Abstract
Infections caused by antibiotic-resistant pathogens are a global public health problem. Numerous individual- and population-level factors contribute to the emergence and spread of these pathogens. An individual-based model (IBM), formulated as a system of stochastically determined events, was developed to describe the complexities of the transmission dynamics of antibiotic-resistant bacteria. To simplify the interpretation and application of the model’s conclusions, a corresponding deterministic model was created, which describes the average behavior of the IBM over a large number of simulations. The integration of these two model systems provides a quantitative analysis of the emergence and spread of antibiotic-resistant bacteria, and demonstrates that early initiation of treatment and minimization of its duration mitigates antibiotic resistance epidemics in hospitals.
Keywords: Antibiotic-resistant bacteria, Individual-based model, Differential equation model, Basic reproduction number
1. Introduction
Approximately 5–10% of patients admitted to a hospital will develop an infection directly related to their hospitalization. These infections contribute to over 90,000 deaths per year in the United States. It is estimated that 70% of the causative pathogens are resistant to one or more antimicrobials (Burke, 2003). Compared to infections caused by susceptible strains, infections caused by resistant strains increase the risk of death, require treatment with more toxic and costly antibiotics, and prolong hospitalizations (Holmegerg et al., 1987).
Epidemics caused by antimicrobial-resistant bacteria, such as methicillin-resistant Staphylococcus aureus and vancomycin-resistant enterococci, in hospitals are increasing throughout the world (Holmegerg et al., 1987; Bonten et al., 2001; Farr et al., 2001; Grundmann et al., 2006; Hiramatsu, 2001). This world-wide crisis is the result of an incomplete understanding of the transmission dynamics of antimicrobial-resistant bacteria which are complex and necessitate the integration of a large number of dynamic and interdependent characteristics of patients, healthcare workers (HCW) and their interactions. Antibiotic exposure, central to the emergence and spread of these resistant bacteria, also needs to be incorporated to fully understand the factors propagating the epidemic of antimicrobial-resistant bacteria.
Population-level analyses, using mathematical modeling, have been instrumental in defining the transmission dynamics of these resistant bacteria (Austin et al., 1999; Bonhoeffer et al., 1997; Bootsma et al., 2006; Cooper et al., 1999; D’Agata et al., 2002, 2005, 2006; Grundmann and Hellriegel, 2006; Lipsitch et al., 2000; Smith et al., 2004; Temime et al., 2003; Webb et al., 2005). Most of these studies have used differential equations models (DEM) (Grundmann and Hellriegel, 2006), which aggregate patient and HCW populations into compartments such as colonized or uncolonized patients and contaminated or uncontaminated HCW. DEM assume compartment homogeneity and deterministic interactions, in contradiction to the stochastic transmission dynamics occurring during patient–HCW interactions (Koopman et al., 2002). Individual-based models (IBM), in contrast, view patients and HCW as individual agents, and can therefore simulate the heterogeneity of patient and HCW behavior. IBM have been used extensively in the last decade to study various biological problems (DeAngelis and Mooij, 2005), including the spread of infectious agents (Hotchkiss et al., 2005). The increase in behavioral detail provided by IBM, however, leads to much greater computational intensity and much greater difficulty in analyzing the significance of parameters.
We developed an IBM to identify the key parameters contributing to the spread of a typical antimicrobial-resistant bacteria in a typical hospital setting. A corresponding DEM was also developed to interpret the IBM. The IBM and DEM are complimentary representations of the same system at two different levels of abstraction. The IBM can be viewed as a virtual representation of a specific hospital setting. The DEM can be viewed as an aggregate representation of disparate hospital settings. The effects of key parameters in the DEM, obtained from IBM simulations, are incorporated into a single parameter-dependent formula called R0, defined as the average number of secondary cases generated by one infectious patient. If R0<1 then the epidemic extinguishes and if R0>1 then the epidemic becomes endemic. The model employs two population levels: (1) at the bacteria level, non-resistant and resistant strains are generated by patients infected with these strains; and (2) at the patient level, susceptible patients are infected by infected patients through contacts with contaminated HCW. Since selective antibiotic pressure is instrumental in the emergence and spread of resistant strains, we specifically analyze the role of antimicrobial therapy, including the scheduling of treatment initiation and its duration.
2. The IBM
In the IBM (see the computer code for the IBM at http://awal.univ-lehavre.fr/magal/) we consider three processes: (1) the admission and exit of patients; (2) the infection of patients by HCW; and (3) the contamination of HCW by patients. These processes occur in the hospital over a period of months or years as the epidemic evolves day by day. Each day is decomposed into three shifts of 8 h for the HCW. Each HCW begins a shift uncontaminated, but may become contaminated during a shift. During the shift we use a time step Δt to delimit the stochastic processes occurring during the shift for each patient and each HCW. Individual patients are classified as uninfected (U), infected only by the non-resistant strain (N), or infected by the resistant strain (R). The bacterial load of infected patients during antibiotic treatment is monitored in order to describe the influence of treatment on the infectiousness of patients. At the individual patient level the bacterial load is decomposed into two classes: (1) bacteria (N) which are non-resistant to the antibiotic treatment; and (2) bacteria (R) which are resistant to the antibiotic treatment.
In Fig. 1 we illustrate the infection and contamination processes for a HCW visiting four patients during one shift. The HCW begins the shift uncontaminated and starts the shift by visiting patient 1. During the first visit the HCW becomes contaminated by non-resistant bacteria and then visits patient 4. During the second visit patient 4 is infected by non-resistant bacteria carried by the HCW. The visits continue until the end of the shift with the infection and contamination events determined probabilistically. From Fig. 1, one can see that the length of visit is stochastic. We assume that the length of visit follows an exponential law with average length of visit AV. We assume during the visit that the HCW may be contaminated or uncontaminated. The time of contamination of a HCW follows an exponential law with average length of contamination AC. The index of the patient visited is chosen randomly (within the patients free of HCW). The contamination of the HCW by an infected patient happens with probability PC per visit and the infection of a patient by a contaminated HCW happens with probability PI per visit. The baseline values of the parameters for the IBM are summarized in Table 1.
Fig. 1.

Patient–HCW contact diagram for four patients and one HCW during one shift. Patient status: uninfected (green), infected with the non-resistant strain (yellow), infected with the resistant strain (red). HCW status: uncontaminated (______ ), contaminated with the non-resistant strain (... ... ...), contaminated with the resistant strain (- - - - -).
Table 1.
List of baseline parameters of the IBM
| Symbol | Interpretation | Value | Units |
|---|---|---|---|
| NBP | Number of patients | 400* | |
| NBH | Number of HCW | 100* | |
| AU | Average length of stay for U patients | 5* | days |
| AN | Average length of stay for N patients | 14* | days |
| AR | Average length of stay for R patients | 28* | days |
| AV | Average time of visits | 0.06 (85 min) | days |
| PC | Probability of contamination per visit | 0.4** | |
| PI | Probability of infection per visit | 0.06** | |
| AC | Average time of contamination | 0.042* (60 min) | days |
The values with
correspond to the values estimated for the Beth Israel Deaconess Medical Center (D’Agata et al., 2005). The values with
correspond to estimated values (Austin et al., 1999).
In Table 1 the average time of visit AV is taken to be 85 min in order to illustrate a hospital endemic state of patients infected by the resistant strain at approximately 10% (see Fig. 5). The parameter AV plays an important role in the IBM, since it regulates the number of visits (hence contacts) during a shift. Indeed, when AV increases the average number of visits decreases, the HCW spend more time during and between visits, and thus have contact with fewer patients.
Fig. 5.

Numerical simulation of the IBM (left) and the deterministic model (right) over 1 year, when the treatment starts on day 3 and stops on day 21, and AV = 60 min. All other parameters are at baseline. In the IBM the time step for stochastic events is Δt = 5 min.
HCW are divided into four classes: uncontaminated (HU), contaminated only with non-resistant bacteria (HN), contaminated with both non-resistant and resistant bacteria (HNR), and contaminated only with resistant bacteria (HR) (Fig. 2, top panel). The fluxes from HN, HNR, HR, into HU occur as HCW revert to the uncontaminated state. The other fluxes arise as HCW have contact with infected patients. Patients are divided into five classes: uninfected patients (PU), patients infected only by the non-resistant strain (PN), and three classes of patients infected by resistant bacteria (PRS), (PNR), and (PRR) (Fig. 2, bottom panel). PRS consists of super-infected patients, that is, patients who were in class PN and later become infected with resistant bacteria. PRR consists of patients who were uninfected and then became infected only by resistant bacteria. PNR consists of patients who were uninfected and then became infected with both non-resistant and resistant bacteria. Since resistant bacteria may revert to the nonresistant strain by loss of the plasmids that confer resistance (Webb et al., 2005), patients infected only by the resistant strain will eventually harbor the non-resistant strain.
Fig. 2.

Flux diagram for HCW (top) and patients (bottom).
Previously, we developed a model describing the evolution of the bacterial load in individual patients undergoing treatment (D’Agata et al., 2006; Webb et al., 2005). We used this work here to monitor the infectiousness of infected patients. We assumed a total body inoculation dose for infected patients of both non-resistant and resistant bacteria to be between 106 and 107 (Sorenberg et al., 2001). For the class of super-infected patients PRS, however, the load of non-resistant bacteria is much larger at inoculation of resistant bacteria than for the classes PRR and PNR. We assumed for a representative case that in the absence of treatment the non-resistant strain (intrinsic doubling time = 2 h) has a selective advantage over the resistant strain (intrinsic doubling time = 6 h), but during treatment the non-resistant strain is reduced to a very low level. We assumed that a patient is infectious when the total body bacterial load is greater than a threshold TH = 1011. In Fig. 3 we represent the inoculation doses, bacterial loads, and the infectiousness periods for each type (N, NR, R) of infected patient undergoing treatment.
Fig. 3.

Infectiousness periods when the antibiotic treatment starts on day 3 and stops on day 21 (inoculation occurs on day 0). The blue and red curves represent, respectively, the bacterial load of resistant and non-resistant bacteria during the period of infection. The green horizontal lines represent the threshold of infectiousness TH = 1011. The green bars represent the treatment period. The yellow, red, and orange bars represent the periods of infectiousness for the non-resistant, resistant, and both non-resistant and resistant classes, respectively.
We summarize the elements of the IBM: (i) each HCW begins the first visit of the shift uncontaminated and subsequent patient visits are randomly chosen; (ii) at the end of a visit a HCW becomes contaminated from an infectious patient with probability PC and a patient becomes infected from a contaminated HCW with probability PI; (iii) the bacterial load of an infected patient is dependent on treatment scheduling and infected patients are infectious to a HCW when their bacterial load is above a threshold TH; (iv) each time step Δt a contaminated HCW exits contamination with probability 1 − exp(−Δt/AC) and exits a visit with probability 1 − exp(−Δt/AV ); (v) each time step Δt a patient of type L exits the hospital with probability 1 − exp(−Δt/AL), where L = U, N, R. The number of patients in the hospital is assumed constant, so that a patient leaving the hospital is immediately replaced by a new patient in class (U).
3. Simulation of the IBM
We simulate the IBM to illustrate the effects of changing the start day of treatment and the duration of the treatment period on the development of the epidemic. From the two IBM simulations in Fig. 4 we see that when treatment starts earlier and has a shorter period, both non-resistant and resistant strains are eliminated. Earlier initiation of treatment reduces the non-resistant bacterial load and shorter treatment intervals reduce the time that patients infected by the resistant strain are infectious for this strain.
Fig. 4.

Simulation of the IBM over 1 year, when (left) treatment starts on day 3 and stops on day 21, and (right) treatment starts on day 1 and stops on day 8. In the former case the resistant strain becomes endemic and in the latter case both strains are eliminated. All parameters have baseline values as in Table 1.
4. The DEM
We describe a DEM that corresponds to the average behavior of the IBM over a large number of simulations (a derivation of the DEM is given in Appendix A). We denote by PU(t) (respectively PN(t) and PR(t)) the fraction of patients in the class (U) (respectively (N) and (R)). To describe the infectiousness status of patients, we use the age of infection a, which represents the time already spent in the class of infected patients (N), (RS), (RR), or (NR). For K = N, RS, RR, NR, we denote by pK(t, a) the density of the fraction of patients with infectiousness status (K) and with infection-age a at time t. Thus, for K = N, RS, RR, NR
The equations of the DEM are the following (see Tables 1–3 for an explanation of the parameters and variables):
| (1) |
where (HU (t), HN (t), HNR(t), HR(t)) is the unique nonnegative solution of the following system of equations:
| (2) |
with the constraint HU (t) ) HN (t) ) HNR(t) ) HR(t) = 1. Formula (2) is motivated by a singular perturbation technique applied to the differential equations in Appendix A.3. The idea is that the time scale of the HCW is much smaller than the time scale for the evolution of the epidemic at the patient level. Here (respectively and ) is the fraction of patients infectious with the non-resistant strain (respectively, both the resistant and non-resistant strains and only the resistant strain) obtained from the following formulas:
| (3) |
Table 3.
State variables of the DEM
| Symbol | Interpretation |
|---|---|
| HU (t) | Fraction of HCW uncontaminated |
| HN (t) | Fraction of HCW contaminated only by the non-resistant strain |
| HNR(t) | Fraction of HCW contaminated by both the resistant and the non-resistant strains |
| HR(t) | Fraction of HCW contaminated only by the resistant strain |
| PU(t) | Fraction of patients uninfected |
| PN(t) | Fraction of patients infected only by the non-resistant strain |
| PRS(t) | Fraction of patients infected first by the non-resistant strain and then by the resistant strain |
| PNR(t) | Fraction of patients infected by both the resistant and the non-resistant strain |
| PRR(t) | Fraction of patients infected only by the resistant strain |
| pK(t, a) | Infection age density of the fraction of infected patients of class K = N; RS; RR; NR |
| Fraction of patients infectious at time t with the strain K = N; NR; R |
The functions are plotted in Fig. 3 and are defined by
In Fig. 3 the infectiousness functions , and are the curves delimited by the yellow bars, , and are delimited by the orange bars, and , and are delimited by the red bars. The functions and are both identically 0, so they are not represented in Fig. 3.
A major advantage of the DEM is that the parametric input can be analyzed through the basic reproductive numbers R0, which predict the expected number of secondary cases per primary case. When R0<1, then the epidemic extinguishes and when R0>1, then the epidemic expands (Anderson and May, 1991; Brauer and Castillo-Chavez, 2000; Diekmann and Heesterbeek, 2000; Thieme, 2003). The basic reproductive number for patients infected only by the non-resistant strain is given by
| (4) |
When , the basic reproductive number for patients infected only by the resistant strain is given by
| (5) |
where r(A) is the largest eigenvalue of the following matrix:
| (6) |
We provide a comparison of the IBM and the DEM to demonstrate the validity of the deterministic DEM as an average representation of the IBM simulations. In Fig. 5 we observe a good concordance of the two models, particularly in the speed at which the trajectories approach equilibrium. In particular, the non-resistant strain decreases to a very low level and the resistant strain becomes endemic at a level of nearly 60% of all patients in the hospital in approximately 200 days. We note that the DEM gives a slight overestimation of the IBM trajectories. This overestimation implies that extinction of the strain in the deterministic model implies extinction of the strain for the average of the IBM. For comparison, in Fig. 6 we show DEM simulations to corresponding IBM simulations in Fig. 4. Again, we see the concordance of the two models in predicting the epidemic outcome.
Fig. 6.

The deterministic model over 3 years, when (left) treatment starts on day 3 and stops on day 21, and (right) treatment starts on day 1 and stops on day 8. In the former case the resistant strain becomes endemic and in the latter case both strains are eliminated, as in Fig. 4.
Fig. 7 illustrates the effects of changing the day on which treatment begins and how long treatment lasts on the values of the basic reproductive numbers and . In Fig. 7 always, which means that the non-resistant strain is always extinguishing for these treatments’ starting days and durations. On the other hand, or depending on the starting day and the duration of treatment. Both and are increasing when the starting day of treatment increases. The reason is that the bacterial loads of both strains are higher if treatment is delayed and thus more likely to reach threshold (see Fig. 3). Further, decreases and increases as the length of treatment duration increases. The reason is that the resistant strain prevails during treatment, since it is not affected by the drug.
Fig. 7.

The basic reproductive numbers and as functions of the beginning of treatment and the length of treatment. increases as the beginning day of treatment increases and decreases as the length of the treatment period increases, whereas increases with both. All other parameters have baseline values.
Fig. 8 illustrates the dependence of and on the average length of visit AV and the average length of contamination AC. Both and decrease as AV increases and increase as AC increases, but the dependence is linear in AC and quadratic in 1/AV. The reason is that AC is specific only to HCW, but AV is specific to both patients and HCW.
Fig. 8.
The basic reproductive numbers and as functions of the average time of visit AV and the average time of contamination of healthcare workers AC.
5. Summary and discussion
We developed a comprehensive IBM to describe the complex transmission dynamics of antimicrobial-resistant bacteria in hospitals. We simplified the interpretation of the IBM by developing a corresponding DEM, which describes the average behavior of the IBM over a large number of simulations. For the DEM we provided formulas to compute the basic epidemic reproductive numbers, which are thus applicable to the IBM. A detailed description of the relationship between the IBM and the DEM will be presented elsewhere.
The most important elements to include in the IBM involve HCW contamination by patients and patient infection by HCW. The availability of extensive hospital data quantifying this information allows application to variable hospital scenarios. The IBM is formulated as a system of stochastically determined events based on the relevant parameters (Table 1) obtained from such hospital data. The computer code for the IBM is available at http://awal.univ-lehavre.fr/magal/ and readily adaptable to parameterization for specific hospital settings. The derivation of the basic reproductive numbers and is also given at this web site.
In the IBM an important element of the transmission dynamics involves the infectiousness of patients undergoing antibiotic therapy. Indeed, it is the very use of antibiotics that drives the transmission dynamics of antimicrobial-resistant bacteria. In the absence of treatment, and selective antimicrobial pressure, the wild-type non-resistant bacteria have a selective advantage over the resistant strain. During treatment, however, the resistant bacteria gain the advantage as the non-resistant strain is eliminated and the resistant strain rises to the host carrying capacity. Since the consequences of treatment scheduling are pivotal for the dynamics of infection transmission as the two strains compete in infected patients, we have incorporated into the IBM the shifting bacterial loads of patients undergoing treatment (Webb et al., 2005).
The formulation of the IBM, based on individual behavior and observable events, is advantageous for its implementation to specific hospital settings. But each simulation of the IBM yields a different outcome, and the general interpretation of the role of individual parameters is difficult. We developed the corresponding DEM to provide an analytical description of the average behavior of the IBM over repeated simulations. The interpretation of the DEM is distilled into simple formulas for the basic epidemic reproductive numbers, which includes all the parametric input in a single value. If the basic reproductive number is less than 1, then the epidemic extinguishes, and if greater than 1, it becomes endemic. We developed formulas for the basic epidemic reproductive numbers for both the non-resistant strain ( ) and the resistant strain ( ). These formulas allow analysis of the dynamic elements in the DEM, and consequently in the IBM.
Endemicity of resistant strains, with near exclusion of non-resistant strains, has been observed throughout the evolutionary history of antimicrobial resistance (e.g., the replacement of penicillin-susceptible Staphylococcus aureus and vancomycin-susceptible Enterococcus faecium with the corresponding resistant strains) (D’Agata et al., 2001; McDonald, 2006). The basic epidemic reproductive numbers explain why this happens and provide insight into how it may be controlled. In Fig. 4 (top panel) the basic reproductive numbers and for the non-resistant and resistant strains are graphed as functions of the day of treatment initiation and the length of treatment. Control of these variables offers the possibility of forestalling endemicity of the resistant strain, as long as the non-resistant strain maintains selective advantage in the absence of treatment. The goal is to start treatment as soon as possible after infection is diagnosed and minimize its duration. The optimal length of antimicrobial therapy has not been extensively studied for a great majority of infections. Recent trials suggest that the duration of antimicrobial therapy can be decreased substantially in the treatment of certain community- and hospital-acquired infections with equivocal patient outcomes (Casey and Pichichero, 2005; Chastre et al., 2003; el Moussaoui et al., 2006; Goff, 2004; Pass et al., 2005; Schrag et al., 2001; Singh et al., 2000). The increasing concern for overuse of antimicrobials and its correlation with emergence of antimicrobial resistance, and the findings of this model, support the need for further research to specifically determine if shorter courses of antimicrobial therapy are as effective as the longer courses of therapy currently prescribed.
The basic reproductive numbers and provide a means for a sensitivity analysis of the estimated key parameters (see formulas (4) and (5) and Figs. 7 and 8). The dependence of and on the HCW contamination parameters AV (average length of visit) and AC (average length of contamination) is graphed in Fig. 4 (bottom panel). Control of these variables, and thus the severity of the epidemic, is tied to the scheduling of HCW and their compliance with hygienic measures. Because and depend linearly on AC and quadratically on 1/AV, extending the average length of visits (which is correlated to the allocation of HCW resources) may have less benefit than reducing the average length of the contamination (which is correlated to improvement in hygienic measures). The care of individual patients and the general patient population welfare must be balanced. The IBM provides a framework to analyze these various elements and quantify their impact in specific hospital environments.
Extensions of this study should incorporate other complexities of the transmission dynamics of antimicrobial-resistant bacteria in the hospital setting. These include, (1) differentiating between types of HCW, for example nurses and physicians, and differences in their interactions with patients; (2) spatial movement of patients in the hospital and their sequestering in spatial zones, such as intensive care units; (3) bacterial resistance to multiple antimicrobials; (4) variability in antibiotic administration and response in patients; and (5) environmental reservoirs of antimicrobial-resistant bacteria.
Although bacterial characteristics, susceptibility data, and site of infection usually dictate the type and duration of antimicrobial therapy, social and economic factors contribute substantially to misuse of antimicrobials (Avorn and Solomon, 2000). Our model emphasizes the impact of timely antibiotic administration and minimal duration of antibiotic exposure in decreasing the emergence and spread of antimicrobial resistant bacteria. Our study emphasizes the urgency of optimizing antimicrobial prescribing practices at the microbiological, hospital, and societal level.
Table 2.
List of parameters in the DEM
| Symbol | Interpretation |
|---|---|
| βV = NBH/NBP | Probability for a patient to be visited by a HCW |
| νV = 1/AV | Rate at which a HCW exits a visit |
| νC = 1/AC | Rate at which a HCW becomes uncontaminated |
| νN = 1/AN | Rate at which a class N patient exits the hospital |
| νR = 1/AR | Rate at which a class R patient exits the hospital |
Acknowledgments
The research for this paper was partially supported by National Science Foundation Grants DMS-0412047 (S.R.), DMS-0715772 (S.R.), DMS-0516737 (G.F.W.) and NIH Grant R01GM083607-01 (S.R., G.F.W., E.M.C.D).
Appendix A
We describe here the construction of the DEM, which is derived from the IBM. We construct separately a DEM to describe: (1) admission and exit of patients; (2) contamination of HCW; and (3) infection of patients. We describe each of these three processes when the other processes are fixed, and we then combine them to the full DEM using fast and slow processes considerations.
A.1. The admission and exit of patients
The population of patients is assumed to be constant and thus, a patient leaving the hospital is immediately replaced by a new patient in the class (U). In the absence of contamination and infection, the fractions of patients in the classes U, N, R can be described by the following system of ordinary differential equations (see Tables 1–3 for explanation of the terms):
| (A.1) |
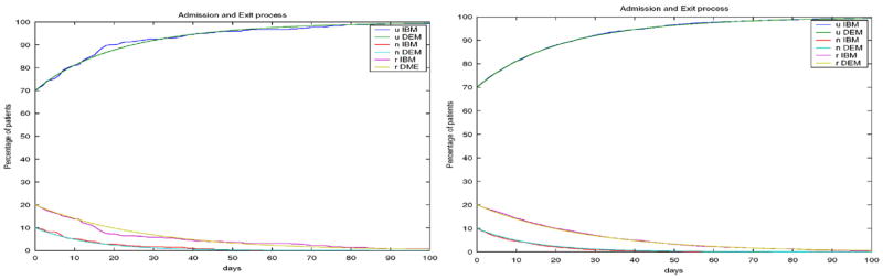
In Fig. 9 we compare simulations of the IBM and DEM in this case.
Fig. 9.
The left (respectively the right) figure represents the IBM and DEM over 100 days for 1 simulation (respectively the average over 10 trajectories) with the patient population held constant and with no new infections. Parameters are as in Table 1. Since no new infections occur, the uninfected class fraction approaches 100% and both infected class fractions approach 0%.
A.2. The contamination of HCW by patients
The infectiousness periods of patients are described in Fig. 3: N-infectious (yellow), NR-infectious (orange), and R-infectious (red). We first consider the case when there is only the non-resistant strain, no changes in patient infectiousness status, and no admission and exit of patients during the shift ( is assumed constant in time). We can use the following model to describe the evolution of the contamination status of HCW:
| (A.2) |
When both non-resistant and resistant strains are present, we use similar arguments to obtain the following system of equations for the fractions of uncontaminated and contaminated HCW ( are assumed constant in time):
| (A.3) |
In Fig. 10 we compare simulations of the IBM and DEM in this case.
Fig. 10.
The left (respectively the right) figure corresponds to 1 trajectory (respectively the average over 80 trajectories) of the IBM during one shift, with no exit and admission of patients, and no changes in the infection status of patients. Here Δt = 0.00347 days, AV = AC = 0.042 days, .
We note that it is important to fix the time step Δt small enough to avoid distortions due to the choice of time step. In particular, we seek to minimize the dependence of the IBM or discretized DEM numerical simulations on the time step. By choosing the time step sufficiently small, as in Fig. 10, we can interpret the IBM model in terms of the continuum limit as Δt goes to 0 with parametric input independent of Δt. In Fig. 10 we observe another aspect of the behavior of the DEM, namely, that the HCW fractions converge relatively rapidly to their equilibrium values. From Fig. 10 we see that the equilibrium values of the HCW classes lie mostly above those in the IBM simulations. We use this behavior to construct the full epidemic model, wherein we consider a shift as a time step on the scale of a year. We then approximate the fractions HU (t), HN (t), HR(t), and HNR(t), over one shift by their equilibrium values. Thus, in the full epidemic model, we slightly overestimate the average fractions of contaminated HCW while use the equilibrium values for the HCW in the DEM during one shift. Taking the same parameter values, the solutions of the DEM are above the solutions of the IBM. As a consequence, in the full epidemic model, we also slightly overestimate the fractions of infected patients.
A.3. The infection of patients by HCW
Here we describe the infection of patients during one shift, assuming no admission and no exit of patients, and no change in HCW contamination status during the shift. If we first consider the situation with no resistant strains, we can write the following model (see Tables 1–3 for notation):
| (A.4) |
Similarly, we use the relationship PR(t) = PRS(t) ) PRR(t) ) PNR(t) to obtain the differential equations for the patient fractions in this case as follows:
| (A.5) |
In Fig. 11 we compare simulations of the IBM and DEM in this case.
Fig. 11.
A numerical simulation of the IBM and the DEM over one shift, assuming no admission and exit of patients and no change in HCW contamination status, with AC = 0.042 days, AV = 0.021 days, PI = 0.6, HN = 50%, HNR = 0%, HR = 20%.
Since we seek a model to describe the spread of the hospital epidemic over several years, we observe that on the scale of 1 year, a shift (= 8 h) corresponds to a very short period of time. We thus use the idea of slow–fast processes to write the full DEM as (1), (2), (3). The fast process corresponds to HCW contamination, and the slow processes correspond to patient infection, admission, and exit.
References
- Anderson RM, May RM. Infectious Diseases of Humans: Dynamics and Control. Oxford University Press; Oxford: 1991. [Google Scholar]
- Austin DJ, Bonten MJM, Weinstein RA, Slaughter S, Anderson RM. Vancomycin-resistant enterococci in intensive-care hospital settings: transmission dynamics, persistence, and the impact of infection control programs. Proc Natl Acad Sci USA. 1999;96:6908–6913. doi: 10.1073/pnas.96.12.6908. [DOI] [PMC free article] [PubMed] [Google Scholar]
- Avorn J, Solomon DH. Cultural and economic factors that (mis)shape antibiotic use: the nonpharmacologic basis of therapeutics. Ann Int Med. 2000;133:128–135. doi: 10.7326/0003-4819-133-2-200007180-00012. [DOI] [PubMed] [Google Scholar]
- Bonhoeffer S, Liptsitch M, Levin BR. Evaluating treatment protocols to prevent antibiotic resistance. Proc Natl Acad Sci USA. 1997;94:12106–12111. doi: 10.1073/pnas.94.22.12106. [DOI] [PMC free article] [PubMed] [Google Scholar]
- Bonten MJM, Willems R, Weinstein RA. Vancomycin-resistant enterococci: why are they here, and where do they come from? Lancet Infect Dis. 2001;1:314–325. doi: 10.1016/S1473-3099(01)00145-1. [DOI] [PubMed] [Google Scholar]
- Bootsma MCJ, Diekmann O, Bonten MJM. Controlling methicillin-resistant Staphylococcus aureus: quantifying the effects of interventions and rapid diagnostic testing. Proc Natl Acad Sci USA. 2006;103:5620–5625. doi: 10.1073/pnas.0510077103. [DOI] [PMC free article] [PubMed] [Google Scholar]
- Brauer F, Castillo-Chavez C. Mathematical Models in Population Biology and Epidemiology. Springer; New York: 2000. [Google Scholar]
- Burke JP. Infection control—a problem for patient safety. N Engl J Med. 2003;348:651–656. doi: 10.1056/NEJMhpr020557. [DOI] [PubMed] [Google Scholar]
- Casey JR, Pichichero ME. Meta-analysis of short course antibiotic treatment for Group A streptococcal tonsillopharyngitis. Paediatr Infect Dis. 2005;24:909–917. doi: 10.1097/01.inf.0000180573.21718.36. [DOI] [PubMed] [Google Scholar]
- Chastre J, Wolff M, Fagon JY, Chevret S, Thomas F, Wermert D, Clementi E, Gonzalez J, Jusserand D, Asfar P, Perrin D, Fieux F, Aubas S. Comparison of 8 vs 15 days of antibiotic therapy for ventilator-associated pneumonia in adults—a randomized trial. JAMA. 2003;290:2588–2598. doi: 10.1001/jama.290.19.2588. [DOI] [PubMed] [Google Scholar]
- Cooper BS, Medley GF, Scott GM. Preliminary analysis of the transmission dynamics of nosocomial infections: stochastic and management effects. J Hosp Infect. 1999;43:131–147. doi: 10.1053/jhin.1998.0647. [DOI] [PubMed] [Google Scholar]
- D’Agata EMC, Gautam S, Green WK, Tang YW. Clinical and molecular characterization of vancomycin-resistant E. faecium during endemicity. Clin Infect Dis. 2001;34:167–172. doi: 10.1086/322615. [DOI] [PubMed] [Google Scholar]
- D’Agata EMC, Horn MA, Webb GF. The impact of persistent gastrointestinal colonization on the transmission dynamics of vancomycin-resistant enterococci. J Infect Dis. 2002;185:766–773. doi: 10.1086/339293. [DOI] [PubMed] [Google Scholar]
- D’Agata EMC, Webb GF, Horn MA. A mathematical model quantifying the impact of antibiotic exposure and other interventions on the endemic prevalence of vancomycin-resistant enterococci. J Infect Dis. 2005;192:2004–2011. doi: 10.1086/498041. [DOI] [PubMed] [Google Scholar]
- D’Agata EMC, Magal P, Ruan S, Webb GF. Asymptotic behavior in bacterial infection models with antibiotic resistance. Differential Integr Equations. 2006;19:573–600. [Google Scholar]
- DeAngelis DL, Mooij WM. Individual-based modeling of ecological and evolutionary processes. Annu Rev Ecol Evol Syst. 2005;36:147–168. [Google Scholar]
- Diekmann O, Heesterbeek JAP. Mathematical Epidemiology of Infectious Diseases: Model Building, Analysis and Interpretation. Wiley; Chichester, UK: 2000. [Google Scholar]
- el Moussaoui R, de Borgie CAJM, van den Broek P, Hustinx WN, Bresser P, van den Berk GEL, Poley JW, van den Berg B, Krouwels FH, Bonten MJM, Weenink C, Bossuyt PMM, Speelman P, Opmeer BC, Prins JM. Effectiveness of discontinuing antibiotic treatment after three days versus eight days in mild to moderate-severe community acquired pneumonia: randomised, double blind study. Br Med J. 2006;332(7554):1355–1358. doi: 10.1136/bmj.332.7554.1355. [DOI] [PMC free article] [PubMed] [Google Scholar]
- Farr BM, Salgado CD, Karchmer TB, Scherertz RJ. Can antibiotic-resistant nosocomial infections be controlled? Lancet Infect Dis. 2001;1:38–45. doi: 10.1016/S1473-3099(01)00020-2. [DOI] [PubMed] [Google Scholar]
- Goff DA. Short-duration therapy for respiratory tract infections. Ann Pharm. 2004;38:S19–S23. doi: 10.1345/aph.1E219. [DOI] [PubMed] [Google Scholar]
- Grundmann H, Hellriegel B. Mathematical modeling: a tool for hospital infection control. Lancet Infect Dis. 2006;6:39–45. doi: 10.1016/S1473-3099(05)70325-X. [DOI] [PubMed] [Google Scholar]
- Grundmann H, Aires-de-Sousa M, Boyce J, Tiemersma E. Emergence and resurgence of mehticillin-resistant Staphylococcus aureus as a public-health threat. Lancet. 2006;368:874–885. doi: 10.1016/S0140-6736(06)68853-3. [DOI] [PubMed] [Google Scholar]
- Hiramatsu K. Vancomycin-resistant Staphylococcus aureus: a new model of antibiotic resistance. Lancet Infect Dis. 2001;1:147–155. doi: 10.1016/S1473-3099(01)00091-3. [DOI] [PubMed] [Google Scholar]
- Holmegerg SD, Solomon SL, Blake PA. Health and economic impacts of antimicrobial resistance. Rev Inf Dis. 1987;9:1065–1078. doi: 10.1093/clinids/9.6.1065. [DOI] [PubMed] [Google Scholar]
- Hotchkiss JR, Strike DG, Simonson DA, Broccard AF, Crooke PS. An agent based and spatially explicit model of pathogen dissemination in the intensive care unit. Crit Care Med. 2005;33:168–176. doi: 10.1097/01.ccm.0000150658.05831.d2. [DOI] [PubMed] [Google Scholar]
- Koopman JS, Jacquez G, Simon CP, Riolo CS. Stochastic effects on endemic infection levels of disseminating versus local contacts. Math Biosci. 2002;180:49–71. doi: 10.1016/s0025-5564(02)00124-4. [DOI] [PubMed] [Google Scholar]
- Lipsitch M, Bergstrom CT, Levin BR. The epidemiology of antibiotic resistance in hospitals: paradoxes and prescriptions. Proc Natl Acad Sci USA. 2000;97:1938–1943. doi: 10.1073/pnas.97.4.1938. [DOI] [PMC free article] [PubMed] [Google Scholar]
- McDonald LC. Trends in antimicrobial resistance in healthcare-associate pathogens and effect on treatment. Clin Infect Dis. 2006;42(S2):65–71. doi: 10.1086/499404. [DOI] [PubMed] [Google Scholar]
- Pass EP, Gearhart MM, Young EJ. Short-course antimicrobial therapy for the treatment of pneumonia. J Pharm Pract. 2005;18:18–24. [Google Scholar]
- Schrag SJ, Chabela P, Fernandez J, Sanchez J, Gomez V, Perez E, Feris J, Besser RE. Effect of short-course high-dose amoxicillin therapy on resistant pneumococcal carriage. JAMA. 2001;286:49–56. doi: 10.1001/jama.286.1.49. [DOI] [PubMed] [Google Scholar]
- Singh N, Rogers P, Atwood CW, Wagener MM, Yu VL. Short-course empiric antibiotic therapy for patients with pulmonary infiltrates in the intensive care unit. A proposed solution for indiscriminate antibiotic prescription. Am J Respir Crit Care Med. 2000;162(2 Pt 1):505–511. doi: 10.1164/ajrccm.162.2.9909095. [DOI] [PubMed] [Google Scholar]
- Smith DL, Dushoff J, Perencevich EN, Harris AD, Levin SA. Persistent colonization and the spread of antibiotic resistance in nosocomial pathogens: resistance is a regional problem. Proc Natl Acad Sci USA. 2004;101:3709–3714. doi: 10.1073/pnas.0400456101. [DOI] [PMC free article] [PubMed] [Google Scholar]
- Sorenberg TL, Blom M, Monnet DL, Fridmodt-Moller N, Poulsen RL, Espersen F. Transient intestinal carriage after ingestion of antibiotic-resistant Enterococcus faecium from chicken and pork. N Engl J Med. 2001;345:1161–1166. doi: 10.1056/NEJMoa010692. [DOI] [PubMed] [Google Scholar]
- Temime L, Boëlle PY, Courvalin P, Guillemot D. Bacterial resistance to penicillin G by decreased affinity of penicillin-binding proteins: a mathematical model. Emerging Infect Dis. 2003;9:411–417. doi: 10.3201/eid0904.020213. [DOI] [PMC free article] [PubMed] [Google Scholar]
- Thieme HR. Mathematics in Population Biology. Princeton University Press; Princeton: 2003. [Google Scholar]
- Webb GF, D’Agata EMC, Magal P, Ruan S. A model of antibiotic resistant bacterial epidemics in hospitals. Proc Natl Acad Sci USA. 2005;102:13343–13348. doi: 10.1073/pnas.0504053102. [DOI] [PMC free article] [PubMed] [Google Scholar]




