureus, with MIC values of 6.4, 8.6, and 10.3 µM, respectively. Compound 103, featuring a trifluoromethyl group attached to the phenyl nucleus at the fourth place of the thiazolidinedione part, 105 (with a 3,4,5-trifluoro group), along with compound 104 (with a 3,5-difluoro group), and exhibited 2.14, 1.50, and 1.05, times the action of linezolid against the MRSA strain, with MIC values of 10.8, 21.9, and 15.4 µM, respectively. Furthermore, compounds 103, 104, and 105 outperformed the reference drugs in terms of antibacterial effectiveness against all tested bacterial and fungal strains. Compounds 103, 104, and 105 had significant anti-tubercular efficacy among all compounds tested. Compound 103 is the most effective, 1.59 times more so than the reference medication isoniazid. Among the analyzed derivatives, compounds 103, 105, and 104 exhibited the greatest SI values of 227.27, 156.25, and 70.42, respectively. Isoniazid, with an SI value of 142.86, presents a promising prospect for further exploration of derivatives based on compounds 103, 104, and 105.
2.11. DNA Binding Studies
Abdelwahab et al. reported pyrimidines, and the well diffusion method was utilized to analyze the antibacterial properties of the synthesized compounds against various bacterial strains, and it was discovered that 106 was the most effective [69]. Among the produced compounds, the analogue (106) with an electron-drawing group (chloro substitution) was effective against the Gram-negative bacteria tested. The results support the chemical 106 affinity for CT-DNA, as they show that the absorbance of the N-arylacetamide conjugative 106 decreases as the concentration of CT-DNA rises. The interaction of 106 with DNA resulted in a notable hypochromism (33%). This contact also resulted in a small redshift (~5 nm). Absorption spectroscopy revealed that compound 106 had a high potential for DNA binding, with an intrinsic binding constant value of 2.64 × 104 M−1.
Dominguez et al. assessed the characteristics of PPRHs targeting the SARS-CoV-2 genome. Numerous PPRHs were produced to aim at different polypyrimidine locations in the viral genome. The binding affinities of these PPRHs varied depending on their length and GC contents. The quantity and placement of pyrimidine interruptions about the 4 T loop of PPRHs were identified as crucial determinants of their binding attraction with the correct target. Likewise, these elements were observed to impact the intramolecular and intermolecular equilibria of PPRHs both individually and when paired with their respective directs, emphasizing the polymorphic environment of these arrangements [70].
2.12. Auxin-like and Cytokinin-like Effect
Anatolyivna et al. studied the regulatory impact of thienopyrimidine products on the vegetative growth and photosynthesis of the wheat variety Svitlana (T. aestivum L.). They compared the regulatory effects of newly synthesized thienopyrimidine derivatives with those of auxin IAA and synthetic plant growth controllers Kamethur and Methyur. The morphometric and biochemical considerations of wheat plants were regulated similarly or more effectively by the new synthetic thienopyrimidine derivatives compared to auxin IAA or synthetic plant growth controllers Kamethur and Methyur [71].
The newly synthesized thienopyrimidine derivatives (compounds 107, 108, 109, 110, 111, and 112) exhibited a greater growth-regulating impact compared to auxin IAA or synthetic plant growth regulators Methyur and Kamethur, as indicated by morphometric strictures of wheat plants, including the average length of shoots and roots (in millimeters) and the average biomass of 10 plants (in grams).
3. Conclusions
This review discusses the most recent advances in pyrimidines with remarkable biological characteristics. Pyrimidines are known for their high biological efficacy, and much research has been conducted to investigate the relationship between their structural properties and biological activities. Pyrimidines have demonstrated remarkable adaptability in targeting a variety of molecular targets in the medical profession. This review aims to be a significant resource for future research and the creation of novel compounds that boost biological activity. This review helps medicinal chemists design and develop clinical candidates with greater selectivity and potency by offering a complete examination of structure–activity correlations. The findings of this study are likely to contribute significantly to ongoing research efforts and may facilitate the discovery of novel pyrimidines with therapeutic potential, resulting in the development of safer and more effective drugs.
Acknowledgments
The authors are thankful to the Deanship of Scientific Research, Vice Presidency for Graduate Studies and Scientific Research, King Faisal University (KFU), Ministry of Education, Saudi Arabia, Durban University of Technology, South Africa, the National Research Foundation (129330 and 129173), South Africa and Mangalore University, India, for the support and encouragement.
Author Contributions
K.N.V.: Conceptualization, software, resources, writing—original draft preparation, writing—review and editing, visualization, supervision, project administration, funding acquisition, V.K.: Conceptualization, methodology, software, validation, formal analysis, investigation, resources, data curation, writing—original draft preparation, writing—review and editing, visualization, supervision, project administration, funding acquisition. All authors have read and agreed to the published version of the manuscript.
Institutional Review Board Statement
Not applicable.
Informed Consent Statement
Not applicable.
Data Availability Statement
Data sharing is not applicable.
Conflicts of Interest
The authors declare no conflicts of interest.
Funding Statement
This study was supported by the Deanship of Scientific Research, Vice Presidency for Graduate Studies and Scientific Research, King Faisal University (KFU), Ministry of Education, Saudi Arabia (KFU241803).
Footnotes
Disclaimer/Publisher’s Note: The statements, opinions and data contained in all publications are solely those of the individual author(s) and contributor(s) and not of MDPI and/or the editor(s). MDPI and/or the editor(s) disclaim responsibility for any injury to people or property resulting from any ideas, methods, instructions or products referred to in the content.
References
- 1.Nammalwar B., Bunce R.A. Recent Advances in Pyrimidine-Based Drugs. Pharmaceuticals. 2024;17:104. doi: 10.3390/ph17010104. [DOI] [PMC free article] [PubMed] [Google Scholar]
- 2.Padmashali B., Chidananda B.N., Govindappa B., Basavaraj S.M., Chandrashekharappa S., Venugopala K.N. Synthesis and characterization of novel 1, 6-dihydropyrimidine derivatives for their pharmacological properties. J. Appl. Pharm. Sci. 2019;9:117–124. [Google Scholar]
- 3.Venugopala K.N., Deb P.K., Kamat V., Santosh R., Poojary B., Kugaji M.S., Kumbar V.M., Morsy M.A., Aldhubiab B., Attimarad M. 5-(substitutedphenyl)-7-imino-7,8-dihydropyrimido[4,5-d]pyrimidine-2,4(1H,3H)-dione Analogues as Anti-inflammatory Agents. No. 11,884,677. U.S. Patent. 2024 January 30;
- 4.Venugopala K.N., Govender R., Khedr M.A., Venugopala R., Aldhubiab B.E., Harsha S., Odhav B. Design, synthesis, and computational studies on dihydropyrimidine scaffolds as potential lipoxygenase inhibitors and cancer chemopreventive agents. Drug Des. Dev. Ther. 2015;9:911–921. doi: 10.2147/DDDT.S73890. [DOI] [PMC free article] [PubMed] [Google Scholar]
- 5.Pan N., Wu R., Yan C., Zhou M., Fei Q., Li P., Wu W. Design, synthesis, antifungal activity, and molecular docking of novel trifluoromethyl pyrimidine derivatives containing 1,3,4-oxadiazole and thioether moieties as potential succinate dehydrogenase inhibitors. J. Heterocycl. Chem. 2023;60:1768–1777. doi: 10.1002/jhet.4719. [DOI] [Google Scholar]
- 6.Kumar R., Singh R., das Chagas Almeida A., da Trindade Granato J., de Oliveira Lemos A.S., Kumar K., Patil M.T., da Silva A.D., Rode A.B., Coimbra E.S. Imidazo [1,2-a] pyrimidine as a New Antileishmanial Pharmacophore against Leishmania amazonensis Promastigotes and Amastigotes. ACS Omega. 2023;8:40613–40621. doi: 10.1021/acsomega.3c05441. [DOI] [PMC free article] [PubMed] [Google Scholar]
- 7.Venugopala K.N., Deb P.K., Kamat V., Santosh R., Poojary B., Kugaji M.S., Kumbar V.M., Morsy M.A., Aldhubiab B., Attimarad M. 5-(3-substituted phenyl)-pyrimido[4,5-d]pyrimidine-2,4,7(1H,3H,8H)-trione Derivatives as Anticancer Agents. No. 11,932,649. U.S. Patent. 2024 March 19;
- 8.Dahabiyeh L.A., Hudaib F., Hourani W., Darwish W., Abu-Irmaileh B., Deb P.K., Venugopala K.N., Mohanlall V., Chandrashekharappa S., Abu-Dahab R. Mass spectrometry-based metabolomics approach and in vitro assays revealed promising role of 2,3-dihydroquinazolin-4 (1H)-one derivatives against colorectal cancer cell lines. Eur. J. Pharm. Sci. 2023;182:106378. doi: 10.1016/j.ejps.2023.106378. [DOI] [PubMed] [Google Scholar]
- 9.Bhole R., Sarode V., Kothapalli L., Gurav S., Chikhale R. Design, Synthesis and Pharmacological Evaluation of Some 2-Methylsulfanyl-1,4-Dihydropyrimidines Derivatives as an Analgesic Agent. Russ. J. Bioorganic Chem. 2023;49:897–904. doi: 10.1134/S1068162023040076. [DOI] [Google Scholar]
- 10.Wu J., Hou Z., Wang Y., Chen L., Lian C., Meng Q., Zhang C., Li X., Huang L., Yu H. Discovery of 7-alkyloxy-[1,2,4]triazolo[1,5-a]pyrimidine derivatives as selective positive modulators of GABAA1 and GABAA4 receptors with potent antiepileptic activity. Bioorganic Chem. 2022;119:105565. doi: 10.1016/j.bioorg.2021.105565. [DOI] [PubMed] [Google Scholar]
- 11.Keshari M., Khan R.A., Khalilullah H., Yusuf M., Ahmed B. Pharmacophore modeling, design, and synthesis of potent antihypertensives, oxazolo/thiazolo-[3,2-a]-pyrimidin-3(2H)-one, and 1,5-dihydroimidazo-[1,2-a]-pyrimidin-3(2H)-one derivatives: A pilot trial. Bioorganic Med. Chem. Lett. 2020;30:127604. doi: 10.1016/j.bmcl.2020.127604. [DOI] [PubMed] [Google Scholar]
- 12.Venugopala K.N., Nayak S.K., Gleiser R.M., Sanchez-Borzone M.E., Garcia D.A., Odhav B. Synthesis, Polymorphism, and Insecticidal Activity of Methyl 4-(4-chlorophenyl)-8-iodo-2-methyl-6-oxo-1,6-dihydro-4H-pyrimido[2,1-b]quinazoline-3-Carboxylate Against Anopheles arabiensis Mosquito. Chem. Biol. Drug Des. 2016;88:88–96. doi: 10.1111/cbdd.12736. [DOI] [PubMed] [Google Scholar]
- 13.Bairagi K.M., Younis N.S., Emeka P.M., Sangtani E., Gonnade R.G., Venugopala K.N., Alwassil O.I., Khalil H.E., Nayak S.K. Antidiabetic activity of dihydropyrimidine scaffolds and structural insight by single crystal X-ray studies. Med. Chem. 2020;16:996–1003. doi: 10.2174/1573406416666191227123048. [DOI] [PubMed] [Google Scholar]
- 14.Hekal H.A., Hammad O.M., El-Brollosy N.R., Salem M.M., Allayeh A.K. Design, synthesis, docking, and antiviral evaluation of some novel pyrimidinone-based α-aminophosphonates as potent H1N1 and HCoV-229E inhibitors. Bioorganic Chem. 2024;147:107353. doi: 10.1016/j.bioorg.2024.107353. [DOI] [PubMed] [Google Scholar]
- 15.Chitikina S.S., Buddiga P., Deb P.K., Mailavaram R.P., Venugopala K.N., Nair A.B., Al-Jaidi B., Kar S. Synthesis and anthelmintic activity of some novel (E)-2-methyl/propyl-4-(2-(substitutedbenzylidene)hydrazinyl)-5,6,7,8-tetrahydrobenzo[4,5]thieno[2,3-d]pyrimidines. Med. Chem. Res. 2020;29:1600–1610. doi: 10.1007/s00044-020-02586-5. [DOI] [Google Scholar]
- 16.Venugopala K.N., Tratrat C., Pillay M., Chandrashekharappa S., Al-Attraqchi O.H.A., Aldhubiab B.E., Attimarad M., Alwassil O.I., Nair A.B., Sreeharsha N. In silico design and synthesis of tetrahydropyrimidinones and tetrahydropyrimidinethiones as potential thymidylate kinase inhibitors exerting anti-TB activity against Mycobacterium tuberculosis. Drug Des. Dev. Ther. 2020;14:1027–1039. doi: 10.2147/DDDT.S228381. [DOI] [PMC free article] [PubMed] [Google Scholar]
- 17.Duraisamy R., Al-Shar’i N.A., Chandrashekharappa S., Deb P.K., Gleiser R.M., Tratrat C., Chopra D., Muthukurpalya Bhojegowd M.R., Thirumalai D., Morsy M.A. Synthesis, biological evaluation, and computational investigation of ethyl 2,4,6-trisubstituted-1,4-dihydropyrimidine-5-carboxylates as potential larvicidal agents against Anopheles arabiensis. J. Biomol. Struct. Dyn. 2023;42:4016–4028. doi: 10.1080/07391102.2023.2217929. [DOI] [PubMed] [Google Scholar]
- 18.Venugopala K.N., Shinu P., Tratrat C., Deb P.K., Gleiser R.M., Chandrashekharappa S., Chopra D., Attimarad M., Nair A.B., Sreeharsha N. 1,2,3-Triazolyl-tetrahydropyrimidine Conjugates as Potential Sterol Carrier Protein-2 Inhibitors: Larvicidal Activity against the Malaria Vector Anopheles arabiensis and In Silico Molecular Docking Study. Molecules. 2022;27:2676. doi: 10.3390/molecules27092676. [DOI] [PMC free article] [PubMed] [Google Scholar]
- 19.Bairagi K.M., Venugopala K.N., Mondal P.K., Gleiser R.M., Chopra D., García D., Odhav B., Nayak S.K. Larvicidal study of tetrahydropyrimidine scaffolds against Anopheles arabiensis and structural insight by single crystal X-ray studies. Chem. Biol. Drug Des. 2018;92:1924–1932. doi: 10.1111/cbdd.13351. [DOI] [PubMed] [Google Scholar]
- 20.Moharam M.M., Saleh E.A.M., Hassan I., Husain K. Synthesis, Antifungal, and Antioxidant Evaluation of New Class of Thiazolo[3,2-a]pyrimidine and Pyrimido[5,4-d]thiazolo[3,2-a]pyrimidine Derived from α, α-Ketene Dithioacetals as Five and Six-membered Heterocycles Analogues. Russ. J. Bioorganic Chem. 2023;49:1119–1136. doi: 10.1134/S1068162023050199. [DOI] [Google Scholar]
- 21.Abdel-Raheem S.A., Fouad M.R., Gad M.A., El-Dean A.M.K., Tolba M.S. Environmentally green synthesis and characterization of some novel bioactive pyrimidines with excellent bioefficacy and safety profile towards soil organisms. J. Environ. Chem. Eng. 2023;11:110839. doi: 10.1016/j.jece.2023.110839. [DOI] [Google Scholar]
- 22.Haque J., Ansari K., Srivastava V., Quraishi M., Obot I. Pyrimidine derivatives as novel acidizing corrosion inhibitors for N80 steel useful for petroleum industry: A combined experimental and theoretical approach. J. Ind. Eng. Chem. 2017;49:176–188. doi: 10.1016/j.jiec.2017.01.025. [DOI] [Google Scholar]
- 23.Ghazoui A., Saddik R., Benchat N., Guenbour M., Hammouti B., Al-Deyab S., Zarrouk A. Comparative study of pyridine and pyrimidine derivatives as corrosion inhibitors of C38 steel in molar HCl. Int. J. Electrochem. Sci. 2012;7:7080–7097. doi: 10.1016/S1452-3981(23)15769-5. [DOI] [Google Scholar]
- 24.Upadhyay K., Kumar A. Pyrimidine based highly sensitive fluorescent receptor for Al3+ showing dual signalling mechanism. Org. Biomol. Chem. 2010;8:4892–4897. doi: 10.1039/c0ob00171f. [DOI] [PubMed] [Google Scholar]
- 25.Al-Masoudi N.A., Al-Salihi N.J., Marich Y.A., Markus T. Synthesis, and fluorescence properties of coumarin and benzocoumarin derivatives conjugated pyrimidine scaffolds for biological imaging applications. J. Fluoresc. 2015;25:1847–1854. doi: 10.1007/s10895-015-1677-z. [DOI] [PubMed] [Google Scholar]
- 26.West T.P., Chu C.P. Utilization of pyrimidines and pyrimidine analogues by fluorescent pseudomonads. Microbios. 1986;47:149–157. [PubMed] [Google Scholar]
- 27.Verbitskiy E.V., Cheprakova E.M., Subbotina J.O., Schepochkin A.V., Slepukhin P.A., Rusinov G.L., Charushin V.N., Chupakhin O.N., Makarova N.I., Metelitsa A.V. Synthesis, spectral and electrochemical properties of pyrimidine-containing dyes as photosensitizers for dye-sensitized solar cells. Dye. Pigment. 2014;100:201–214. doi: 10.1016/j.dyepig.2013.09.006. [DOI] [Google Scholar]
- 28.Achelle S., Malval J.P., Aloïse S., Barsella A., Spangenberg A., Mager L., Akdas-Kilig H., Fillaut J.L., Caro B., Robin-le Guen F. Synthesis, Photophysics and Nonlinear Optical Properties of Stilbenoid Pyrimidine-Based Dyes Bearing Methylenepyran Donor Groups. ChemPhysChem. 2013;14:2725–2736. doi: 10.1002/cphc.201300419. [DOI] [PubMed] [Google Scholar]
- 29.Sayed A.Z., Aboul-Fetouh M.S., Nassar H.S. Synthesis, biological activity and dyeing performance of some novel azo disperse dyes incorporating pyrazolo[1,5-a]pyrimidines for dyeing of polyester fabrics. J. Mol. Struct. 2012;1010:146–151. doi: 10.1016/j.molstruc.2011.11.046. [DOI] [Google Scholar]
- 30.Park I.S., Komiyama H., Yasuda T. Pyrimidine-based twisted donor–acceptor delayed fluorescence molecules: A new universal platform for highly efficient blue electroluminescence. Chem. Sci. 2017;8:953–960. doi: 10.1039/C6SC03793C. [DOI] [PMC free article] [PubMed] [Google Scholar]
- 31.Ganesan P., Ranganathan R., Chi Y., Liu X.K., Lee C.S., Liu S.H., Lee G.H., Lin T.C., Chen Y.T., Chou P.T. Functional Pyrimidine-Based Thermally Activated Delay Fluorescence Emitters: Photophysics, Mechanochromism, and Fabrication of Organic Light-Emitting Diodes. Chem.—A Eur. J. 2017;23:2858–2866. doi: 10.1002/chem.201604883. [DOI] [PubMed] [Google Scholar]
- 32.Irfan A., Muhammad S., Chaudhry A.R., Al-Sehemi A.G., Jin R. Tuning of optoelectronic and charge transport properties in star shaped anthracenothiophene-pyrimidine derivatives as multifunctional materials. Optik. 2017;149:321–331. doi: 10.1016/j.ijleo.2017.09.065. [DOI] [Google Scholar]
- 33.Irfan A., Al-Sehemi A.G., Assiri M.A., Mumtaz M.W. Exploring the electronic, optical and charge transfer properties of acene-based organic semiconductor materials. Bull. Mater. Sci. 2019;42:1–7. doi: 10.1007/s12034-019-1838-9. [DOI] [Google Scholar]
- 34.Zarenezhad E., Farjam M., Iraji A. Synthesis and biological activity of pyrimidines-containing hybrids: Focusing on pharmacological application. J. Mol. Struct. 2021;1230:129833. doi: 10.1016/j.molstruc.2020.129833. [DOI] [Google Scholar]
- 35.Kamat V., Reddy D.S., Kumar A. Catalytic role in Biginelli reaction: Synthesis and biological property studies of 2-oxo/thioxo-1,2,3,4-tetrahydropyrimidines. Arch. Der Pharm. 2023;356:2300008. doi: 10.1002/ardp.202300008. [DOI] [PubMed] [Google Scholar]
- 36.Tiwari G., Khanna A., Tyagi R., Mishra V.K., Narayana C., Sagar R. Copper-catalyzed synthesis of pyrazolo[1,5-a]pyrimidine based triazole-linked glycohybrids: Mechanistic insights and bio-applications. Sci. Rep. 2024;14:529. doi: 10.1038/s41598-023-50202-4. [DOI] [PMC free article] [PubMed] [Google Scholar]
- 37.Sabita G., Savitha R., Divya K., Shivakumar E., Bhaskar K. Design, Synthesis and Biological Evaluation of Chalcone Incorporated of Pyrimidine-Pyrazine-Oxazoles as Anticancer Agents. Chem. Data Collect. 2024;51:101128. doi: 10.1016/j.cdc.2024.101128. [DOI] [Google Scholar]
- 38.Sivaiah G., Raghu M., Prasad S.B., Anusuya A., Kumar K.Y., Alharethy F., Prashanth M., Jeon B.-H. Synthesis, biological evaluation and molecular docking studies of new pyrimidine derivatives as potent dual EGFR/HDAC inhibitors. J. Mol. Struct. 2024;1309:138223. doi: 10.1016/j.molstruc.2024.138223. [DOI] [Google Scholar]
- 39.Vemuluri S.P., Somarapu V.L., Eppakayala L. Design, synthesis and anticancer evaluation of various aryl amide derivatives of thiazole-benzothiazole-pyrimidines. Results Chem. 2024;7:101403. doi: 10.1016/j.rechem.2024.101403. [DOI] [Google Scholar]
- 40.Jame R. Synthesis, photophysical properties, anticancer evaluation, and molecular docking studies of new pyrimidine linked 4-arylidene-thiazolidin-4-ones as potent anticancer agents. Luminescence. 2024;39:e4672. doi: 10.1002/bio.4672. [DOI] [PubMed] [Google Scholar]
- 41.Limaye A.S., Rananaware P., Ghosh A., Rajashekarreddy T., Raghavendrarao N., Brahmkhatri V., Hegde R.V., Dateer R.B. Greener Approach for Synthesis of δ-MnO2 Nanoparticles: Access to Pharmaceutically Important Pyrimidines and their Antimicrobial Activity Studies. ACS Appl. Bio Mater. 2024;7:1790–1800. doi: 10.1021/acsabm.3c01191. [DOI] [PubMed] [Google Scholar]
- 42.Bryndal I., Stolarczyk M., Mikołajczyk A., Krupińska M., Pyra A., Mączyński M., Matera-Witkiewicz A. Pyrimidine Schiff Bases: Synthesis, Structural Characterization and Recent Studies on Biological Activities. Int. J. Mol. Sci. 2024;25:2076. doi: 10.3390/ijms25042076. [DOI] [PMC free article] [PubMed] [Google Scholar]
- 43.Yao X., Ma J.-W., Yao N.-T., Yin F., Zhang R.-F. Exploring the Synthesis, Structure and Bioactivity of Pyrimidine Carboxylic Acid-Derived Organic Antimony (V) Complexes: Cytostatic and Antimicrobial Evaluations. J. Organomet. Chem. 2024;1012:123128. doi: 10.1016/j.jorganchem.2024.123128. [DOI] [Google Scholar]
- 44.Mahdavi M., Ghasemzadeh M.A., Javadi A. Synthesis of ZIF-8/ZnFe2O4/GO-OSO3H nanocomposite as a superior and reusable heterogeneous catalyst for the preparation of pyrimidine derivatives and investigation of their antimicrobial activities. Heliyon. 2024;10:e26339. doi: 10.1016/j.heliyon.2024.e26339. [DOI] [PMC free article] [PubMed] [Google Scholar]
- 45.Mor S., Punia R., Khatri M., Kumar D., Kumar A., Jindal D.K., Singh N., Sharma R., Ahmed M., Shukla S. Synthesis, biological evaluations and in silico studies on pyrimidine-appended fused pyrazolones as anticancer and antimicrobial agents. J. Mol. Struct. 2024;1296:136759. doi: 10.1016/j.molstruc.2023.136759. [DOI] [Google Scholar]
- 46.Almakhzoum K.A.A.H., Almaqtari M.A. Synthesis and Characterization of Some Novel 6-(Heteroatom-substituted) Pyrimidine Derivatives and Study the Biological Activity. PSM Biol. Res. 2024;9:30–40. [Google Scholar]
- 47.Mamand S.O., Abdul D.A., Ayoob M.M., Hussein A.J., Samad M.K., Hawaiz F.E. Traditional, one-pot three-component synthesis and anti-bacterial evaluations of some new pyrimidine derivatives. Inorg. Chem. Commun. 2024;160:111875. doi: 10.1016/j.inoche.2023.111875. [DOI] [Google Scholar]
- 48.Uysal K., Yıldırım M., Karakuş H., Yıldırım A. A simple, facile and greener route to thiazolo[3,2-c]pyrimidinones in semi-aqueous medium and their antibacterial properties. Synth. Commun. 2024;54:491–503. doi: 10.1080/00397911.2024.2314597. [DOI] [Google Scholar]
- 49.Almehizia A.A., Aboulthana W.M., Naglah A.M., Hassan A.S. In vitro biological studies and computational prediction-based analyses of pyrazolo[1,5-a]pyrimidine derivatives. RSC Adv. 2024;14:8397–8408. doi: 10.1039/D4RA00423J. [DOI] [PMC free article] [PubMed] [Google Scholar]
- 50.Kahvecioglu D., Yilmaz Ozguven S., Sicak Y., Tok F., Öztürk M., Kocyigit-Kaymakcioglu B. Synthesis and Molecular Docking Analysis of Novel Hydrazone and Thiosemicarbazide Derivatives Incorporating a Pyrimidine Ring: Exploring Neuroprotective Activity. arXiv. 2024 doi: 10.2139/ssrn.4743754. [DOI] [Google Scholar]
- 51.Pant S., Kumar K.R., Rana P., Anthwal T., Ali S.M., Gupta M., Chauhan M., Nain S. Novel Substituted Pyrimidine Derivatives as Potential Anti-Alzheimer’s Agents: Synthesis, Biological, and Molecular Docking Studies. ACS Chem. Neurosci. 2024;15:783–797. doi: 10.1021/acschemneuro.3c00662. [DOI] [PubMed] [Google Scholar]
- 52.Nand V. Synthesis, characterization, herbicidal activities and in silico studies of some highly functionalized pyrimidine derivatives. Pharma Innov. J. 2024;13:150–154. [Google Scholar]
- 53.Luo J., Nie H., He L., Zhao A., Wang T. New library of pyrimido[5,4-e][1,2,4]triazolo[1,5-c]pyrimidine derivatives: Synthesis, herbicidal activity, and molecular docking study. J. Mol. Struct. 2024;1300:137246. doi: 10.1016/j.molstruc.2023.137246. [DOI] [Google Scholar]
- 54.Abouzayed F.I., Mostafa M.S., Hammad A.M., Ghazal B., Abouel-Enein S.A. Synthesis, characterization, thermal, anticancer studies, and density functional theory for potentially active pyrimidine-based complexes. Appl. Organomet. Chem. 2024;38:e7395. doi: 10.1002/aoc.7395. [DOI] [Google Scholar]
- 55.Alzahrani A.Y., Shehab W.S., Amer A.H., Assy M.G., Mouneir S.M., Aziz M.A., Hamid A.M.A. Design, synthesis, pharmacological evaluation, and in silico studies of the activity of novel spiro pyrrolo[3,4-d]pyrimidine derivatives. RSC Adv. 2024;14:995–1008. doi: 10.1039/D3RA07078F. [DOI] [PMC free article] [PubMed] [Google Scholar]
- 56.Bouguessa I., Aber M., Khier N., Dehamchia M., Bayou S., Ra Z. Water-Mediated Synthesis, Antibacterial and Antioxidant Evaluation of New Fused Pyrimido-pyrimidine and Pyrimido-purines Derived From Nucleobases. Curr. Green Chem. 2024;11:75–83. doi: 10.2174/2213346110666230720152024. [DOI] [Google Scholar]
- 57.Abu-Hashem A.A., Hakami O., Amri N. Synthesis, anticancer activity and molecular docking of new quinolines, quinazolines and 1,2,4-triazoles with pyrido[2,3-d]pyrimidines. Heliyon. 2024;10:e26735. doi: 10.1016/j.heliyon.2024.e26735. [DOI] [PMC free article] [PubMed] [Google Scholar]
- 58.Sivanandhan M., Parasuraman A. In-silico Molecular Docking and ADMET predictions of Pyrido[2,3-d]pyrimidine-2,4(1H,3H)-Dione Analogues as promising Antimicrobial, Antioxidant and Anticancer agents. Polycycl. Aromat. Compd. 2024;44:1273–1290. doi: 10.1080/10406638.2023.2191973. [DOI] [Google Scholar]
- 59.Abbass E.M., Ali A.K., El-Farargy A.F., Abdel-Haleem D.R., Shaban S.S. Synthesis, toxicological and in silico evaluation of novel spiro pyrimidines against Culex pipiens L. referring to chitinase enzyme. Sci. Rep. 2024;14:1516. doi: 10.1038/s41598-024-51771-8. [DOI] [PMC free article] [PubMed] [Google Scholar]
- 60.Abd El-Lateef H.M., Kamel M.S., Alzahrani A.Y.A., Khalaf M.M., Gouda M., Ali M.A.E.A.A. Green chemistry approach for rapid synthesis of indol-3-yl-4H-pyran derivatives, biological assessments, and toxicological activities against Cowpea aphid (Aphis craccivora) Bull. Chem. Soc. Ethiop. 2024;38:1077–1090. doi: 10.4314/bcse.v38i4.21. [DOI] [Google Scholar]
- 61.Sayed M., Sayed A.M., El-Rashedy A.A., Saddik A.A., Alsaggaf A.T., El-Dean A.M.K., Hassanien R., Ahmed M. Anti-inflammatory Activity and Computational Biology Study of Indole/Pyrimidine Hybrids. Curr. Org. Chem. 2024;28:56–64. doi: 10.2174/0113852728289430231227042754. [DOI] [Google Scholar]
- 62.Bafail R.S., Samman W.A. Anti-parkinsonian, anti-inflammatory, anti-microbial, analgesic, anti-hyperglycemic and anticancer activities of poly-fused ring pyrimidine derivatives. Trop. J. Pharm. Res. 2024;23:67–75. doi: 10.4314/tjpr.v23i1.9. [DOI] [Google Scholar]
- 63.Kamat V., Barretto D.A., Poojary B., Kumar A., Patil V.B., Hamzad S. In vitro α-amylase and α-glucosidase inhibition study of dihydropyrimidinones synthesized via one-pot Biginelli reaction in the presence of a green catalyst. Bioorganic Chem. 2024;143:107085. doi: 10.1016/j.bioorg.2023.107085. [DOI] [PubMed] [Google Scholar]
- 64.Mallidi K., Gundla R., Makam P., Katari N.K., Jonnalagadda S.B. Dual active pyrimidine-based carbocyclic nucleoside derivatives: Synthesis, and in silico and in vitro anti-diabetic and anti-microbial studies. RSC Adv. 2024;14:9559–9569. doi: 10.1039/D4RA00304G. [DOI] [PMC free article] [PubMed] [Google Scholar]
- 65.Gallo F.N., Marquez A.B., Fidalgo D.M., Dana A., Dellarole M., García C.C., Bollini M. Antiviral Drug Discovery: Pyrimidine Entry Inhibitors for Zika and Dengue Viruses. Eur. J. Med. Chem. 2024;272:116465. doi: 10.1016/j.ejmech.2024.116465. [DOI] [PubMed] [Google Scholar]
- 66.Song Y., Fan W., Yao C., Wang H., Lu X., Wang Y., Liu P., Ma Y., Zhang Z., Wang J. Design, synthesis and biological evaluation of quinazoline and pyrrolo[3,2-d]pyrimidine derivatives as TLR7 agonists for antiviral agents. Org. Biomol. Chem. 2024;22:2764–2773. doi: 10.1039/D4OB00048J. [DOI] [PubMed] [Google Scholar]
- 67.Cele N., Awolade P., Seboletswe P., Khubone L., Olofinsan K., Islam M.S., Jordaan A., Warner D.F., Singh P. Synthesis, Antidiabetic and Antitubercular Evaluation of Quinoline–pyrazolopyrimidine hybrids and Quinoline-4-Arylamines. ChemistryOpen. 2024;13:e202400014. doi: 10.1002/open.202400014. [DOI] [PMC free article] [PubMed] [Google Scholar]
- 68.Raghu M., Kumar C.P., Kumar K.Y., Prashanth M., Alharethy F., Jeon B.-H. Synthesis, biological evaluation and molecular docking study of pyrimidine linked thiazolidinedione derivatives as potential antimicrobial and antitubercular agents. Bioorganic Med. Chem. Lett. 2024;103:129707. doi: 10.1016/j.bmcl.2024.129707. [DOI] [PubMed] [Google Scholar]
- 69.Abdelwahab R.E., Ragheb M.A., Elwahy A.H., Abdelhamid I.A., Abdelmoniem A.M. Conjugate and regiochemical addition of aminoazoles to 2-(4-(2,2-dicyanovinyl)phenoxy)-N-arylacetamide affording fused pyrimidines linked to phenoxy-N-arylacetamide: Antibacterial activity, molecular docking, and DNA binding studies. J. Mol. Struct. 2024;1307:137946. doi: 10.1016/j.molstruc.2024.137946. [DOI] [Google Scholar]
- 70.Domínguez A., Gargallo R., Cuestas-Ayllón C., Grazu V., Fàbrega C., Valiuska S., Noé V., Ciudad C.J., Calderon E.J., de la Fuente J.M. Biophysical evaluation of antiparallel triplexes for biosensing and biomedical applications. Int. J. Biol. Macromol. 2024;264:130540. doi: 10.1016/j.ijbiomac.2024.130540. [DOI] [PubMed] [Google Scholar]
- 71.Anatolyivna T.V., YaV A., Vasylenko N., Kopich V., Popilnichenko S., Pilyo S., Brovarets V. Auxin-like and Cytokinin-like Effects of New Synthetic Pyrimidine Derivatives on the Growth and Photosynthesis of Wheat. J. Plant Sci. Phytopathol. 2024;8:15–24. [Google Scholar]
Associated Data
This section collects any data citations, data availability statements, or supplementary materials included in this article.
Data Availability Statement
Data sharing is not applicable.












