Abstract
The encapsulated yeast Cryptococcus neoformans is a significant cause of meningitis and death in patients with AIDS. Some murine monoclonal antibodies (MAbs) against the glucuronoxylomannan (GXM) component of the C. neoformans capsular polysaccharide can prolong the lives of infected mice, while others have no effect or can even shorten survival. To date, no one has systematically compared the efficacies of antibodies with the same variable regions and different human constant regions with their unique combination of effector functions in providing protection against murine C. neoformans infection. In the present study, we examined the efficacies of anti-GXM MAbs of the four human immunoglobulin G (IgG) subclasses, which have identical variable regions but differ in their capacities to bind the three types of Fc receptors for IgG (FcγR), their abilities to activate complement, and their half-lives. IgG2 and IgG4 anti-GXM prolonged the lives of infected BALB/c mice, IgG3 anti-GXM did not affect animal survival, while mice treated with IgG1 anti-GXM died earlier than mice treated with phosphate-buffered saline or irrelevant isotype-matched MAbs. All MAbs decreased serum GXM in infected animals. Effector pathways traditionally believed to be important in defense against microbes, such as opsonophagocytosis and complement binding, negatively correlated with antibody efficacy. It is generally accepted that human IgG1 has the most favorable combination of effector functions for therapeutic use against infections. Therefore, our findings have significant implications for humanization of the mouse IgG1 currently in clinical trials for cryptococcal meningitis and for the design of antibody therapeutics to treat other infectious diseases as well.
As therapeutic agents for infectious disease, antibodies have unique properties, including exquisite specificity, toxin neutralization, receptor blockade, opsonization, complement activation, and antibody-dependent cell-mediated cytotoxicity. Although recombinant-antibody-based therapies have recently been licensed for the treatment of tumors (66) and arterial thrombosis (64) and to effect immune suppression for inflammatory diseases and transplant rejection (18, 61), only one monoclonal antibody (MAb) (palivizumab) is currently available for therapeutic use against an infectious agent (respiratory syncytial virus). This is in spite of the fact that many factors make the development of passive immunotherapy for infections a high priority (9): the proliferation of antimicrobial-resistant organisms, the challenges presented by emerging pathogens, the threat of biological warfare, and the complex infectious problems in the increasing population of immunosuppressed patients due to AIDS and organ transplants.
Despite successes, the implementation of antibody-based therapeutics remains largely empirical because the factors involved in efficacy are often not well understood. Therapeutic MAbs are typically formulated using human immunoglobulins (Igs), primarily to reduce immunogenicity (28) but for functional purposes as well. The widely held belief is that human IgG1 has the most favorable constellation of properties since it binds complement and all three classes of cellular receptors for IgG (FcγRs) and has a long half-life (t1/2) (62). However, activation of inflammatory pathways by antibodies may be detrimental (21, 29, 48, 63). To gain a better understanding of antibody function as it relates to efficacy in providing protection against infectious agents, we studied human IgG MAbs in a murine model of infection with the yeast Cryptococcus neoformans.
C. neoformans elaborates a thick polysaccharide capsule primarily composed of glucuronoxylomannan (GXM), which is a significant virulence factor (reviewed in reference 11). Passively administered MAbs to GXM can prolong survival of infected mice (5, 11, 34, 68, 71); although in these studies with murine antibodies, FcγR binding and complement activation appeared to play a role in antibody efficacy (49, 69), the precise mechanism(s) of antibody-mediated protection remained unclear. Like the mouse IgG subclasses, the four human IgG subclasses differ in their half-lives and effector functions; however, based on these known differences, there is not a one-to-one relationship between mouse and human isotypes (22, 62). Not only do the human IgG subclasses provide a unique set of reagents to probe the fundamentals of antibody-mediated protection in cryptococcal infection, but as antibody-based therapeutics move into the clinic, it is also important that we identify the most effective human isotype in providing protection.
We produced recombinant mouse-human chimeric IgG1, IgG2, IgG3, and IgG4 specific to GXM to address the hypothesis that the four human IgG subclasses would differ in their abilities to protect against C. neoformans infection. Our results validate this hypothesis, but in an unexpected way: antibodies with a decreased ability to activate complement and bind FcγRs (IgG2 and IgG4) prolonged survival, while IgG3 did not affect survival and mice treated with IgG1 died earlier. To determine the reason for these differences, we compared MAb half-lives, N-linked glycan structures, antigen affinities, and abilities to bind complement and mediate phagocytosis and killing of C. neoformans. Our results show that the protective antibodies did not fix C1q when attached to yeast particles and they were poor mediators of C. neoformans phagocytosis, suggesting that MAbs lacking the ability to activate complement and mediate phagocytosis are better therapeutic agents against cryptococcosis. These studies have implications for therapeutic antibody design in general and more specifically for C. neoformans, for which a mouse IgG1 MAb is currently in clinical trials (8).
MATERIALS AND METHODS
Recombinant IgG production and analysis.
Immunoglobulin heavy (H) and light (L) chain variable (V) regions were amplified from mRNA prepared from 3E5 IgG3 anti-GXM-producing hybridoma cells (34) by reverse transcription-PCR using degenerate primers (13). After the DNA sequences were verified, the 3E5 H and L chain V regions were introduced into expression vectors for human IgG1, IgG2, IgG3, IgG4, and IgG(κ) L chain (13). Nonproducing murine myeloma NS0/1 cells were transfected via electroporation with the L chain vector and one of the H chain vectors and selected with 5 mM histidinol. Transfectants were screened by enzyme-linked immunosorbent assay (ELISA) for secretion of human IgG(κ) L chain. Transfectants were labeled by growth in [35S]methionine and the L chains precipitated from the cytoplasmic lysates and supernatant by using rabbit anti-human IgG(κ) and Staphylococcus aureus with membrane-bound protein A (IgGSorb; Enzyme Center). Radiolabeled precipitates were analyzed by sodium dodecyl sulfate-polyacrylamide gel electrophoresis (SDS-PAGE). Transfectants were subcloned at least three times to ensure uniform cultures. Transfectants were grown to high density in roller bottles and antibodies were affinity purified and quantitated as described previously (6). Recombinant antibodies directed at the hapten dansyl and produced as described above were used as controls in several experiments (7).
ELISAs.
To characterize antigen binding, recombinant IgGs were added to ELISA plates (Immulon 1B; Thermo Labsystems) coated with 10 μg/ml GXM purified from culture of C. neoformans serotype D strain 24067, obtained from the American Type Culture Collection (ATCC) as described previously (10). Bound antibody was detected by using goat anti-human IgG(κ) L chain conjugated to alkaline phosphatase (AP; Sigma-Aldrich). ELISA plates were developed with 1 mg/ml p-nitrophenyl phosphate (Sigma-Aldrich) in 1 M diethanolamine, 0.25 mM MgCl2, pH 9.8, and the absorbance was measured at 410 nm. To estimate relative affinity in the fluid phase, a fixed amount of each recombinant IgG was first incubated for 1 h at 37°C with different concentrations of a peptide mimic of GXM (P206) recognized with high affinity by 3E5 (4). Samples were then transferred to GXM-coated ELISA plates and incubated for an additional 60 min at 37°C. Bound IgG was detected as described above. To determine the host (mouse) antibody response to the treatment antibodies (human), sera collected prior to and 14 days after infection were serially diluted on ELISA plates (Immulon 2HB; Thermo Labsystems) coated with either the treatment antibody or with anti-dansyl human IgG. Mouse anti-human antibodies (MAHA) were detected using a mixture of goat anti-mouse IgG(κ)-AP and goat anti-mouse IgG(λ)-AP adsorbed against human Ig (Southern Biotechnology Associates). Plates were developed and read as described above. Titers were considered positive when the absorbance was greater than 2.5 times the background. Serum GXM levels were determined by capture ELISA as described previously (10). Prior to ELISA, serum proteins were removed from samples by incubation with 0.2 mg/ml of proteinase K (Sigma) for 1 h at 37°C followed by heating to 100°C for 20 min to inactivate the enzyme.
Immunofluorescence.
Binding patterns of recombinant IgG to C. neoformans were determined by confocal microscopy. C. neoformans was grown at 37°C in Sabouraud's dextrose broth (Difco Laboratories). Heat-killed cryptococci were prepared by incubation at 60°C for 30 min, and viability was determined by plating on Sabouraud's dextrose agar (Difco). Live or heat-killed yeast cells (1 × 106) were incubated in 100 μl phosphate-buffered saline (PBS) with 1% bovine serum albumin (BSA) containing 2 μg recombinant antibody at 37°C for 30 min. Yeast cells were washed and incubated with rabbit anti-human IgG(κ)-fluorescein isothiocyanate (FITC) (Sigma-Aldrich) in PBS with 1% BSA at 37°C for 30 min. As controls for annular and punctate fluorescence, murine MAbs 2H1 and 13F1 were used (37) and detected with goat anti-mouse IgG(κ)-FITC (Southern Biotechnology). After a final wash, yeast cells were resuspended in mounting media, placed on a glass slide, and examined under oil immersion at ×600. No differences in binding patterns were observed between live and heat-killed organisms.
Murine infection.
All animal experiments described were approved by the Chancellor's Animal Research Committee at UCLA. C. neoformans serotype D ATCC strain 24067 was selected for these experiments because it has been extensively analyzed and was used in previous studies of antibody efficacy (4, 5, 34, 37, 49). C. neoformans was grown as described above and suspended in cold PBS. Then 1 × 106 yeast cells were injected into the lateral tail vein of 6- to 8-week-old female BALB/c mice in a volume of 0.2 ml. Eight mice were used in each group. Eighteen hours prior to infection, mice were given an intraperitoneal (i.p.) injection of recombinant IgG in 1 ml PBS. Blood was collected prior to and 14 days following infection; serum was recovered and stored at −20°C.
Antibody clearance.
Recombinant IgGs (20 μg) were radiolabeled with 125I as described previously (67). Approximately 1 × 106 cpm were injected into the peritoneal cavity of BALB/c mice in a volume of 0.25 ml, and the residual radioactivity was determined as described previously (67). Counts were corrected for background activity and isotopic decay and used to determine clearance curves and half-lives.
Analysis of N-linked oligosaccharides.
The N-linked carbohydrates on 20 μg of IgG were cleaved using N-glycanase (CalBiochem) and isolated as described previously (39). sDHB matrix was prepared by dissolving 2 mg of DHB (2,5-dihydroxybenzoic acid) plus 0.1 mg 5-methoxysalicylic acid in 1 ml of ethanol-10 mM NaCl at 1:1 (vol/vol). The glycan samples were analyzed using positive-ion matrix-associated laser desorption ionization-time of flight (MALDI-TOF) analysis. A Voyager-DE STR MALDI-TOF mass spectrometer (Applied Biosystems) with delayed extraction was used to acquire mass spectra. Positive ions were accelerated to 20 kV after a 150-ns delay, and the final spectrum shown represents the sum of the spectra from 200 laser shots.
C1q binding.
Fixation of murine C1q by recombinant IgGs was determined by flow cytometry. Heat-killed cryptococci (1 × 106) were incubated with 5 μg recombinant IgG in 100 μl PBS-1% BSA for 1 h at 4°C. Unbound IgG was washed away and PBS-1% BSA supplemented with 0.5 mM MgCl2, 0.15 mM CaCl2, and 20% mouse serum, fresh or heat inactivated, was added for 30 min at 37°C. Yeast cells were washed with PBS-1% BSA with 5 mM EDTA and then incubated in the same buffer for 30 min at 4°C first with 1:100 rat MAb to mouse C1q (Caltag Laboratories) and then with 1:100 rabbit F(ab′)2 anti-rat IgG-FITC cross-adsorbed against human IgG (Southern Biotechnology). After a final wash in PBS-1% BSA, yeast cells were analyzed by flow cytometry using a FACScan instrument (Becton Dickinson) equipped with a blue laser excitation of 15 mW at 488 nm.
Phagocytosis.
Macrophages were obtained by peritoneal lavage of mice 5 days after i.p. stimulation with 1.5 ml of 4% thioglycolate. Mice were sacrificed and their peritoneal cavities irrigated with 10 ml Iscove's modified Dulbecco's medium. Peritoneal cells were counted, suspended in Iscove's modified Dulbecco's medium supplemented with 10% heat-inactivated fetal calf serum, and added to 16-well glass chamber slides (Nunc) at a density of 1 × 105 mononuclear cells per well. Nonadherent cells were washed away after 2 h of incubation at 37°C. Adherent cells were stimulated overnight with 50 U/well murine recombinant gamma interferon (IFN-γ) (R&D Systems). Recombinant IgG (2.5 μg/well) and Escherichia coli serotype O127-B8 lipopolysaccharide (50 ng/well; Sigma-Aldrich) were added to the IFN-γ-stimulated macrophages 20 min before adding 5 × 105 heat-killed C. neoformans cells per well (effector-to-target cell [E:T] ratio of 1:20), followed by incubation for 4 h at 37°C. Wells were then washed three times with warm PBS to remove nonphagocytosed organisms. Plates were then fixed with ice-cold methanol for 25 min and stained with a 1:10 solution of Giemsa (Sigma-Aldrich) for 20 min. The stain was then replaced with PBS. Multiple fields from three wells per condition were examined by inverted light microscopy at ×400 magnification; phagocytosis was expressed as percent phagocytosis (percentage of cells with two or more internalized organisms) and as a phagocytic index (PI; the percentage of cells with two or more internalized organisms times the mean number of yeast cells per phagocytic cell). In some experiments, fresh or heat-inactivated serum obtained from BALB/c or C1q−/− mice (provided by A. J. Tenner, University of California—Irvine), MAb to mouse FcγRII and FcγRIII, purified from the rat hybridoma 2.4G2 (58) obtained from the ATCC or an isotype-matched control (rat IgG2b; BD Biosciences Pharmingen) or MAb to mouse CD18 (BD Biosciences Pharmingen) was added. Mouse serum was heat inactivated at 56°C for 30 min.
In vitro killing.
Peritoneal macrophages were prepared and cultured as described above. C. neoformans was grown and quantitated as described above. The C. neoformans inoculum was diluted and plated on Sabouraud's dextrose agar to confirm CFU estimates. A total of 5 × 104 cryptococci were added per well (E:T ratio of 10:1). After a 20-h incubation at 37°C, the supernatant was removed and cells were lysed with sterile H2O. To determine whether medium or recombinant IgG alone had any effect on organism growth, conditions lacking macrophages were also examined, as was the effect of conditioned medium, obtained from cultured peritoneal macrophages with and without IFN-γ stimulation. The supernatant and lysate were combined, diluted, and plated on Sabouraud's dextrose agar (Difco) in duplicate. In some experiments, CFU from the supernatant and lysate were analyzed separately. Plates were incubated at 37°C for 2 days and CFU quantitated.
Statistical analysis.
Data were analyzed with StatView statistical software (SAS Institute). Phagocytosis and CFU were compared with Student's t test. Serum MAHA and GXM titers were compared with the Mann-Whitney U test for nonparametric data. Survival data were subjected to Kaplan-Meier analysis, and statistical significance was determined by the log rank (Mantel-Cox) test. A P value of ≤0.05 was considered statistically significant.
RESULTS
Recombinant mouse-human chimeric IgGs to GXM assemble normally and are secreted in significant quantities.
VL and VH regions were amplified from the anti-GXM-producing murine hybridoma 3E5 using reverse transcription-PCR. These V regions were inserted into expression vectors for human IgG(κ) L chain and for each of the four human IgG subclasses (13), respectively, and transfected into the nonproductive murine myeloma NS0/1. SDS-PAGE analysis of the antibodies immunoprecipitated from culture supernatants from these dual transfectants indicated that the four mouse-human chimeric anti-GXM IgGs assembled normally and were secreted into the cell culture medium in significant amounts (Fig. 1). As expected, IgG1, IgG2, and IgG4 migrated with an apparent molecular mass (MM) of 150 kDa, while IgG3 migrated with an apparent MM of 165 kDa. A significant portion of 3E5 IgG4 was in the form of H chain-L chain (HL) half molecules. Analysis of each subclass by gel filtration showed a single peak at an apparent MM of approximately 150 kDa without evidence of larger aggregates (not shown).
FIG. 1.
SDS-PAGE analysis of recombinant human IgG subclasses specific to GXM produced in cell culture. Cells expressing 3E5 VL and 3E5 VH on one of the four human IgG subclasses were incubated overnight in [35S]methionine and IgGs were immunoprecipitated. Molecular weight markers are indicated to the left of the gel, while the positions of complete antibody molecules (H2L2), H chain-L chain monomer (HL), L chain dimer (L2), and monomer (L) are indicated on the right side.
Recombinant human IgGs to GXM bind antigen with similar apparent affinities.
Purified recombinant antibodies were analyzed for their ability to bind GXM by ELISA. Fifty percent of the maximal optical density (EC50) was observed with 3.1 to 3.8 ng of 3E5 IgG1, 3E5 IgG2, and 3E5 IgG3 (Fig. 2A). The relative affinity of 3E5 IgG4 (EC50, 10.1 ng) was somewhat lower than those of the other isotypes. A portion of 3E5 IgG4 was in the form of HL half molecules (see Fig. 1). Monomeric IgG4 has two antigen binding sites, while IgG4 half molecules have one binding site. When binding of the recombinant IgGs to GXM was inhibited by increasing concentrations of P206, a high-affinity peptide mimetic of GXM (4, 31), the 50% inhibitory concentrations for all four isotypes were similar (Fig. 2B). This is likely because peptide competition compensates for avidity of antibody interactions with the polymeric antigen GXM.
FIG. 2.
Relative affinities of recombinant human IgG subclasses for target antigen. OD, optical density. (A) Direct antigen binding by recombinant antibodies. Serially diluted recombinant IgGs were allowed to bind to GXM immobilized on ELISA plates. The EC50 (ng/well) of each isotype is indicated. (B) Competitive binding of recombinant IgG to GXM in the presence of a high-affinity peptide mimetic of GXM (P206). A fixed concentration (0.5 μg/ml) of each IgG was incubated for 1 h with various concentrations of P206 and then added to ELISA plates coated with GXM. The concentration of peptide (μg/ml) that inhibited 50% of binding (IC50) is indicated.
Recombinant human IgGs to GXM bind C. neoformans in an annular pattern.
Immunofluorescence microscopy of antibody binding to C. neoformans showing an annular or rim pattern is associated with efficacy against cryptococcosis, while antibodies that bind in a punctate or puffy pattern are typically nonprotective (31, 37). 3E5 mouse IgGs bind to C. neoformans in an annular pattern. However, there is evidence that the capsular binding pattern can change when the antibody constant (C) region is switched (32). Therefore, the fluorescent binding pattern of recombinant IgGs was examined by confocal microscopy (Fig. 3). All four IgG subclasses had an annular binding pattern on C. neoformans serotype D strain 24067. Additional controls included 2H1 (mouse IgG1, annular pattern), 13F1 (mouse IgM, punctate pattern), and a no-antibody condition. All four human IgG subclasses also bound in an annular pattern to C. neoformans serotype A strain H99 and to C. gattii strain R265 (not shown).
FIG. 3.
Binding patterns of recombinant human IgG subclasses to GXM. C. neoformans serotype D strain 24067 were incubated with recombinant IgGs followed by anti-human IgG(κ)-FITC. Stained organisms were then placed onto glass slides and examined by confocal microscopy at ×600 magnification. Shown at the top are control 2H1 and 13F1 mouse MAbs representative of annular (protective) and punctate (nonprotective) binding patterns, respectively, and detected with anti-mouse IgG(κ)-FITC.
Recombinant human IgGs to GXM modulate murine cryptococcal infection.
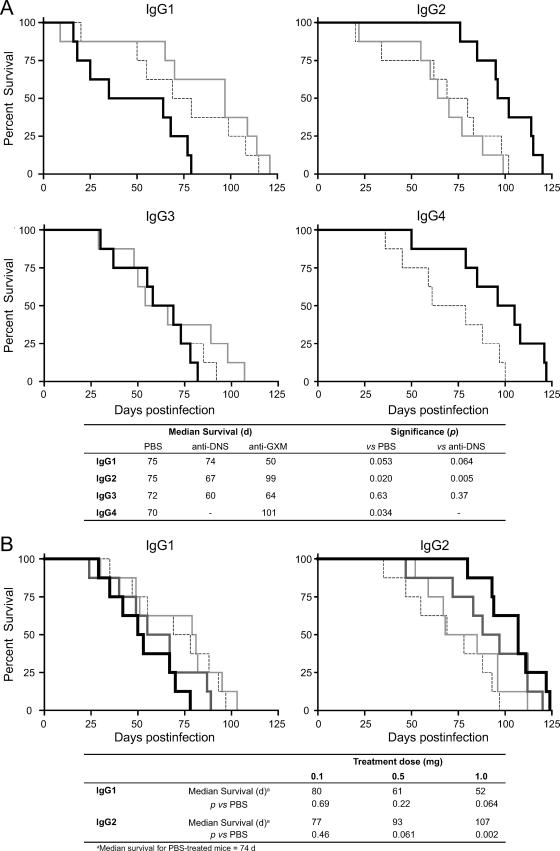
In experiments looking at murine MAbs, Yuan et al. found that in BALB/c mice infected with C. neoformans, mouse 3E5 IgG3 produced a trend toward reduced survival that did not achieve significance, whereas its IgG1 switch variant significantly prolonged survival (70). To determine the efficacy of the recombinant human IgGs against cryptococcal infection, BALB/c mice were given 1 mg IgG i.p. and then infected intravenously with C. neoformans 18 h later. In comparison to isotype-matched and PBS controls, IgG2 and IgG4 anti-GXM prolonged the survival of infected mice (Fig. 4A). Recombinant IgG3 anti-GXM was no different than IgG3 anti-dansyl. Treatment with IgG1 anti-GXM shortened the lives of mice infected with C. neoformans. In the experiment for which the results are shown in Fig. 4A, this trend was statistically significant, with a P value of 0.053. In two other experiments, the P values were slightly greater than the cutoff for significance (0.064 and 0.067). However, given the differences found in three independent observations, the probability that there was no difference between the experimental and control situations is well below 0.01 (33). Thus, the result that IgG1 enhances cryptococcal infection is highly statistically significant. Mice treated with isotype-matched and PBS controls had similar median survival times and did not differ significantly from each other. In the case of IgG4, only the PBS control was included, due to lack of a sufficient quantity of IgG4 anti-dansyl. Each experiment was repeated at least twice with similar results.
FIG. 4.
Survival of mice treated with recombinant IgG against GXM and infected with C. neoformans. d, days. (A)> Mice were treated with either 1 mg recombinant IgG anti-GXM (black line), 1 mg isotype-matched recombinant IgG directed at an irrelevant antigen (dansyl [DNS]; gray line) intravenously or PBS (dashed line) and then 18 h later infected with 5 × 105 C. neoformans. The table indicates median survival and statistical significance of anti-GXM treatment compared to those of anti-dansyl and PBS. Results of a single experiment are shown; each experiment was repeated at least once with similar results. (B) Effect of decreasing the dose on antibody efficacy. Mice were given 1 mg (black), 0.5 mg (dark gray), or 0.1 mg (light gray) of recombinant IgG1 or IgG2 anti-GXM or PBS (dashed line) and infected with C. neoformans. The table indicates median survival and statistical significance of the different doses of anti-GXM compared to PBS. d, days.
In general, mice died from neurologic complications. Most developed hydrocephalus, as evidenced by forehead doming as well as signs of chronic illness, including poor grooming and >10% weight loss. Several mice developed paresis of one or more limbs, and some had seizures. In each group, there were two or three mice that did not develop notable neurologic sequelae but did develop ruffled fur and wasting. Occasionally, a mouse would appear well on one day and die the next day from no obvious cause. There were no apparent differences in the number of mice not developing neurologic signs and symptoms between groups.
Taborda and Casadevall and colleagues have reported a prozone effect with mouse IgG MAb treatment of i.p. cryptococcal infection (52), in which increasing the treatment antibody above a certain threshold leads to a paradoxical decrease in efficacy. To determine the optimal treatment dose and to see whether a prozone effect was responsible for the decreased survival of mice treated with IgG1, mice were treated with 1.0, 0.5, and 0.1 mg of recombinant IgG1 or IgG2 anti-GXM (Fig. 4B). Less than 1 mg of IgG1 did not significantly affect mouse survival compared to PBS, indicating that a prozone effect was not responsible for the apparent enhancement of infection seen at the 1-mg dose of IgG1. In addition, 1 mg IgG2 was most efficacious, with less protection seen with the lower doses. Doses higher than 1 mg/mouse were not studied, due to insufficient quantities of antibody; it is not known whether higher doses of IgG2 would provide better protection.
Serum GXM levels were decreased with recombinant IgG treatment.
Serum GXM levels were examined by ELISA on day 14 after infection (Table 1). Compared to mice treated with isotype-matched and PBS controls, mice treated with all four 3E5 IgG subclasses had decreased levels of GXM. This effect was most pronounced in mice with 3E5 IgG2 (P < 0.03). This group had fourfold lower serum GXM levels than mice treated with other anti-GXM isotypes. Since this was a post hoc observation, a statistical comparison of these groups is not appropriate. While GXM levels in mice treated with IgG1, IgG3, and IgG4 were similar, only IgG4 provided protection.
TABLE 1.
Serum cryptococcal antigen levels 14 days following infectiona
| Isotype | Serum GXM antigen level under indicated treatment (μg/ml ± SD)
|
||
|---|---|---|---|
| PBS | Anti-dansyl | Anti-GXM | |
| IgG1 | 61 ± 5.2 | 51 ± 7.3 | 29 ± 14 |
| IgG2 | 65 ± 1.9 | 70 ± 16 | 6.2 ± 4.3 |
| IgG3 | 79 ± 23 | 65 ± 16 | 25 ± 3.0 |
| IgG4 | 55 ± 9.7 | 63 ± 6.7 | 28 ± 12 |
See Fig. 4 also.
The murine immune response to human IgGs was negligible.
Host immune responses can significantly affect therapeutic antibody efficacy (28). We determined the MAHA response on day 14 after infection by using ELISA plates coated with 3E5 of the treatment isotype. In general, MAHA titers were low (≤1:200) to undetectable. Twelve of 88 mice treated with anti-GXM human IgG had MAHA titers of >1:200, with 5 mice showing titers equal to 1:800. There was no correlation between MAHA titer and isotype or survival from cryptococcal infection (not shown). MAHA titers detected using ELISA plates coated with anti-dansyl of the treatment isotype were somewhat lower than those detected with 3E5-coated plates, possibly indicating some immune response to the 3E5 V region.
Human IgGs to GXM clear at predicted rates.
Purified IgGs were radiolabeled with 125I and injected i.p. into mice, and their elimination was followed. The half-lives (Table 2) were somewhat longer than those previously observed for anti-dansyl mouse-human chimeric IgGs produced in a similar manner (73); however, the overall hierarchy was preserved, with IgG2 having a very long t1/2 and IgG4 having the shortest t1/2.
TABLE 2.
Half-lives of recombinant human antibodies to GXM
| Isotype | Half-life (h)
|
|
|---|---|---|
| Time | SD | |
| IgG1 | 190 | 23 |
| IgG2 | 320 | 7.5 |
| IgG3 | 110 | 12 |
| IgG4 | 98 | 6.0 |
Carbohydrate structure on the recombinant human IgGs to GXM.
Human IgGs have a single N-linked glycosylation site in CH2 (constant region 2), which is essential for both FcγR and C1q binding (53). Alterations in glycosylation can affect antibody function (27, 50, 57), as well as immunogenicity and clearance. Because of this central role in antibody function and persistence, we analyzed the N-linked carbohydrate structures of the anti-GXM IgG subclasses by MALDI-TOF mass spectrometry (Fig. 5). Biantennary fucosylated structures predominated. However, the amounts of each structure differed, with IgG2 having an increased percentage of agalactosyl glycans compared to IgG1, IgG3, and IgG4.
FIG. 5.
Positive mode MALDI-TOF spectra of N-linked glycans from recombinant human IgG to GXM. The m/z values for the most prominent carbohydrates are indicated next to each peak. Schematic drawings of the glycan structures are shown under IgG1. White square, GlcNAc; black circle, mannose; white circle, galactose; white triangle, fucose.
The protective isotypes do not bind C1q.
We examined the ability of the recombinant IgG subclasses complexed to C. neoformans to activate complement via the classical pathway. C. neoformans is a potent activator of complement via the alternative pathway (23). Therefore, rather than look for the presence of later complement components, which could be the result of alternative pathway activation, we measured C1q binding, which is the first event in classical pathway activation. Recombinant antibodies to GXM and their isotype-matched controls were incubated with C. neoformans in the presence of fresh mouse serum and C1q binding was detected using an MAb to mouse C1q labeled with FITC and flow cytometry (Fig. 6). Both nonprotective isotypes, IgG1 and IgG3, had detectable C1q binding, while the protective antibodies, IgG2 and IgG4, did not. C1q binding was not detected with either isotype-matched controls or in the presence of heat-inactivated serum (not shown). In conclusion, in the context of C. neoformans, the protective isotypes did not activate the classical complement pathway, while the nonprotective isotypes did.
FIG. 6.
C1q binding by recombinant IgG against GXM detected by flow cytometry. C. neoformans was first incubated with the indicated isotypes, followed by fresh mouse serum. C1q was detected using rat anti-mouse C1q followed by rabbit F(ab′)2 anti-rat IgG-FITC and analyzed by flow cytometry. Results for cryptococci incubated with anti-GXM are represented by a dark line with no fill, and results for those incubated with irrelevant anti-dansyl are represented by a light line and gray fill. Anti-GXM-coated C. neoformans incubated with heat-inactivated mouse serum gave results similar to those with control antibody (not shown).
The protective isotypes do not effectively mediate phagocytosis.
Phagocytosis of IgG-opsonized particles by mouse macrophages is mediated by FcγRI (CD64) and FcγRIII (CD16). IgG-mediated phagocytosis of C. neoformans was examined in primary mouse peritoneal macrophages (Fig. 7A and B). Phagocytosis without antibody was negligible (PI, <5), was highest with IgG1 (mean PI, 820), and was somewhat lower with IgG3 (mean PI, 632). In contrast, phagocytosis by IgG2 and IgG4 was much lower, with PIs of 60 and 241, respectively. Phagocytosis by IgG1 and IgG4 was reduced in the presence of anti-mouse CD16/32 (mean PIs, 88 and 42, respectively), indicating that phagocytosis of C. neoformans opsonized by these isotypes occurs primarily via FcγRIII. Phagocytosis by IgG2 and IgG3 was not affected by anti-CD16/32 (mean PIs, 70 and 650, respectively), indicating that phagocytosis by these isotypes is most likely mediated through FcγRI. A control antibody of the same isotype (rat IgG2b) did not affect phagocytosis. The addition of fresh mouse serum indicated a role for complement in enhancing IgG-mediated phagocytosis, except for IgG4 (Fig. 7B). Serum from mice deficient in C1q did not assist phagocytosis, nor did heat-inactivated BALB/c serum (not shown). These results indicated that the protective human IgG isotypes were not effective mediators of cryptococcal phagocytosis, while the nonprotective isotypes were.
FIG. 7.
(A) Phagocytosis of heat-killed C. neoformans by primary mouse macrophages in the presence of antibodies (Ab) that block phagocytosis via FcγRIII. BALB/c peritoneal macrophages were stimulated overnight with IFN-γ. Opsonized yeast was added at an E:T ratio of 1:20. Cells were then incubated 4 h at 37°C, organisms were washed off, and the wells were fixed and stained with Giemsa. Internalized yeast cells were counted under phase-contrast microscopy. Error bars indicate standard deviations. Anti-mouse CD16/32 significantly reduced phagocytosis by IgG1 and IgG4 (P < 0.001). (B) Phagocytosis of heat-killed C. neoformans by primary mouse macrophages in the presence of mouse serum. Error bars indicate standard deviations. Fresh BALB/c serum significantly increased phagocytosis by IgG1, IgG2, and IgG3 (P < 0.05). (C) Killing of C. neoformans by primary macrophages. Primary peritoneal macrophages were prepared as described above. Live C. neoformans was added at an E:T ratio of 10:1, and the plate was incubated overnight at 37°C. CFU from combined supernatant and cell lysate were assayed from each well. A representative experiment from three is shown.
There is minimal growth inhibition by recombinant human IgGs to GXM.
We determined whether the different recombinant IgG subclasses could affect the ability of peritoneal macrophages to inhibit the growth of C. neoformans. In the absence of cells, antibodies slightly inhibited yeast growth (Fig. 7C). In the presence of cells, there was an approximate fivefold decrease in CFU. The addition of IgG further reduced yeast growth by another threefold. There were no significant differences in growth inhibition between the four subclasses. The addition of anti-CD16/32 or fresh mouse serum did not have additional effects on killing, suggesting that internalization via FcγRIII or the presence of complement does not further affect organism viability. There were similar levels of viable organisms in the culture supernatant among the four subclasses. However, the protective isotypes effected a 1.5- to 10-fold reduction in CFU in the cell lysates (not shown). These results indicate that levels of phagocytosis did not correlate with growth inhibition.
DISCUSSION
The encapsulated yeast Cryptococcus neoformans causes meningoencephalitis in patients with impaired immunity which has a mortality rate of 10 to 20% (42, 59), indicating the need for better therapies. A murine IgG1 MAb to GXM is currently being evaluated as adjunctive therapy for cryptococcal meningitis in AIDS patients in phase II clinical trials. This antibody, 18B7, was chosen from a group of MAbs to GXM, as it was the most effective in protecting A/J mice against cryptococcal infection (8). Continued development of this therapeutic will likely require placing its V regions in the context of human IgG. The four human IgG subclasses differ in their half-lives, FcγR binding profiles, and abilities to activate complement (22, 62). In these studies, we systematically compared the efficacies of the four human IgG isotypes in murine cryptococcal infection to understand the mechanism(s) of antibody-mediated protection and determine the best human IgG isotype for treatment of C. neoformans infections. Our findings have both fundamental and practical implications.
We have used V regions from the anti-GXM hybridoma 3E5 to create recombinant antibodies to the cryptococcal polysaccharide of the four human IgG subclasses. In previous studies, 3E5 IgG3 was class switched in vitro, and the four mouse IgG subclasses with identical V regions were examined in murine cryptococcal infection (5, 38, 49, 68, 69, 71). These MAbs allowed the study of the various subclasses while holding the variable of antigen binding constant. Mouse IgG1 prolonged the life of A/J, BALB/c, and C57BL6/J mice infected with C. neoformans, while IgG3 did not and, in some cases, mice treated with this isotype died earlier than PBS-treated mice (5, 68, 70, 71). IgG3 differs from the other mouse IgG subclasses in that it forms aggregates and binds FcγRI but not FcγRII or FcγRIII (20). It may also bind a unique receptor (16, 69). The protective mouse isotypes (IgG1, IgG2b, and IgG2a) all bind mouse FcγRII and FcγRIII but differ in their abilities to activate complement (22, 36). Studies of mice lacking all FcγRs suggest that these receptors play a role in antibody-mediated protection (69). Studies of these MAbs in complement-deficient mice suggest that complement was not required for antibody-mediated protection (34, 49).
Building on this significant body of work with murine isotypes, in this study, we examined the efficacies of the 3E5 V regions expressed as recombinant human IgG subclasses. The functional characteristics of human IgG subclasses differ from those of mouse IgG subclasses and therefore provide a unique set of reagents to examine MAb efficacy in murine cryptococcosis. A previous study has shown human IgG1 to protect C5-deficient A/J mice against cryptococcal infection (72). The efficacies of other human IgG isotypes in cryptococcal infection have not been previously examined. We found that IgG2 and IgG4 prolonged the lives of BALB/c mice with intact complement systems who were infected with C. neoformans. IgG3 did not affect survival, and IgG1 treatment led to earlier death. Using lower doses of treatment antibody, we showed that the enhancement of disease by IgG1 was probably not due to a prozone effect (52): at lower doses, IgG1 did not become protective. However, it is possible that a dose lower than 0.1 mg IgG1 may be required to reveal a prozone-like effect.
The role of classical pathway complement activation in protection against C. neoformans has not been well defined. In our system, the protective isotypes IgG2 and IgG4 did not fix C1q, the first component of the classical complement cascade. However, Saeland et al. found that both human IgG1 and IgG2 mediated C3c deposition on heat-killed Streptococcus pneumoniae only in the presence of C1q and C2, indicating activation via the classical pathway (46). The amount of C3c deposition with IgG2 was lower than that with IgG1. The most likely explanation for the difference in our results concerning IgG2 classical pathway activation is the higher sensitivity of the assay used by Saeland et al., who detected cascade products rather than initiation (C1q binding). The fact that our protective isotypes do not fix C1q is consistent with prior observations suggesting that complement activation by passively administered antibodies does not play a role in protection against C. neoformans and may be deleterious (5, 36, 49, 71, 72). That human IgG1 was disease enhancing in this study looking at BALB/c mice but was found to be protective in A/J mice (72), which are C5 deficient, suggests that complement may play a role in MAb-mediated enhancement of cryptococcal infection.
Alternative pathway complement activation is essential for natural immunity against C. neoformans, as evidenced by the rapid death of complement-deficient mice infected with this fungus (49). Kozel et al. have determined that MAbs with V regions similar to 3E5 and 18B7 can suppress alternative pathway activation, while other MAbs to GXM do not (24). Alternative pathway suppression was further associated with decreased hinge flexibility (25). Interestingly, the protective isotypes, IgG4 and IgG2 in particular, have less hinge flexibility than the nonprotective (45). Most of these in vitro studies were performed using human complement. More recently, Kozel et al. have shown that deposition of C3 within the capsular matrix is a complex process that is influenced by the serum source (mouse versus human) as well as the density of the capsular matrix (19). Thus, it remains unclear what role, if any, the alternative pathway plays in the protection observed in the current experiments.
FcγRI and FcγRIII mediate phagocytosis of IgG-coated particles. Human IgG subclasses differ in their binding to FcγRs, hence their ability to facilitate phagocytosis of C. neoformans. In comparison to the protective isotypes, IgG1 and IgG3 mediated significant uptake of C. neoformans. Antibody to mouse FcγRIII blocked phagocytosis of C. neoformans by IgG1 and IgG4 but not by IgG2 and IgG3. This suggests that phagocytosis mediated primarily via either FcγRI or FcγRIII is not directly related to antibody efficacy. As observed by others (55), phagocytosed yeast was not killed to a significant extent. Given that intravenous transfer of infected lung macrophages leads to hematogenous dissemination of C. neoformans to the brain (47), the nonprotective antibodies IgG1 and IgG3, which facilitate C. neoformans phagocytosis, may simply allow organisms access to an intracellular compartment where they can survive and replicate unencumbered and possibly disseminate via a Trojan horse method (12, 30). However, these data should be interpreted cautiously, since other types of macrophages may behave differently. Also, the activation states of the macrophages tested in vitro may be different from those in mice with cryptococcal infection. Studies looking at different types of primary phagocytes, such as pulmonary macrophages and neutrophils, as well as cells from infected animals may be enlightening in this regard.
While the V regions of the four recombinant IgGs against GXM were identical, it was possible that expression in the context of different C regions altered antigen binding. In fact, McLean et al. have shown that another MAb specific for GXM (18B7) binds in an annular fluorescence pattern when expressed as human IgG1, IgG2, IgG4, and IgA and in a punctate pattern when expressed as human IgM or IgG3 (32), indicating the binding properties of the same V region can be affected by the C region. Our results show that the four recombinant human IgG subclasses bound to GXM with similar apparent affinities in both solid and liquid phases and that all bound C. neoformans in an annular (protective) pattern. Therefore, it is unlikely that the differences in efficacy we observed among the four isotypes were due to differences in antigen affinity or epitope recognition.
Rapid clearance of treatment antibodies due to host immune response could affect antibody efficacy (28). However, MAHA titers were low, and the t1/2 of the recombinant antibodies was slightly longer than that reported for human IgG subclasses in mice (73). Isotype t1/2 did not appear to correlate with protection, since IgG2 had the longest t1/2 and IgG4 had the shortest. However, the rate of clearance may be responsible for the smaller differences in efficacy. IgG2 is more protective and has a significantly longer t1/2 than IgG4. Given the similar effector function profiles of IgG1 and IgG3, the longer t1/2 of IgG1 may explain why the former enhances cryptococcal infection while the latter is simply not protective. Further study of antibody clearance in infected animals will elucidate whether there are isotype differences in MAb t1/2 in the presence of antigen.
Antigen clearance may also play a role in efficacy. GXM is a major virulence factor, helping the organism resist phagocytosis (26), inhibiting leukocyte migration (17), causing immune paralysis (35, 41) and affecting cytokine production by macrophages and T cells (60). An abundance of free GXM can affect cerebral spinal fluid circulation leading to hydrocephalus and significant morbidity and mortality (11, 14). Therefore, GXM clearance is believed to be important in the efficacy of antibodies against C. neoformans (reviewed in reference 11). Our results indicate that 14 days after C. neoformans infection was established, all human IgGs reduced circulating GXM levels but the most protective isotype, IgG2, reduced serum GXM levels fourfold more than the others. The other protective isotype, IgG4, did not appear to differ from IgG1 or IgG3 in its ability to reduce serum GXM levels on day 14. It is possible that sampling GXM levels more frequently may have identified further differences. Future experiments looking at weekly serum GXM levels and at GXM levels in various tissues will help address this issue.
IgG2 had an increased percentage of N-linked glycans lacking terminal galactose. Antibodies with agalactoglycans may be more effective in activating inflammation (2, 40). Indeed, rheumatoid arthritis is associated with a marked increase in IgG with carbohydrate lacking galactose and hence terminating in N-acetylglucosamine. The lectin pathway of complement activation is triggered by mannose-binding lectin (MBL), which recognizes N-acetylglucosamine > mannose > fucose > glucose (reviewed in reference 56), and agalacto-IgG1 is more effective in binding MBL (48). However, given the observation that activation of complement by the classical pathway, which differs from the MBL pathway only in the initiating event, appears to be detrimental, it is unlikely that activation of the MBL pathway makes a contribution to the protective efficacy of IgG2.
It is of interest that antibodies to GXM found in human serum are predominantly of the IgG2 isotype (1, 15) and that this isotype was more protective than IgG1 or IgG3 in our system. IgG2 may predominate in antibody responses following vaccination with polysaccharides from other encapsulated organisms, including S. pneumoniae and Neisseria meningitidis (3, 43). Whether IgG2 offers a protective advantage in infections with encapsulated organisms over other IgG subclasses has not been established.
In summary, we have compared the efficacies of human IgG1, IgG2, IgG3, and IgG4, with identical variable regions, against murine cryptococcal infection. IgG2 and IgG4, which do not activate complement or bind FcγRs well, protect mice against cryptococcal infection. Surprisingly, IgG1 and IgG3, which activate complement and bind all three classes of FcγR, functions classically viewed to be essential for antibody-mediated protection against infections, were not protective, and IgG1 actually reduced survival. Most human MAbs in clinical use and in clinical trials are of the human IgG1 isotype, as this molecule is believed, possibly erroneously, to have the most favorable combination of antibody effector functions, particularly for infections and cancer (51). Our results indicate that the role of effector functions in specific disease processes need first to be defined so that the isotype with the appropriate effector profile can be chosen. Although our results suggest that IgG2 or IgG4 would be the most effective human IgG isotypes against C. neoformans, a confounding variable may be the genotype of the individual being treated, since FcγRIII polymorphisms have been associated with the efficacy of rituximab in treating follicular lymphoma and Waldenstrom's macroglobulinemia (54, 65) and mouse strain backgrounds have been show to influence the efficacies of murine antibodies in treating cryptococcal infection (44). Clearly, a greater understanding and appreciation of the mechanisms of antibody-mediated protection will be needed if the full potential of therapeutic antibodies is to be realized.
Acknowledgments
This work was supported by an Advanced Research Career Development Award from the Veterans Affairs (D.O.B.) and by grants AI51415 (S.L.M. and D.O.B.) and AI29470 (S.L.M.) from the NIH.
We thank Donald Morrison for assistance with statistical methodology and Koteswara Chintalacharuvu and Manuel Penichet for critical reading and comments.
Editor: A. Casadevall
Footnotes
Published ahead of print on 12 January 2007.
REFERENCES
- 1.Abadi, J., and L. Pirofski. 1999. Antibodies reactive with the cryptococcal capsular polysaccharide glucuronoxylomannan are present in sera from children with and without human immunodeficiency virus infection. J. Infect. Dis. 180:915-919. [DOI] [PubMed] [Google Scholar]
- 2.Axford, J. S., N. Sumar, A. Alavi, D. A. Isenberg, A. Young, K. B. Bodman, and I. M. Roitt. 1992. Changes in normal glycosylation mechanisms in autoimmune rheumatic disease. J. Clin. Investig. 89:1021-1031. [DOI] [PMC free article] [PubMed] [Google Scholar]
- 3.Barrett, D. J., and E. M. Ayoub. 1986. IgG2 subclass restriction of antibody to pneumococcal polysaccharides. Clin. Exp. Immunol. 63:127-134. [PMC free article] [PubMed] [Google Scholar]
- 4.Beenhouwer, D. O., R. J. May, P. Valadon, and M. D. Scharff. 2002. High affinity mimotope of the polysaccharide capsule of Cryptococcus neoformans identified from an evolutionary phage peptide library. J. Immunol. 169:6992-6999. [DOI] [PubMed] [Google Scholar]
- 5.Beenhouwer, D. O., S. Shapiro, M. Feldmesser, A. Casadevall, and M. D. Scharff. 2001. Both Th1 and Th2 cytokines affect the ability of monoclonal antibodies to protect mice against Cryptococcus neoformans. Infect. Immun. 69:6445-6455. [DOI] [PMC free article] [PubMed] [Google Scholar]
- 6.Bonagura, V. R., S. E. Artandi, N. Agostino, M. H. Tao, and S. L. Morrison. 1992. Mapping rheumatoid factor binding sites using genetically engineered, chimeric IgG antibodies. DNA Cell Biol. 11:245-252. [DOI] [PubMed] [Google Scholar]
- 7.Canfield, S. M., and S. L. Morrison. 1991. The binding affinity of human IgG for its high affinity Fc receptor is determined by multiple amino acids in the CH2 domain and is modulated by the hinge region. J. Exp. Med. 173:1483-1491. [DOI] [PMC free article] [PubMed] [Google Scholar]
- 8.Casadevall, A., W. Cleare, M. Feldmesser, A. Glatman-Freedman, D. L. Goldman, T. R. Kozel, N. Lendvai, J. Mukherjee, L. A. Pirofski, J. Rivera, A. L. Rosas, M. D. Scharff, P. Valadon, K. Westin, and Z. Zhong. 1998. Characterization of a murine monoclonal antibody to Cryptococcus neoformans polysaccharide that is a candidate for human therapeutic studies. Antimicrob. Agents Chemother. 42:1437-1446. [DOI] [PMC free article] [PubMed] [Google Scholar]
- 9.Casadevall, A., E. Dadachova, and L. A. Pirofski. 2004. Passive antibody therapy for infectious diseases. Nat. Rev. Microbiol. 2:695-703. [DOI] [PubMed] [Google Scholar]
- 10.Casadevall, A., J. Mukherjee, and M. D. Scharff. 1992. Monoclonal antibody based ELISAs for cryptococcal polysaccharide. J. Immunol. Methods 154:27-35. [DOI] [PubMed] [Google Scholar]
- 11.Casadevall, A., and J. R. Perfect. 1998. Cryptococcus neoformans. ASM Press, Washington, DC.
- 12.Chrétien, F., O. Lortholary, I. Kansau, S. Neuville, F. Gray, and F. Dromer. 2002. Pathogenesis of cerebral Cryptococcus neoformans infection after fungemia. J. Infect. Dis. 186:522-530. [DOI] [PubMed] [Google Scholar]
- 13.Coloma, M. J., A. Hastings, L. A. Wims, and S. L. Morrison. 1992. Novel vectors for the expression of antibody molecules using variable regions generated by polymerase chain reaction. J. Immunol. Methods 152:89-104. [DOI] [PubMed] [Google Scholar]
- 14.Denning, D. W., R. W. Armstrong, B. H. Lewis, and D. A. Stevens. 1991. Elevated cerebrospinal fluid pressures in patients with cryptococcal meningitis and acquired immunodeficiency syndrome. Am. J. Med. 91:267-272. [DOI] [PubMed] [Google Scholar]
- 15.Deshaw, M., and L. A. Pirofski. 1995. Antibodies to the Cryptococcus neoformans capsular glucuronoxylomannan are ubiquitous in serum from HIV+ and HIV− individuals. Clin. Exp. Immunol. 99:425-432. [DOI] [PMC free article] [PubMed] [Google Scholar]
- 16.Diamond, B., and D. E. Yelton. 1981. A new Fc receptor on mouse macrophages binding IgG3. J. Exp. Med. 153:514-519. [DOI] [PMC free article] [PubMed] [Google Scholar]
- 17.Dong, Z. M., and J. W. Murphy. 1997. Cryptococcal polysaccharides bind to CD18 on human neutrophils. Infect. Immun. 65:557-563. [DOI] [PMC free article] [PubMed] [Google Scholar]
- 18.Elliott, M. J., R. N. Maini, M. Feldmann, J. R. Kalden, C. Antoni, J. S. Smolen, B. Leeb, F. C. Breedveld, J. D. Macfarlane, H. Bijl, et al. 1994. Randomised double-blind comparison of chimeric monoclonal antibody to tumour necrosis factor alpha (cA2) versus placebo in rheumatoid arthritis. Lancet 344:1105-1110. [DOI] [PubMed] [Google Scholar]
- 19.Gates, M. A., and T. R. Kozel. 2006. Differential localization of complement component 3 within the capsular matrix of Cryptococcus neoformans. Infect. Immun. 74:3096-3106. [DOI] [PMC free article] [PubMed] [Google Scholar]
- 20.Gavin, A. L., N. Barnes, H. M. Dijstelbloem, and P. M. Hogarth. 1998. Identification of the mouse IgG3 receptor: implications for antibody effector function at the interface between innate and adaptive immunity. J. Immunol. 160:20-23. [PubMed] [Google Scholar]
- 21.Hall, L. R., E. Diaconu, and E. Pearlman. 2001. A dominant role for Fc gamma receptors in antibody-dependent corneal inflammation. J. Immunol. 167:919-925. [DOI] [PubMed] [Google Scholar]
- 22.Hulett, M. D., and P. M. Hogarth. 1994. Molecular basis of Fc receptor function. Adv. Immunol. 57:1-127. [DOI] [PubMed] [Google Scholar]
- 23.Kozel, T. R. 1993. Activation of the complement system by the capsule of Cryptococcus neoformans. Curr. Top. Med. Mycol. 5:1-26. [PubMed] [Google Scholar]
- 24.Kozel, T. R., B. C. deJong, M. M. Grinsell, R. S. MacGill, and K. K. Wall. 1998. Characterization of anticapsular monoclonal antibodies that regulate activation of the complement system by the Cryptococcus neoformans capsule. Infect. Immun. 66:1538-1546. [DOI] [PMC free article] [PubMed] [Google Scholar]
- 25.Kozel, T. R., R. S. MacGill, and K. K. Wall. 1998. Bivalency is required for anticapsular monoclonal antibodies to optimally suppress activation of the alternative complement pathway by the Cryptococcus neoformans capsule. Infect. Immun. 66:1547-1553. [DOI] [PMC free article] [PubMed] [Google Scholar]
- 26.Kozel, T. R., G. S. Pfrommer, A. S. Guerlain, B. A. Highison, and G. J. Highison. 1988. Role of the capsule in phagocytosis of Cryptococcus neoformans. Rev. Infect. Dis. 10(Suppl. 2):S436-S439. [DOI] [PubMed] [Google Scholar]
- 27.Krapp, S., Y. Mimura, R. Jefferis, R. Huber, and P. Sondermann. 2003. Structural analysis of human IgG-Fc glycoforms reveals a correlation between glycosylation and structural integrity. J. Mol. Biol. 325:979-989. [DOI] [PubMed] [Google Scholar]
- 28.Kuus-Reichel, K., L. S. Grauer, L. M. Karavodin, C. Knott, M. Krusemeier, and N. E. Kay. 1994. Will immunogenicity limit the use, efficacy, and future development of therapeutic monoclonal antibodies? Clin. Diagn. Lab. Immunol. 1:365-372. [DOI] [PMC free article] [PubMed] [Google Scholar]
- 29.Lendvai, N., X. W. Qu, W. Hsueh, and A. Casadevall. 2000. Mechanism for the isotype dependence of antibody-mediated toxicity in Cryptococcus neoformans-infected mice. J. Immunol. 164:4367-4374. [DOI] [PubMed] [Google Scholar]
- 30.Luberto, C., B. Martinez-Marino, D. Taraskiewicz, B. Bolanos, P. Chitano, D. L. Toffaletti, G. M. Cox, J. R. Perfect, Y. A. Hannun, E. Balish, and M. Del Poeta. 2003. Identification of App1 as a regulator of phagocytosis and virulence of Cryptococcus neoformans. J. Clin. Investig. 112:1080-1094. [DOI] [PMC free article] [PubMed] [Google Scholar]
- 31.MacGill, T. C., R. S. MacGill, A. Casadevall, and T. R. Kozel. 2000. Biological correlates of capsular (quellung) reactions of Cryptococcus neoformans. J. Immunol. 164:4835-4842. [DOI] [PubMed] [Google Scholar]
- 32.McLean, G. R., M. Torres, N. Elguezabal, A. Nakouzi, and A. Casadevall. 2002. Isotype can affect the fine specificity of an antibody for a polysaccharide antigen. J. Immunol. 169:1379-1386. [DOI] [PubMed] [Google Scholar]
- 33.Miller, R. G. 1966. Simultaneous statistical inference. McGraw Hill, New York, NY.
- 34.Mukherjee, J., M. D. Scharff, and A. Casadevall. 1992. Protective murine monoclonal antibodies to Cryptococcus neoformans. Infect. Immun. 60:4534-4541. [DOI] [PMC free article] [PubMed] [Google Scholar]
- 35.Murphy, J. W., and G. C. Cozad. 1972. Immunological unresponsiveness induced by cryptococcal capsular polysaccharide assayed by the hemolytic plaque technique. Infect. Immun. 5:896-901. [DOI] [PMC free article] [PubMed] [Google Scholar]
- 36.Neuberger, M. S., and K. Rajewsky. 1981. Activation of mouse complement by monoclonal mouse antibodies. Eur. J. Immunol. 11:1012-1016. [DOI] [PubMed] [Google Scholar]
- 37.Nussbaum, G., W. Cleare, A. Casadevall, M. D. Scharff, and P. Valadon. 1997. Epitope location in the Cryptococcus neoformans capsule is a determinant of antibody efficacy. J. Exp. Med. 185:685-694. [DOI] [PMC free article] [PubMed] [Google Scholar]
- 38.Nussbaum, G., R. Yuan, A. Casadevall, and M. D. Scharff. 1996. Immunoglobulin G3 blocking antibodies to the fungal pathogen Cryptococcus neoformans. J. Exp. Med. 183:1905-1909. [DOI] [PMC free article] [PubMed] [Google Scholar]
- 39.Papac, D. I., J. B. Briggs, E. T. Chin, and A. J. Jones. 1998. A high-throughput microscale method to release N-linked oligosaccharides from glycoproteins for matrix-assisted laser desorption/ionization time-of-flight mass spectrometric analysis. Glycobiology 8:445-454. [DOI] [PubMed] [Google Scholar]
- 40.Parekh, R. B., R. A. Dwek, B. J. Sutton, D. L. Fernandes, A. Leung, D. Stanworth, T. W. Rademacher, T. Mizuochi, T. Taniguchi, K. Matsuta, et al. 1985. Association of rheumatoid arthritis and primary osteoarthritis with changes in the glycosylation pattern of total serum IgG. Nature 316:452-457. [DOI] [PubMed] [Google Scholar]
- 41.Pettoello-Mantovani, M., A. Casadevall, T. R. Kollmann, A. Rubinstein, and H. Goldstein. 1992. Enhancement of HIV-1 infection by the capsular polysaccharide of Cryptococcus neoformans. Lancet 339:21-23. [DOI] [PubMed] [Google Scholar]
- 42.Powderly, W. G. 1996. Recent advances in the management of cryptococcal meningitis in patients with AIDS. Clin. Infect. Dis. 22(Suppl. 2):S119-S123. [DOI] [PubMed] [Google Scholar]
- 43.Rautonen, N., J. Pelkonen, S. Sipinen, H. Kayhty, and O. Makela. 1986. Isotype concentrations of human antibodies to group A meningococcal polysaccharide. J. Immunol. 137:2670-2675. [PubMed] [Google Scholar]
- 44.Rivera, J., and A. Casadevall. 2005. Mouse genetic background is a major determinant of isotype-related differences for antibody-mediated protective efficacy against Cryptococcus neoformans. J. Immunol. 174:8017-8026. [DOI] [PubMed] [Google Scholar]
- 45.Roux, K. H., L. Strelets, and T. E. Michaelsen. 1997. Flexibility of human IgG subclasses. J. Immunol. 159:3372-3382. [PubMed] [Google Scholar]
- 46.Saeland, E., G. Vidarsson, J. H. Leusen, E. Van Garderen, M. H. Nahm, H. Vile-Weekhout, V. Walraven, A. M. Stemerding, J. S. Verbeek, G. T. Rijkers, W. Kuis, E. A. Sanders, and J. G. Van De Winkel. 2003. Central role of complement in passive protection by human IgG1 and IgG2 anti-pneumococcal antibodies in mice. J. Immunol. 170:6158-6164. [DOI] [PubMed] [Google Scholar]
- 47.Santangelo, R., H. Zoellner, T. Sorrell, C. Wilson, C. Donald, J. Djordjevic, Y. Shounan, and L. Wright. 2004. Role of extracellular phospholipases and mononuclear phagocytes in dissemination of cryptococcosis in a murine model. Infect. Immun. 72:2229-2239. [DOI] [PMC free article] [PubMed] [Google Scholar]
- 48.Savoy, A. C., D. M. Lupan, P. B. Manalo, J. S. Roberts, A. M. Schlageter, L. C. Weinhold, and T. R. Kozel. 1997. Acute lethal toxicity following passive immunization for treatment of murine cryptococcosis. Infect. Immun. 65:1800-1807. [DOI] [PMC free article] [PubMed] [Google Scholar]
- 49.Shapiro, S., D. O. Beenhouwer, M. Feldmesser, C. Taborda, M. C. Carroll, A. Casadevall, and M. D. Scharff. 2002. Immunoglobulin G monoclonal antibodies to Cryptococcus neoformans protect mice deficient in complement component C3. Infect. Immun. 70:2598-2604. [DOI] [PMC free article] [PubMed] [Google Scholar]
- 50.Shields, R. L., J. Lai, R. Keck, L. Y. O'Connell, K. Hong, Y. G. Meng, S. H. Weikert, and L. G. Presta. 2002. Lack of fucose on human IgG1 N-linked oligosaccharide improves binding to human Fcgamma RIII and antibody-dependent cellular toxicity. J. Biol. Chem. 277:26733-26740. [DOI] [PubMed] [Google Scholar]
- 51.Steplewski, Z., L. K. Sun, C. W. Shearman, J. Ghrayeb, P. Daddona, and H. Koprowski. 1988. Biological activity of human-mouse IgG1, IgG2, IgG3, and IgG4 chimeric monoclonal antibodies with antitumor specificity. Proc. Natl. Acad. Sci. USA 85:4852-4856. [DOI] [PMC free article] [PubMed] [Google Scholar]
- 52.Taborda, C. P., J. Rivera, O. Zaragoza, and A. Casadevall. 2003. More is not necessarily better: prozone-like effects in passive immunization with IgG. J. Immunol. 170:3621-3630. [DOI] [PubMed] [Google Scholar]
- 53.Tao, M. H., and S. L. Morrison. 1989. Studies of aglycosylated chimeric mouse-human IgG. Role of carbohydrate in the structure and effector functions mediated by the human IgG constant region. J. Immunol. 143:2595-2601. [PubMed] [Google Scholar]
- 54.Treon, S. P., M. Hansen, A. R. Branagan, S. Verselis, C. Emmanouilides, E. Kimby, S. R. Frankel, N. Touroutoglou, B. Turnbull, K. C. Anderson, D. G. Maloney, and E. A. Fox. 2005. Polymorphisms in FcgammaRIIIA (CD16) receptor expression are associated with clinical response to rituximab in Waldenstrom's macroglobulinemia. J. Clin. Oncol. 23:474-481. [DOI] [PubMed] [Google Scholar]
- 55.Tucker, S. C., and A. Casadevall. 2002. Replication of Cryptococcus neoformans in macrophages is accompanied by phagosomal permeabilization and accumulation of vesicles containing polysaccharide in the cytoplasm. Proc. Natl. Acad. Sci. USA 99:3165-3170. [DOI] [PMC free article] [PubMed] [Google Scholar]
- 56.Turner, M. W. 1996. Mannose-binding lectin: the pluripotent molecule of the innate immune system. Immunol. Today 17:532-539. [DOI] [PubMed] [Google Scholar]
- 57.Umaña, P., J. Jean-Mairet, R. Moudry, H. Amstutz, and J. E. Bailey. 1999. Engineered glycoforms of an antineuroblastoma IgG1 with optimized antibody-dependent cellular cytotoxic activity. Nat. Biotechnol. 17:176-180. [DOI] [PubMed] [Google Scholar]
- 58.Unkeless, J. C. 1979. Characterization of a monoclonal antibody directed against mouse macrophage and lymphocyte Fc receptors. J. Exp. Med. 150:580-596. [DOI] [PMC free article] [PubMed] [Google Scholar]
- 59.van der Horst, C. M., M. S. Saag, G. A. Cloud, R. J. Hamill, J. R. Graybill, J. D. Sobel, P. C. Johnson, C. U. Tuazon, T. Kerkering, B. L. Moskovitz, W. G. Powderly, and W. E. Dismukes. 1997. Treatment of cryptococcal meningitis associated with the acquired immunodeficiency syndrome. N. Engl. J. Med. 337:15-21. [DOI] [PubMed] [Google Scholar]
- 60.Vecchiarelli, A. 2000. Immunoregulation by capsular components of Cryptococcus neoformans. Med. Mycol. 38:407-417. [DOI] [PubMed] [Google Scholar]
- 61.Vincenti, F., R. Kirkman, S. Light, G. Bumgardner, M. Pescovitz, P. Halloran, J. Neylan, A. Wilkinson, H. Ekberg, R. Gaston, L. Backman, and J. Burdick. 1998. Interleukin-2-receptor blockade with daclizumab to prevent acute rejection in renal transplantation. N. Engl. J. Med. 338:161-165. [DOI] [PubMed] [Google Scholar]
- 62.Ward, E. S., and V. Ghetie. 1995. The effector functions of immunoglobulins: implications for therapy. Ther. Immunol. 2:77-94. [PubMed] [Google Scholar]
- 63.Weiser, M. R., J. P. Williams, F. D. Moore, Jr., L. Kobzik, M. Ma, H. B. Hechtman, and M. C. Carroll. 1996. Reperfusion injury of ischemic skeletal muscle is mediated by natural antibody and complement. J. Exp. Med. 183:2343-2348. [DOI] [PMC free article] [PubMed] [Google Scholar]
- 64.Weisman, H. F., T. F. Schaible, R. E. Jordan, C. F. Cabot, and K. M. Anderson. 1995. Anti-platelet monoclonal antibodies for the prevention of arterial thrombosis: experience with ReoPro, a monoclonal antibody directed against the platelet GPIIb/IIIa receptor. Biochem. Soc. Trans. 23:1051-1057. [DOI] [PubMed] [Google Scholar]
- 65.Weng, W. K., and R. Levy. 2003. Two immunoglobulin G fragment C receptor polymorphisms independently predict response to rituximab in patients with follicular lymphoma. J. Clin. Oncol. 21:3940-3947. [DOI] [PubMed] [Google Scholar]
- 66.White, C. A., R. L. Weaver, and A. J. Grillo-Lopez. 2001. Antibody-targeted immunotherapy for treatment of malignancy. Annu. Rev. Med. 52:125-145. [DOI] [PubMed] [Google Scholar]
- 67.Wright, A., and S. L. Morrison. 1994. Effect of altered CH2-associated carbohydrate structure on the functional properties and in vivo fate of chimeric mouse-human immunoglobulin G1. J. Exp. Med. 180:1087-1096. [DOI] [PMC free article] [PubMed] [Google Scholar]
- 68.Yuan, R., A. Casadevall, G. Spira, and M. D. Scharff. 1995. Isotype switching from IgG3 to IgG1 converts a nonprotective murine antibody to Cryptococcus neoformans into a protective antibody. J. Immunol. 154:1810-1816. [PubMed] [Google Scholar]
- 69.Yuan, R., R. Clynes, J. Oh, J. V. Ravetch, and M. D. Scharff. 1998. Antibody-mediated modulation of Cryptococcus neoformans infection is dependent on distinct Fc receptor functions and IgG subclasses. J. Exp. Med. 187:641-648. [DOI] [PMC free article] [PubMed] [Google Scholar]
- 70.Yuan, R. R., A. Casadevall, J. Oh, and M. D. Scharff. 1997. T cells cooperate with passive antibody to modify Cryptococcus neoformans infection in mice. Proc. Natl. Acad. Sci. USA 94:2483-2488. [DOI] [PMC free article] [PubMed] [Google Scholar]
- 71.Yuan, R. R., G. Spira, J. Oh, M. Paizi, A. Casadevall, and M. D. Scharff. 1998. Isotype switching increases efficacy of antibody protection against Cryptococcus neoformans infection in mice. Infect. Immun. 66:1057-1062. [DOI] [PMC free article] [PubMed] [Google Scholar]
- 72.Zebedee, S. L., R. K. Koduri, J. Mukherjee, S. Mukherjee, S. Lee, D. F. Sauer, M. D. Scharff, and A. Casadevall. 1994. Mouse-human immunoglobulin G1 chimeric antibodies with activities against Cryptococcus neoformans. Antimicrob. Agents Chemother. 38:1507-1514. [DOI] [PMC free article] [PubMed] [Google Scholar]
- 73.Zuckier, L. S., L. Georgescu, C. J. Chang, M. D. Scharff, and S. L. Morrison. 1994. The use of severe combined immunodeficiency mice to study the metabolism of human immunoglobulin G. Cancer 73:794-799. [DOI] [PubMed] [Google Scholar]







