Abstract
Acetaminophen (AA) is a widely used antipyretic drug that causes hepatotoxicity at high doses. Nuclear factor erythroid 2–related factor 2 (Nrf2) is a transcription factor that mitigates electrophilic stress from AA by inducing genes, such as NAD(P)H:quinone oxidoreductase 1 (Nqo1), multidrug resistance–associated proteins (Mrps), and glutathione (GSH) synthesis enzymes. To determine whether Nrf2 activation alters the biotransformation and excretion of AA, male wild-type, Nrf2-null, and Keap1 (Kelch-like ECH-associated protein 1)-knockdown (Keap1-kd) mice (which have increased activation of Nrf2) were administered a single subtoxic dose of AA (50 mg/kg, iv), after which, AA and its metabolites (AA-glucuronide [AA-GLUC]; AA-sulfate [AA-SULF]; AA-glutathione [AA-GSH]) were quantified in plasma, bile, and liver. AA-GLUC concentrations were reduced in plasma and elevated in livers of Nrf2-null mice due to decreased glucuronidation activity and lower expression of the basolateral efflux transporter Mrp3. In contrast, Keap1-kd mice had higher plasma and lower hepatic AA-GLUC concentrations, due to higher Mrp3 expression. Lower glucuronidation activity of Nrf2-null mice increased the proportion of AA available for sulfation, resulting in elevated AA-SULF concentrations in plasma, bile, and liver. Decreased AA-sulfation activity in Keap1-kd mice resulted in lower AA-SULF concentrations. AA-GSH conjugates were increased in Nrf2-null mice and tended to be lower in Keap1-kd mice. Furthermore, Nqo1, an enzyme capable of detoxifying the reactive intermediate of AA metabolism, N-acetyl-p-benzoquinone imine (NAPQI), had 85% lower activity in Nrf2-null mice and 415% higher activity in Keap1-kd mice relative to wild-type. In conclusion, lack of Nrf2 results in decreased AA glucuronidation, leading to increased AA available for NAPQI formation and decreased efflux of AA-GLUC via Mrp3; however, activation of Nrf2, as in Keap1-kd mice, results in decreased sulfotransferase activity, decreased AA-SULF formation, and enhanced elimination of AA-GLUC due to increased expression of Mrp3.
Keywords: Nrf2, acetaminophen, transporters, pharmacokinetics
Nuclear factor erythroid 2–related factor 2 (Nrf2) is a member of the family of basic leucine zipper transcription factors. Under basal conditions, Kelch-like ECH-associated protein 1 (Keap1) sequesters Nrf2 in the cytosol (Itoh et al., 2003; McMahon et al., 2003). During periods of oxidative/electrophilic stress, the Nrf2-Keap1 interaction is disrupted, permitting Nrf2 to translocate to the nucleus. Once in the nucleus, Nrf2 complexes with small musculo-aponeurotic fibrosarcoma proteins and binds to antioxidant response elements (ARE), promoting transcription of a large battery of cytoprotective genes (Itoh et al., 1997). Nrf2-ARE-dependent genes include the prototypical target gene NAD(P)H:quinone oxidoreductase 1 (Nqo1), and others such as glutamate-cysteine ligase, catalytic and modifiers subunits (Gclc and Gclm), glutathione-S-transferases (Gsts), UDP-glucuronosyltransferases (Ugts), multidrug resistance-associated proteins (Mrp2–4), and many others (Kobayashi and Yamamoto, 2006; Maher et al., 2007; Venugopal and Jaiswal, 1996).
Acetaminophen (AA) is a widely used analgesic and antipyretic drug that can produce hepatic injury with acute overdosing. AA is conjugated with glucuronic acid and sulfate, reactions catalyzed by Ugts and sulfotransferases (Sults), respectively (Nelson, 1990). In mice, AA-glucuronide (AA-GLUC) is excreted into bile via Mrp2 (Xiong et al., 2000). However, the basolateral transporter Mrp3 has a higher affinity for AA-GLUC and effluxes AA-GLUC into blood (Manautou et al., 2005). Furthermore, induction of rat Mrp3 by phenobarbital, trans-stilbene oxide, diallyl sulfide, or oltipraz increases efflux of AA-GLUC into blood (Gregus et al., 1990; Slitt et al., 2003). AA-sulfate (AA-SULF) is excreted into bile primarily via Mrp2, and to a lesser extent by breast cancer resistance protein (Bcrp) (Zamek-Gliszczynski et al., 2005). AA-SULF can also be effluxed into blood via Mrp3 and Mrp4 (Zamek-Gliszczynski et al., 2006). Some AA is also bioactivated by cytochrome P450s (Cyps) to N-acetyl-p-benzoquinone imine (NAPQI), which can be reduced back to AA in vitro in a redox reaction catalyzed by Nqo1 (Moffit et al., 2007) or scavenged through conjugation with glutathione (GSH) in a reaction that mainly occurs nonenzymatically. The resultant AA-GSH conjugate is then excreted as AA-GSH or one of its hydrolysis products, AA-cysteinylglycine (AA-Cys/Gly), AA-cysteine (AA-Cys), or the acetylated cysteine product, namely AA-mercapturate (AA-NAC). AA-GSH and AA-NAC are then effluxed into bile via Mrp2 (Chen et al., 2003).
The role of Nrf2 in AA hepatotoxicity has been previously investigated, but mainly with respect to the effects of Nrf2-dependent alterations in gene expression. Enomoto et al. (2001) concluded that Nrf2 protects against AA-induced liver injury by upregulating Ugt1a6, Gclc, and Gclm; however, their experiments were performed in Nrf2-null mice, demonstrating increased sensitivity to AA hepatotoxicity due to lower expression of cytoprotective enzymes, not protection from AA hepatotoxicity in a model of Nrf2 activation. Okawa et al. (2006), also basing conclusions mainly on mRNA expression data, deduced that hepatocyte-specific Keap1-null mice are resistant to AA hepatotoxicity because of increased hepatic Nrf2 activation and higher constitutive mRNA expression of Nqo1, Gclc, and Gsts. This study will investigate the functional effects of Nrf2 on the formation of AA conjugates, which ultimately affect the disposition of AA.
Keap1-knockdown (Keap1-kd) mice, in which Keap1 is expressed at low levels, resulting in increased Nrf2 activation, have recently been characterized (Okada et al., 2008; Reisman et al., 2009). Keap1-kd mice have increased, whereas Nrf2-null mice have decreased hepatic mRNA expression of Nqo1, Gclc, Gclm, Bcrp, Mrp2, Mrp3, and Mrp4. Nrf2-null mice have decreased hepatic Ugt mRNA expression levels, whereas Keap1-kd mice have Ugt mRNA expression unchanged from wild-type mice, with the exception of increases in Ugt1a6 and Ugt2b35. Also, Sult mRNA expression levels and Cyp enzyme activities generally do not differ among livers from wild-type, Nrf2-null, and Keap1-kd mice (Reisman et al., 2009).
Because Nrf2 can transcriptionally regulate genes important in the biotransformation and excretion of AA, namely Ugts, Gclc, Gclm, Nqo1, and Mrps, the purpose of this study was to investigate the disposition of AA in Nrf2-null and Keap1-kd mice. Ugt and Sult activities, as well as protein levels of Bcrp, Mrp2, Mrp3, and Mrp4, were examined in livers from wild-type, Nrf2-null, and Keap1-kd mice to determine whether changes in mRNA expression, as previously observed, functionally affect AA disposition.
METHODS
Reagents.
All chemicals, unless otherwise specified, were purchased from Sigma-Aldrich (St Louis, MO). Mrp3 (M5II-2), Mrp4 (M4I-10), and Bcrp (BXP-53) antibodies were provided by Dr George Scheffer (VU Medical Center, Amsterdam, Netherlands). Mrp2 antibody was provided by Bruno Steiger (University Hospital, Zurich, Switzerland).
Male albino guinea-pig microsomes were purchased from Xenotech, LLC (Lenexa, KS). 3-Hydroxy benzo[a]pyrene was purchased from the National Cancer Institute's Chemical Carcinogen Reference Standards Repository operated under contract by Midwest Research Institute (Kansas City, MO).
Animals and husbandry.
Eight-week-old male C57BL/6 mice were purchased from Charles River Laboratories, Inc (Wilmington, MA). Nrf2-null mice were obtained from Dr Jefferson Chan (University of California, Irvine, Irvine, CA) (Chan et al., 1996). Keap1-kd mice, were supplied by Dr Masayuki Yamamoto (Tohoku University, Aoba-ku, Sendai, Japan). Keap1-kd mice are homozygous for Keap1 loxP sites (no Albumin-Cre transgene) and have decreased or a “knockdown” of Keap1 (Keap1-kd), leading to increased activation of Nrf2 in multiple organs (Okada et al., 2008; Reisman et al., 2009).
Both Nrf2-null and Keap1-kd mice were backcrossed into C57BL/6 mice, and > 99% congenicity was confirmed by the speed congenics group at Jackson Laboratories (Bar Harbor, ME). Animals were housed in a temperature-, light-, and humidity-controlled environment and had access to Teklad Rodent Diet #8604 (Harlan Laboratories, Madison, WI) and water ad libitum. The housing facility is an American Animal Associations Laboratory Animal Care-accredited facility at the University of Kansas Medical Center, and all procedures were preapproved in accordance with Institutional Animal Care and Use Committee guidelines.
Determination of hepatobiliary disposition of AA.
Wild-type, Nrf2-null, and Keap1-kd (n = 5) mice were anesthetized by injection of ketamine/midazolam (100 and 5 mg/kg, respectively, ip). Body temperature was maintained at 37°C by rectal-probe–controlled heating pads. Subsequently, the right carotid artery was cannulated with PE-10 tubing, and the common bile duct was cannulated with the shaft of a 30-gauge needle attached to PE-10 tubing through a high abdominal incision. Depth of anesthesia was monitored by pinching the footpad before and throughout surgery, and if necessary, additional anesthetic drugs were administered to mice. Bile samples were collected in 15-min periods into preweighed 0.6-ml microcentrifuge tubes for five periods. The bile collection tubes were immersed in ice. After the first bile collection, AA (330 μmol/kg, 20% propylene glycol in saline, 5 ml/kg) was injected into the right femoral vein. Blood (30–35 μl) was collected from the carotid artery cannula for 30 s into heparinized tubes at 2, 7.5, 22.5, 37.5, and 52.5 min after AA injection. Volume of bile was quantified gravimetrically, using 1.0 for specific gravity. Bile and plasma were stored at −80°C. Livers were removed at 1 h, frozen in liquid nitrogen, and stored at −80°C.
Analysis of AA and its metabolites.
Liver, plasma, and bile samples were prepared as described previously (Manautou et al., 2005). Liver samples (1:3 wt/vol) were homogenized in ice-cold high performance liquid chromatography (HPLC)-grade methanol. Homogenates were centrifuged at 1200 × g for 30 min at 4°C, and the supernatants were diluted further (1:2) in 12.5% methanol/1% acetic acid in water (mobile phase A). Bile and plasma samples were diluted (1:1) with ice-cold methanol and then centrifuged at 1200 × g for 30 min at 4°C. Supernatants were further diluted (1:1 for bile and 1:1.5 for plasma) with mobile phase A. Further dilutions in mobile phase A were made where appropriate to be within the limits of the standard curve. HPLC-UV detection was performed as previously described with modifications (Howie et al., 1977). Mobile phase A consisted of 12.5% methanol/1% acetic acid in water, and mobile phase B consisted of 50% methanol in water. The mobile phase was first maintained at 8% for mobile phase B for 5 min, followed by a linear gradient of 10 min, ending at 25% mobile phase B. Flow rate was kept constant at 1 ml/min, and peaks were detected at 254 nm. The concentrations of AA and its metabolites were calculated using an AA standard curve. Retention times of AA and its metabolites were determined using authentic standards provided by McNeil-PPC, Inc (Fort Washington, PA).
Hepatic microsomal preparation and in vitro biochemical assays.
Liver was dounce homogenized in 0.1M potassium phosphate buffer containing 20% glycerol and 10mM dithiothreitol (1:10 wt/vol, pH 7.8). Homogenates were centrifuged at 10,000 × g at 4°C for 20 min, and the supernatant was centrifuged at 100,000 × g for 1 h. The cytosolic supernatant was stored at −80°C. The microsomal pellet was resuspended in 0.1M sodium phosphate buffer (pH 7.8) and used immediately.
Hepatic bioactivation of AA to NAPQI was determined in vitro, using a method described previously with modifications (Manautou et al., 1994). Briefly, 0.1M sodium phosphate buffer (pH 7.8), 0.83mM NADP, 15mM MgCl2, 20mM glucose-6-phosphate, 4 IU glucose-6-phosphate dehydrogenase, 1mM N-acetylcysteine (NAC, as the trapping agent for NAPQI), and microsomes (1–2 mg protein) were preincubated at 37°C in glass test tubes in a total volume of 200 μl. After 10 min, 100 μl of AA (20mM, incubation concentration) in sodium phosphate buffer (pH 7.8) was added and incubated for 20 min at 37°C. The reaction was stopped after 30 min by addition of 300 μl of ice-cold HPLC-grade methanol. The tubes were then centrifuged at 3200 × g for 30 min at 4°C. The supernatant was filtered (45-μm nylon filters) and analyzed by HPLC, as described above. Control incubations were similarly prepared without NAC, AA, or microsomes, and upon HPLC analysis, no AA-NAC peaks were detected. Activity was expressed as nmol AA-NAC/min/mg protein.
Hepatic Ugt activity was determined using a modified method (Manautou et al., 1996). Briefly, 0.1M sodium phosphate buffer (pH 7.8), 10mM MgCl2, 2.5mM UDP-glucuronic acid (UDP-GA), 0.5% Brij 58 (microsomal activator), and microsomes (1–2 mg protein) were preincubated for 10 min in glass test tubes in a total reaction volume of 250 μl. After 10 min, 100 μl of AA (5mM incubation concentration) in 0.1M sodium phosphate buffer (pH 7.8) was added to the preincubation mixture. The reaction was stopped after 30 min by addition of 300 μl of ice-cold HPLC-grade methanol. The tubes were then centrifuged at 3200 × g for 30 min at 4°C. The supernatant was filtered (45-μm nylon filters) and analyzed by HPLC, as described above. Control incubations were similarly prepared without either UDP-GA, AA, or microsomes, and upon HPLC analsys, no AA-GLUC peaks were detected. Activity was expressed as nmol AA-UDP-GA/min/mg protein.
Hepatic Sult activity was quantified using cytosolic extracts (Liu and Klaassen, 1996; Mizuma et al., 1984). Briefly, cytosols were preincubated at 37°C for 10 min. Then 0.5mM AA and 0.1mM 3′-phosphoadenosine 5′-phosphosulfate (PAPS) in 0.1M sodium phosphate buffer were added, and the mixture was incubated at 37°C. After 20 min, 25 μl of 25% (vol/vol) HClO4 was added to stop the reaction. Fifty microliters of 0.8M BaCl2 was added to the incubation mixture, and the mixture was centrifuged at 3000 × g for 10 min at 4°C. The supernatant was transferred to a clean test tube, and 300 μl of ice-cold HPLC-grade methanol was added. The mixture was centrifuged a second time at 3000 × g for 10 min at 4°C. The supernatant was filtered (45-μm nylon filters) and analyzed by HPLC, as described above. Control incubations were similarly prepared without PAPS, AA, or cytosols, and upon HPLC analysis, no AA-SULF peaks were detected. Activity was expressed as nmoles AA-SULF/min/mg protein.
Cytosolic Nqo1 enzyme activity was determined by quantifying the reduction of 2,6-dichlorophenol-indophenol (DCPIP), as described previously (Benson et al., 1980; Ernster, 1967) and modified (Aleksunes et al., 2006a).
UPD-GA determination.
Hepatic concentrations of UDP-GA were determined using the method of formation of benzo[a]pyrene 3-glucuronide, as described previously (Singh et al., 1980). Briefly, approximately 50 mg of liver was boiled for 3 min in 5 ml of water. After cooling, liver was dounce homogenized and centrifuged at 3000 × g for 10 min at 4°C. The supernatant was further diluted to a final concentration of 5 mg wet weight of liver/ml of water. The reaction mixture (200 μl) contained 20 μmol Tris-HCl buffer, pH 7.6; 1 μmol MgCl2; 0.01% Brij-58 (wt/vol); 10 nmol 3-hydroxybenzo[a]pyrene in 10 μl of methanol; 50 μl of liver tissue homogenate; and 50 μg male albino guinea-pig liver microsomal protein in 0.25M sucrose. The mixture was incubated for 30 min at 37°C with mild shaking. Six ml of chloroform/methanol (2:1, vol/vol) and 0.8 ml of water were added to the mixture, and tubes were shaken. Tubes were centrifuged at 1000 × g for 1 min at room temperature, and 200 μl of the supernatant was transferred to an opaque 96-well plate. Fluorescence of the benzo[a]pyrene 3-glucuronide was quantified at 378 excitation/425 emission. Concentrations of UDP-GA in unknown liver samples were calculated using a standard curve of known concentrations of UDP-GA.
Immunofluorescence staining.
Immunofluorescence of Mrp2, Mrp3, Mrp4, and Bcrp was performed similarly as described previously (Aleksunes et al., 2006b). Cryostat cut tissue sections (5 μm) were fixed with 4% paraformaldehyde for 5 min. All antibody solutions were filtered through 0.22-μm membrane syringe-driven filter units (Millipore, Billerica, MA). Sections were blocked with 5% goat serum/phosphate-buffered saline with 0.1% Triton X (PBS-Tx) for 1 h and then incubated with Mrp2, Mrp3, Mrp4, or Bcrp primary antibody diluted 1:100 in 5% goat serum/PBS-Tx for 2 h at room temperature. After incubation with primary antibody, the sections were washed three times in PBS-Tx and incubated for 1 h with goat anti-rat IgG Alexa 488 for Mrp3, Mrp4, and Bcrp and with goat anti-rabbit IgG Alexa 488 for Mrp2 (Invitrogen Corporation, Carlsbad, CA) diluted 1:200 in 5% goat serum/PBS-Tx. The sections were air-dried and mounted in Prolong Gold with 4′,6-diamidino-2-phenylindole (Invitrogen Corp.). Frozen liver sections were stained and imaged under uniform conditions for each antibody. Negative controls without primary antibody were also included in the analysis (data not shown). Images were captured on an Olympus BX41 fluorescent microscope with a DP70 camera and DP Controller software (Olympus, Center Valley, PA).
Statistical analysis.
Data were analyzed using a one-way ANOVA followed by Duncan's multiple range test (p ≤ 0.05) utilizing SigmaStat Software (Systat Software Inc., San Jose, CA). n = 5 for all groups, and values are expressed as mean ± SEM.
RESULTS
Plasma Disposition of AA and its Conjugates
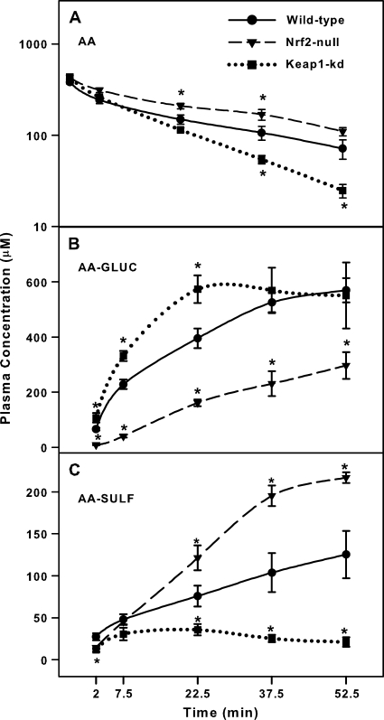
One hour after AA (330 μmol/kg, iv) administration, serum ALT concentrations ranged from 35 to 65 IU/l with no differences among genotypes, indicating that there was no apparent hepatotoxicity at this dose during the 1 h of bile collection (data not shown). Plasma disappearance of AA was decreased in Nrf2-null mice and increased in Keap1-kd mice (Fig. 1A). AA-GLUC was the most abundant AA-metabolite detected in plasma. The plasma appearance of AA-GLUC was decreased in Nrf2-null mice and increased in Keap1-kd mice at 7.5 and 22 min (Fig. 1B). Plasma AA-GLUC concentrations in Nrf2-null mice did not approach the plasma concentrations of wild-type mice during the 1-h timeframe, reaching a maximum concentration that was only 48% of wild-type mice. Plasma AA-GLUC concentrations were 45–62% higher in Keap1-kd mice for the first 22.5 min, but were comparable to wild-type mice at subsequent time points. Plasma AA-SULF was 61–82% higher in the Nrf2-null mice, whereas it was markedly reduced 85–96% in Keap1-kd mice (Fig. 1C). AA-GSH conjugates in plasma were not different among genotypes, and AA-Cys and AA-NAC conjugates were not detected in plasma (data not shown).
FIG. 1.
Plasma concentrations of AA (A), AA-GLUC (B), and AA-SULF (C) in wild-type, Nrf2-null, and Keap1-kd mice administered AA (330 μmol/kg, iv). Values are expressed as mean ± SEM. Asterisks (*) indicate a statistically significant difference from wild-type mice (p ≤ 0.05).
Biliary Disposition of AA and its Conjugates
Even though only a small portion of AA is excreted nonbiotransformed into bile, Nrf2-null mice had higher, and Keap1-kd mice had lower, cumulative biliary excretion of AA (Fig. 2A). There were no differences in the biliary excretion of AA-GLUC among genotypes (Fig. 2B). Cumulative biliary excretion of AA-SULF was increased 40–43% in Nrf2-null mice at 45 and 60 min, and decreased 35–40% at 30, 45, and 60 min in Keap1-kd mice (Fig. 2C). AA-GSH was the most abundant metabolite excreted into bile. Cumulative biliary excretion of AA-GSH was increased 54–76% in Nrf2-null mice (Fig. 2D, values at 30 and 45 min tended to be higher than wild-type, p ≤ 0.06). There was no difference in cumulative biliary excretion of AA-GSH between Keap1-kd and wild-type mice. AA-Cys was not detected in bile, and biliary excretion of AA-NAC was low and not different among genotypes (data not shown).
FIG. 2.
Cumulative biliary excretion of AA (A), AA-GLUC (B), AA-SULF (C), and AA-GSH (D) in wild-type, Nrf2-null, and Keap1-kd mice administered AA (330 μmol/kg, iv). Values are expressed as mean ± SEM. Asterisks (*) indicate a statistically significant difference from wild-type mice (p ≤ 0.05).
AA and its Metabolites in Liver
Figure 3 shows the hepatic concentrations of AA and its metabolites in wild-type, Nrf2-null, and Keap1-kd mice at 1 h after administration. Accumulation of AA in livers of Nrf2-null and wild-type mice was similar after 1 h. However, the hepatic concentration of AA after 1 h was 71% lower in Keap1-kd mice than wild-type mice. Higher liver concentrations of AA-GLUC and AA-SULF accumulated in Nrf2-null mice, whereas these conjugates were reduced (AA-GLUC and AA-SULF) in Keap1-kd mice. AA-GSH was higher in Nrf2-null mice (191%) and tended to be lower (25%) in Keap1-kd mice than wild-type mice. There was no difference in hepatic concentrations of AA-NAC between Nrf2-null and wild-type mice; however, Keap1-kd mice had 79% lower hepatic concentrations of AA-NAC. There were no differences in AA-Cys in the liver after 1 h among the three genotypes (data not shown).
FIG. 3.
Hepatic concentrations remaining 1 h after administration of AA (330 μmol/kg, iv) for AA, AA-GLUC, AA-SULF, AA-GSH, and AA-NAC in wild-type, Nrf2-null, and Keap1-kd mice. Values are expressed as mean ± SEM. Asterisks (*) indicate a statistically significant difference from wild-type mice (p ≤ 0.05).
In Vitro Bioactivation, Glucuronidation, and Sulfation Activity
Hepatic microsomes were used to quantify AA bioactivation and Ugt activity, whereas cytosols were used to determine Sult activity. In vitro bioactivation activity of AA was not different among genotypes (Fig. 4A). In comparison to wild-type mice, in vitro glucuronidation activity of AA was 40% lower in Nrf2-null mice, whereas there was no increase in Keap1-kd mice (Fig. 4B). In vitro sulfation activity of AA was unchanged in Nrf2-null mice and 29% lower in Keap1-kd mice than wild-type mice (Fig. 4C).
FIG. 4.
In vitro enzyme activities of AA bioactivation (A), glucuronidation (B), and sulfation (C). Values are expressed as mean ± SEM. Asterisks (*) indicate a statistically significant difference from wild-type mice (p ≤ 0.05).
Hepatic UDP-GA Determination
UDP-GA concentrations in livers from wild-type, Nrf2-null, and Keap1-kd mice were determined because Ugt enzyme activity depends on availability of UDP-GA (Gregus et al., 1983; Singh and Schwarz, 1981). There were no differences in hepatic UDP-GA concentrations among the three genotypes (Fig. 5).
FIG. 5.
Hepatic UDP-GA concentrations in wild-type, Nrf2-null, and Keap1-kd mice. Values are expressed as mean ± SEM.
Nqo1 Enzyme Activity
Enzyme activity of the Nrf2 prototypical target gene Nqo1 was quantified in wild-type, Nrf2-null, and Keap1-kd mice (Fig. 6). Nqo1 activity was reduced 85% in Nrf2-null mice but elevated 514% in Keap1-kd mice.
FIG. 6.
Hepatic Nqo1 enzyme activity in wild-type, Nrf2-null, and Keap1-kd mice. Values are expressed as mean ± SEM. Asterisks (*) indicate a statistically significant difference from wild-type mice (p ≤ 0.05).
Immunofluorescence of Bcrp, Mrp2, Mrp3, and Mrp4
Hepatic expression of Bcrp, Mrp2, Mrp3, and Mrp4 proteins was assessed in frozen liver sections from wild-type, Nrf2-null, and Keap1-kd mice using indirect immunofluorescence (Fig. 7). The immunofluorescence of Bcrp and Mrp2 was consistent with localization to canalicular junctions between adjacent hepatocytes and was similar among all three genotypes. Mrp3 and Mrp4 proteins were localized to basolateral hepatocyte membranes. Immunofluorescence of Mrp3 was difficult to detect on the plasma membrane in Nrf2-null mice, moderately expressed in all hepatocytes in wild-type mice, and enhanced in all hepatocytes in Keap1-kd mice. Staining of Mrp4 was low in livers from wild-type and Nrf2-null mice, whereas Keap1-kd mice had enhanced immunostaining of Mrp4 predominantly on centrilobular hepatocytes.
FIG. 7.
Immunofluorescent analysis of Bcrp, Mrp2, Mrp3, and Mrp4 protein in wild-type, Nrf2-null, and Keap1-kd mice. Indirect immunofluorescence against Bcrp, Mrp2, Mrp3, and Mrp4 (green) was performed on liver cryosections. Representative regions are shown at ×200 magnification.
DISCUSSION
The increased susceptibility of Nrf2-null mice to AA hepatotoxicity has been attributed to decreased Ugt1a6 mRNA expression and reduced GSH concentrations in liver (Chan et al., 2001; Enomoto et al., 2001). In contrast, the increased resistance of hepatocyte-specific Keap1-null mice to AA hepatotoxicity, where there is increased activation of Nrf2, is suggested to be due to increased mRNA expression of Ugt1a6 and the GSH synthesizing enzyme, Gclc (Okawa et al., 2006). These previous studies using Nrf2-null and hepatocyte Keap1-null mice drew conclusions about sensitivity to AA hepatotoxicity mainly on gene/protein expression data. Because the biotransformation of AA is paramount in determining the severity of hepatotoxicity, the effects of differences in Nrf2 activation in in vivo mouse models were also determined in the present study. Herein, the pharmacokinetics of AA were investigated in Nrf2-null mice, which lack Nrf2, and Keap1-kd mice, which have enhanced activation of Nrf2.
The concentration of AA in plasma decreased more slowly in Nrf2-null mice and faster in Keap1-kd mice than in wild-type mice. Generally, changes in plasma disappearance of xenobiotics are due to alterations in uptake into liver, biotransformation, and/or excretion from liver into bile or plasma. Uptake transporters, such as organic anion transporting polypeptides, mediate the entrance of a large number of xenobiotics into hepatocytes (Klaassen and Lu, 2008). However, AA is generally not considered a substrate for uptake transporters, but instead is thought to enter hepatocytes by diffusion, indicating that uptake of AA does not likely play a role in the altered plasma disappearance of AA among wild-type, Nrf2-null, and Keap1-kd mice (McPhail et al., 1993). This suggests that the changes in rates of disappearance of AA from the plasma are most likely due to differences in the formation and/or efflux of different metabolites of AA among the three geneotypes.
In mice, glucuronidation accounts for approximately 50% of AA excreted into urine and bile, significantly influencing the amount of AA available for other pathways of biotransformation, such as sulfation and bioactivation (Gregus et al., 1988). Plasma concentrations of AA-GLUC are lower in Nrf2-null mice and higher in Keap1-kd mice (first 22.5 min) after AA administration (Fig. 1B). Reduced efflux of AA-GLUC into plasma of Nrf2-null mice is attributed to lower microsomal AA-glucuronidation activity (Fig. 4C) and Mrp3 expression (Fig. 7). Ugt1a6 mRNA expression is increased in Keap1-kd mice (Reisman et al., 2009); however, there was no change in AA-glucuronidation activity from livers of Keap1-kd mice (Fig. 4C). Therefore, increased hepatic efflux of AA-GLUC into plasma in Keap1-kd mice reflects the pronounced up-regulation of Mrp3 mRNA and protein (Fig. 7) (Okada et al., 2008; Reisman et al., 2009). Efflux of AA-GLUC into bile is similar among genotypes, most likely due to comparable amounts of Mrp2 protein among the three genotypes (Fig. 7). There is more AA-GLUC remaining in liver 1 h after AA administration in Nrf2-null mice, but less in Keap1-kd mice, which correlates inversely with the plasma appearance of AA-GLUC and Mrp3 protein. Glucuronidation is also influenced by the availability of the cosubstrate UDP-GA. However, there were no differences in hepatic UDP-GA concentrations among genotypes, which suggests that differences in AA-GLUC among genotypes are not due to availability of UDP-GA (Gregus et al., 1983; Singh and Schwarz, 1981). Therefore, lack of Nrf2 results in lower AA-GLUC in the plasma and higher amounts of AA-GLUC remaining in the liver, due to reduced AA-glucuronidation activity and Mrp3-mediated efflux from liver to plasma. In contrast, enhanced activation of Nrf2 in Keap1-kd mice increases AA-GLUC in the plasma and decreases AA-GLUC remaining in the liver 1 h after AA administration, which is attributed to elevated Mrp3 expression.
In mice, sulfation accounts for approximately 5% of the AA excreted into urine and bile, and any change in glucuronidation or bioactivation of AA could influence the quantity of AA available for sulfation (Gregus et al., 1988). Sulfation in rats is limited by the availability of PAPS; however, in mice, sulfation of AA is limited by Sult activity (Kim et al., 1995; Liu and Klaassen, 1996). AA-SULF concentrations in plasma, liver, and bile are inversely proportional to Nrf2 activation (i.e., increased AA-SULF in Nrf2-null mice and decreased AA-SULF in Keap1-kd mice). Expression of transporters capable of effluxing AA-SULF (Mrp2, Mrp3, Mrp4, and Bcrp) is either similar among all three genotypes or lower in Nrf2-null mice, suggesting that efflux is unlikely to be responsible for the differences, as no change or a decrease in efflux transporter expression should not result in an increase in hepatic efflux of AA-SULF (Nrf2-null mice). In addition, in vitro AA-sulfation activity was similar between Nrf2-null and wild-type mice. Taken together, the decrease in AA-GLUC activity and increase in formation and excretion of AA-SULF in Nrf2-null mice suggests a metabolic shift to sulfation to compensate for the decrease in the amount of AA undergoing glucuronidation. Keap1-kd mice have lower in vitro sulfation activity (Fig. 4B), resulting in reduced AA-SULF concentrations in plasma, liver, and bile. Phenol Sults in rat liver have higher activity when in a partially oxidized state, as the fully reduced state gives rise to a ternary complex that impedes binding of the cosubstrate PAPS (Marshall et al., 2000). It is possible that the more reduced environment caused by increased expression of cytoprotective genes in Keap1-kd mice liver results in lower Sult activity. Therefore, Nrf2-null mice have increased AA-SULF in plasma, liver, and bile because of decreased glucuronidation activity, which leaves more AA available for sulfation, but Keap1-kd mice have decreased AA-SULF directly due to decreased AA-sulfation activity.
Ultimately, AA hepatotoxicity depends on the quantity of AA bioactivated by Cyps and the ability to detoxify NAPQI through GSH conjugation or Nqo1-mediated quinone reduction. In general, Cyp2e1, 1a1, and 3a11 enzyme activities are not different among genotypes (Reisman et al., 2009). Therefore, it was not surprising that the in vitro ability to generate NAPQI was not different among the three genotypes (Fig. 4A). However, Nrf2-null mice generate more AA-GSH in vivo, as evident by more AA-GSH excreted into bile and remaining in liver (Figs. 2D and 3). The decreased ability to form AA-GLUC in Nrf2-null mice increases the availability of AA for bioactivation to the reactive metabolite NAPQI. Decreased microsomal AA-glucuronidation and Nqo1 activity (Fig. 6) likely contribute to increased AA-GSH formation in Nrf2-null mice. In turn, increased AA-GSH formation further decreases already reduced concentrations of GSH in Nrf2-null mice (Reisman et al., 2009), which could increase sensitivity to AA hepatotoxicity. Keap1-kd mice excrete similar quantities of AA-GSH into bile as wild-type mice (Fig. 2). In contrast, Keap1-kd mice tended to have lower concentrations of AA-GSH than wild-type mice remaining in their livers 1 h after administration of AA, which is likely the result of increased detoxification of NAPQI by Nqo1.
AA-NAC concentrations in the liver should have correlated with AA-GSH concentrations; however, AA-NAC concentrations remaining in the liver did not differ between Nrf2-null and wild-type mice and were decreased in Keap1-kd mice. A possible explanation for such a result could be due to differences in γ-glutamyl transpeptidase (Ggt) expression and activity. Ggt catalyzes the transfer of a γ-glutamyl moiety from glutathione S-conjugates to γ-glutamyl acceptors such as amino acids, dipeptides, or H2O. Ggt has been shown to be a Nrf2 target gene (Zhang et al., 2006), and Ggt differential expression provides a possible and plausible explanation for the differences observed in hepatic concentrations of AA-NAC among wild-type, Nrf2-null, and Keap1-kd mice. Further study of the role of Nrf2 on regulation of Ggt and other genes responsible for the catabolism of GSH and its conjugates is needed.
In conclusion, previous studies have shown that Nrf2 protects against hepatotoxicity, and the proposed explanation has been that the protection is due to an increase in genes that limit electrophile production through Phase-II conjugation (Ugts), increase elimination (Mrps) of conjugates, or protect against electrophilic stress (Nqo1, Gsts, Gclc, Ho-1, etc.) (Aleksunes and Manautou, 2007). Whereas there is little doubt that the induction of cytoprotective and other biotransformation genes, via Nrf2, is important in the prevention of hepatic injury, the present study emphasizes the effect of the Nrf2-Keap1 pathway on the pharmacokinetics of AA, which is summarized in Figure 8. Collectively, the results presented herein have shown that lack of Nrf2 results in decreased AA glucuronidation, leading to increased AA available for NAPQI formation and decreased efflux of AA-GLUC via Mrp3; however, activation of Nrf2, as in Keap1-kd mice, results in decreased Sult activity, decreased AA-SULF formation, and enhanced elimination of AA-GLUC due to increased expression of Mrp3.
FIG. 8.
Summary figures of AA metabolism in Nrf2-null (upper) and Keap1-kd (lower) mice. Arrows represent changes from wild-type mice for a metabolite, enzyme, or transporter. Upper. In Nrf2-null mice, there is decreased AA-glucuronidation and AA-GLUC efflux via Mrp3. Decreased glucuronidation causes a metabolic shift, resulting in increased AA-SULF formation. In addition, decreased glucuronidation in Nrf2-null mice results in more AA available for NAPQI formation, which coupled with decreased Nqo1 activity, results in an increase in AA-GSH. Lower. In Keap1-kd mice, there is a decrease in Sult activity and AA-SULF formation. Increased efflux of AA-GLUC into plasma is a result of increased Mrp3 expression in Keap1-kd mice. NAPQI that is formed can readily be detoxified by Nqo1 or GSH conjugation.
FUNDING
National Institute of Health grants (ES09716, ES07079, ES013714, ES09649, and RR021940).
Acknowledgments
We thank the members of the Klaassen laboratory for technical support and manuscript revision assistance, Nrf2-null mice were graciously provided by Dr. Jefferson Chan (University of California-Irvine, Irvine, CA) and Keap1-kd mice by Dr Masayuki Yamamoto (Tohoku University, Aoba-ku, Sendai, Japan). Authentic AA standards were provided by McNeil-PPC, Inc. (Fort Washington, PA). Mrp3 (M5II-2), Mrp4 (M4I-10), and Bcrp (BXP-53) antibodies were gifts from Dr George Scheffer (VU Medical Center, Amsterdam, Netherlands). Mrp2 antibody was a gift from Dr Bruno Steiger (University Hospital, Zurich, Switzerland). This project was performed, in part using 3-hydroxy benzo[a]pyrene purchased from the National Cancer Institute's Chemical Carcinogen Reference Standards Repository operated under contract by Midwest Research Institute, No. N02-CB-07008.
References
- Aleksunes LM, Goedken M, Manautou JE. Up-regulation of NAD(P)H quinone oxidoreductase 1 during human liver injury. World J. Gastroenterol. 2006a;12:1937–1940. doi: 10.3748/wjg.v12.i12.1937. [DOI] [PMC free article] [PubMed] [Google Scholar]
- Aleksunes LM, Manautou JE. Emerging role of Nrf2 in protecting against hepatic and gastrointestinal disease. Toxicol. Pathol. 2007;35:459–473. doi: 10.1080/01926230701311344. [DOI] [PubMed] [Google Scholar]
- Aleksunes LM, Scheffer GL, Jakowski AB, Pruimboom-Brees IM, Manautou JE. Coordinated expression of multidrug resistance-associated proteins (Mrps) in mouse liver during toxicant-induced injury. Toxicol. Sci. 2006b;89:370–379. doi: 10.1093/toxsci/kfi332. [DOI] [PubMed] [Google Scholar]
- Benson AM, Hunkeler MJ, Talalay P. Increase of NAD(P)H:quinone reductase by dietary antioxidants: Possible role in protection against carcinogenesis and toxicity. Proc. Natl. Acad. Sci. U. S. A. 1980;77:5216–5220. doi: 10.1073/pnas.77.9.5216. [DOI] [PMC free article] [PubMed] [Google Scholar]
- Chan K, Han XD, Kan YW. An important function of Nrf2 in combating oxidative stress: Detoxification of acetaminophen. Proc. Natl. Acad. Sci. U. S. A. 2001;98:4611–4616. doi: 10.1073/pnas.081082098. [DOI] [PMC free article] [PubMed] [Google Scholar]
- Chan K, Lu R, Chang JC, Kan YW. NRF2, a member of the NFE2 family of transcription factors, is not essential for murine erythropoiesis, growth, and development. Proc. Natl. Acad. Sci. U. S. A. 1996;93:13943–13948. doi: 10.1073/pnas.93.24.13943. [DOI] [PMC free article] [PubMed] [Google Scholar]
- Chen C, Hennig GE, Manautou JE. Hepatobiliary excretion of acetaminophen glutathione conjugate and its derivatives in transport-deficient (TR-) hyperbilirubinemic rats. Drug Metab. Dispos. 2003;31:798–804. doi: 10.1124/dmd.31.6.798. [DOI] [PubMed] [Google Scholar]
- Enomoto A, Itoh K, Nagayoshi E, Haruta J, Kimura T, O'Connor T, Harada T, Yamamoto M. High sensitivity of Nrf2 knockout mice to acetaminophen hepatotoxicity associated with decreased expression of ARE-regulated drug metabolizing enzymes and antioxidant genes. Toxicol. Sci. 2001;59:169–177. doi: 10.1093/toxsci/59.1.169. [DOI] [PubMed] [Google Scholar]
- Ernster L. DT diaphorase. Methods Enzymol. 1967;10:309–317. [Google Scholar]
- Gregus Z, Madhu C, Klaassen CD. Species variation in toxication and detoxication of acetaminophen in vivo: A comparative study of biliary and urinary excretion of acetaminophen metabolites. J. Pharmacol. Exp. Ther. 1988;244:91–99. [PubMed] [Google Scholar]
- Gregus Z, Madhu C, Klaassen CD. Effect of microsomal enzyme inducers on biliary and urinary excretion of acetaminophen metabolites in rats. Decreased hepatobiliary and increased hepatovascular transport of acetaminophen-glucuronide after microsomal enzyme induction. Drug Metab. Dispos. 1990;18:10–19. [PubMed] [Google Scholar]
- Gregus Z, Watkins JB, Thompson TN, Klaassen CD. Depletion of hepatic uridine diphosphoglucuronic acid decreases the biliary excretion of drugs. J. Pharmacol. Exp. Ther. 1983;225:256–262. [PubMed] [Google Scholar]
- Howie D, Adriaenssens PI, Prescott LF. Paracetamol metabolism following overdosage: Application of high performance liquid chromatography. J. Pharm. Pharmacol. 1977;29:235–237. doi: 10.1111/j.2042-7158.1977.tb11295.x. [DOI] [PubMed] [Google Scholar]
- Itoh K, Chiba T, Takahashi S, Ishii T, Igarashi K, Katoh Y, Oyake T, Hayashi N, Satoh K, Hatayama I, et al. An Nrf2/small Maf heterodimer mediates the induction of phase II detoxifying enzyme genes through antioxidant response elements. Biochem. Biophys. Res. Commun. 1997;236:313–322. doi: 10.1006/bbrc.1997.6943. [DOI] [PubMed] [Google Scholar]
- Itoh K, Wakabayashi N, Katoh Y, Ishii T, O'Connor T, Yamamoto M. Keap1 regulates both cytoplasmic-nuclear shuttling and degradation of Nrf2 in response to electrophiles. Genes Cells. 2003;8:379–391. doi: 10.1046/j.1365-2443.2003.00640.x. [DOI] [PubMed] [Google Scholar]
- Kim HJ, Rozman P, Klaassen CD. Acetaminophen does not decrease hepatic 3′-phosphoadenosine 5′-phosphosulfate in mice. J. Pharmacol. Exp. Ther. 1995;275:1506–1511. [PubMed] [Google Scholar]
- Klaassen CD, Lu H. Xenobiotic transporters: Ascribing function from gene knockout and mutation studies. Toxicol. Sci. 2008;101:186–196. doi: 10.1093/toxsci/kfm214. [DOI] [PubMed] [Google Scholar]
- Kobayashi M, Yamamoto M. Nrf2-Keap1 regulation of cellular defense mechanisms against electrophiles and reactive oxygen species. Adv. Enzyme Regul. 2006;46:113–140. doi: 10.1016/j.advenzreg.2006.01.007. [DOI] [PubMed] [Google Scholar]
- Liu L, Klaassen CD. Different mechanism of saturation of acetaminophen sulfate conjugation in mice and rats. Toxicol. Appl. Pharmacol. 1996;139:128–134. doi: 10.1006/taap.1996.0151. [DOI] [PubMed] [Google Scholar]
- Maher JM, Dieter MZ, Aleksunes LM, Slitt AL, Guo G, Tanaka Y, Scheffer GL, Chan JY, Manautou JE, Chen Y, et al. Oxidative and electrophilic stress induces multidrug resistance-associated protein transporters via the nuclear factor-E2-related factor-2 transcriptional pathway. Hepatology. 2007;46:1597–1610. doi: 10.1002/hep.21831. [DOI] [PubMed] [Google Scholar]
- Manautou JE, de Waart DR, Kunne C, Zelcer N, Goedken M, Borst P, Elferink RO. Altered disposition of acetaminophen in mice with a disruption of the Mrp3 gene. Hepatology. 2005;42:1091–1098. doi: 10.1002/hep.20898. [DOI] [PubMed] [Google Scholar]
- Manautou JE, Hoivik DJ, Tveit A, Hart SG, Khairallah EA, Cohen SD. Clofibrate pretreatment diminishes acetaminophen's selective covalent binding and hepatotoxicity. Toxicol. Appl. Pharmacol. 1994;129:252–263. doi: 10.1006/taap.1994.1250. [DOI] [PubMed] [Google Scholar]
- Manautou JE, Tveit A, Hoivik DJ, Khairallah EA, Cohen SD. Protection by clofibrate against acetaminophen hepatotoxicity in male CD-1 mice is associated with an early increase in biliary concentration of acetaminophen-glutathione adducts. Toxicol. Appl. Pharmacol. 1996;140:30–38. doi: 10.1006/taap.1996.0194. [DOI] [PubMed] [Google Scholar]
- Marshall AD, McPhie P, Jakoby WB. Redox control of aryl sulfotransferase specificity. Arch. Biochem. Biophys. 2000;382:95–104. doi: 10.1006/abbi.2000.2020. [DOI] [PubMed] [Google Scholar]
- McMahon M, Itoh K, Yamamoto M, Hayes JD. Keap1-dependent proteasomal degradation of transcription factor Nrf2 contributes to the negative regulation of antioxidant response element-driven gene expression. J. Biol. Chem. 2003;278:21592–21600. doi: 10.1074/jbc.M300931200. [DOI] [PubMed] [Google Scholar]
- McPhail ME, Knowles RG, Salter M, Dawson J, Burchell B, Pogson CI. Uptake of acetaminophen (paracetamol) by isolated rat liver cells. Biochem. Pharmacol. 1993;45:1599–1604. doi: 10.1016/0006-2952(93)90300-l. [DOI] [PubMed] [Google Scholar]
- Mizuma T, Araya H, Hayashi M, Awazu S. Multiple forms of aryl sulfotransferase for acetaminophen sulfate conjugation in rat liver cytosol. J. Pharmacobiodyn. 1984;7:784–789. doi: 10.1248/bpb1978.7.784. [DOI] [PubMed] [Google Scholar]
- Moffit JS, Aleksunes LM, Kardas MJ, Slitt AL, Klaassen CD, Manautou JE. Role of NAD(P)H:quinone oxidoreductase 1 in clofibrate-mediated hepatoprotection from acetaminophen. Toxicology. 2007;230:197–206. doi: 10.1016/j.tox.2006.11.052. [DOI] [PMC free article] [PubMed] [Google Scholar]
- Nelson SD. Molecular mechanisms of the hepatotoxicity caused by acetaminophen. Semin. Liver Dis. 1990;10:267–278. doi: 10.1055/s-2008-1040482. [DOI] [PubMed] [Google Scholar]
- Okada K, Shoda J, Taguchi K, Maher JM, Ishizaki K, Inoue Y, Ohtsuki M, Goto N, Takeda K, Utsunomiya H, et al. Ursodeoxycholic acid stimulates Nrf2-mediated hepatocellular transport, detoxification, and antioxidative stress systems in mice. Am. J. Physiol. Gastrointest. Liver Physiol. 2008;295:G735–747. doi: 10.1152/ajpgi.90321.2008. [DOI] [PubMed] [Google Scholar]
- Okawa H, Motohashi H, Kobayashi A, Aburatani H, Kensler TW, Yamamoto M. Hepatocyte-specific deletion of the keap1 gene activates Nrf2 and confers potent resistance against acute drug toxicity. Biochem. Biophys. Res. Commun. 2006;339:79–88. doi: 10.1016/j.bbrc.2005.10.185. [DOI] [PubMed] [Google Scholar]
- Reisman SA, Yeager RL, Yamamoto M, Klaassen CD. Increased Nrf2 activation in livers from Keap1-knockdown mice increases expression of cytoprotective genes that detoxify electrophiles more than those that detoxify reactive oxygen species. Toxicol. Sci. 2009;108:35–47. doi: 10.1093/toxsci/kfn267. [DOI] [PMC free article] [PubMed] [Google Scholar]
- Singh J, Schwarz LR. Dependence of glucuronidation rate on UDP-glucuronic acid levels in isolated hepatocytes. Biochem. Pharmacol. 1981;30:3252–3254. doi: 10.1016/0006-2952(81)90528-1. [DOI] [PubMed] [Google Scholar]
- Singh J, Schwarz LR, Wiebel FJ. A rapid enzymic procedure for the determination of picomole amounts of UDP-glucuronic acid. Biochem. J. 1980;189:369–372. doi: 10.1042/bj1890369. [DOI] [PMC free article] [PubMed] [Google Scholar]
- Slitt AL, Cherrington NJ, Maher JM, Klaassen CD. Induction of multidrug resistance protein 3 in rat liver is associated with altered vectorial excretion of acetaminophen metabolites. Drug Metab. Dispos. 2003;31:1176–1186. doi: 10.1124/dmd.31.9.1176. [DOI] [PubMed] [Google Scholar]
- Venugopal R, Jaiswal AK. Nrf1 and Nrf2 positively and c-Fos and Fra1 negatively regulate the human antioxidant response element-mediated expression of NAD(P)H:quinone oxidoreductase1 gene. Proc. Natl. Acad. Sci. U. S. A. 1996;93:14960–14965. doi: 10.1073/pnas.93.25.14960. [DOI] [PMC free article] [PubMed] [Google Scholar]
- Xiong H, Turner KC, Ward ES, Jansen PL, Brouwer KL. Altered hepatobiliary disposition of acetaminophen glucuronide in isolated perfused livers from multidrug resistance-associated protein 2-deficient TR(-) rats. J. Pharmacol. Exp. Ther. 2000;295:512–518. [PubMed] [Google Scholar]
- Zamek-Gliszczynski MJ, Hoffmaster KA, Tian X, Zhao R, Polli JW, Humphreys JE, Webster LO, Bridges AS, Kalvass JC, Brouwer KL. Multiple mechanisms are involved in the biliary excretion of acetaminophen sulfate in the rat: Role of Mrp2 and Bcrp1. Drug Metab. Dispos. 2005;33:1158–1165. doi: 10.1124/dmd.104.002188. [DOI] [PubMed] [Google Scholar]
- Zamek-Gliszczynski MJ, Nezasa K, Tian X, Bridges AS, Lee K, Belinsky MG, Kruh GD, Brouwer KL. Evaluation of the role of multidrug resistance-associated protein (Mrp) 3 and Mrp4 in hepatic basolateral excretion of sulfate and glucuronide metabolites of acetaminophen, 4-methylumbelliferone, and harmol in Abcc3−/− and Abcc4−/− mice. J. Pharmacol. Exp. Ther. 2006;319:1485–1491. doi: 10.1124/jpet.106.110106. [DOI] [PubMed] [Google Scholar]
- Zhang H, Liu H, Dickinson DA, Liu RM, Postlethwait EM, Laperche Y, Forman HJ. gamma-Glutamyl transpeptidase is induced by 4-hydroxynonenal via EpRE/Nrf2 signaling in rat epithelial type II cells. Free Radic. Biol. Med. 2006;40:1281–1292. doi: 10.1016/j.freeradbiomed.2005.11.005. [DOI] [PMC free article] [PubMed] [Google Scholar]








