Abstract
Lipoxin (LX) A4 and aspirin-triggered LX (ATL) are endogenous lipids that regulate leukocyte trafficking via specific LXA4 receptors (ALXRs) and mediate antiinflammation and resolution. ATL analogues dramatically inhibited human neutrophil (polymorphonuclear leukocyte [PMN]) responses evoked by a potent necrotactic peptide derived from mitochondria as well as a rogue synthetic chemotactic peptide. These bioactive lipid analogues and small peptides each selectively competed for specific 3H-LXA4 binding with recombinant human ALXR, and its N-glycosylation proved essential for peptide but not LXA4 recognition. Chimeric receptors constructed from receptors with opposing functions, namely ALXR and leukotriene B4 receptors (BLTs), revealed that the seventh transmembrane segment and adjacent regions of ALXR are essential for LXA4 recognition, and additional regions of ALXR are required for high affinity binding of the peptide ligands. Together, these findings are the first to indicate that a single seven-transmembrane receptor can switch recognition as well as function with certain chemotactic peptides to inhibitory with ATL and LX (lipid ligands). Moreover, they suggest that ALXR activation by LX or ATL can protect the host from potentially deleterious PMN responses associated with innate immunity as well as direct effector responses in tissue injury by recognition of peptide fragments.
Keywords: inhibitory receptors, antiinflammation, resolution, leukocytes, MHC binding peptide
Introduction
Acute inflammation is normally a localized protective response where neutrophils (PMNs) play a pivotal role not only to destroy invading microbes but also to wall off injured tissues 1. Endogenous chemical mediators generated by the host govern leukocyte trafficking from the vasculature to active sites 2, and in this context leukotriene B4 is among the most potent PMN chemoattractants known 3 4 5. Excessive acute inflammation caused by aberrant host recognition or prolonged activation of effector cells such as PMNs can release an array of proinflammatory mediators amplifying diverse cellular responses that acutely can give rise to reperfusion injury as well as chronic inflammatory diseases such as rheumatoid arthritis 6 7. Most lipid mediators, including eicosanoids (prostaglandins and leukotrienes), elicit inflammation and vascular events and thus are held to be potent proinflammatory mediators 3. Recent results provide evidence for a new appreciation that certain lipoxygenase-derived eicosanoids possess potent “anti-PMN” actions and antiinflammatory properties 7 8 9 10. In particular, lipoxin (LX) A4 and recently identified aspirin-triggered LXA4 (ATL, endogenous 15-epimer of LXA4) exhibit antiinflammatory properties and appear to serve as novel endogenous “stop signals” to regulate excessive leukocyte trafficking and possibly deleterious responses of PMNs 7.
Aspirin is widely used for its antiinflammatory and analgesic properties 11 and also exhibits newly recognized beneficial actions, including prevention of cardiovascular diseases and decreasing the incidence of lung, colon, and breast cancers 12. In addition to inhibiting formation of both prothrombotic and proinflammatory eicosanoids, aspirin-acetylated cyclooxygenase 2 remains active, and upon cell activation initiates the endogenous generation of antiinflammatory 15-epi-LXA4 (15R-LXA4, ATL) 7. Like other local mediators, LXA4 and ATL are rapidly generated within seconds to minutes, act locally to evoke cellular responses, and are rapidly inactivated by further metabolism. Hence, LXA4 and ATL stable analogues (ATLa) were designed that resist rapid enzymatic inactivation and prolong their duration of action. These analogues display potent anti-PMN actions in vitro and in vivo 7 13 14 15 and act via mechanisms that bypass aspirin's unwanted side effects (gastric bleeding, etc.), since they act directly on leukocytes 7 and regulate a cytokine–chemokine axis 16. In this report, we used these new molecular tools (e.g., LXA4 and ATLa, structures shown in Fig. 1) and found a novel mechanism for PMNs in host recognition and evidence for a unique functional switch to endogenous antiinflammatory programming.
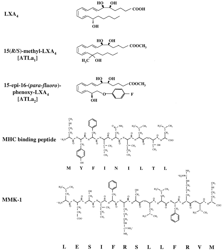
Figure 1.

Structures of inhibitory lipid mediators and stimulatory peptides: LXA4, ATLa1, ATLa2, MHC binding peptide, and MMK-1 surrogate peptide.
LXA4 and its carbon-15 epimeric counterpart ATL (e.g., 15-epi-LXA4) regulate leukocyte responses via interacting with high affinity (K d ∼ 0.5 nM) to a G protein–coupled receptor denoted ALXR (17; for a review, see reference 7). This receptor is related at the nucleotide sequence level to both chemokine and chemotactic peptide receptors, such as N-formyl peptide receptor (FPR) 5. However, we 18 and others 19 found that the ALXR does not effectively respond to formyl peptide FMLP, unless cells are exposed to higher pharmacological doses (i.e., >1–10 μM), suggesting that these are not physiologically relevant ligands. Along these lines, the nonclassical MHC Ib CD1 binds and presents both peptides 20 and lipid antigens such as the long chain fatty acid, mycotic acid, found in mycobacteria 21. Thus, T cells can recognize a broader array of both peptide and lipid antigens than previously appreciated. In view of the diversity of T cell recognition, it was of interest to determine whether effector cell (i.e., PMN) receptors for antiinflammatory lipid mediators 13, namely ALXR, could also utilize specific non–lipid-derived ligands.
Materials and Methods
Materials.
The MHC binding peptide (MYFINILTL) and MMK-1 peptide (LESIFRSLLFRVM) were prepared by custom synthesis at Research Genetics, Inc. 125I-MHC binding peptide was prepared by Phoenix Pharmaceuticals, Inc. and purified by HPLC. The oligonucleotides were synthesized by Integrated DNA Technologies, Inc. DNA sequence analysis was performed in the Brigham and Women's Hospital DNA Sequencing Core. Restriction enzymes were purchased from Roche Molecular Biochemicals with the exception of EcoNI, which was from New England Biolabs.
Cloning and Plasmid Construction.
The pcDNA3-BLT plasmid containing human leukotriene B4 receptor (BLT) cDNA was prepared as described 15. ALXR cDNA was used as described 17, and BLT-ALXR chimeric receptors were constructed by PCR and restriction digestion. In brief, for B/A254, ALXR cDNA fragment (796–1055) carrying EcoNI and XhoI sites on 5′ and 3′ ends, respectively, was obtained by PCR (30 cycles of 94°C for 1 min, 60°C for 1 min, and 72°C for 1 min) using Taq DNA polymerase (Qiagen) with oligonucleotides S-EcoNI (5′-gaacctggctgaggccgtctggctcaag-3′) and AS-XhoI (5′-cttctcgagtcacattgcctgtaac-3′). ALXR fragment was digested with EcoNI and XhoI (New England Biolabs) and ligated into EcoNI-XhoI–digested pcDNA3-BLT. The other chimeras were constructed using this procedure with the oligonucleotides and restriction enzymes listed in Table . Each resulting construct was verified by complete DNA sequence analysis.
Table 1.
Oligonucleotides and Restriction Enzymes for Chimera Construction
| Chimera | Oligonucleotides | Restriction enzymes |
|---|---|---|
| A55/B | Sense: 5′-gggaagcttatggaaaccaacttct-3′ | HindIII, Eco47III |
| Antisense: 5′-aacagcgcttcatccggaatccagc-3′ | ||
| B/A62–262/B | Sense: 5′-gttagcgctcagtcaccaccatct-3′ | Eco47III, EcoNI |
| Antisense: 5′-aacctcagccagggcaaccagttgaa-3′ | ||
| B/A254 | Sense: 5′-gaacctggctgaggccgtctggctcaag-3′ | EcoNI, XhoI |
| Antisense: 5′-cttctcgagtcacattgcctgtaac-3′ | ||
| B/A299 | Sense: 5′-gtgcgccggcggctttgtgggccaagactt-3′ | SgrAI, XhoI |
| Antisense: 5′-cttctcgagtcacattgcctgtaac-3′ |
See Materials and Methods for details.
Cell Culture and Transfection.
Human embryonic kidney (HEK) 293 and Chinese hamster ovary (CHO) cells (American Type Culture Collection) were cultured in DMEM and HAM F-12 medium (BioWhittaker), respectively, supplemented with 10% fetal bovine serum. Cells were transfected with plasmid DNA (5 μg) using SuperFect reagent (Qiagen). After 48 h, cells were placed in DMEM or HAM F-12 with 0.4 mg/ml Geneticin (GIBCO BRL) to select cells expressing transfected receptors. CHO cells expressing ALXR and Gqo chimera were a gift from Berlex Biosciences (Richmond, CA).
Preparation of [11,12-3H]-LXA4.
[11,12-3H]-LXA4-methyl ester was prepared in collaboration with Schering AG (Berlin, Germany) using acetylenic-LXA4-methyl ester precursor (prepared with Dr. Nicos A. Petasis, Department of Chemistry, University of Southern California, Los Angeles, CA) essentially as reported 22 and was a gift from Dr. H.D. Perez at Berlex Biosciences (Richmond, CA). [11,12-3H]-LXA4-methyl ester was purified in this laboratory using a Hewlett Packard 1100 Series diode array detector (DAD) equipped with a binary pump and eluted on a Beckman Ultrasphere C18 column (250 × 4.5 mm, 5 μm) using a mobile phase composed of methanol/water/acetate (60:39.99:0.01, vol/vol/vol; flow rate 1.0 ml/min) as phase 1 (0–15 min), a linear gradient (0–30%) with methanol/acetate (99.99:0.01, vol/vol) as phase 2 (15–55 min), and a linear gradient (30–100%) of methanol/acetate (99.99:0.01, vol/vol) as phase 3 (55–60 min). To minimize chemical degradation of [11,12-3H]-LXA4-methyl ester after HPLC chromatography, the mobile phase was removed under a stream of N2, suspended in ethanol, and used immediately for binding experiments.
Ligand Binding Assay.
3H-LXA4 and 3H-LTB4 binding was performed with freshly isolated human PMNs or HEK293 cells transfected with ALXR, BLT, or BLT-ALXR chimeras. Cells were suspended in Dulbecco's PBS with CaCl2 and MgCl2 (DPBS++). Aliquots (0.5 × 106/ml HEK293 or 5 × 106/ml PMNs) were incubated with 1 nM of [11,12-3H]-LXA4 (∼60,000 cpm, specific activity ∼10 Ci/mmol) or [5,6,8,9,11,12, 14,15-3H]-LTB4 (∼20,000 cpm, specific activity ∼200 Ci/mmol; New England Nuclear) in the absence or presence of increasing concentrations of homoligands or other compounds for 30 min at 4°C. The bound and unbound radioligands were separated by filtration through Whatman GF/C glass microfiber filters (Fisher Scientific). Filters were washed three times with 5 ml of ice-cold washing buffer (10 mM Tris-HCl, pH 7.6). The radioactivity retained on the filter was determined using a scintillation counter (Beckman). Nonspecific binding was determined in the presence of 100 nM of unlabeled homoligands.
Functional Assays.
Chemotaxis was performed using a microchamber technique 23. In brief, chemoattractant or vehicle (RPMI for PMNs and HAM F-12 for CHO cells containing 0.1% ethanol) was added to the lower wells of a 48-well chemotaxis chamber (Neuro Probe). For CHO cells, a polycarbonate membrane with 8-μm-diameter pores (Poretics Corp.) was coated with fibronectin (10 μg/ml; GIBCO BRL) for 10 min at 37°C and then layered on top of the lower wells. For PMNs, a polycarbonate membrane with 5-μm–diameter pores was used directly without fibronectin coating. Freshly isolated human PMNs or CHO cells were incubated with vehicle or ATLa1 (10 nM) for 30 min at 37°C and added to the upper wells of the chemotaxis chamber (5 × 104/well). After incubation for 60 min (for PMNs) or 4 h (for CHO cells) at 37°C, polycarbonate membrane was removed, and cells were scraped from the upper surface and stained with a Diff-Quik staining kit (Dade Behring). Cells that had migrated though the membrane were enumerated by light microscopy. The migration index was calculated as the mean number of cells that migrated toward medium containing chemoattractant solution divided by the mean number of cells that migrated toward the medium containing vehicle only. In CHO cells, chemotaxis was ranked for the purpose of direct comparison using FMLP (10 nM), which evoked chemotaxis of CHO cells expressing FPR as 100% chemotaxis.
Changes in PMN extracellular acidification were evaluated using a Cytosensor® microphysiometer (Molecular Devices) and computer workstation 24, and murine air pouch leukocyte traffic was performed as described 14.
Statistical Analysis.
Results were expressed as the mean ± SEM, and Student's t test was performed with P < 0.05 taken as statistically significant.
Results and Discussion
Results in Fig. 2 demonstrate that the mitochondria peptide fragment MYFINILTL (structures shown in Fig. 1) derived from NADH dehydrogenase subunit 1 (ND1) directly stimulated PMN chemotaxis. This peptide binds to MHC class Ib molecule H2-M3 in formylated as well as nonformylated forms 25, and thus is denoted as MHC binding peptide. It is of interest because mitochondria-derived peptides, including ND1 peptides, are held to be liberated from mitochondria and may play a role in accumulation of phagocytic cells during tissue and cell lysis that can accompany bacterial infection and/or ischemia–reperfusion injury 26. This peptide gave a chemotaxis response at concentrations as low as 1 nM (Fig. 2 A). The metabolically stable analogue of LXA4 and ATL (15(R/S)-methyl-LXA4 [ATLa1], structure shown in Fig. 1), which resists rapid enzyme inactivation 27 at equimolar concentration to the peptide, dramatically inhibited the MHC peptide–stimulated chemotaxis by ∼85% (Fig. 2 B). This lipoxin analogue has structural properties of both LXA4 and ATL, and alone at 10 nM did not induce chemotaxis (Fig. 2 A).
Figure 2.

ATLa inhibits PMN chemotaxis induced by MHC binding peptide and surrogate MMK-1 peptide. (A) Freshly isolated human PMNs were added to the upper compartment of a microchamber (5 × 104/well). Chemotaxis was initiated by addition of MHC binding peptide (▪), MMK-1 (•), or ATLa1 (○). (B) PMNs were incubated with vehicle or ATLa1 (10 nM) for 30 min at 37°C and added to the upper compartment of a microchamber (5 × 104/well). Chemotaxis was initiated by addition of MHC peptide (black bar) or MMK-1 (gray bar) (1 nM) to the lower compartment. Data represent the mean ± SEM from three separate healthy donors.
We also tested the synthetic surrogate peptide MMK-1 (LESIFRSLLFRVM, structure shown in Fig. 1) that was recently reported to mobilize Ca2+ via ALXR (previously named FPRL-1; reference 28). This peptide also stimulated PMN chemotaxis that peaked at 10 nM (Fig. 2 A) and was inhibited by ATLa1 (∼78%, Fig. 2 B). Both the MHC binding peptide and MMK-1 peptide activated PMNs as monitored by microphysiometry, evoking a response consistent with receptor-initiated increases in extracellular acidification rates (Fig. 3, inset). Each peptide gave distinct profiles. The lipid ATL stable analogue 15-epi-16-(para-fluoro)-phenoxy-LXA4 (ATLa2, structure shown in Fig. 1) did not increase the extracellular acidification rates of PMNs but clearly blocked both MHC binding peptide– and MMK-1–enhanced responses (Fig. 3). Hence, both peptides evoke PMN responses that were blocked by ATL.
Figure 3.

ATLa inhibits MHC binding peptide– and surrogate MMK-1 peptide–induced extracellular acidification in human PMNs. Human PMNs (∼2 × 105/chamber) were embedded in agar and placed in a microphysiometer. Extracellular acidification rate was normalized to base line at t = 0. PMNs were perfused with 1 μM of MHC binding peptide (black bar) or MMK-1 (gray bar) in the presence or absence of ATLa2 (1 μM). Data are expressed as percent inhibition of extracellular acidification rate by ATL (percent change of extracellular acidification rate in the absence of ATL is considered as 100%). Data represent n = 3. Inset, Data represent on-line microphysiometer tracings. Challenge of PMNs with ATLa2 (○), MHC binding peptide (▾), or MMK-1 (•) is indicated by an arrow. Data are expressed as percent change of extracellular acidification rate from n = 3.
To examine whether the MHC binding peptide shares recognition sites with LXA4 and ATL on PMNs, 3H-LXA4 was prepared (22; see Materials and Methods) for direct ligand binding and competition. Of interest, MHC binding peptide and MMK-1 directly competed with 3H-LXA4 (IC50 < 10−9 M) (see below) but not 3H-LTB4 binding on human PMNs (data not shown). To examine the direct binding of this peptide with PMNs, an 125I-labeled MHC binding peptide was prepared by iodination at the Tyr residue. However, the 125I-labeled peptide did not promote PMN chemotaxis, nor did it show specific binding (n = 3, data not shown), suggesting that the iodination altered MHC binding peptide recognition on PMNs. Together, these findings suggest that LXA4/ATL and these peptides share common recognition sites on PMNs, yet the peptides evoke PMN responses distinct from those observed with the lipid ligands.
ATL analogues are potent inhibitors of TNF-α–initiated PMN infiltration into murine dorsal air pouch when administrated either by topical intra–air pouch or systemic intravenous delivery 14. In this model, administration of murine TNF-α induces a time-dependent increase in the levels of macrophage inflammatory protein 1α, macrophage inflammatory protein 2, and JE (the human homologue of macrophage chemotaxis protein 1) in the pouch exudate 29. The steady state mRNA levels of these chemokines are also increased in exudate cells as well as in the tissue that lines the air pouch. Hence, the initial phase of exudate formation and leukocyte infiltration in this model 29 appears to be predominantly chemokine driven. To test whether the synthetic peptide MMK-1 shares this inhibitory property, it was evaluated for its ability to impact exudate formation and leukocyte trafficking in the murine air pouches and directly compared with the action of LX. When injected locally into the air pouch, the lipid mediator analogue ATLa1 (10 μg/pouch) profoundly inhibited PMN trafficking into these sites (∼50%, P = 0.03; Fig. 4 A). In sharp contrast, the MMK-1 peptide at equal amounts (10 μg/pouch) did not give a statistically significant inhibition (Fig. 4 A) and, moreover, neither the synthetic peptide (MMK-1) (Fig. 4 A) nor lipid-derived mediator 16 given alone at 10 μg per pouch stimulated PMN infiltration. At much higher concentrations (e.g., 100 μg/pouch), we noted that MMK-1 gave statistically significant PMN infiltration (Fig. 4 B, P = 0.04). Together, these findings indicate that ATL and MMK-1, although sharing common recognition sites on PMNs, each displayed distinct actions for controlling PMN trafficking in vivo.
Figure 4.

Surrogate peptide MMK-1 and ATLa1 display distinct actions in vivo. 6-d murine dorsal air pouches were raised and injected locally with (A) TNF-α (20 ng) plus MMK-1 or ATLa1, or TNF-α alone; or (B) MMK-1 alone. After 4 h, pouches were lavaged and leukocytes were enumerated. Data represent the mean ± SEM from n = 3 (*P = 0.04, **P = 0.03).
To address the question of whether ATL as well as synthetic peptides directly bind to recombinant ALXR, we examined their ability to compete for specific 3H-LXA4 or 3H-LTB4 binding in HEK293 cells stably expressing either human ALXR or human BLT 4 15. Bioavailable stable analogues of the lipid mediators LXA4 and ATL (e.g., ATLa1 and ATLa2) that exhibit potent anti-PMN actions in vivo 7 competed for specific binding of 3H-LXA4 in ALXR-transfected HEK293 cells (Fig. 5 A), with IC50 ∼ 10−11 to 10−10 M, which exceed by >1,000-fold that of a structurally related but biologically inactive isomer, 15-deoxy-LXA4. The absence of a carbon-15 alcohol in LXA4 and ATL results in essentially a biologically inactive product (see reference 27) (IC50 ∼ 10−7 M). These findings indicate that the 15-hydroxyl group of LXA4 is important for receptor recognition (Fig. 5 A).
Figure 5.


LXs and peptides specifically compete for 3H-LXA4 on HEK293 cells. ALXR-transfected HEK293 cells (5 × 106/ml) were incubated with 3H-LXA4 for 30 min at 4°C in the presence of an increasing concentration of unlabeled LXA4 (▪) or (A) ATLa1 (♦), ATLa2 (•), 15-deoxy-LXA4 (⋄), (B) MMK-1 (▵), MHC binding peptide (○), or SAA (♦). Bound and unbound radioligands were separated by filtration and specific binding was determined. Data represent the mean ± SEM from duplicates of n = 3.
Of interest, both the MHC binding peptide and MMK-1 competed for specific binding of 3H-LXA4 at a level comparable to the inhibitory lipid ligands (IC50 ∼ 10−11 M). These results with MHC binding peptide and MMK-1 demonstrate the direct interaction of these selective peptides with ALXR (Fig. 5 B). For purposes of direct comparison, serum amyloid protein A (SAA), a proteolytic product of the acute phase response 30, which was recently shown to stimulate Ca2+ mobilization and migration of HEK293 cells expressing ALXR/FPRL-1 31, also displaced specific 3H-LXA4 binding. However, SAA required a higher amount to achieve significant competition, with an IC50 of 10−8 to 10−7 M (Fig. 5 B). These peptide ligands were selective for ALXR, as peptides of random sequence did not compete for 3H-LXA4 binding with ALXR (data not shown). Along these lines, the bacterial chemotactic surrogate peptide FMLP did not show displacement of 3H-LXA4 binding with ALXR expressed in CHO cells at levels <1 μM 18. Neither LXA4 nor these peptides competed for 3H-LTB4 specific binding to BLT, a related G protein–coupled receptor 4, with BLT-transfected HEK293 cells (data not shown). Taken together, these findings provide the first direct evidence that ATLa as well as both the MHC binding peptide and MMK-1 specifically interact with recombinant ALXR.
Because both MMK-1 peptide and ATL competed at the same receptor, it was of interest to determine whether they could evoke cellular responses via recombinant ALXR. To this end, we examined chemotaxis in CHO cells expressing ALXR together with Gqo chimera. MMK-1 at 1 nM gave a clear chemotaxis response when compared directly to chemotaxis stimulated by another peptide, FMLP, with CHO cells expressing its cognate receptor, the FPR (Fig. 6). FMLP stimulates CHO cell chemotaxis with FPR 32 and was used here for the purpose of direct comparison. FMLP did not stimulate chemotaxis with ALXR (not shown). ATLa1 at higher concentrations evoked chemotaxis with ALXR (84% at 100 nM). In CHO cells, ATLa-stimulated chemotaxis is likely the result of different intracellular signaling events that follow ALXR activation by ATLa in CHO cells versus PMNs. In this context, it is of interest to point out that the same ligand–receptor interaction (i.e., ALXR) in human monocytes stimulates chemotaxis 33, as PMN responses are inhibited. In the present experiments, ATLa1 at 10 nM did not evoke significant chemotaxis (data not shown) but clearly diminished MMK-1–stimulated chemotaxis (>80%) with CHO-ALXR cells (Fig. 6, P < 0.01). This inhibition proved to be ALXR dependent, and together these results indicated that both MMK-1 and ATLa1 can activate the same recombinant ALXR expressed in CHO cells.
Figure 6.
ATLa1 as well as surrogate MMK-1 peptide evoke chemotaxis via ALXR. CHO-FPR or CHO-Gqo-ALXR cells were pretreated with vehicle alone (white, hatched, and black bars, respectively) or ATLa1 (10 nM, gray bar) for 30 min at 37°C and added to the upper compartment of a microchamber (5 × 104/well). Chemotaxis was initiated by addition of FMLP (10 nM, white bar), ATLa1 (100 nM, hatched bar), or MMK-1 (1 nM, black and gray bars) to the lower compartment. Data were expressed as percent chemotaxis above vehicle control. FMLP-evoked chemotaxis in CHO-FPR is considered as 100%. Data represent the mean ± SEM from n = 3 (*P < 0.01).
Many G protein–coupled receptors contain N-glycosylation sites, and these sites are also present in ALXR at the NH2 terminus (Asn-4) and second extracellular loop (Asn-179) 17. Carbohydrate moieties of glycoprotein are important for processes such as intracellular trafficking and surface expression. Both bacterial (Listeria monocytogenes) and viral (retrovirus, herpes simplex virus) infection interfere with normal N-glycosylation of the host cells 34 35 36. Therefore, it was of interest to access the contribution of N-glycosylation of ALXR to ligand class recognition. Results in Fig. 7 demonstrate that deglycosylation of ALXR with N-glycosidase F (from Flavobacterium meningosepticum) treatment of ALXR-transfected HEK293 cells did not dramatically alter LXA4 recognition, as LXA4 competed for 3H-LXA4 binding with deglycosylated ALXR at a level (IC50 ∼ 10−11 M) comparable to that for native ALXR. In contrast, both MHC binding peptide and MMK-1 peptides displayed an ∼3 log order lower affinity (IC50 ∼ 10−8 M) for the deglycosylated form of ALXR compared with the native ALXR (see Fig. 5 B and Fig. 7). These results indicate that N-glycosylation of ALXR is a key component for peptide but not LXA4 recognition. It is likely that the presence of carbohydrates on this receptor favors the thermodynamics and flexibility that enable recognition of these specific peptides. Taken together, it is possible to envision that the N-glycosylation state of the ALXR can determine ligand binding in vivo and thus can potentially regulate functional responses of leukocytes during microbial challenge or cell injury and contribute to inflammation resolution.
Figure 7.
Deglycosylation of human ALXR attenuates ligand recognition for peptides but not LXA4. Human ALXR-transfected HEK293 cells (5 × 105/ml) were pretreated with glycosidase F (1 U/ml) for 24 h at 37°C and then incubated with 3H-LXA4 for 30 min at 4°C in the presence of an increasing concentration of unlabeled LXA4 (▪), MMK-1 (▵), or MHC binding peptide (○). Bound and unbound radioligands were separated by filtration and specific binding was determined. Data represent the mean ± SEM from n = 3.
To evaluate the contributions of the major domains of ALXR in interacting with either lipid mediators or peptide ligands, chimeric receptors were constructed with human ALXR and the recently cloned human BLT 4. ALXR and BLT were selected for these chimeric constructs because leukotriene B4 is a potent chemoattractant 3, a “go” signal, and LXA4 is an endogenous “stop” signal 7 that inhibits neutrophil chemotaxis, each by their interaction with their specific responsive G protein–coupled receptors. Four chimeric constructs with major domain exchange were prepared (see Table ). The expression levels of these chimeras were similar to those of wild-type receptors as determined by reverse transcription PCR (data not shown). One chimeric receptor, denoted B/A299, with COOH terminus of BLT replaced by the corresponding region of ALXR, demonstrated threefold increase (B max ∼ 30,000 sites/cell) of specific 3H-LTB4 binding compared with wild-type BLT (B max ∼ 9,600 sites/cell; cloned in this laboratory using published DNA sequences [4]). Of interest, this chimera gave a 60% decrease in extracellular acidification rate responses compared with wild-type BLT (n = 3), suggesting that the COOH terminus of BLT is important for BLT signaling. In addition, the chimera denoted B/A254 displayed specific binding with 3H-LXA4 with an affinity comparable to that for wild-type ALXR (IC50 ∼ 10−11 M; Fig. 8B and Fig. c). This chimera B/A254, encompassing the third extracellular loop, seventh transmembrane domain, and COOH terminus of BLT that were replaced by the corresponding regions of ALXR (see sequences in Fig. 8 A and illustration in Fig. 8 B, inset), failed to specifically bind to 3H-LTB4. Of interest, B/A254 showed decreased affinity to both MHC binding peptide and MMK-1 (IC50 ∼ 10−9 M; Fig. 8 C). Taken together, these results indicate that the third extracellular loop as well as the seventh transmembrane domain are essential for ligand–receptor interaction for ALXR and BLT.
Table 2.
Ligand Binding Properties of Recombinant ALXR, BLTR, and Chimeric Receptors
ALXR (bold)/BLTR (regular) chimeras were constructed and ligand binding assay was carried out as described in Materials and Methods. Nonspecific binding was determined in the presence of 100 nM of unlabeled homoligand. NSB, no specific binding with 1 nM of radioligands (e.g., 3H-LXA4 or 3H-LTB4).
Figure 8.

The seventh transmembrane segment and third extracellular loop of human ALXR are essential for LXA4 and peptide recognition: BLT/ALXR chimeras. (A) Sequences of human ALXR (bold type), BLT (regular type), and B/A254 chimera at sixth transmembrane, third extracellular loop, and seventh transmembrane. Inset shows e1–e3, representing the putative extracellular loops; TMI–VII, the transmembrane segments;and i1–i3, intracellular loops for ALXR (bold line) or BLT (regular line). (B) ALXR-, BLT-, or B/A254-transfected HEK293 cells (5 × 105/ml) were incubated with 3H-LXA4 (1 nM, black bar) or 3H-LTB4 (1 nM, white bar) in the absence or presence of 100 nM of unlabeled homoligand. (C) B/A254-transfected HEK293 cells were incubated with 3H-LXA4 (1 nM) in the presence of an increasing concentration of unlabeled LXA4 (▪), MMK-1 (▵), or MHC binding peptide (○) for 30 min at 4°C. Bound and unbound radioligands were separated by filtration and specific binding was determined. Data represent the mean ± SEM from n = 3.
ALXR shares ∼70% homology in deduced amino acid sequences with FPR 5 17 and ∼30% homology to the BLT (see reference 4). The murine ALXR was identified and cloned from the stimulated IL-2+ NFS strain 13. However, this receptor only binds 3H-FMLP with low affinity (K d ∼ 5 μM) and is selective for 3H-LXA4 by >3 log orders of magnitude 18 19. In addition, FMLP did not compete for 3H-LXA4 binding with ALXR unless 1–100 μM was used 18. The first extracellular loop and its adjacent transmembrane domains of N-formyl peptide receptors were found to be essential for high affinity FMLP binding as demonstrated by site-directed mutagenesis 37 as well as FPR-ALXR chimeric receptors 38. For G protein–coupled receptors of lipid mediators such as cyclooxygenase products prostaglandin E2 and thromboxane A2, the seventh transmembrane domain of their respective receptors is important for ligand–receptor interactions 39. In view of these results, together with our findings, it is likely that certain natural peptides and endogenous lipid ligands can share a common receptor, exemplified here by results with the ligand requirements for interacting with the receptor that were different for lipid versus peptide ligand recognition.
Recently, SAA was reported to stimulate ALXR-dependent responses in vitro, but required high concentration (i.e., micromolar) to evoke responses 31. Compared with LXs, which act at <10−9 M 13 17 18, the structural features that underlie the mimicry are of interest since their IC50 are much higher than the peptides or ATL/LX. 125I-SAA displayed specific binding on monocytes and HEK293 cells, expressing ALXR with apparent K d of 45 and 64 nM, respectively 31. These values, by comparison, are 1–2 log orders of magnitude higher than those obtained with human PMNs or CHO cells expressing ALXR, which gave high affinity binding for 3H-LXA4 with K d at 0.5 and 1.7 nM, respectively (see references 13, 17, 18, and 40). These values for LXA4 are consistent with those obtained in the present experiments with HEK293 cells stably expressing human ALXR (Fig. 5).
Of interest, SAA levels in peripheral blood are increased as much as 1,000-fold during inflammatory disorders 30, and SAA, given its hydrophobicity, associates with high density lipoproteins when levels exceed 1,000-fold basal values 41. Unlike lipid mediator autacoids such as LXA4 that are rapidly (seconds to minutes) generated within local sites of inflammation and act within these microenvironments 7, SAA is biosynthesized predominantly in hepatocytes and is released to peripheral blood where its levels slowly elevate and persist for hours to days during an inflammatory response. However, its function during the acute phase and in inflammation remains to be determined 30. In this regard, it is of interest that SAA inhibits the oxidative burst response with N-formyl peptide–stimulated PMNs 42, suggesting that SAA can, like LX and ATL 7, counteract PMN responses to cytokines or bacterial products 7 14 16 42. Thus, the relevance in vivo of SAA in controlling PMN responses via interactions with ALXR remains to be established.
The F-peptide representing the V4–C4 region of HIV-1 envelop protein gp120 is also reported to activate ALXR-expressing HEK293 cells as monitored by the agonist promoting Ca2+ mobilization and chemotaxis. However, there too the HIV-1 F-peptide only gives apparent EC50 values in the micromolar range, yet subsequently downregulates expression and function of CC chemokine receptor 5 (CCR5) and CXC chemokine receptor 4 (CXCR4) in monocytes 43. In this regard, the actions of LXA4 interaction at this receptor are directly opposite when monocytes and PMNs are exposed to these ligands in vitro 7 27 33 and in vivo 16 and require much lower concentrations for recognition and activation. LXA4 and its analogues stimulate monocyte adherence via ALXR at <1 nM (EC50 for analogues ∼ 8 × 10−11 M, EC50 for LXA4 ∼ 8 × 10−10 M) 33 and inhibit PMN transmigration and adhesion at levels as low as 10−10 M 27 by evoking cell type–specific intracellular signaling responses. It is noteworthy that LX and ATL analogue activation of ALXR does not appear to involve either cAMP (not shown) or the mobilization of appreciable levels of intracellular Ca2+ in either monocytes or neutrophils to mount functional responses 27 33. On the other hand, MMK-1 stimulates intracellular Ca2+ mobilization 28 and increases extracellular acidification rates in a receptor-dependent fashion (Fig. 3). Although intracellular Ca2+ mobilization accompanies many leukocyte responses 1 2, its role in chemotaxis remains controversial in human peripheral blood neutrophils and monocytes 44.
Since LXs activate monocytes and inhibit PMNs (in both murine and human cells; references 16, 33), it is likely that LXs are mediators of resolution 45 where it is well appreciated that monocyte recruitment plays a pivotal role in wound healing 1. Hence, our results here emphasize the importance of both temporal and local ligand-initiated signal transduction. In this context, with PMNs, ALXR interaction with LX and ATL analogues regulates a newly described polyisoprenyl phosphate signaling pathway. ALXR activation reverses leukotriene B4–initiated polyisoprenyl phosphate remodeling, leading to accumulation of presqualene diphosphate, a potent negative intracellular signal in PMNs that inhibits recombinant phospholipase D and superoxide anion generation 46. The complete intracellular signal transduction pathways initiated after ALXR interaction with ATL and LX are the subject of ongoing efforts, and the novel chimeric receptors reported here open new avenues to examine intracellular signals that are directly dependent on peptide versus lipid ligands.
Our results demonstrate for the first time via direct evidence that bioactive lipids as well as certain selective small peptides/proteins can each serve as ligands at the same G protein–coupled receptor, namely ALXR, but clearly act with different affinity and/or distinct interaction sites within the ALXR. It appears likely that the G protein interactions evoked by ligand–receptor binding and their intracellular amplification mechanisms are different for peptide versus lipid ligands of ALXR, and hence they can dictate different functional response in vivo. Also, these results provide new evidence for the diversity of host recognition by PMNs and place these ligand-initiated responses as a “when and where” activity of PMNs or monocytes in acute defense and wound healing (see reference 45). However, our data clearly indicating that ALXR is responsible for LXA4's regulatory actions in leukocytes do not preclude the involvement of additional plasma membrane receptors and/or intracellular targets in LXA4 signal transduction. In addition to specific binding to membrane surface receptors, we found that specific binding of labeled LXA4 was associated with subcellular fractions including granules and nucleus 40. Along these lines, it was recently reported that LXA4 binds to and activates the aryl hydrocarbon receptor, a ligand-activated transcription factor, in a murine hepatoma cell line 47. It is of interest in view of the present results that aryl hydrocarbon receptor–deficient mice showed decreased accumulation of lymphocytes in the spleen and lymph nodes, suggesting an important role for aryl hydrocarbon receptor in the immune system 48.
In summary, we identified the first endogenous non-LX ligand for ALXR, namely MHC binding peptide, and show that both the MHC binding peptide and surrogate peptide MMK-1 evoked potential proinflammatory signals, whereas the endogenous lipid LXA4 gave antiinflammatory signals in vivo, yet they interact via the same G protein–coupled receptor in vitro. LXA4, ATL, and these peptides required different structural domains within the receptor. In addition, N-glycosylations of ALXR may play a role in switching receptor functions at local host defense sites (e.g., between pro- and antiinflammatory or “stop/go”), since N-glycosylation governs peptide but not lipid recognition. Together, these findings indicate a high regioselective array for ligand recognition by ALXR (i.e., demonstrated for both peptide and lipid ligands) and provide evidence for a novel role for the ALXR in modulating innate immunity, clearance, and/or resolution, and in preventing PMN-mediated tissue injury.
Acknowledgments
We thank Mary Halm Small for assistance in manuscript preparation.
N. Chiang is the 1998 recipient of the McDuffie Postdoctoral Fellowship Award from the Arthritis Foundation, and K. Gronert is a recipient of a National Research Service Award from the National Institutes of Health. I.M. Fierro is on leave from the Universidade do Estado do Rio de Janeiro, Rio de Janeiro, Brazil, and a recipient of a fellowship from the Fundação Coordenação de Aperfeiçoamento de Pessoal de Nivel Superior (CAPES). This work was supported in part by grants GM38765 and DK50305 (to C.N. Serhan) from the National Institutes of Health.
Footnotes
International Union of Pharmacologic Sciences (IUPHAR) Nomenclature Committee, Dahlén et al. Receptor Compendium: Leukotriene Receptors, Stockholm, Sweden, November 1999.
Abbreviations used in this paper: ALXR, lipoxin A4 receptor; ATL, aspirin-triggered 15-epi-LXA4; ATLa, ATL analogue(s) [ATLa1: 15(R/S)-methyl-LXA4 methyl ester; ATLa2: 15-epi-16-(para-fluoro)-phenoxy-LXA4 methyl ester]; BLT, leukotriene B4 receptor; CHO, Chinese hamster ovary; FPR, N-formyl peptide receptor; HEK, human embryonic kidney; LX, lipoxin; LXA4, 5(S),6(R),15(S)-trihydroxy-7,9,13-trans-11-cis eicosatetraenoic acid; SAA, serum amyloid protein A.
References
- Cotran R.S. Inflammationhistorical perspectives. In: Gallin J.I., Snyderman R., Fearon D.T., Haynes B.F., Nathan C., editors. InflammationBasic Principles and Clinical Correlates. 3rd ed. Lippincott Williams & Wilkins; Philadelphia: 1999. pp. 5–10. [Google Scholar]
- Weissmann G., Smolen J.E., Korchak H.M. Release of inflammatory mediators from stimulated neutrophils. N. Engl. J. Med. 1980;303:27–34. doi: 10.1056/NEJM198007033030109. [DOI] [PubMed] [Google Scholar]
- Samuelsson B. From studies of biochemical mechanisms to novel biological mediatorsprostaglandin endoperoxides, thromboxanes and leukotrienes. In: Frängsmyr T., editor. Les Prix NobelNobel Prizes, Presentations, Biographies and Lectures. Almqvist & Wiksell; Stockholm: 1982. pp. 153–174. [Google Scholar]
- Yokomizo T., Izumi T., Chang K., Takuwa Y., Shimizu T. A G-protein-coupled receptor for leukotriene B4 that mediates chemotaxis. Nature. 1997;387:620–624. doi: 10.1038/42506. [DOI] [PubMed] [Google Scholar]
- Perez H.D. Chemoattractant receptors. Curr. Opin. Hematol. 1994;1:40–44. [PubMed] [Google Scholar]
- Pillinger M.H., Abramson S.B. The neutrophil in rheumatoid arthritis. Rheum. Dis. Clin. North Am. 1995;21:691–714. [PubMed] [Google Scholar]
- Serhan C.N., Haeggstrom J.Z., Leslie C.C. Lipid mediator networks in cell signalingupdate and impact of cytokines. FASEB J. 1996;10:1147–1158. doi: 10.1096/fasebj.10.10.8751717. [DOI] [PubMed] [Google Scholar]
- Diamond P., McGinty A., Sugrue D., Brady H.R., Godson C. Regulation of leukocyte trafficking by lipoxins. Clin. Chem. Lab. Med. 1999;37:293–297. doi: 10.1515/CCLM.1999.051. [DOI] [PubMed] [Google Scholar]
- Node K., Huo Y., Ruan X., Yang B., Spiecker M., Ley K., Zeldin D.C., Liao J.K. Anti-inflammatory properties of cytochrome P450 epoxygenase-derived eicosanoids. Science. 1999;285:1276–1279. doi: 10.1126/science.285.5431.1276. [DOI] [PMC free article] [PubMed] [Google Scholar]
- Munger K.A., Montero A., Fukunaga M., Uda S., Yura T., Imai E., Kaneda Y., Valdivielso J.M., Badr K.F. Transfection of rat kidney with human 15-lipoxygenase suppresses inflammation and preserves function in experimental glomerulonephritis. Proc. Natl. Acad. Sci. USA. 1999;96:13375–13380. doi: 10.1073/pnas.96.23.13375. [DOI] [PMC free article] [PubMed] [Google Scholar]
- Weissmann G. Aspirin. Sci. Am. 1991;264:84–90. doi: 10.1038/scientificamerican0191-84. [DOI] [PubMed] [Google Scholar]
- Marcus A.J. Aspirin as prophylaxis against colorectal cancer. N. Eng. J. Med. 1995;333:656–658. doi: 10.1056/NEJM199509073331011. [DOI] [PubMed] [Google Scholar]
- Takano T., Fiore S., Maddox J.F., Brady H.R., Petasis N.A., Serhan C.N. Aspirin-triggered 15-epi-lipoxin A4 (LXA4) and LXA4 stable analogs are potent inhibitors of acute inflammationevidence for anti-inflammatory receptors. J. Exp. Med. 1997;185:1693–1704. doi: 10.1084/jem.185.9.1693. [DOI] [PMC free article] [PubMed] [Google Scholar]
- Clish C.B., O'Brien J.A., Gronert K., Stahl G.L., Petasis N.A., Serhan C.N. Local and systemic delivery of a stable aspirin-triggered lipoxin prevents neutrophil recruitment in vivo . Proc. Natl. Acad. Sci. USA. 1999;96:8247–8252. doi: 10.1073/pnas.96.14.8247. [DOI] [PMC free article] [PubMed] [Google Scholar]
- Chiang N., Gronert K., Clish C.B., O'Brien J.A., Freeman M.W., Serhan C.N. Leukotriene B4 receptor transgenic mice reveal novel protective roles for lipoxins and aspirin-triggered lipoxins in reperfusion. J. Clin. Invest. 1999;104:309–316. doi: 10.1172/JCI7016. [DOI] [PMC free article] [PubMed] [Google Scholar]
- Hachicha M., Pouliot M., Petasis N.A., Serhan C.N. Lipoxin (LX) A4 and aspirin-triggered 15-epi-LXA4 inhibit tumor necrosis factor α–initiated neutrophil responses and traffickingregulators of a cytokine–chemokine axis. J. Exp. Med. 1999;189:1923–1929. doi: 10.1084/jem.189.12.1923. [DOI] [PMC free article] [PubMed] [Google Scholar]
- Fiore S., Maddox J.F., Perez H.D., Serhan C.N. Identification of a human cDNA encoding a functional high affinity lipoxin A4 receptor. J. Exp. Med. 1994;180:253–260. doi: 10.1084/jem.180.1.253. [DOI] [PMC free article] [PubMed] [Google Scholar]
- Fiore S., Serhan C.N. Lipoxin A4 receptor activation is distinct from that of the formyl peptide receptor in myeloid cellsinhibition of CD11/18 expression by lipoxin A4-lipoxin A4 receptor interaction. Biochemistry. 1995;34:16678–16686. doi: 10.1021/bi00051a016. [DOI] [PubMed] [Google Scholar]
- Quehenberger O., Prossnitz E.R., Cavanagh S.L., Cochrane C.G., Ye R.D. Multiple domains of the N-formyl peptide receptor are required for high-affinity ligand binding. Construction and analysis of chimeric N-formyl peptide receptors. J. Biol. Chem. 1993;268:18167–18175. [PubMed] [Google Scholar]
- Castano A.R., Tangri S., Miller J.E., Holcombe H.R., Jackson M.R., Huse W.D., Kronenberg M., Peterson P.A. Peptide binding and presentation by mouse CD1. Science. 1995;269:223–226. doi: 10.1126/science.7542403. [DOI] [PubMed] [Google Scholar]
- Beckman E.M., Porcelli S.A., Morita C.T., Behar S.M., Furlong S.T., Brenner M.B. Recognition of a lipid antigen by CD1-restricted αβ+ T cells. Nature. 1994;372:691–694. doi: 10.1038/372691a0. [DOI] [PubMed] [Google Scholar]
- Brezinski D.A., Serhan C.N. Characterization of lipoxins by combined gas chromatography and electron-capture negative ion chemical ionization mass spectrometryformation of lipoxin A4 by stimulated human whole blood. Biol. Mass Spectrom. 1991;20:45–52. doi: 10.1002/bms.1200200202. [DOI] [PubMed] [Google Scholar]
- Falk W., Goodwin R.H., Leonard E. A 48-well microchemotaxis assembly for rapid and accurate measurement of leukocyte migration. J. Immunol. Methods. 1980;33:239–247. doi: 10.1016/0022-1759(80)90211-2. [DOI] [PubMed] [Google Scholar]
- Gronert K., Colgan S.P., Serhan C.N. Characterization of human neutrophil and endothelial cell ligand-operated extracellular acidification rate by microphysiometryimpact of reoxygenation. J. Pharmacol. Exp. Ther. 1998;285:252–261. [PubMed] [Google Scholar]
- Wang C.R., Castano A.R., Peterson P.A., Slaughter C., Lindahl K.F., Deisenhofer J. Nonclassical binding of formylated peptide in crystal structure of the MHC class Ib molecule H2-M3. Cell. 1995;82:655–664. doi: 10.1016/0092-8674(95)90037-3. [DOI] [PubMed] [Google Scholar]
- Shawar S.M., Rich R.R., Becker E.L. Peptides from the amino-terminus of mouse mitochondrially encoded NADH dehydrogenase subunit 1 are potent chemoattractants. Biochem. Biophys. Res. Commun. 1995;211:812–818. doi: 10.1006/bbrc.1995.1884. [DOI] [PubMed] [Google Scholar]
- Serhan C.N., Maddox J.F., Petasis N.A., Akritopoulou-Zanze I., Papayianni A., Brady H.R., Colgan S.P., Madara J.L. Design of lipoxin A4 stable analogs that block transmigration and adhesion of human neutrophils. Biochemistry. 1995;34:14609–14615. doi: 10.1021/bi00044a041. [DOI] [PubMed] [Google Scholar]
- Klein C., Paul J.I., Sauve K., Schmidt M.M., Arcangeli L., Ransom J., Trueheart J., Manfredi J.P., Broach J.R., Murphy A.J. Identification of surrogate agonists for the human FPRL-1 receptor by autocrine selection in yeast. Nat. Biotechnol. 1998;16:1334–1337. doi: 10.1038/4310. [DOI] [PubMed] [Google Scholar]
- Tessier P.A., Naccache P.H., Clark-Lewis I., Gladue R.P., Neote K.S., McColl S.R. Chemokine networks in vivoinvolvement of C-X-C and C-C chemokines in neutrophil extravasation in vivo in response to TNF-α. J. Immunology. 1997;159:3595–3602. [PubMed] [Google Scholar]
- Gabay C., Kushner I. Acute-phase proteins and other systemic responses to inflammation. N. Engl. J. Med. 1999;340:448–454. doi: 10.1056/NEJM199902113400607. [DOI] [PubMed] [Google Scholar]
- Su S.B., Gong W., Gao J.L., Shen W., Murphy P.M., Oppenheim J.J., Wang J.M. A seven-transmembrane, G protein–coupled receptor, FPRL1, mediates the chemotactic activity of serum amyloid A for human phagocytic cells. J. Exp. Med. 1999;189:395–402. doi: 10.1084/jem.189.2.395. [DOI] [PMC free article] [PubMed] [Google Scholar]
- Miettinen H.M., Gripentrog J.M., Jesaitis A.J. Chemotaxis of chinese hamster ovary cells expressing the human neutrophil formyl peptide receptorrole of signal transduction molecules and α5β1 integrin. J. Cell Sci. 1998;111:1921–1928. doi: 10.1242/jcs.111.14.1921. [DOI] [PubMed] [Google Scholar]
- Maddox J.F., Hachicha M., Takano T., Petasis N.A., Fokin V.V., Serhan C.N. Lipoxin A4 stable analogs are potent mimetics that stimulate human monocytes and THP-1 cells via a G-protein-linked lipoxin A4 receptor. J. Biol. Chem. 1997;272:6972–6978. doi: 10.1074/jbc.272.11.6972. [DOI] [PubMed] [Google Scholar]
- Villanueva M.S., Becker C.J., Pamer E.G. Infection with Listeria monocytogenes impairs sialic acid addition to host cell glycoproteins. J. Exp. Med. 1994;180:2137–2145. doi: 10.1084/jem.180.6.2137. [DOI] [PMC free article] [PubMed] [Google Scholar]
- Olofsson S., Khanna B., Lycke E. Altered kinetic properties of sialyl and galactosyl transferases associated with herpes simplex virus infection of GMK and BHK cells. J. Gen. Virol. 1980;47:1–9. doi: 10.1099/0022-1317-47-1-1. [DOI] [PubMed] [Google Scholar]
- Kim J.W., Cunningham J.M. N-linked glycosylation of the receptor for murine ecotropic retroviruses is altered in virus-infected cells. J. Biol. Chem. 1993;268:16316–16320. [PubMed] [Google Scholar]
- Miettinen H.M., Mills J.S., Gripentrog J.M., Dratz E.A., Granger B.L., Jesaitis A.J. The ligand binding site of the formyl peptide receptor maps in the transmembrane region. J. Immunol. 1997;159:4045–4054. [PubMed] [Google Scholar]
- Quehenberger O., Pan Z.K., Prossnitz E.R., Cavanagh S.L., Cochrane C.G., Ye R.D. Identification of an N-formyl peptide receptor ligand binding domain by a gain-of-function approach. Biochem. Biophys. Res. Commun. 1997;238:377–381. doi: 10.1006/bbrc.1997.7298. [DOI] [PubMed] [Google Scholar]
- Tai H.H., Huang C., Chiang N. Structure and function of prostanoid receptors as revealed by site-directed mutagenesis. In: Honn K.V., Marnett L.J., Jones R., Wong P.Y.-K., editors. Eicosanoids and Other Bioactive Lipids in Cancer, Inflammation and Radiation Injury. Plenum Press; New York: 1997. pp. 205–209. [DOI] [PubMed] [Google Scholar]
- Fiore S., Ryeom S.W., Weller P.F., Serhan C.N. Lipoxin recognition sites. Specific binding of labeled lipoxin A4 with human neutrophils. J. Biol. Chem. 1992;267:16168–16176. [PubMed] [Google Scholar]
- Liang J.S., Sipe J.D. Recombinant human serum amyloid A (apoSAAp) binds cholesterol and modulates cholesterol flux. J. Lipid Res. 1995;36:37–46. [PubMed] [Google Scholar]
- Linke R.P., Bock V., Valet G., Rothe G. Inhibition of the oxidative burst response of N-formyl peptide-stimulated neutrophils by serum amyloid-A protein. Biochem. Biophys. Res. Commun. 1991;176:1100–1105. doi: 10.1016/0006-291x(91)90397-p. [DOI] [PubMed] [Google Scholar]
- Deng X., Ueda H., Su S.B., Gong W., Dunlop N.M., Gao J.-L., Murphy P.M., Wang J.M. A synthetic peptide derived from human immunodeficiency virus type 1 gp120 downregulates the expression and function of chemokine receptors CCR5 and CXCR4 in monocytes by activating the 7-transmembrane G-protein-coupled receptor FPRL1/LXA4R. Blood. 1999;94:1165–1173. [PubMed] [Google Scholar]
- Pettit E.J., Fay F.S. Cytosolic free calcium and the cytoskeleton in the control of leukocyte chemotaxis. Physiol. Rev. 1998;28:949–960. doi: 10.1152/physrev.1998.78.4.949. [DOI] [PubMed] [Google Scholar]
- Serhan C.N. Lipoxin biosynthesis and its impact in inflammatory and vascular events. Biochim. Biophys. Acta. 1994;1212:1–25. doi: 10.1016/0005-2760(94)90185-6. [DOI] [PubMed] [Google Scholar]
- Levy B.D., Fokin V.V., Clark J.M., Wakelam M.J.O., Petasis N.A., Serhan C.N. Polyisoprenyl phosphate (PIPP) signaling regulates phospholipase D activitya “stop” signaling switch for aspirin-triggered lipoxin A4 . FASEB J. 1999;13:903–911. doi: 10.1096/fasebj.13.8.903. [DOI] [PubMed] [Google Scholar]
- Schaldach C.M., Riby J., Bjeldanes L.F. Lipoxin A4a new class of ligand for the Ah receptor. Biochemistry. 1999;38:7594–7600. doi: 10.1021/bi982861e. [DOI] [PubMed] [Google Scholar]
- Fernandez-Salguero P., Pineau T., Hilbert D.M., McPhail T., Lee S.S.T., Kimura S., Nebert D.W., Rudikoff S., Ward J.M., Gonzalez F.J. Immune system impairment and hepatic fibrosis in mice lacking the dioxin-binding Ah receptor. Science. 1995;268:722–726. doi: 10.1126/science.7732381. [DOI] [PubMed] [Google Scholar]




