Abstract
Purpose
The aim of this study was to establish ranges of angular variation in lordotic and kyphotic curves in normal male and female children and adolescents.
Methods
We developed a pantograph to measure dorsal curves. It consisted of a tripod-supported vertical strut to which an articulated bar was fixed and which had an arm that was able to follow the dorsal surface while moving up and down. This arm was positioned over the C7 spinous process and followed spinous processes to L5 at constant speed. A laser beam was used to ensure the proper positioning of the pantograph and the subject. The motion was recorded using software so that the dorsal outline was represented on a computer screen, and lordotic and kyphotic curves were automatically measured. Before performing the population study, the pantograph was validated in 20 normal subjects by comparing the pantograph measurements with lateral spine radiographs. There were no statistically significant differences in the measurements. There were 718 subjects with no race selection, of whom 350 were males and 368 females ranging in age from 5 to 20 years and presenting normal weight and height. Individuals with generalized ligament laxity, trunk asymmetry, muscle retraction, or any orthopedic anomaly were excluded from the study. Data were analyzed according to age and gender. Student’s t tests and regression analysis were performed.
Results
Kyphotic curves increased linearly from 25° at 7 years of age to 38° at 19 years of age (kyphotic angle = 25° + 0.58 × age). Lordotic curves increased linearly from 22° at 5 years of age to 32° at 20 years of age (lordotic angle = 24° + 0.51 × age). There were no differences between males and females.
Conclusions
The pantograph that was developed for this study was successfully used to establish the normal ranges and progression of thoracic kyphosis and lumbar lordosis in the studied population. Both curves increased linearly with age, with no differences between males and females.
Keywords: Pantograph, Spine, Thoracic kyphosis, Lumbar lordosis
Introduction
During the early prenatal period, the sagittal curvatures of the spine are represented by an almost continuous curve formed by the thoracic and sacrococcygeal segments [1]. In the fetal stage, the cervical and lumbar lordosis appear as secondary curves, and their development seems to be related to the muscle action and fetal movements [2, 3].
After birth, as is the case for other skeletal parameters in children, changes in the spinal sagittal curves also occur during the growth period [4]. Despite the importance of recognizing spinal modifications according to age, few studies have analyzed kyphosis and lordosis in homogeneous sample populations during growth to establish normal ranges of variation. Most studies have measured spinal curves on radiographs that were obtained for other purposes [4, 5]; consequently, the data may be heterogeneous, and it is difficult to compare values across studies. Voutsinas and MacEwen [4] obtained lordotic and kyphotic measurements from radiographs of individuals who had been referred for scoliosis evaluation, but were normal. These authors found that there was an increase of both curves with age, with no gender differences, and were able to establish the profile of the progression of kyphosis and lordosis from 5- to 20-year-old subjects. However, they recognized that the number of subjects evaluated in some yearly age groups were too low for analysis of some variables. A different approach was used by Willner and Johnson [6] who conducted a systematic study using a pantograph to trace the sagittal spinal curvature from 8- to 16-year olds. They found that kyphosis and lordosis varied across gender and tended to increase with growth. In adults, sagittal curve values varied according to different investigators, with the range for kyphosis being ∼35°–37° [7, 8] and that for lordosis ∼45°–67° [9, 10], but such studies were conducted in heterogeneous populations.
Radiography is the most commonly used method to assess sagittal spinal curves. Nonetheless, the method is not ideal for systematic population studies because of its high cost and exposure of subjects to ionizing radiation [11]. Some radiograph images are difficult to analyze, as it may be hard to precisely identify the beginning of the kyphotic curve because of the shoulder girdle and rib overlap [12]. Voutsinas and MacEwen [4] found that when sagittal spinal curves were measured on X-rays, the most common source of discrepancy among examiners was the choice of the top vertebra in the thoracic region. To overcome these limitations, instruments to clinically evaluate dorsal curves, such as the spinal pantograph [13, 14], Myrin’s inclinometer, Debrunner’s kyphometer [15] and, more recently, the arcometer [11], were developed. Theoretically, such methods permit large population studies, and the evaluation can be carried out without risk and while still observing ethical limits.
The purpose of the present investigation was to study systematically the normal ranges of thoracic kyphosis and lumbar lordosis during growth with serial measurements obtained using a modified spinal pantograph to track the dorsal profile in normal 5- to 20-year olds.
Materials and methods
Population study
The study was approved by the Institutional Review Board, and informed written consent was obtained from each subject or his or her guardian. The 718 subjects comprised 350 males and 368 females, all of whom were 5- to 20-year olds attending public schools or preschools. There was no race selection, but the majority were white. The stature and weight of all subjects were within the normal ranges established by the Centers for Disease Control and Prevention [16]. Individuals with any of the following conditions were excluded: past or present spinal pain, previous treatment for postural correction, trunk asymmetry, leg length discrepancies, muscle shortening, or generalized ligament laxity according to the criteria of Wynne-Davies [17].
Dorsal curves were measured using our modified and further developed version of the spinal pantograph previously described by Willner [13, 14]. Figure 1 is a schematic representation of the pantograph, which was made of a rigid, 1.5-m long strut that remained vertically positioned on a tripod (Fig. 1a–c). A stem that could be adjusted in length was linked to the strut with a cogwheel. A small mobile arm, with a free end on a pulley, was fixed to the stem. By means of an engine placed at the base of the stem, the mobile arm could go up and down and also could simultaneously move forward and backward to record the depth of the spine in the sagittal plane, thus tracking the dorsal curves. Displacement of the mobile arm was transmitted to a potentiometer connected to a laptop computer that outlined the dorsal contour. A non-commercial and custom-made computer program identified the transition between kyphotic and lordotic curves and provided their measurements in degrees. To facilitate the fine-tuning of the apparatus and to guarantee the correct vertical path to be covered by the mobile arm along the spine, a laser beam was coupled into the mobile lever.
Fig. 1.
Schematic drawing of the pantograph used to outline the subject’s dorsal contour over the spine. The apparatus has a tripod-stabilized strut (1), where another stem that permits height and inclination adjustment is fixed (2). A mobile lever arm with a pulley at the free end is placed over that stem (inset A) that advances or retracts, following spinal curves, while the whole system is moving from C7 to L5 by an engine (inset B). Drawings a, b, and c display the front, lateral, and oblique views of the appliance, respectively
Validation process
The pantograph was validated in 20 normal 6- to 19-year-old subjects of both genders. First, a panoramic lateral X-ray was taken with the barefoot individual carefully positioned, with hands placed on a support bar that kept the shoulder and elbows in a semiflexed comfortable position, thus avoiding interference of the upper limb positioning with the spinal curves [18]. All the X-ray exposure positionings were supervised by one of the authors. On the films, the entire thoracic and lumbar spinal segments were shown, and it was assured that the upper limit of the first or the second thoracic vertebrae were identifiable. Then, the kyphotic and lordotic curves were measured according to Cobb’s method by a pediatric orthopedic surgeon not involved with the present investigation. After being X-rayed, the volunteer was taken to the pantograph to record the dorsal curves. All the pantograph assessments were made by one of the authors. For the evaluation, the subject wore no shoes, was instructed to remain standing comfortably, bearing weight equally on both legs, with hands placed on the same support bar, and keeping the shoulders and elbows in the same semi-flexed position used to take the radiographs. To ensure privacy, female subjects wore gowns that exposed only the spinal region (Fig. 2).
Fig. 2.
Illustration of the pantograph in operation. a Patient is standing, with the hands leaning on a support and the pantograph is carefully positioned behind. b Detail of the mobile arm positioning over C7 and the distally centered laser beam over the lumbar spine region. After examination starts, the pulley follows in descending motion the spinous processes from C7 to L5 at uniform speed. Female patients were dressed with a rear-opened gown that exposed only the spinal region, so that privacy was respected
The pantograph was placed behind the individual; its mobile arm was positioned at the spinous process of the seventh cervical vertebra and the laser beam was adjusted to point to the spinous process of the fifth lumbar vertebra (Fig. 2). The appliance was turned on, the arm descended to the lumbar region at a constant speed of 13.8 cm/s, with the tracking being recorded on the computer screen. Three repeated measures were obtained for each subject in the same session but not consecutively, i.e., after one measurement the individual left the pantograph, sat on a chair for some minutes and then returned to the pantograph for a new positioning and evaluation. The average of the three values was considered for the statistical analysis. The pantograph measured the curves in decimals; however, for statistical analysis, they were rounded off to the nearest whole number.
Statistical analysis
Paired Student’s t tests were used to compare the data X-rays and the pantograph. For the population study, subjects were grouped according to age (year intervals). Regression analysis was used to analyze data related to thoracic kyphosis and lumbar lordosis and to determine the best possible adjusted relation model. The model that presented the best fit was the linear equation, Y = a + b × age, where Y is either the kyphotic or lordotic angles and a and b are the linear and angular coefficients of the straight line. Student’s t tests were used to compare thoracic kyphosis and lumbar lordosis between males and females at each age.
Results
Validation process
Table 1 shows the results obtained with the validation process, and Fig. 3 displays the graphic curves for kyphosis and lordosis obtained using both X-rays and the pantograph. Student’s t tests indicated no significant differences in measurements obtained using the pantograph and X-rays (kyphosis P = 0.18, median difference = 2.00; lordosis P = 0.12, median difference = 2.00).
Table 1.
Angle of kyphosis and lordosis obtained with X-rays and the pantograph in the validation process
| Subject number | Gender | Age (years) | Spinal curve (degrees) | |||
|---|---|---|---|---|---|---|
| Kyphosis | Lordosis | |||||
| X-rays | Pantograph | X-rays | Pantograph | |||
| 1 | Male | 6 | 40 | 38 | 32 | 39 |
| 2 | Female | 7 | 28 | 37 | 46 | 36 |
| 3 | Male | 7 | 34 | 27 | 46 | 53 |
| 4 | Male | 8 | 30 | 29 | 44 | 42 |
| 5 | Male | 8 | 40 | 38 | 32 | 39 |
| 6 | Male | 8 | 30 | 30 | 36 | 32 |
| 7 | Male | 10 | 32 | 36 | 36 | 43 |
| 8 | Female | 10 | 36 | 38 | 37 | 43 |
| 9 | Male | 10 | 40 | 47 | 50 | 53 |
| 10 | Male | 11 | 40 | 41 | 46 | 51 |
| 11 | Male | 11 | 38 | 40 | 46 | 50 |
| 12 | Male | 12 | 32 | 38 | 40 | 38 |
| 13 | Female | 12 | 40 | 42 | 32 | 35 |
| 14 | Male | 13 | 40 | 37 | 20 | 27 |
| 15 | Male | 13 | 32 | 29 | 40 | 39 |
| 16 | Female | 14 | 36 | 36 | 32 | 34 |
| 17 | Male | 15 | 36 | 47 | 40 | 41 |
| 18 | Female | 17 | 46 | 48 | 50 | 51 |
| 19 | Female | 18 | 39 | 43 | 42 | 48 |
| 20 | Female | 19 | 41 | 43 | 42 | 48 |
| Mean | 37 | 38 | 39 | 42 | ||
| Standard deviation | 4.6 | 5.9 | 7.3 | 7.3 | ||
Fig. 3.
Comparison of the kyphosis and lordosis data obtained using X-rays and pantograph in the validation process
Population study
Findings of kyphosis and lordosis for male subjects are shown in Table 2 and for female subjects in Table 3. Figures 4 and 5 illustrate the age variation for males and females, respectively. In general, for both genders, both spinal curvatures tended to increase with age, except at some isolated ages.
Table 2.
Age distribution of kyphosis and lordosis in male subjects, measured using the pantograph
| Males | |||||||||
|---|---|---|---|---|---|---|---|---|---|
| Ages (years) | n | Kyphosis (degrees) | Lordosis (degrees) | ||||||
| Mean | SD | Min. | Max. | Mean | SD | Min. | Max. | ||
| 5 | 13 | 26 | 6 | 11 | 35 | 21 | 10 | 9 | 42 |
| 6 | 13 | 27 | 8 | 15 | 38 | 19 | 13 | 3 | 42 |
| 7 | 17 | 27 | 6 | 16 | 37 | 23 | 10 | 8 | 36 |
| 8 | 20 | 32 | 9 | 16 | 44 | 21 | 19 | 6 | 35 |
| 9 | 33 | 32 | 7 | 13 | 44 | 30* | 9 | 2 | 46 |
| 10 | 44 | 32* | 8 | 12 | 45 | 30 | 9 | 11 | 44 |
| 11 | 32 | 33 | 7 | 13 | 43 | 34 | 6 | 17 | 47 |
| 12 | 41 | 33* | 6 | 14 | 41 | 34* | 7 | 17 | 45 |
| 13 | 34 | 33 | 7 | 12 | 46 | 33 | 7 | 11 | 44 |
| 14 | 22 | 38 | 6 | 27 | 48 | 32 | 11 | 10 | 55 |
| 15 | 13 | 35 | 8 | 24 | 46 | 31 | 11 | 14 | 44 |
| 16 | 15 | 32 | 9 | 10 | 44 | 27 | 13 | 8 | 43 |
| 17 | 16 | 36 | 8 | 15 | 43 | 31* | 9 | 17 | 42 |
| 18 | 11 | 37 | 8 | 18 | 45 | 28 | 12 | 9 | 47 |
| 19 | 12 | 41 | 4 | 32 | 47 | 27 | 9 | 14 | 40 |
| 20 | 14 | 36* | 7 | 16 | 45 | 26* | 11 | 7 | 41 |
*Statistical significance
Table 3.
Age distribution of kyphosis and lordosis in female subjects, measured using the pantograph
| Females | |||||||||
|---|---|---|---|---|---|---|---|---|---|
| Age (years) | n | Kyphosis (degrees) | Lordosis (degrees) | ||||||
| Mean | SD | Min. | Max. | Mean | SD | Min. | Max. | ||
| 5 | 16 | 27 | 7 | 13 | 37 | 22 | 9 | 10 | 40 |
| 6 | 15 | 28 | 5 | 19 | 38 | 29 | 8 | 12 | 40 |
| 7 | 13 | 23 | 10 | 6 | 36 | 28 | 6 | 14 | 38 |
| 8 | 27 | 26 | 8 | 11 | 45 | 26 | 11 | 5 | 45 |
| 9 | 38 | 30 | 8 | 13 | 43 | 30 | 10 | 10 | 46 |
| 10 | 30 | 33 | 8 | 16 | 46 | 32 | 7 | 17 | 43 |
| 11 | 39 | 33 | 6 | 12 | 41 | 31 | 7 | 16 | 46 |
| 12 | 41 | 32 | 6 | 12 | 44 | 33 | 7 | 12 | 45 |
| 13 | 32 | 34 | 8 | 14 | 47 | 34 | 9 | 13 | 47 |
| 14 | 18 | 32 | 9 | 12 | 47 | 35 | 16 | 13 | 51 |
| 15 | 22 | 32* | 10 | 12 | 46 | 33* | 11 | 15 | 56 |
| 16 | 13 | 33 | 8 | 13 | 42 | 28* | 12 | 11 | 45 |
| 17 | 18 | 30* | 10 | 11 | 45 | 30 | 11 | 6 | 46 |
| 18 | 15 | 35 | 8 | 11 | 45 | 35 | 8 | 14 | 44 |
| 19 | 14 | 36 | 9 | 10 | 45 | 34 | 9 | 11 | 45 |
| 20 | 17 | 32 | 9 | 14 | 44 | 38 | 10 | 13 | 50 |
*Statistical significance
Fig. 4.
Age variation of the kyphotic and lordotic curves for male subjects, measured using the pantograph
Fig. 5.
Age variation of the kyphotic and lordotic curves for female subjects, measured using the pantograph
The comparison of thoracic kyphosis and lumbar lordosis variation between males and females for each age group made using the Student’s t test for independent samples showed no statistically significant difference for the majority of the age groups. However, for thoracic kyphosis there was statistical difference between males and females at ages 8 (P = 0.02) and 14 (P = 0.02). Likewise, the lumbar lordosis variation between males and females was statistically significant in the 6-year-old group (P = 0.02) and in the 20-year-old group (P = 0.05).
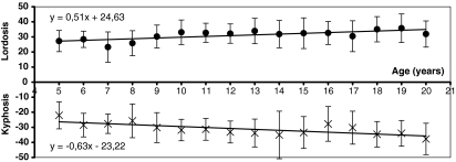
When the whole population is considered, the mean thoracic kyphosis values ranged from 25° in 7-year olds to 38° in 19-year olds. For lumbar lordosis, the values also tended to increase with age, with mean lumbar lordosis values ranging from 22° in 5-year olds to 32° in 20-year olds.
Figure 6 shows kyphotic variation with age, without gender distinction, with the straight line adjusted by linear regression analysis at 95% confidence intervals (CI). Kyphosis = 25 + 0.58 × age (P < 0.001). This means that the angular coefficient of 0.58 was significantly different from zero, with R2 = 7.7%, i.e., age accounted for 7.7% of the variation in kyphosis. The linear correlation coefficient was 0.28 (P < 0.001).
Fig. 6.
Scattered distribution of kyphotic angles for the whole population (males and females). The straight line is adjusted by linear regression at 95% confidence interval
Figure 7 shows lordotic variation with age, without gender distinction, with the straight line adjusted by linear regression analysis at 95% CI. Lordosis = 24 + 0.51 × age (P < 0.001). This means that the angular coefficient of 0.51 was significantly different from zero, with R2 = 4.0%, i.e., age accounted for 4.0% of the variation in lordosis. The linear correlation coefficient was 0.20 (P < 0.001).
Fig. 7.
Scattered distribution of lordotic angles for the whole population (males and females). The straight line is adjusted by linear regression at 95% confidence interval
Discussion
The authors successfully used the pantograph to measure spinal curves in the sagittal plane. The pantograph is easy to operate and its portability permits field research, thus, eliminating the need for subject transportation. Once calibrated, the pantograph allowed serial examinations, which facilitated data collection and lowered costs.
Although useful for postural evaluation, the pantograph should be carefully positioned and a laser beam pointer should be adapted to the mobile arm to assure that the pulley tracking is over the spinous processes. Therefore, the presence of scoliosis or any trunk asymmetry may represent a limitation of the method. Thus, if subjects move during the examination, the pantograph detects an error and invalidates the exam. This occurrence supports the validity of our measurements, since only technically satisfactory exams were recorded. The validation process showed that data acquired using X-rays were statistically similar to those obtained using the pantograph, although the analysis of Fig. 3 suggests that the pantograph may have overestimated the results, both for kyphosis and lordosis. These results are contrary to those found by Willner and Johnson [6], who reported that the pantograph underestimated lumbar lordosis values in their investigation. It must be realized that the pantograph tracks the dorsal surface anatomy and may also reflect the amount of adipose tissue. An attempt was made to minimize such influences by selecting volunteers by weight and stature. Another difference between the pantograph and radiograph may be related to the difference in the selection of the transition vertebra and even the top thoracic vertebra, as it may be difficult to be properly visualized on X-rays, as pointed out by Voutsinas and MacEwen [4]. In the same study, these authors discussed that Cobb’s method is not always accurate because two different spinal curvatures may have the same angle. Consequently, the differences in the curve are more accurately reflected when the length of the curves and their respective widths are considered. However, the same authors concluded that if this is true for pathologic curvatures, Cobb’s angle is an adequate method of evaluation when normal individuals are considered.
The evaluation of posture is based on both clinical and radiographic criteria [4]. We do not suggest that the pantograph should replace radiographs in evaluating postural anomalies. X-ray images give information that pantographs cannot. However, an important reason for developing non-invasive techniques to assess posture is to reduce exposure of subjects to X-rays when charting the development of spinal curves [13, 14] and to perform the screening of populations. In this investigation, it was possible to examine a large population with a controlled distribution of people in different age groups. Therefore, it was possible to take serial measurements of the thoracic and lumbar curves, avoiding the disadvantages found in retrospective studies that analyzed X-rays ordered for other purposes.
Our results demonstrate an age-related trend toward increases in thoracic kyphosis, although decreases were observed in isolated groups when compared with the younger age group (Table 2). This was interpreted as a casual occurrence and does not prove that such differences do not actually occur. Such results are very similar to those obtained by Voutsinas and MacEwen, which were based on radiographic analysis [4]. The Willner and Johnson’s series [6], using a pantograph, showed a general tendency for thoracic kyphosis to increase with age; however, for the ages between 10 and 12 years, they found a constant decrease.
Age-related increases in thoracic kyphosis can be attributed to overloading of spinal soft tissue, particularly to the intervertebral disk with ageing [19], or secondary to extreme physical activities, during the growth period [20]. Revel et al. [21] found destructive changes at the spinal growth plate in rats that were submitted to repetitive physical activity under weight overloading conditions. This issue warrants further investigation, but is probably not valid for normal young people. However, it would be interesting to assess the specific contribution of vertebral body shape and disk thickness to spinal curves in the growing individual, as Damasceno et al. [10] did for lordosis in adults.
Similar to other studies [4, 5, 22], the present one did not reveal any gender differences with thoracic kyphosis, except at some isolated ages, which was considered to be a random occurrence. With respect to gender, for kyphosis, the results agree with that of the other study [4]. Fon et al. [22] assessed the kyphosis on X-rays of 2- to 77-year olds who did not have postural anomalies and concluded that the rate of increase was higher in females than in males. Such differences were not observed in our investigation, but the studied populations were different.
For lordosis, we saw a general tendency of the curve to increase with age, with no gender differences, as was also revealed in other studies [4, 5, 8]. This contrasts with results obtained by Fernand and Fox [9], who found that females had a larger mean lordotic angle than males. However, their studied population was formed mostly of patients with low back pain, and radiographs were taken in the recumbent position.
Legaye and Duval-Beaupere [23] showed a strong correlation between pelvic tilt angle and thoracic kyphosis and lumbar lordosis, assessing the onset of spinal deviation with pelvic evaluation. These authors concluded that there are three parameters to consider for evaluation: (1) the pelvic angle, (2) the sacral angle and (3) the pelvic balance. These three measurements may directly affect thoracic kyphosis and lumbar lordosis. The pantograph does not allow such information to be obtained, and this may represent a limitation of the method.
In conclusion, we developed a pantograph that was useful in obtaining measurements of kyphosis and lordosis in normal individuals from 5 to 20 years of age. Both types of curve tended to increase with age, with a well-represented interval, according to linear variation. Furthermore, there were no differences between males and females.
References
- 1.O’Rahilly R, Muller F, Meyer DB (1980) The human vertebral column at the end of the embryonic period proper. I. The column as a whole. J Anat 131:565–575 [PMC free article] [PubMed]
- 2.Badnall KM, Harris PF, Jones PRN (1977) A radiographic study of the fetal spine. I. The development of the secondary cervical curvature. J Anat 123:777–782 [PMC free article] [PubMed]
- 3.Panattoni GL, Todros T (1988) Postural aspects of the human fetal spine: morphometric and functional study. Panminerva Med 7:250–253 [PubMed]
- 4.Voutsinas SA, MacEwen GD (1986) Sagittal profiles of the spine. Clin Orthop Rel Res 210:35–242 [PubMed]
- 5.Cil A, Yazic M, Uzumcugil A, Kandemir U, Alanay A, Alanay Y, Acaroglu RE, Surat A (2005) The evolution of sagittal alignment of the spine during childhood. Spine 30:93–100 [PubMed]
- 6.Willner S, Johnson B (1983) Thoracic kyphosis and lumbar lordosis during the growth period in children. Acta Paediatr Scand 72:873–888 [DOI] [PubMed]
- 7.Bernhardt M, Bridwell KH (1989) Segmental analysis of the sagittal plane alignment of the normal thoracic and lumbar spines and thoracolumbar junction. Spine 7:17–721 [DOI] [PubMed]
- 8.Stagnara P, Mauroy JCD, Dran G, Gonon GP, Constanzo G, Dimnet J, Pasquet A (1982) Reciprocal angulation of vertebral bodies in a sagittal plane: approach to references for the evaluation of kyphosis and lordosis. Spine 7:335–342 [DOI] [PubMed]
- 9.Fernand R, Fox DE (1985) Evaluation of lumbar lordosis. A prospective study and retrospective study. Spine 10:799–803 [DOI] [PubMed]
- 10.Damasceno LHF, Catarin SRG, Campos AD, Defino HLA (2006) Lumbar lordosis: a study of angle values of the vertebral bodies and the intervertebral disc role. Acta Ortop Bras 14:193–198 [DOI]
- 11.D’Osualdo F, Schierano S, Lannis M (1997) Validation of clinical measurement of kyphosis with a simple instrument, the arcometer. Spine 22: 408–413 [DOI] [PubMed]
- 12.Stotts AK, Smith JT, Santora SD, Roach JW, D’Astous JL (2002) Measurement of spinal kyphosis. Spine 27:2143–2146 [DOI] [PubMed]
- 13.Willner S (1981) Spinal pantograph—a non-invasive technique for describing kyphosis, lordosis in the thoracolumbar spine. Acta Orthop Scand 51:525–529 [DOI] [PubMed]
- 14.Willner S (1983) Spinal pantograph—a non-invasive anthropometric device for describing postures and asymmetries of the trunk. J Pediatr Orthop 3:245–249 [DOI] [PubMed]
- 15.Ohlén G, Spangfort E, Tingvall C (1989) Measurement of spinal sagittal configuration and mobility with Debrunner’s Kyphometer. Spine 14:580–583 [DOI] [PubMed]
- 16.Centers for Disease Control, Prevention-CDC. National Center for Health Statistics-NCHS. Clinical growth charts (2000) Available in: http://www.cdc.gov/nchs/data/nhanes/growthcharts/set1clinical/cj41l021.pdf. Accessed on 4 March 2006
- 17.Wynne-Davies R (1970) Acetabular dysplasia and familial joint laxity: two etiological factors in congenital dislocations of the hip. J Bone Joint Surg Br 52:704–716 [PubMed]
- 18.Vedantam R, Lenke LG, Bridwell KH, Linville DL, Blanke K (2000) The effect of variation in arm position on sagittal spinal alignment. Spine 25:2204–2209 [DOI] [PubMed]
- 19.Manns RA, Haddaway MJ, Mccal IW, Cassar Pullicino V, Davie MW (1996) The relative contribution of disc and vertebral morphometry to the angle of kyphosis in asymptomatic subjects. Clin Radiol 51:258–262 [DOI] [PubMed]
- 20.Hellström M, Jacobsson B, Swärd L, Peterson L (1990) Radiologic abnormalities of the thoracolumbar spine in athletes. Acta Radiol 31:127–132 [PubMed]
- 21.Revel M, Andre-Deshays C, Roudier R, Bertrand R, Hamard G, Ghislaine H, Bernard A (1992) Effects of repetitive strains on vertebral end plates in young rats. Clin Orthop Relat Res 279:303–309 [PubMed]
- 22.Fon GT, Pitt MJ, Thies AC Jr (1980) Thoracic kyphosis: range in normal subjects. AJR Am J Roentgenol 134:979–983 [DOI] [PubMed]
- 23.Legaye J, Duval-Beaupere G (2005) Sagittal plane alignment of the spine and gravity: a radiological and clinical evaluation. Acta Orthop Belg 71:213–220 [PubMed]







