Abstract
Cytochrome P450s promote a variety of rearrangement reactions both as a consequence of the nature of the radical and other intermediates generated during catalysis, and of the neighboring structures in the substrate that can interact either with the initial radical intermediates or with further downstream products of the reactions. This article will review several kinds of previously published cytochrome P450-catalyzed rearrangement reactions, including changes in stereochemistry, radical clock reactions, allylic rearrangements, “NIH” and related shifts, ring contractions and expansions, and cyclizations that result from neighboring group interactions. Although most of these reactions can be carried out by many members of the cytochrome P450 superfamily, some have only been observed with select P450s, including some reactions that are catalyzed by specific endoperoxidases and cytochrome P450s found in plants.
Introduction
Among the reactions catalyzed by cytochrome P450s are several rearrangements that are a consequence both of the nature of the radical and other intermediates formed from the substrates, and of interacting structural elements in the substrates. Several of these reactions that involve short-lived intermediates have served as useful tools to help unravel the catalytic mechanisms of cytochrome P450 enzymes, while other rearrangement reactions that lead to longer-lived intermediates and products have revealed the complexity of reactions that can be initiated by these enzymes [1,2]. The purpose of this article is to review the variety of rearrangement reactions catalyzed by cytochrome P450s, which range from changes in stereochemistry and radical clock reactions to cyclizations that result from neighboring group interactions.
1. Stereochemistry of hydrocarbon hydroxylation
1.1 Retention of stereochemistry
Early work on cytochrome P450-catalyzed hydroxylation reactions suggested that insertion of the hydroxyl group into the substrate proceeded with retention of stereochemistry. Thus, the 7α-hydroxylation of cholesterol, the 11α-hydroxylation of pregnane-3,20-dione [3.4] and the hydroxylation of (1R)- and (1S)-[1-3H,2H,1H:1-14C]octane to 1-octanol by rat liver microsomes [5] were shown to occur with retention of stereochemistry. Likewise, NMR analysis demonstrated that the hydroxylation of (R)-(8-2H1)[8-3H1]- and (S)-(8-2H1) [8- 3H1] geraniol by cytochrome P450 gave products in which both the stereochemistry and regiochemistry was preserved [6]. Many other examples are now known in which the stereochemistry is retained during the hydroxylation of a C-H bond.
1.2 Loss of stereochemistry
The hydroxylation of 2,3,5,6-tetradeuteronorbornane by liver microsomes was shown in a seminal study to yield the exo- and endo-2-hydroxylated metabolites in a 0.76:1 ratio, in contrast to undeuterated norbornane, which gave the same two (but undeuterated) products in a 3.4:1 ratio (Fig. 1) [7]. The product ratio was therefore subject to an isotope effect of kH/kD = 11.5. Even more importantly, approximately 25% of the exo-hydroxylated 2,3,5,6-tetradeuteronorbornane retained all four deuterium atoms. This requires that abstraction of the endo-hydrogen from a fraction of the substrate molecules by the P450 catalytic oxygen is followed by inversion of stereochemistry and delivery of the hydroxyl from the exo-side, yielding the exo-hydroxy product with an endo-deuterium retained on the hydroxylated carbon atom. An analogous loss of stereochemistry was observed in the 5-exo-hydroxylation of camphor by cytochrome P450cam (CYP101). Studies with camphor labeled either on the 5-exo- or 5-endo-position with deuterium showed that the hydrogen abstraction could occur from either face, but delivery of the hydroxyl only occurred to give the 5-exo-hydroxyl product [8]. Similar results were reported for hydroxylation by the fungus Beauveria sulfurescens of a camphor derivative in which the carbonyl was replaced by a benzamido (PhCONH-) function [9]. The exo-alcohol was formed exclusively with high retention of deuterium whether the deuterium was initially in the endo- or exo-position. It was also reported that the hydroxylation of 1-[2H]-ethylbenzene to 1-phenylethanol proceeds with partial loss of stereochemistry [10]. Thus, although carbon hydroxylation can proceed with retention of stereochemistry, the hydroxylation mechanism must be such that in appropriate circumstances an intermediate is formed that can undergo conformational inversion prior to addition of the oxygen atom.
Fig. 1.
Loss of stereochemistry in the oxidation of all-exo-2,3,5,6-tetradeuterated norbornane by microsomal cytochrome P450. The cytochrome P450 heme group is represented by the iron between two solid bars. The oxidation state of the iron is shown, as is a radical cation delocalized over the porphyrin ring of the heme. Only the distal ligand to the iron atom is shown.
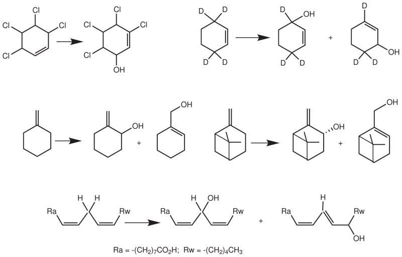
2. Allylic rearrangements
Rearrangements also provide evidence for the involvement of an intermediate in cytochrome P450-catalyzed carbon hydroxylation, as illustrated by the oxidation of 3,4,5,6-tetrachlorocyclohexene by housefly and rat liver microsomes [11], 3,3,6,6-tetradeuterated cyclohexene, methylenecyclohexane, and β-pinene by a purified P450 enzyme [12], and linoleic acid by liver microsomes [13] (Fig. 2). The oxidation of (R)(+)-pulegone by rat liver microsomes is exceptional because there is extensive isomerization about the double bond during the hydroxylation process (Fig. 3) [14]. The reaction appears to proceed via hydrogen abstraction from the (E)-methyl group, allylic isomerization of the resulting radical, and collapse of the radical with the iron-bound hydroxyl radical equivalent on the enzyme to give the alcohol that subsequently closes to give the furan.
Fig. 2.
Some of the allylic rearrangements observed in cytochrome P450-catalyzed hydroxylation reactions.
Fig. 3.
The unusual allylic rearrangement and cyclization observed in the oxidation of (+)-pulegone.
3. Radical clocks
3.1 Simple cyclopropyl probes
The term radical clocks refers to compounds that, when converted to a radical, undergo a radical rearrangement reaction at a defined rate (Fig. 4). Thus, a radical trapping agent can react with either the initial, unrearranged radical or the rearranged radical, and the ratio of the rearranged to unrearranged products depends primarily on two factors: (a) the rate of the rearrangement (i.e., the clock “speed”), and (b) the rate of the trapping reaction. The faster the rearrangement and the slower the trapping reaction, the greater the proportion of the rearranged product. In the context of cytochrome P450, the trapping agent of interest is the P450 ferryl species after it abstracts the hydrogen from the C-H bond being oxidized, generating the substrate radical. If the radical rearrangement rate is known from independent chemical studies, the rate of the trapping reaction can be estimated from the ratio of the rearranged to unrearranged products and the known rate of the rearrangement reaction. Radical clock experiments require some caution, as they assume that the radical rearrangement rate is not altered when the radical is constrained within an enzyme active site. In addition, in P450 studies it is increasingly clear that all the products should be identified and quantitated, as secondary oxidations can occur that influence the measured product ratio.
Fig. 4.
The basic principle of the radical clocks utilized in most cytochrome P450 studies. Substituents on the cyclopropyl ring are identified by the letters a and b. The rearrangement rate is give by the rate constant kr, whereas the trapping rate is defined by the constant kt.
In essentially all cytochrome P450 radical clock experiments, the radical clock has involved the rearrangement of a methylene cyclopropyl radical to a homoallylic radical. The rate of this rearrangement can be modulated by substituents on the cyclopropylmethylene group or by the structure into which this substructure is integrated. The essential elements of the radical clock reaction are captured in Fig. 4.
As summarized in Table 1 [15], early radical clock experiments with cyclopropylmethane [16], nortricyclane [16], and 1,1-dimethylcyclopropane [17] were unsuccessful, as the only products detected were the result of hydroxylation without rearrangement. Thus, either no radical intermediate was formed or the radical rearrangement was too slow to compete with trapping of the initial radical by the ferryl species. The first successful cytochrome P450 radical clock experiment was the oxidation of bicyclo[2.1.0]pentane by rat liver microsomes (Fig. 5) [16]. Although the rearrangement rate (the clock “speed”) was not known when the biological experiment was done, it was shown that P450 oxidation of this compound produced a 7:1 mixture of the unrearranged alcohol endo-2-hydroxybicyclo[2.1.0]pentane and the rearranged alcohol 3-cyclopenten-1-ol. Subsequent determination of the rearrangement rate for this radical system (kr = 2.4 × 109 s−1) [18], together with the product ratio from the biological experiment, indicated that trapping of the initial carbon radical by the P450 ferryl intermediate occurred at a rate of kt = 1.4 × 1010 s−1.
Table 1.
Radical clocks used to measure the rate of trapping of the carbon radical by the ferryl species during P450-catalyzed hydrocarbon hydroxylation reactions. the rate of the cyclopropyl ring opening reaction, the “oxygen rebound” rate determined from the data, and the reference(s) to the work. Based on reference 15 with permission.
| Clock structure | Principal rearranged product | Nominal clock rate kr (s−1) | P450 system utilized | Oxygen rebound rate kt (s−1) | ref | |
|---|---|---|---|---|---|---|
| 1 | ![]() |
![]() |
2.1 × 109 | Rat liver microsomes | 2.2 × 1010 | 16, 17 |
| 2 | ![]() |
ND | 1.2 × 108 | Rat liver microsomes | ND | 16 |
| 3 | ![]() |
ND | 0.8 × 108 | Rat liver microsomes | ND | 17 |
| 4 | ![]() |
![]() |
1.6 × 108 1.8 × 108 |
Rat liver microsomes | 1.5 × 1010 1.6 × 1010 |
17 |
| 5 | ![]() |
![]() |
8.0 × 108 2.3 × 108 |
Rat liver microsomes | 1.9 × 1010 1.8 × 1010 |
17 |
| 6 | ![]() |
![]() |
20 × 108 | Rat liver microsomes | 2.5 × 1011 | 17 |
| 7 | ![]() |
![]() |
47 × 108 | Rat liver microsomes, CYP2B4 | 2.3 × 1011 | 19 |
| 8 | 8.0 × 108 | CYP102 | 2.6 × 1010 | 20, 21 | ||
| 9 | ![]() |
![]() |
2 × 108 | CYP101, CYP102, CYP2B1, CYP2E1, CYP2B4 | ~2 × 1010 | 22, 23, 24 |
| 10 | ![]() |
ND | <1 × 106 | Rat liver microsomes | ND | 17 |
| 11 | ![]() |
![]() |
5 × 1011 | Rat liver microsomes, CYP2B4 | 7 × 109 to 1012 | 19 |
| 19 | ![]() |
![]() |
4.4 × 107 | CYP101, CYP102, CYP1A2 CYP2C9, CYP2C19, CYP2D6, CYP2E1, CYP3A4 | 0.7 – 12.5 × 1010 | 25, 26 |
| 20 | ![]() |
![]() |
1.0 × 108 | CYP101, CYP102, CYP1A2 CYP2C9, CYP2C19, CYP2D6, CYP2E1, CYP3A4 | 0.7 – 12.5 × 1010 | 25, 26 |
| 12 | ![]() |
![]() |
3.0 × 1011 | CYP2B1, Rat liver microsomes, CYP2B4 | 1.3 × 1012 2 × 109 to1.5 × 1012 |
19 28 |
| 13 | ![]() |
![]() |
1.5 × 1011 | CYP2B1 | 4 × 1012 | 28 |
| 14 | ![]() |
![]() |
1.5 × 1011 | CYP2B1 | 4 × 1012 | 28 |
| 15 | ![]() |
![]() |
1.2 × 1011 | CYP2B1 | >1,2 × 1013 | 28 |
| 16 | ![]() |
![]() |
9 × 1011 | CYP2B1 | 4 × 1012 | 28 |
| 17 | ![]() |
![]() |
4 × 1011 | CYP2B1 | 5 × 1012 | 28 |
| 18 | ![]() |
![]() |
3 × 1011 | Rat liver microsomes, CYP2B1 | 1.4 × 1013 | 29 |
Fig. 5.
The first successful radical clock reactions obtained with a cytochrome P450 system.
The cytochrome P450-catalyzed oxidation of a variety of other alkyl-substituted cyclopropanes, including cis- and trans-1,2-dimethylcyclopropane [17], 1,1,2,2-tetramethylcyclopropane [17], 1,1,2,2,3,3,-hexamethylcyclopropane [19], and fatty acids with a cyclopropane ring in the chain [20,21] gave mixtures of rearranged and unrearranged products from which the rate at which the carbon radical was trapped by the ferryl species was calculated to range from 1.5 × 1010 to 2.6 × 1011 s−1 (Table 1). A similar value was reported for the trapping reaction with norcarane as the substrate [22], although there is disagreement as to the extent of rearranged product formation, and thus the trapping rate [23,24]. This disagreement derives from the large number of products formed and the fact that some are formed from a cationic as opposed to radical intermediate. Except for this ambiguity, the results of the relatively simple radical clock experiments argue that a substrate radical is an intermediate in hydrocarbon hydroxylation, and that it is trapped by the P450 activated oxygen with a rate in the order of 1010-1011 s−1.
3.2. Two-zone radical clocks
A more sophisticated pair of radical clock probes based on the α- and β-thujone skeleton was developed for P450 studies. These probes differ from conventional radical clocks in that the radical is located on a carbon that can feed simultaneously into two competitive rearrangement reactions [25,26]. Hydrogen abstraction from C-4 of α- or β-thujone generates a carbon radical that can (a) undergo inversion of stereochemistry at C-4 before being trapped, or (b) undergo a ring opening reaction analogous to that of the simple methylenecyclopropyl probes (Fig. 6). The rate of C-4 inversion to give the opposite stereochemistry is very fast but is not known, so the loss of stereochemistry provides direct evidence for a radical intermediate but not a value for the rate of radical trapping. In contrast, the rate of the cyclopropyl ring opening reaction is known [27]. Based on this rate, the radical trapping rates reported by the thujone probes for a variety of P450 enzymes (Table 1) are in the range of 1–12 × 1010 s−1.
Fig. 6.
The manifold of rearrangements and products obtained upon C-4 oxidation of either α- or β-thujone. In addition, minor amounts of desaturation products involving the C-4 methyl or the isopropyl substituent are obtained.
3.3 Hypersensitive radical clocks
In order to increase the amount of rearranged products obtained in the radical clock experiments and therefore, the accuracy of the timing process, and to determine if there is a correlation between clock speed and rearranged product formation, radical clock substrates were developed in which the rearrangement occurs at increasingly rapid rates [28,29]. At face value, the results of these experiments disagree with those from other radical clock experiments, as they fit better with a C-H hydroxylation mechanism in which the oxygen insertion occurs in a concerted transition state rather than through the formation of a discrete radical intermediate. The basis for this view is that the faster clocks (Table 1) give radical recombination rates as high as ~1013 s−1, a rate that corresponds to a molecular vibration and thus, to the decay of a transition state to a product.
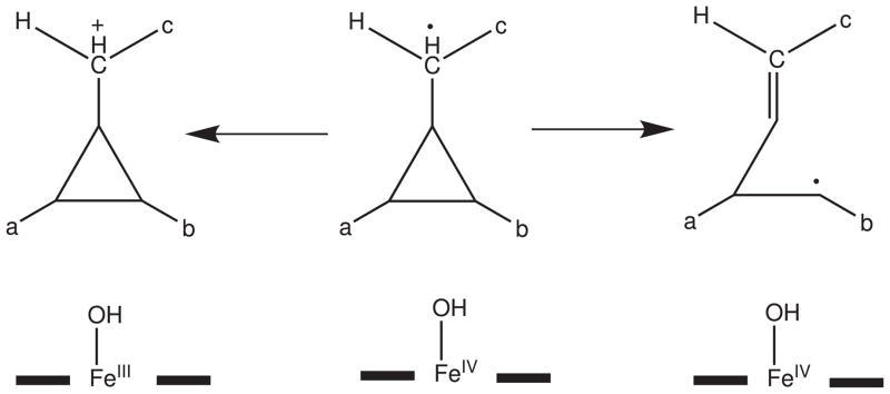
4. Probes for cationic intermediates
Cationic intermediates are also thought to occur in cytochrome P450 catalysis, either through direct formation in the hydroxylation reaction or, more likely, as a result of competitive electron transfer from the radical intermediate to the ferryl species (Fig. 7). Cationic intermediates have been inferred as probable precursors of the usually minor desaturated products that are formed during the P450-catalyzed hydroxylation of some substrates. These desaturation reactions include the conversion of valproic acid to 2-propyl-4-pentenoic acid [30,31], the Δ23-desaturation in the biosynthesis of ergosterol [32], the 6,7-desaturation of testosterone by CYP2A1 [33], and the introduction of a 6-exo-methylene group in the metabolism of lovastatin and simvastatin (Fig. 8) [34,35].
Fig. 7.
Illustration of the probable mechanism involved in formation of cationic intermediates using a schematic radical probe substrate. The cytochrome P450 heme iron is represented by the iron between two bars.
Fig. 8.
Examples of desaturation products formed in cytochrome P450 catalyzed oxidations.
Probes have been developed that differentially report on the incidence of radical versus cationic intermediates. The first of the probes, explicitly designed to distinguish radical and cationic intermediates, involves a cyclopropylmethylene species that will open in one direction if it is a radical and an alternative direction, favored by resonance with an oxygen substituent, if it is a cation (Fig. 9) [36]. The oxidation of this probe by CYP2B1, CYP2B4, and CYP2E1, as well as mutants of these enzymes lacking the catalytic threonine residue, suggested the radical species, if formed, was trapped at a rate between 5 × 1012 and 1.2 × 1013 s−1. Thus, like the ultrafast radical clocks, this probe gives a radical trapping rate more consistent with a transition state than a distinct radical intermediate. Cation rearrangement products were obtained with all the enzymes examined and accounted for 2–15% of the total cyclopropylmethylene-derived oxidation products. However, it is likely that some (or all) of the cationic products arise from oxidation of the initial radical intermediate to the cation. To the extent this is true, this probe will not correctly report on the extent of radical formation if the cation products are not quantitated or are assumed to arise by a mechanism that does not proceed via the radical intermediate.
Fig. 9.
The differential opening of the cyclopropyl ring expected for a probe that can differentiate between radical and cationic intermediates. However, as shown, the cationic intermediate could arise from the radical, leading to inaccurate estimates of radical formation.
In the case of the α- and β-thujone probes, the formation of a C-4 cation rather than radical has been shown by chemical experiments to result in aromatization of the ring to give carvacrol (Fig. 6) [26]. Small amounts of carvacrol, ranging from 0.1 to 4%, depending on the enzyme involved, were detected in the cytochrome P450-catalyzed oxidation of the thujones. A small amount of the cationic intermediate is therefore formed in the oxidation of the thujones through electron transfer from the initially formed radical to the ferryl species. Fatty acids with a cyclopropyl in the chain can also differentiate radical from cationic intermediates. However, with these substrates, radical rearrangements were observed but no cation-derived products were detected (Fig. 10) [20,21]. Another example of a compound that gives different products via radical than cation pathways is provided by a cubane derivative [36]. With this probe, no cation product was observed in incubations with CYP2B1 or CYP2B4, but it accounted for ~30% of the relevant oxidation products when the distal threonine residue was mutated out of the proteins.
Fig. 10.
A cyclopropyl radical probe that can also identify the incidence of cationic intermediates in cytochrome P450 catalysis.
5. “NIH” and related shifts
5.1. NIH shift in aromatic systems
The migration of substituents that occurs during the cytochrome P450-catalyzed formation of phenols from benzenoid substrates has been termed the “NIH shift” [37], and a generalized mechanism for this 1,2-rearrangement reaction from arene oxides was described several years ago by Jerina and Daly [38] (Fig. 11a). When “X” is a deuterium atom, a portion of the deuterium is retained in the position meta to the R group, consistent with epoxide ring opening and a 1,2-hydride shift. Shifts of other X substituents, such as halogens and methyl groups, have also been observed [39], and even nitro group migration has been observed in an imidazole heterocyclic aromatic compound [40]. Evidence suggests ring opening of the epoxide to yield an intermediate carbocation with the reaction proceeding in a direction affording the more stable cationic intermediate, and subsequent migration then occurs to that adjacent carbon atom containing the higher positive charge density.
Fig. 11.
Epoxide rearrangement reactions. a) Arene oxides can undergo 1,2-migration of substituents in what is classically called the “NIH shift”. b) A 1,2-hydride shift has been observed in the cytochrome P450-catalyzed oxidation of the non-aromatic exocyclic double bond in carvone as determined from deuterium labeling experiments. c) A similar rearrangement has been observed in the oxidation of terminal acetylenes that is proposed to proceed through oxirene and ketene intermediates. d) Arene oxides also can undergo an internal valence tautomeric rearrangement to oxepins.
5.2 Shifts in non-aromatic systems and valence tautomerism
Similar hydride shifts have been observed in non-aromatic systems based on deuterium retention in carboxylic acid end products, such as occurs in the metabolism of the monoterpene carvone in humans [41] (Fig. 11b) and in the P450-catalyzed oxidation of terminal acetylenes [42] (Fig. 11c). Finally, it should be noted that arene oxides undergo an internal valence tautomeric rearrangement to 7-membered ring oxepins [43] (Fig. 11d). The position of this equilibrium is largely dependent on the location of substituents on the ring, with substitution on the 2- or 4-carbon atoms favoring the oxepin tautomer, and substitution on the 3-carbon atom favoring the arene oxide tautomer [44,45].
Oxidation of some isolated double bonds by cytochrome P450 can lead to halide, hydride and other group shifts without the intermediate formation of an epoxide, even though epoxides are formed as metabolites along with heme alkylation products [46–48] (Fig. 12a). The formation of chloral from trichloroethylene is a specific example of a halide shift in the oxidation of a double bond without the intermediacy of an epoxide even though the epoxide is formed in a separate pathway (Fig. 12b) [46]. Note that under acidic conditions, halogenated epoxides do rearrange to give the carbonyl products. This suggests that cationic intermediates are formed in the P450-catalyzed reaction subsequent to the formation of an initial radical- or other oxyheme- complex.
Fig. 12.
Oxidation of isolated double bonds with atomic rearrangements. a) Some cytochrome P450-catalyzed oxidations of double bonds can result in 1,2-rearrangments of groups (R is most commonly a halide) without the intermediacy of an epoxide. The enzyme-bound intermediate also may lead to heme alkylation. b) Specific example of the P450-catalyzed oxidation of trichloroethylene to chloral and trichloroethylene oxide.
6. Ring contraction and expansion reactions
In addition to the ring rearrangements described in section 3 on Radical Clocks, several other ring contraction and expansion reactions are catalyzed by cytochrome P450s.
6.1 Ring contraction reactions
The NADPH-dependent microsomal oxidation of quadricyclane to a ring-contracted bicyclic aldehyde (Fig. 13a) is thought to occur through initial formation of a radical cation, followed by P450-oxygen rebound, and subsequent rearrangement of the enzyme bound cation [49]. This cation is known to be formed and to rearrange to the same aldehyde in the presence of peracids [50]. Similar ring contractions of azepine and cycloheptatriene structures in some drugs to acridene and dihydroanthracene structures (Fig. 13b) catalyzed by cytochromes P450 have also been observed [51,52].
Fig. 13.
Cytochrome P450-catalyzed ring contractions of a) quadricyclane and b) some azepines (R=N-) or cycloheptatrienes (R=CH-) are thought to proceed through radical cation and cationic intermediates.
Contraction of a substituted piperidine to a substituted pyrrolidine catalyzed by CYP3A4 has been proposed to occur through a stabilized radical cation that could then either rearrange through a radical (pathway A) or cation (pathway B) intermediate to form a carbinolamine that would dealkylate to give the final product (Fig. 14) [2,53]. The exact pathway for the ring contraction in the plant cytochrome P450-1 biosynthesis of gibberellins (Fig. 15) also is unknown, but could involve radical and/or cationic intermediates [54].
Fig. 14.
An unusual ring contraction of a substituted piperidine ring to a pyrrolidine has been proposed to proceed through either a radical (A) or cationic (B) pathway after the initial formation of a radical cation.
Fig. 15.
A plant cytochrome P450 catalyzes the ring contraction of a fused cyclohexanol to a fused cyclopentyl aldehyde in the biosynthesis of gibberellins.
6.2 Ring expansion reactions
Some bicyclic and other multifused-cyclic compounds undergo cytochrome P450-catalyzyed ring expansion reactions that are believed to proceed through cationic intermediates (Figure 16) [22,23,36]. On the other hand, formation of intermediate oxirenes is thought to be involved in the P450-catalyzed ring D homoannulation reactions of 17α-ethynyl steroids (Fig. 17a) [55,56] and ring expansion of an acetylenic cyclopropyl group to a cyclobutenyl ketone (Fig. 17b) [57]. However, it is likely that these rearrangements occur without actual completion of the epoxidation reaction. Note that the initial homoannulation aldehyde metabolites were detected either as their further oxidized and decarboxylated products, or as their reduced alcohols, and the unstable cyclobutenyl ketone was trapped as its glutathione conjugate.
Fig. 16.
Ring expansion of the carbocyclic fused rings in a) norcarane and b) methylcubane proceeds through cationic intermediates.
Fig. 17.
Ring expansions via rearrangements to reactive oxirenes formed by cytochrome P450-catalyzed oxidation of acetylenic ring substituents has been shown to occur in the a) homoannulation of 17α-ethynyl steroids and b) conversion of a cyclopropyl ethynyl group to a cyclobutenyl ketone. Note that the cyclobutenyl ketone was unstable, and was characterized as its glutathione conjugate.
7. Ring contraction and expansion, and other rearrangement reactions of peroxides
Acting as a peroxygenase, cytochrome P450s can catalyze both ring expansion and ring contraction reactions of 2,6-di-tert-butyl-4-hydroperoxy-4-methyl-2,5-cyclohexadienone by dioxygen bond homolysis and partitioning of a radical intermediate between oxygen rebound and desaturation (Fig. 18) [58]. In addition, a group of special cytochrome P450s catalyze a variety of rearrangement reactions with physiologically important lipid hydroperoxides and peroxides. For example, unsaturated fatty acid hydroperoxides undergo homolytic scission reactions to yield epoxy radicals that can undergo either hydroxylation with or without allylic rearrangement (Fig. 19a), or desaturation to form allene oxides that further rearrange to a variety of unsaturated ketone products (Fig. 19b) [59]. Different cytochrome P450s catalyze the reactions with different stereo- and regio-selectivities, and a special plant isoform, CYP74A, catalyzes allene oxide formation [60]. Another plant cytochrome P450, CYP74D1, has been found to catalyze the formation of an unusual divinyl ether from a linoleic hydroperoxide (Fig. 20) [61].
Fig. 18.
Homolytic scission of the peroxy derivative of t-butyl-hydroxytoluene by cytochrome P450s yields a ring expansion product most likely via rearrangement to an oxepin radical followed by desaturation, and a ring contraction product by oxygen rebound of the oxepin radical and subsequent rearrangement of the hemiketal.
Fig. 19.
Homolytic scission of unsaturated fatty acid peroxides a) by some human cytochrome P450s can produce isomeric unsaturated epoxy alcohols, and b) by some plant cytochrome P450s can produce allene oxides that can either rearrange to an unsaturated cyclopentyl ketone (solid arrow), or undergo hydration at 2 different sites to two different hydroxy ketone products (dashed arrows).
Fig. 20.
Formation of an unusual divinyl ether rearrangement product from a linoleic acid hydroperoxide by CYP47D1, a plant cytochrome P450.
Cytochrome P450s localized in the aorta (CYP8, prostacyclin synthase) and platelets (CYP5, thromboxane synthase) convert prostaglandin H2 to their respective prostacylin (Fig. 21a) and thromboxane products (Fig. 21b), respectively [62,63]. These internal rearrangement reactions may involve both cationic and radical intermediates in addition to the ones shown [64], although there is no direct evidence for any of these intermediates.
Fig. 21.
PGH2 can undergo homolytic scission either by a) prostacyclin synthase with subsequent oxyradical addition to a double bond and desaturation of a cationic intermediate to form prostacyclin (PGI2) or by b) thromboxane synthase with subsequent hydroxy radical-mediated ring scission and recyclization to the bicyclic hemiacetal in the structure of thromboxane (TxA2).
8. Baeyer-Villiger oxidations
Some cytochrome P450-mediated oxidations of steroidal ketones yield Baeyer-Villiger oxidation products where the ketone has been converted to an ester through a peroxyacid addition to the ketone followed by a rearrangement reaction of the most bulky group to the terminal peracid oxygen atom (Fig. 22). Thus, CYPC14α demethylase [65] and CYPC17α progesterone hydroxylase [66] form detectable ester intermediates, and the ketone castasterone is converted to the lactone brassinolide by CYP85A2 found in the plant Arabidopsis thaliana [67]. Two steps in the biosynthesis of aflatoxin B1 also yield lactones as a result of Baeyer-Villiger oxidations by fungal cytochrome P450s [68,69].
Fig. 22.
A generalized mechanism for Baeyer-Villiger oxidative rearrangement of ketones to esters carried out by cytochrome P450s. The R group is normally bulkier than the R’ group in Baeyer-Villiger oxidations.
9. Oxidative isomerization reactions involving bulky groups
CYP80F1 from the plant Hyoscyamus niger catalyzes the conversion of littorine to hyoscyamine aldehyde (Fig. 23) in a reaction that involves oxidation and ester rearrangement through the initial formation of radical intermediates, although cationic intermediates cannot be ruled out [70]. Similarly, in the cytochrome P450-catalyzed oxidative isomerization of flavanones to isoflavones (Fig. 24) that occurs in plants [71] and in mammals, including humans [72], evidence from isotope studies supports a radical abstraction/rearrangement pathway more than a cationic pathway [72]. A novel oxidative isomerization reaction of an acetyl group with the formation of an oxetane ring occurs in the biosynthesis of taxol in Taxus species of plants (Fig. 25), but the enzymes involved in this reaction have not been characterized, although the formation of the intermediate epoxide is believed to be catalyzed by a cytochrome P450 enzyme [73,74].
Fig. 23.
CYP80F1 from the plant Hyoscyamus niger catalyzes an unusual oxidative isomerization of an α-hydroxy ester in the conversion of littorine to hyoscyamine aldehyde that may involve just radical, or both radical and cationic intermediates as shown.
Fig. 24.
Cytochrome P450-catalyzed oxidative isomerization of flavanones to isoflavones is a 1,2-rearrangement of aryl groups that is believed to proceed via a radical rearrangement followed by a radical recombination and dehydration reaction. It is also possible that the rearranged radical dehydrogenates without forming an intermediate hemiacetal.
Fig. 25.
The proposed cytochrome P450-catalyzed epoxidation of an exocyclic double bond in the epoxyester/oxetaneester rearrangement leading to the formation of taxol.
10. Ring formation reactions as a result of cytochrome P450 oxidation
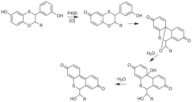
An example of ring formation resulting from the oxidative rearrangement of a dihydrobenzoxathiin estrogen receptor modulator by CYP3A4 (Fig. 26) suggests initial oxidation of the thioxane ring followed by radical coupling with the para-position of the phenolic group to form the new ring structure [75]. A similar stabilized radical intermediate (dimethyl allylic radical) has been proposed for the formation of a macrocyclic lactam product of capsaicin (Fig. 27) [76]. However, the possible involvement of cationic intermediates cannot be ruled out. Several human cytochrome P450s (2C8, 2C9, 2C19 and 2E1) were found to catalyze this ring formation [76].
Fig. 26.
Proposed formation of a hydroquinone-like radical by cytochrome P450s in the oxidative rearrangement of a dihydrobenzoxathiin. (See reference 75 for the structure of the R group.)
Fig. 27.
Cytochrome P450-catalyzed formation of a macrocyclic lactam as a metabolite of capsaicin.
Cationic iminium ions are proposed as reactive Mannich intermediates that are trapped in the formation of 5- or 6-membered rings by nucleophilic groups removed by four or five bonds from the iminium carbon atom (Fig. 28a). The iminium ion is proposed to be formed by dehydration of a carbinolamine, based on standard oxidative N-dealkylation chemistry that is catalyzed by many cytochrome P450s. However, no studies with hydrogen isotopes have been carried out with the classical examples of this reaction, cyclic metabolite formation from either proguanil (Fig. 28b) [77,78] or lidocaine (Fig. 28c) [79], to support the proposal.
Fig. 28.
Cyclic ring formation as depicted a) by a generalized scheme for oxidative dealkylation with the generation of an iminium ion intermediate formed by dehydration of a carbinolamine, followed by Mannich reaction of the iminium ion with an internal nucleophile, b) by the internal oxidative rearrangement of the antimalarial prodrug, proguanil, to its active metabolite, cycloguanil, and c) by the internal oxidative rearrangement of the local anesthetic drug, lidocaine, to a cyclic metabolite.
In other cases it is clearer that semi-stable metabolites are formed by cytochrome P450s that then react with neighboring structures in the substrate to cyclize to ring structures. An example is shown in Fig. 3 where an intermediate allylic alcohol is known to be formed, since the product, menthofuran, contains oxygen-18 when incubations are carried out in an atmosphere of 18O2 [80]. Other examples include the cytochrome P450-catalyzed oxidation of the furan ring of the drug furosemide to an enonal that can undergo intramolecular condensation in a Mannich-like reaction of the aldehyde group with the secondary amine and the carboxylic acid to give a tricyclic product which can further tautomerize to give a stable pyridinium salt (Fig. 29) [81]. A similar type of condensation has been observed in the cytochrome P450-catalyzed oxidation and rearrangement of an amino pyrrolotriazine drug candidate (Fig. 30) [82].
Fig. 29.
The formation of a stable pyridinium salt in the cytochrome P450-catalyzed oxidation of the furan ring of the diuretic drug, furosemide, to a γ-ketoenal, followed by intramolecular cyclization, dehydration, and tautomeric rearrangement.
Fig. 30.
The formation of a new six-membered fused dihydropiperidine ring in the cytochrome P450-catalyzed oxidative rearrangement of the fused pyrrole ring of a pyrrolotriazine drug candidate followed by an internal condensation of an amine with an intermediate aldehyde to form a cyclic carbinolamine. (See reference 82 for the structure of the R group.)
11. Rearrangement/elimination reactions as a result of cytochrome P450 oxidation
A classical example of a cytochrome P450-mediated rearrangement/elimination reaction is the formation of benzyne from 1-aminobenzotriazole (Fig. 31) [83]. The mechanism likely involves the oxidation of the amino group to a nitrene radical, followed by the entropically favored elimination of two molecules of nitrogen. Benzyne is a very reactive species that is thought to add rapidly across two imidazole nitrogens of the P450 heme, followed by autooxidation to the bridged porphyrin. In this manner, several P450s are inhibited by their autocatalytic destruction in the presence of 1-aminobenzotriazole.
Fig. 31.
Proposed pathway for the cytochrome P450-catalyzed rearrangement of 1-aminobenzotriazole followed by elimination of nitrogen to form benzyne. The highly reactive benzyne subsequently cyclizes with the P450 porphyrin ring that leads to P450 heme destruction.
In a different manner, CYP3A4 was autocatalytically inactivated by a putative oxaziridine intermediate formed from a mutagenic indazole drug candidate (Fig. 32) [84]. The oxaziridine subsequently rearranges with elimination of indazalone, and the indazalone is then hydrolyzed to produce benzoic acid and nitrogen. Mutagenesis studies using an analogue of the parent drug structure, a core indazole structure of the parent drug, and the cleaved piperidine metabolite, all suggested that the oxazirdine was the reactive metabolite that caused mutagenesis.
Fig. 32.
Proposed pathway for the cytochrome P450-catalyzed oxidation of an indazole drug candidate to a mutagenic oxaziridine that subsequently ring opens and eliminates the piperidine moiety. The second product, indazalone, is hydrolyzed to yield benzoic acid and nitrogen gas. (See reference 84 for the structure of the R group.)
Another example of a rearrangement/elimination reaction catalyzed by cytochrome P450s that formed a rearrangement product, which was reactive and toxic, was the CYP3A4- and CYP2C9-catalyzed oxidation of a dihydropyrazole anilide drug candidate (Fig. 33). The reaction produced the reactive carcinogen, p-chlorophenyl isocyanate, that was trapped as its glutathione derivative [85]. Oxidation of the C-3 position of the dihydropyrazole ring (possibly through an oxaziridine intermediate) forms a pyrazolone that is substantially more electron withdrawing than the parent pyrazoline structure, and this aids in the subsequent base-catalyzed elimination reaction to generate the isocyanate.
Fig. 33.
Proposed pathway for the cytochrome P450-catalyzed oxidation of a dihydropyrazole anilide drug candidate to a pyrazalone that then eliminates the toxin, p-chlorophenyl isocyanate. Note that the reactive isocyanate was characterized as its glutathione conjugate. (See reference 85 for the structure of the R group.)
There are examples of rearrangement/elimination reactions that do not lead to such highly reactive metabolites. Cytochrome P450-catalyzed oxidation of a candidate drug at a highly susceptible methylene group, that is both benzylic-like and alpha to an amine nitrogen, led to a spontaneous rearrangement with cleavage of the oxadiazole ring and elimination of the detectable N-cyanoamide as shown in Fig. 34 [86].
Fig. 34.
Proposed pathway for the cytochrome P450-catalyzed oxidation of a candidate drug at a methylene group alpha to an amine to form a benzylic-like carbinolamine that subsequently undergoes rearrangement with elimination of an N-cyano amide metabolite.
Conclusion
Among the many reactions catalyzed by cytochrome P450s, rearrangement reactions demonstrate a remarkable range and complexity. Several of these reactions occur at rates approaching the rate of a molecular vibration, while others occur over a much longer time-scale as entire groups rearrange in some structures. The initiating events catalyzed by cytochrome P450s for all of these rearrangements are not different from the initiating events for other reactions catalyzed by these enzymes. What makes the rearrangement reactions unique are other structural elements of the substrates that interact with initial or proximate oxidized species to promote the rearrangement reactions. In some cases, these rearrangements can provide insights concerning P450 oxidation mechanisms, in others they can provide insights concerning mechanisms of chemically-mediated toxicities.
Acknowledgments
The preparation of this review and the experimental work at UCSF was supported by NIH grant GM25525 (PROM) and at UW by NIH grants GM25418 and GM32165 (SDN).
Footnotes
Publisher's Disclaimer: This is a PDF file of an unedited manuscript that has been accepted for publication. As a service to our customers we are providing this early version of the manuscript. The manuscript will undergo copyediting, typesetting, and review of the resulting proof before it is published in its final citable form. Please note that during the production process errors may be discovered which could affect the content, and all legal disclaimers that apply to the journal pertain.
References
- 1.Ortiz de Montellano PR, De Voss JJ. Substrate oxidation by cytochrome P450 enzymes. In: Ortiz de Montellano PR, editor. Cytochrome P450: Structure, Mechanism, and Biochemistry. Plenum Publishers; New York: 2005. pp. 183–245. [Google Scholar]
- 2.Isin EM, Guengerich FP. Complex reactions catalyzed by cytochrome P450 enzymes. Biochim Biophys Acta. 2007;1770:314–329. doi: 10.1016/j.bbagen.2006.07.003. [DOI] [PubMed] [Google Scholar]
- 3.Bergstrom S, Lindstredt S, Samuelson B, Corey EJ, Gregoriou GA. The stereochemistry of 7α-hydroxylation in the biosynthesis of cholic acid from cholesterol. J Am Chem Soc. 1958;80:2337–2338. [Google Scholar]
- 4.Corey EJ, Gregoriou GA, Peterson DH. The stereochemistry of 11α-hydroxylation of steroids. J Am Chem Soc. 1958;80:2338. [Google Scholar]
- 5.Shapiro S, Piper JU, Caspi E. Steric course of hydroxylation at primary carbon atoms. Biosynthesis of 1-octanol from (1R)- and (1S)-[1-3H,2H,1H:1-14C]octane by rat liver microsomes. J Am Chem Soc. 1982;104:2301–2305. [Google Scholar]
- 6.Fretz H, Woggon WD, Voges R. The allylic oxidation of geraniol catalyzed by cytochrome P-450cath, proceeding with retention of configuration. Helv Chim Acta. 1989;72:391–400. [Google Scholar]
- 7.Groves JT, McClusky GA, White RE, Coon MJ. Aliphatic hydroxylation by highly purified liver microsomal cytochrome P-450: Evidence for a carbon radical intermediate. Biochem Biophys Res Commun. 1978;81:154–160. doi: 10.1016/0006-291x(78)91643-1. [DOI] [PubMed] [Google Scholar]
- 8.Gelb MH, Heimbrook DC, Malkonen P, Sligar SG. Stereochemistry and deuterium isotope effects in camphor hydroxylation by the cytochrome P-450cam monooxygenase system. Biochemistry. 1982;21:370–377. doi: 10.1021/bi00531a026. [DOI] [PubMed] [Google Scholar]
- 9.Fourneron JD, Archelas A, Furstoss R. Microbial Transformations. 10. Evidence for a carbon-radical intermediate in the biohydroxylations achieved by the fungus Beauveria sulfurescens. J Org Chem. 1989;54:2478–2483. [Google Scholar]
- 10.White RE, Miller JP, Favreau LV, Bhattacharyaa A. Stereochemical dynamics of aliphatic hydroxylation by cytochrome P450. J Am Chem Soc. 1986;108:6024–6031. doi: 10.1021/ja00279a059. [DOI] [PubMed] [Google Scholar]
- 11.Tanaka K, Kurihara N, Nakajima M. Oxidative metabolism of tetrachlorocyclohexenes, pentachlorocyclohexenes, and hexachlorocyclohexenes with microsomes from rat liver and house fly abdomen. Pestic Biochem Physiol. 1979;10:79–95. [Google Scholar]
- 12.Groves JT, Subramanian DV. Hydroxylation by cytochrome P-450 and metalloporphyrin models: Evidence for allylic rearrangement. J Am Chem Soc. 1984;106:2177–2181. [Google Scholar]
- 13.Oliw EH, Brodowsky ID, Hörnsten L, Hamberg M. Bis-allylic hydroxylation of polyunsaturated fatty acids by hepatic monooxygenases and its relation to the enzymatic and nonenzymatic formation of conjugated hydroxy fatty acids. Arch Biochem Biophys. 1993;300:434–439. doi: 10.1006/abbi.1993.1059. [DOI] [PubMed] [Google Scholar]
- 14.McClanahan RH, Huitric AC, Pearson PG, Desper JC, Nelson S. Evidence for a cytochrome P450 catalyzed allylic rearrangement with double bond topomerization. J Am Chem Soc. 1988;110:1979–1981. [Google Scholar]
- 15.Ortiz de Montellano PR. Hydrocarbon hydroxylation by cytochrome P450 enzymes. Chem Rev. 2010;110:932–948. doi: 10.1021/cr9002193. [DOI] [PMC free article] [PubMed] [Google Scholar]
- 16.Ortiz de Montellano PR, Stearns RA. Timing of the radical recombination step in cytochrome P-450 catalysis with ring-strained probes. J Am Chem Soc. 1987;109:3415–3420. [Google Scholar]
- 17.Bowry VW, Ingold KU. A radical clock investigation of microsomal cytochrome P-450 hydroxylation of hydrocarbons. Rate of oxygen rebound. J Am Chem Soc. 1991;113:5699–5707. [Google Scholar]
- 18.Newcomb M, Manek MB, Glenn AG. Ring opening and hydrogen-atom transfer trapping of the bicyclo[2.1.0]pent-2-yl radical. J Am Chem Soc. 1991;113:949–958. [Google Scholar]
- 19.Atkinson JK, Ingold KU. Cytochrome P450 hydroxylation of hydrocarbons: variation in the rate of oxygen rebound using cyclopropyl radical clocks including two new ultrafast probes. Biochemistry. 1993;32:9209–9214. doi: 10.1021/bi00086a028. [DOI] [PubMed] [Google Scholar]
- 20.Cryle MJ, Stuthe JMU, Ortiz de Montellano PR, De Voss JJ. Cyclopropyl fatty acids implicate a radical but not a cation as an intermediate in P450BM3-catalyzed hydroxylations. Chem Commun. 2004:512–513. doi: 10.1039/b315911f. [DOI] [PubMed] [Google Scholar]
- 21.Cryle MJ, Ortiz de Montellano PR, De Voss JJ. Cyclopropyl containing fatty acids as mechanistic probes for cytochrome P450. J Org Chem. 2005;70:2455–2469. doi: 10.1021/jo047985d. [DOI] [PubMed] [Google Scholar]
- 22.Auclair K, Hu Z, Little DM, Ortiz de Montellano PR, Groves JT. Revisiting the Mechanism of P450 Enzymes Using the radical clocks norcarane and spiro[2,5]bicyclooctane. J Am Chem Soc. 2002;124:6020–6027. doi: 10.1021/ja025608h. [DOI] [PubMed] [Google Scholar]
- 23.Newcomb M, Shen R, Lu Y, Coon MJ, Hollenberg PF, Kopp DA, Lippard SJ. Evaluation of norcarane as a probe for radicals in cytochome P450- and soluble methane monooxygenase-catalyzed hydroxylation reactions. J Am Chem Soc. 2002;124:6879–6886. doi: 10.1021/ja017858o. [DOI] [PubMed] [Google Scholar]
- 24.Newcomb M, Esala R, Chandrasena P, Lansakara-P DSP, Kim HY, Lippard SJ, Beauvais LG, Murray LJ, Izzo V, Hollenberg PF, Coon MJ. Desaturase reactions complicate the use of norcarane as a mechanistic probe. Unraveling the mixture of twenty-plus products formed in enzyme-catalyzed oxidations of norcarane. J Org Chem. 2007;72:1121–1127. doi: 10.1021/jo061864r. [DOI] [PMC free article] [PubMed] [Google Scholar]
- 25.He X, Ortiz de Montellano PR. Radical rebound mechanism in cytochrome P450-catalyzed hydroxylation of the multifaceted radical clocks α- and β-thujone. J Biol Chem. 2004;279:39479–39484. doi: 10.1074/jbc.M406838200. [DOI] [PubMed] [Google Scholar]
- 26.Jiang Y, He X, Ortiz de Montellano PR. Radical intermediates in the catalytic oxidation of hydrocarbons by bacterial and human cytochrome P450 enzymes. Biochemistry. 2006;45:533–542. doi: 10.1021/bi051840z. [DOI] [PMC free article] [PubMed] [Google Scholar]
- 27.He Z, Ortiz de Montellano PR. α- and β-Thujone radical rearrangements and isomerizations. A new radical clock. J Org Chem. 2004;69:5684–5789. doi: 10.1021/jo0493267. [DOI] [PubMed] [Google Scholar]
- 28.Toy PH, Newcomb M, Hollenberg PF. Hypersensitive mechanistic probe studies of cytochrome P450-catalyzed hydroxylation reactions. Implications for the cationic pathway. J Am Chem Soc. 1998;120:7719–7729. [Google Scholar]
- 29.Newcomb M, Le Tadic MH, Putt DA, Hollenberg PF. An incredibly fast apparent oxygen rebound rate constant for hydrocarbon hydroxylation by cytochrome P-450 enzymes. J Am Chem Soc. 1995;117:3312–3313. [Google Scholar]
- 30.Rettie AE, Rettenmeier AW, Howald WN, Baillie TA. Cytochrome P-450-catalyzed formation of Δ4-VPA, a toxic metabolite of valproic acid. Science. 1987;235:890–893. doi: 10.1126/science.3101178. [DOI] [PubMed] [Google Scholar]
- 31.Rettie AE, Boberg M, Rettenmeier AW, Baillie TA. Cytochrome P-450-catalyzed desaturation of valproic acid in vitro. Species differences, induction effects, and mechanistic studies. J Biol Chem. 1988;263:13733–13738. [PubMed] [Google Scholar]
- 32.Hata S, Nishino T, Komori M, Katsuki H. Involvement of cytochrome P-450 in Δ22-desaturation in ergosterol biosynthesis in yeast. Biochem Biophys Res Commun. 1981;103:272–277. doi: 10.1016/0006-291x(81)91689-2. [DOI] [PubMed] [Google Scholar]
- 33.Aoyama T, Korzekwa K, Nagata K, Gillette J, Gelboin HV, Gonzalez FJ. cDNA-directed expression of rat testosterone 7α-hydroxylase using the modified vaccinia virus, T7-RNA-polymerase system and evidence for 6α-hydroxylation and Δ6-testosterone formation. Eur J Biochem. 1989;181:331–336. doi: 10.1111/j.1432-1033.1989.tb14728.x. [DOI] [PubMed] [Google Scholar]
- 34.Vyas KP, Kari PH, Prakash SR, Duggan DE. Biotransformation of lovastatin. II. In vitro metabolism by rat and mouse liver microsomes and involvement of cytochrome P-450 in dehydrogenation of lovastatin. Drug Metab Dispos. 1990;18:218–222. [PubMed] [Google Scholar]
- 35.Wang RW, Kari PH, Lu AYH, Thomas PE, Guengerich FP, Vyas KP. Biotransformation of lovastatin. IV. Identification of cytochrome P450 3A proteins as the major enzymes responsible for the oxidative metabolism of lovastatin in rat and human liver microsomes. Arch Biochem Biophys. 1991;290:355–361. doi: 10.1016/0003-9861(91)90551-s. [DOI] [PubMed] [Google Scholar]
- 36.Newcomb M, Shen R, Choi SY, Toy PH, Hollenberg PF, Vaz ADN, Coon MJ. Cytochrome P450-catalyzed hydroxylation of mechanistic probes that distinguish between radicals and cations. Evidence for cationic but not for radical intermediates. J Am Chem Soc. 2000;122:2677–2686. [Google Scholar]
- 37.Guroff G, Daly JW, Jerina DM. Hydroxylation-induced migrations: the NIH shift. Science. 1967;158:1524–1530. doi: 10.1126/science.157.3796.1524. [DOI] [PubMed] [Google Scholar]
- 38.Jerina DM, Daly JW. Arene oxides: a new aspect of drug metabolism. Science. 1974;185:573–582. doi: 10.1126/science.185.4151.573. [DOI] [PubMed] [Google Scholar]
- 39.Daly JW, Jerina DM, Witkop B. Arene oxides and the NIH shift – metabolism, toxicity and carcinogenicity of aromatic compounds. Experientia. 1972;28:1129–1149. doi: 10.1007/BF01946135. [DOI] [PubMed] [Google Scholar]
- 40.Chasseaud LF, Henrick K, Mathews RW, Scott PW, Wood SG. An unusual metabolite of tinidazole involving nitro group migration. J Chem Soc Chem Commun. 1984:491–492. doi: 10.3109/00498258509045340. [DOI] [PubMed] [Google Scholar]
- 41.Engel W. Detection of a “nonaromatic” NIH shift during in vivo metabolism of the monoterpene carvone in humans. J Agric Food Chem. 2002;50:1686–1694. doi: 10.1021/jf011199h. [DOI] [PubMed] [Google Scholar]
- 42.Ortiz de Montellano PR, Kunze KL. Shift of the acetylenic hydrogen during chemical and enzymatic oxidation of the biphenylacetylene triple bond. Arch Biochem Biophys. 1981;209:710–712. doi: 10.1016/0003-9861(81)90333-7. [DOI] [PubMed] [Google Scholar]
- 43.Vogel E, Gunther H. Benzene oxide-oxepin valence tautomerism. Angew Chem Int Ed Engl. 1967;6:385–401. [Google Scholar]
- 44.Jerina DM, Yagi H, Daly JW. Arene oxides-oxepines. Heterocycles. 1973;1:267–326. [Google Scholar]
- 45.Hayes DM, Nelson SD, Garland WA, Kollman PA. A molecular orbital study of the benzene oxide-oxepin valence isomerization. J Am Chem Soc. 1980;102:1255–1262. [Google Scholar]
- 46.Miller RE, Guengerich FP. Oxidation of trichloroethylene by liver microsomal cytochrome P450: evidence for chlorine migration in a transition state not involving trichloroethylene oxide. Biochemistry. 1982;21:1090–1097. doi: 10.1021/bi00534a041. [DOI] [PubMed] [Google Scholar]
- 47.Liebler DC, Guengerich FP. Olefin oxidation by cytochrome P450: evidence for group migration in catalytic intermediates formed with vinylidene chloride and trans-1-phenyl-1-butene. Biochemistry. 1983;22:5482–5489. doi: 10.1021/bi00293a005. [DOI] [PubMed] [Google Scholar]
- 48.Ortiz de Montellano PR, Correia MA. Suicidal destruction of cytochrome P-450 during oxidative drug metabolism. Annu Rev Pharmacol Toxicol. 1983;23:481–503. doi: 10.1146/annurev.pa.23.040183.002405. [DOI] [PubMed] [Google Scholar]
- 49.Stearns RA, Ortiz de Montellano PR. Cytochrome P450-catalyzed oxidation of quadricyclane: evidence for a radical cation intermediate. J Am Chem Soc. 1985;107:4081–4082. [Google Scholar]
- 50.Meinwald J, Labana SS, Chadha MS. Peracid reactions III. The oxidation of bicyclo[2.2.1]-heptadiene. J Am Chem Soc. 1963;85:582–585. [Google Scholar]
- 51.Hathaway DE. Senior Reporter, Foreign Compound Metabolism in Mammals. Vol. 2. The Chemical Society; London: 1972. p. 222. [Google Scholar]
- 52.Faigle JW, Feldman KF. Antiepileptic drugs. In: Levy RH, Matson RH, Melrum BS, editors. Antiepileptic Drugs. 4. Raven Press; New York: 1995. pp. 499–513. [Google Scholar]
- 53.Yiu W, Mitra K, Stearns RA, Baillie TA, Kumar S. Conversion of the 2,2,6,6-tetramethylpiperidine moiety to a 2,2-dimethylpyrrolidine by cytochrome P450: evidence for a mechanism involving nitroxide radicals and heme iron. Biochemistry. 2004;43:5455–5466. doi: 10.1021/bi035944q. [DOI] [PubMed] [Google Scholar]
- 54.Rojas MC, Hedden P, Gaskin P, Tudzynski B. The P450-1 gene of Gibberella fujikuroi encodes a multifunctional enzyme in gibberellin synthesis. Proc Natl Acad Sci USA. 2001;98:5838–5843. doi: 10.1073/pnas.091096298. [DOI] [PMC free article] [PubMed] [Google Scholar]
- 55.Ortiz de Montellano PR, Kunze KL, Yost GS, Mico BA. Self-catalyzed destruction of cytochrome P-450: Covalent binding of ethynyl sterols to prosthetic heme. Proc Natl Acad Sci USA. 1979;76:746–749. doi: 10.1073/pnas.76.2.746. [DOI] [PMC free article] [PubMed] [Google Scholar]
- 56.Schmid SE, Au WYW, Hill DE, Kadlubar FF, Slikker W., Jr Cytochrome P-450-dependent oxidation of the 17α-ethynyl group of synthetic steroids: D-homoannulation or enzyme inactivation. Drug Metab Dispos. 1983;11:531–536. [PubMed] [Google Scholar]
- 57.Mutlib AE, Chen H, Shockcor J, Espina R, Chen S, Cao L, Du A, Nemeth G, Prakash S, Gan L. Characterization of novel glutathione adducts of a non-nucleoside reverse transcriptase inhibitor, (S)-6-chloro-4-(cyclopropylethynyl)-4-trifluoromethyl)-3,4-dihydro-2(1H)-quinazolinone (DPC 961) in rats. Possible formation of an oxirene metabolic intermediate from a disubstituted alkyne. Chem Res Toxicol. 2000;13:775–784. doi: 10.1021/tx000029g. [DOI] [PubMed] [Google Scholar]
- 58.Wand MD, Thompson JA. Cytochrome P-450-catalyzed rearrangement of a peroxyquinol derived from butylated hydroxytoluene. Involvement of radical and cationic intermediates. J Biol Chem. 1986;261:14049–14056. [PubMed] [Google Scholar]
- 59.Chang MS, Boeglin WE, Guengerich FP, Brash AR. P450-dependent transformations of 15R- and 15S-hydroperoxyeicosatetraenoic acids: Stereoselective formation of epoxyalcohol products. Biochemistry. 1996;35:464–471. doi: 10.1021/bi952081v. [DOI] [PubMed] [Google Scholar]
- 60.Song WC, Brash AR. Purification of an allene oxide synthase and identification of the enzyme as a cytochrome P-450. Science. 1991;253:781–784. doi: 10.1126/science.1876834. [DOI] [PubMed] [Google Scholar]
- 61.Itoh A, Howe GA. Molecular cloning of a divinyl ether synthase: Identification as a CYP74 cytochrome P450. J Biol Chem. 2001;276:3620–3627. doi: 10.1074/jbc.M008964200. [DOI] [PubMed] [Google Scholar]
- 62.Graf H, Ruf HH, Ullrich V. Prostacyclin synthase. A cytochrome P450 enzyme. Angew Chem Int Ed Engl. 1983;22:487–488. [Google Scholar]
- 63.Haurand M, Ullrich V. Isolation and characterization of thromboxane synthase from human platelets as a cytochrome P-450 enzyme. J Biol Chem. 1985;260:15059–15067. [PubMed] [Google Scholar]
- 64.Hecker M, Ullrich V. On the mechanism of prostacyclin and thromboxane A2 biosynthesis. J Biol Chem. 1989;264:141–150. [PubMed] [Google Scholar]
- 65.Fischer RT, Trzaskos JM, Magolda RL, Lo SS, Brosz CS, Larsen B. Lanosterol 14α-methyl demethylase: Isolation and characterization of the third metabolically generated oxidative demethylation intermediate. J Biol Chem. 1991;266:6124–6132. [PubMed] [Google Scholar]
- 66.Mak AY, Swinney DC. 17-O-Acetyltestosterone formation from progesterone in microsomes from pig testes; evidence for the Baeyer-Villiger rearrangement in androgen formation catalyzed by CYP17. J Am Chem Soc. 1992;114:8309–8310. [Google Scholar]
- 67.Kim TW, Hwang JY, Kim YS, Joo SH, Chang SC, Lee JS, Takatsuto S, Kim SK. Arabidopsis CYP85A2, a cytochrome P450, mediates the Baeyer-Villiger oxidation of castasterone to brassinolide in brassinosteroid biosynthesis. The Plant Cell. 2005;17:2397–2412. doi: 10.1105/tpc.105.033738. [DOI] [PMC free article] [PubMed] [Google Scholar]
- 68.Udwary DW, Casillas LK, Townsend CA. Synthesis of 11-hydroxyl O-methylsterigmatocystin and the role of a cytochrome P-450 in the final step of aflatoxin biosynthesis. J Am Chem Soc. 2002;124:5294–5303. doi: 10.1021/ja012185v. [DOI] [PubMed] [Google Scholar]
- 69.Henry KM, Townsend CA. Ordering the reductive and cytochrome P450 oxidative steps in demethysterigmatocystin formation yields general insights into the biosynthesis of aflatoxin and related fungal metabolites. J Am Chem Soc. 2005;127:3724–3733. doi: 10.1021/ja0455188. [DOI] [PubMed] [Google Scholar]
- 70.Nasomjai P, Reed DW, Tozer DJ, Peach MJG, Slawin AMZ, Covello PS, O’Hagan D. Mechanistic insights into the cytochrome P450-mediated oxidation and rearrangement of littorine in tropane alkaloid biosynthesis. ChemBioChem. 2009;10:2382–2393. doi: 10.1002/cbic.200900318. [DOI] [PubMed] [Google Scholar]
- 71.Hakamatsuka T, Hashim MF, Ebizuka Y, Sankawa U. P-450-Dependent oxidative rearrangement in isoflavone biosynthesis: Reconstitution of P-450 and NADPH:P-450 Reductase. Tetrahedron. 1991;47:5969–5978. [Google Scholar]
- 72.Kagawa H, Takahashi T, Ohta S, Harigaya Y. Oxidation and rearrangements of flavanones by mammalian cytochrome P450. Xenobiotica. 2004;34:797–810. doi: 10.1080/00498250400005708. [DOI] [PubMed] [Google Scholar]
- 73.Heinig U, Jennewein S. Taxol: A complex diterpenoid natural product with an evolutionarily obscure origin. African J Biotech. 2009;8:1370–1385. [Google Scholar]
- 74.Kaspera R, Cape JL, Faraldos JA, Ketchum REB, Croteau RB. Synthesis and in vitro evaluation of taxol oxetane ring D precursors. Tetrahedron Lett. 2010;51:2017–2019. doi: 10.1016/j.tetlet.2010.02.033. [DOI] [PMC free article] [PubMed] [Google Scholar]
- 75.Zhang Z, Chen Q, Li Y, Doss GA, Dean BJ, Ngui JS, Silva Elipe M, Kim S, Wu JY, Dininno F, Hammond ML, Stearns RA, Evans DC, Baillie TA, Tang W. In vitro bioactivation of dihydrobenzoxathiin selective estrogen receptor modulators by cytochrome P450 3A4 in human liver microsomes: formation of reactive iminium and quinone type metabolites. Chem Res Toxicol. 2005;18:675–685. doi: 10.1021/tx0496789. [DOI] [PubMed] [Google Scholar]
- 76.Reilly CA, Ehlhardt WJ, Jackson DA, Kulanthaivel P, Mutlib AE, Espina RJ, Moody DE, Crouch DJ, Yost GS. Metabolism of capsaicin by cytochrome P450 produces novel dehydrogenated metabolites and decreases cytotoxicity to lung and liver slices. Chem Res Toxicol. 2003;16:336–349. doi: 10.1021/tx025599q. [DOI] [PubMed] [Google Scholar]
- 77.Hawking F, Perry WLM. Activation of paludrine. Br J Pharmacol. 1948;3:320–325. doi: 10.1111/j.1476-5381.1948.tb00394.x. [DOI] [PMC free article] [PubMed] [Google Scholar]
- 78.Carrington HC, Crother AF, Davey DG, Levi AA, Rose FL. A metabolite of ‘Paludrine’ with high antimalarial activity. Nature. 1951;168:1080. doi: 10.1038/1681080a0. [DOI] [PubMed] [Google Scholar]
- 79.Breck GD, Trager WF. Oxidative N-dealkylation: a Mannich intermediate in the formation of a new metabolite of lidocaine in man. Science. 1971;173:544–546. doi: 10.1126/science.173.3996.544. [DOI] [PubMed] [Google Scholar]
- 80.Gordon WP, Huitric AC, Seth CL, McClanahan RH, Nelson SD. The metabolism of the abortifacient terpene, (R)-(+)-pulegone, to a proximate toxin, menthofuran. Drug Metab Dispos. 1987;15:589–594. [PubMed] [Google Scholar]
- 81.Chen LJ, Burka LT. Chemical and enzymatic oxidation of furosemide: formation of pyridium salts. Chem Res Toxicol. 2007;20:1741–1744. doi: 10.1021/tx700262z. [DOI] [PubMed] [Google Scholar]
- 82.Hong H, Su H, Sun H, Allentoff A, Ekhato IV, Chando T, Caceres-Cortes J, Roongta V, Iyer RA, Humphreys G, Christopher L. Metabolism and disposition of [14C]BMS-690514 after oral administration to rats, rabbits, and dogs. Drug Metab Dispos. 2010;38:1189–1201. doi: 10.1124/dmd.110.032755. [DOI] [PubMed] [Google Scholar]
- 83.Ortiz de Montellano P, Matthews JM. Autocatalytic alkylation of the cytochrome P-450 prosthetic haem group by 1-aminobenzotriazole: isolation of an N,N-bridged benzyne-protoporphyrin IX adduct. Biochem J. 1981;195:761–764. doi: 10.1042/bj1950761. [DOI] [PMC free article] [PubMed] [Google Scholar]
- 84.Chen H, Murray J, Kornberg B, Dethloff L, Rock D, Nikam S, Mutlib AE. Metabolism-dependent mutagenicity of a compound containing a piperazinyl indazole motif: role of a novel P450-mediated metabolic reaction involving a putative oxaziridine intermediate. Chem Res Toxicol. 2006;19:1341–1350. doi: 10.1021/tx050354+. [DOI] [PubMed] [Google Scholar]
- 85.Chen H, Zientek M, Jalaie M, Zhang Y, Bigge C, Mutlib A. Characterization of cytochrome P450-mediated bioactivation of a compound containing the chemical scaffold, 4,5-dihydropyrazole-1-carboxylic acid-(4-chlorophenyl amide), to a chemically reactive p-chlorophenyl isocyanate intermediate in human liver microsomes. Chem Res Toxicol. 2009;22:1603–1612. doi: 10.1021/tx900167y. [DOI] [PubMed] [Google Scholar]
- 86.Yabuki M, Shono F, Nakatsuka I, Yoshitake A. Novel cleavage of the 1,2,4-oxadiazole ring in rat metabolism of SM-6586, a dihydropyrdine calcium antagonist. Drug Metab Dispos. 1993;21:1167–1169. [PubMed] [Google Scholar]





































































