Abstract
Cigarette smoking is the leading cause of lung cancer and chronic obstructive pulmonary disease, yet there is little mechanistic information available in the literature. To improve this, laboratory models for cigarette mainstream smoke (MS) inhalation–induced chronic disease development are needed. The current study investigated the effects of exposing male A/J mice to MS (6h/day, 5 days/week at 150 and 300mg total particulate matter per cubic meter) for 2.5, 5, 10, and 18 months in selected combinations with postinhalation periods of 0, 4, 8, and 13 months. Histopathological examination of step-serial sections of the lungs revealed nodular hyperplasia of the alveolar epithelium and bronchioloalveolar adenoma and adenocarcinoma. At 18 months, lung tumors were found to be enhanced concentration dependently (up to threefold beyond sham exposure), irrespective of whether MS inhalation had been performed for the complete study duration or was interrupted after 5 or 10 months and followed by postinhalation periods. Morphometric analysis revealed an increase in the extent of emphysematous changes after 5 months of MS inhalation, which did not significantly change over the following 13 months of study duration, irrespective of whether MS exposure was continued or not. These changes were found to be accompanied by a complex pattern of transient and sustained pulmonary inflammatory changes that may contribute to the observed pathogeneses. Data from this study suggest that the A/J mouse model holds considerable promise as a relevant model for investigating smoking-related emphysema and adenocarcinoma development.
Key Words: lung tumorigenesis, pulmonary emphysema, lung inflammation, cigarette mainstream smoke, inhalation, A/J mice
Although the causal relationship of smoking and the development of serious diseases such as lung cancer (LC), chronic obstructive pulmonary disease (COPD), and cardiovascular disease has been established (U.S. Department of Health and Human Services, 2004), we are still missing a clear understanding of the etiology and mechanisms leading to these smoking-induced pathologies (U.S. Department of Health and Human Services, 2010). Such understanding could be the basis for developing biomarkers for early diagnosis of these diseases, chemopreventive means, and targeted therapies. Apart from clinical and molecular epidemiological studies, in vitro and in vivo models are needed to improve the mechanistic understanding of these diseases. Such models may also support the development and evaluation of modified tobacco products with potentially reduced risk for those who continue smoking (Haussmann, 2007; U.S. Institute of Medicine, 2012). To date, however, there is no generally accepted laboratory animal bioassay for LC induced by chronic cigarette mainstream smoke (MS) inhalation. In the past, attempts to establish such models were generally unsuccessful (reviewed by Coggins [2010]), for reasons not fully understood. More recently, however, some chronic MS inhalation studies with mice or rats that followed specific design considerations were positive in demonstrating lung tumor formation (Balansky et al., 2007; Curtin et al., 2004; Gordon and Bosland, 2009; Hutt et al., 2005; Mauderly et al., 2004; Stinn et al., 2010).
The most promising rodent strain studied so far for investigating smoke-induced LC seems to be the A/J mouse because of its high susceptibility to spontaneous and chemically induced LC development (Manenti and Dragani, 2005) and its reproducible positive LC response to inhalation of a mixture of cigarette sidestream and MS used as an environmental tobacco smoke surrogate (ETSS) (Coggins, 2010; Witschi, 2005). The high LC susceptibility has been associated with the presence of pulmonary adenoma susceptibility (PAS) loci in the A/J genome, in particular PAS1 (Manenti and Dragani, 2005), and an increased transcription rate of Kras, particularly if mutated (To et al., 2006). Both PAS1 and Kras have also been reported to induce inflammatory processes (Maria et al., 2003; Wislez et al., 2006). Inflammation has been considered to be involved in tumorigenesis (Walser et al., 2008) although the causal role of specific inflammatory processes in the various steps of tumorigenesis remains to be elucidated. Inflammatory processes are also involved in other smoking-related diseases, such as COPD (Cosio et al., 2009), and a mechanistic link between COPD and LC via such inflammatory processes has been discussed (Adcock et al., 2011; Houghton et al., 2008). Pulmonary emphysema, a characteristic feature of COPD, has been described in several laboratories for this mouse strain after approximately 6 months of MS inhalation (Braber et al., 2011; Foronjy et al., 2005; Guerassimov et al., 2004; March et al., 2005; Nadziejko et al., 2007). Therefore, the A/J mouse may be particularly useful to study the development of emphysema and LC in parallel upon chronic MS inhalation.
Previous MS inhalation studies with A/J mice were positive for lung tumors in some laboratories but not in others (Stinn et al., 2010); this may be due to differences in study design parameters such as sufficiently large group sizes or the exposure schedule. All positive studies so far have adhered to a schedule involving several months of MS inhalation followed by a postinhalation period without exposure for several months, which has been adapted from the positive lung tumorigenesis studies with ETSS (Witschi, 2005). This differs from the human situation, where the relative risk of acquiring LC decreases with time after smoking cessation (U.S. Department of Health and Human Services, 1997). The apparently paradoxical need for a postinhalation period to express the tumorigenic potential of prior smoke inhalation in A/J mice has generated debate on the relevance of this model for the human disease and needs to be further evaluated as a prerequisite for broader acceptance of this model. Elucidating a potential effect of a postinhalation period on the development of MS-induced emphysema would also be useful in judging the biological relevance of this model, e.g., by excluding reversibility that could hypothetically be due to a smoke exposure–related body weight effect such as after fasting (Massaro et al., 2004). In humans, smoking-induced COPD is considered to be irreversible, and smoking cessation may only interrupt the progression of the disease (U.S. Department of Health and Human Services, 2004).
Our long-term aim has been to develop and validate suitable nonclinical models for smoking-related diseases such as pulmonary cancer and emphysema. A generally acceptable disease model for mechanistic and applied purposes should use chronic MS inhalation as the major causative agent and exposure route relevant for the human disease, follow a concentration-response relationship, work without the need for a postinhalation period, be qualitatively and quantitatively reproducible, and demonstrate mechanistic features that have also been considered relevant in human disease pathogenesis. Several of these design parameters were evaluated in this study, which involved male A/J mice exposed to MS inhalation for 2.5 to 18 months at two concentrations in combination with postinhalation periods of up to 13 months. Lungs were investigated for the presence of emphysema and lung tumors and potentially relevant mechanistic endpoints, i.e., inflammatory effects and Kras mutations.
Materials and Methods
General study design.
The investigation of lung tumorigenesis was the major objective of this study, which featured a schedule of MS inhalation and postinhalation periods with several dissection time points for the endpoints investigated as outlined in Figure 1 (not all endpoints assessed at all time points or concentration levels). Major design features of this whole-body MS inhalation, such as smoking machine and exposure conditions, were as previously described (Stinn et al., 2010). Total particulate matter (TPM) concentrations in this study were slightly higher, i.e., 150mg/m3 (MS-150) and 300mg/m3 (MS-300). MS was generated from the Reference Cigarette 2R4F, which was obtained from the University of Kentucky (Lexington, KY), in basic conformity with international standards for cigarette conditioning and machine smoking (International Organization for Standardization, 1991 , 2000). A sham-exposed control group was treated the same way but exposed to fresh air instead of MS. Analytical characterization of the MS was performed as described (Stinn et al., 2005 , 2010).
FIG. 1.
Study design and schedule of dissections for the various endpoints included in this study. T, tumors; E, emphysema; C, cells in BALF; F, chemokines and cytokines in BALF; M, mutation pattern of Kras. In addition, alveolar macrophage activation markers were examined at 10 + 0, 10 + 4, and 18 + 0 months, and lymphocyte subpopulations in BALF were characterized at 10 + 0 and 10 + 4 months. “x + y” numbers in parentheses refer to months of inhalation + postinhalation periods.
The study was approved in accordance with the Belgium Law on Animal Protection. The study was performed in an American Association for Laboratory Animal Science (AALAS)–accredited facility (Association for the Assessment and Accreditation of Laboratory Animal Care International, 1991), where care and use of the mice were in accordance with the AALAS Policy on the Humane Care and Use of Laboratory Animals (http://www.aalas.org).
Experimental animals and inhalation exposure.
Male A/J mice, bred under specified pathogen-free conditions (The Jackson Laboratory, Bar Harbor, Maine), were obtained through Charles River France (L’Arbresle, France). At arrival, the age of the mice was between 6 and 10 weeks. The health of the mice was checked serologically and histopathologically. Within 1 week after arrival, the mice were individually identified with subcutaneous transponders (Bio Medic Data Systems Inc., Seaford, DE). The acclimatization period was 3.5 weeks. In total, 388 mice were randomly allocated to sham and MS-300 groups, respectively, and 264 mice to the MS-150 group. Most of the mice were used for investigating tumor development; up to 10 mice/group were allocated to mechanistic endpoints. Mean body weight per group at the start of exposure was approximately 23g, with a relative SD of less than 10%. The mice were fed irradiated Harlan Teklad 2014 diet (Harlan, Blackthorn, UK). Food was removed during the daily exposure periods. Filtered tap water was available at all times. Irradiated softwood granulate bedding material, type Lignocel BK8/15 (Harlan, Horst, NL), was used. The position of the cages in the exposure chambers was rotated twice weekly. In each exposure chamber, there were at least six air changes per hour, and the equivalent flow rate was at least 99 l/min, resulting in a mean aerosol age of ≤ 6min in the middle of the exposure chamber. Mean temperature in the exposure chambers was approximately 21°C with relative SDs of less than 5%. Relative humidity in the sham exposure chamber was 53.5±4.9% (mean ± SD) during exposure. The exposure period started with adaptation periods of 2, 3, 4, and 5h/day for 3 days each. Standard exposure was for 6h/d, 5 d/week.
Biological endpoints.
In-life observations and determinations, necropsy, organ weights, and lung histopathology were performed as previously described (Stinn et al., 2010), but no macroscopic evaluation and no specific collection of pulmonary nodules was conducted (except for Kras analysis). Lungs were inflated for 1min with Tellyesnicky’s solution at a constant hydrostatic pressure of 15cm water column, fixed for 1 day, and thereafter kept in 70% ethanol. Serial sectioning of the lungs was performed at 300-µm steps. Nonneoplastic changes were examined at one cross section along the main bronchus of the left lung. Proliferative pulmonary lesions were diagnosed in line with published criteria (Dungworth et al., 2001). Incidence and multiplicity (average number of tumors per mouse) were determined. Mice that died spontaneously or were killed in a moribund state were necropsied and investigated histopathologically.
In order to quantify emphysematous changes, three morphometric analyses were performed on up to 10 mice per group: mean chord length, destructive index, and the number of bronchiolar attachments of alveoli (Thurlbeck and Churg, 1995). Morphometric measurements were executed using approximately 30% of one representative cross section of the left lung lobe per mouse including the left main stem bronchus. Blinded measurement was applied throughout all evaluations on randomly selected image fields using digital imaging (Visiopharm, Horsholm, Denmark). Mean chord length was determined using isotropic uniform random (IUR) lines that passed through the tissue. The chord length was measured by marking the points where the IUR line intersected the surface of the alveoli. Bronchiolar attachments of alveolar walls per unit bronchiolar basement membrane length were determined per field of view by dividing the number of attachments by the length of the perimeter of the bronchiolus. The destructive index was determined by point counting. A point grid was placed over each of the fields of view, and counts were taken of the number of points that fell on destroyed alveoli (representing an emphysematous damage) and points that fell on normal alveoli. The number of points that fell on destroyed alveoli divided by the total number of points is the destructive index. An overestimation of destroyed structures cannot be excluded in this analysis and would increase the resulting destructive index but diminish any MS-related emphysematous effect.
Inflammatory cells and mediators were investigated in bronchoalveolar lavage fluid (BALF) (Fig. 1), which was obtained from up to 10 mice per group similarly to a previously described procedure in rats (Friedrichs et al., 2006). Mice used for inflammatory parameters in BALF were also used for the examination of proliferative pulmonary lesions, but not for the morphometric examination of emphysema. Lungs were lavaged with 1ml of Ca2+- and Mg2+-free PBS using a syringe, and the BALF was centrifuged to obtain cell-free BALF supernatant. Lungs were then lavaged with four more consecutive cycles of filling and emptying with 1ml of Ca2+- and Mg2+-free PBS containing 0.3% bovine serum albumin to optimize cell recovery. The cell-free supernatant fraction of the first cycle was used for the determination of inflammatory mediators using a multiplex ELISA (Endogen SearchLight Multiplex Assay; Endogen, Woburn, MA), which allows the simultaneous quantitative determination of up to 16 mediators. All cell-containing BALF fractions were combined. BALF cells were fixed in 2% formaldehyde and differentiated by flow cytometry using anti-Ly-6G (clone 1A8, FITC-labeled) and anti-F4/80 (clone Cl:A3-1, APC-labeled) after blocking FcIII/II receptors with anti-mouse CD16/CD32 (clone 2.4G2, unlabeled) (all BD Biosciences, Heidelberg, Germany), followed by nucleic acid counterstaining of saponin-permeabilized cells using propidium iodide. For the further BALF lymphocyte differentiation, the following additional antibodies were used for monocytes/macrophages (clone BM8, FITC-labeled; Dianova, Hamburg, Germany), CD4 (clone RM4-5, PerCP-labeled), CD8 (clone 53–6.7, PE-Cy7-labeled), B cells as CD45R/B220 (clone RA3-6B2, APC-Cy7-labeled, all BD Biosciences), and CD94 (clone 18d3; Alexa Fluor 647-labeled; AbD-Serotec, Duesseldorf, Germany). BALF alveolar macrophage activation markers were analyzed by flow cytometry with antibodies against CD11b (clone M1/70, APC-Cy7-labeled), CD86 (clone GL1, biotin-labeled), CD14 (clone rmC5-3, PE-labeled; all BD Biosciences), and MHCII (haplotype I-Ak,s, clone OX-6, Alexa Fluor 647-labeled; AbD-Serotec), followed by staining with streptavidin (PE-Cy7-labeled; BD Biosciences). A second aliquot was stained with a cocktail of corresponding rat isotype controls. For each fluorescence parameter, the median fluorescence intensity of the isotype-stained sample aliquot was subtracted from that of the antibody-stained aliquot.
Bronchial lymph node lymphocytes were collected and analyzed by flow cytometry in a similar manner to a previously described procedure in rats (Friedrichs et al., 2006). The lymphocytes were immunostained for CD45 (clone 30-F11, PerCP-labeled), CD4 (clone 129.19, FITC-labeled; both BD Biosciences), CD8, and CD45R/B220. To assess the activation status of CD4 and CD8 T cells, lymphocytes were immunostained for CD25 (clone PC61, APC-labeled) and CD69 (clone H1.2F3, PE-labeled, first aliquot) and for CD44 (clone IM7, PE-labeled) and CD62L (clone MEL-14, APC-labeled, second aliquot; all BD Biosciences) and analyzed by flow cytometry.
To investigate mutations in the Kras gene, DNA was prepared from freshly frozen tumor tissue and, in order to increase the number of tissues investigated, from formalin-fixed, paraffin-embedded tumor tissue. Cryosections of 10 µm were dehydrated in ice-cold 70% ethanol for 2min. The paraffin sections were deparaffinized with xylene substitute medium and rehydrated with 100% and 70% ethanol. All sections were stained with Cresyl Violet (Sigma, Taufkirchen, Germany). Different areas of tumor tissue were selected that contained approximately 5000 cells. Specific samples were isolated by laser capture microdissection and pressure catapulting using the PALM Microbeam instrument (Zeiss, Oberkochen, Germany). Genomic DNA was isolated from the tumor tissue samples using the QIAamp DNA Micro-Kit (Qiagen, Hilden, Germany) according to manufacturer instructions. Amplification and sequencing were performed as previously described (Stinn et al., 2005). Due to the relatively small number of samples investigated for each type of preparation, the results were combined.
Statistical evaluation.
For continuous data, the arithmetic mean and the SE are generally given as descriptive statistics; however, for chemical-analytical or physical data describing the test atmosphere, the SD was calculated. Chemical-analytical values below the quantitation limit (QL) were presented as < QL. Particle size distribution was calculated by linear regression analysis after probit transformation of the cumulative frequencies and logarithmic transformation of the aerodynamic diameter values. Data on inflammatory mediators in BALF and activation markers on alveolar macrophages were not normally distributed and are given by their median and 25 and 75% quartiles. Continuous data, such as organ weights, blood corticosterone levels, morphometric data, and tumor multiplicity, were statistically evaluated using a one-way ANOVA followed by a Tukey test (Zar, 1984). Inflammatory data were transformed by ranking prior to ANOVA. Histopathological ordinal data were analyzed using an overall Cochran-Mantel-Haenszel (CMH) test followed by a pairwise CMH in the case of overall statistical significance (Mantel and Haenszel, 1959). All tests were considered statistically significant at p < 0.05. No correction for multiple testing was performed.
RESULTS
Inhalation Exposure
The MS test atmospheres were reproducibly generated throughout the 18-month inhalation period (Table 1). The mass median aerodynamic diameter of the smoke particles ranged from 0.60 to 0.75 µm (largest geometrical SD: 1.72), making the aerosol respirable for the mice. Percent carboxyhemoglobin proportions of 0.4±0.1, 17.2±0.6, and 31.4±1.4 (mean ± SE; N = 8 per group at four time points during the study) for the sham, MS-150, and MS-300 groups, respectively, correlated with the MS carbon monoxide concentrations of the test atmospheres.
TABLE 1.
Chemical Test Atmosphere Characterization
| Parameter (mg/m3) | N | Shama | MS-150b | MS-300 |
|---|---|---|---|---|
| Mean ± SD | Mean ± SD | |||
| TPM | > 384 | < 1.6 | 153±8 | 298±15 |
| Carbon monoxide | > 382 | < 4.5 | 210±17 | 374±19 |
| Nicotine | > 20 | < 0.03 | 5.9±0.8 | 13.0±2.0 |
| Formaldehyde | 26 | — | 0.18±0.05 | 0.30±0.04 |
| Acetaldehyde | 26 | — | 11.6±1.0 | 22.4±1.1 |
| Acrolein | 26 | — | 1.16±0.10 | 2.26±0.11 |
Note. Averaged over 18 months of MS generation. —, not scheduled.
aDeterminations below quantitation limit.
bMS-150 and MS-300: MS at target concentrations of 150 and 300mg TPM/m3, respectively.
In-Life Observations and Determinations
The number of mice that were declared moribund or that died spontaneously was higher in the sham group (26%) than in the MS-150 (18%) and the MS-300 groups (16%). Several mice were declared moribund (7.7, 5.7, and 2.8% in the sham, MS-150, and MS-300 groups, respectively) because they developed a swelling that was identified as a neoplastic lesion, identical in histomorphological appearance to a rhabdomyosarcoma. The swelling was usually located in the skeletal muscle of the hind limbs or appeared as a protrusion in the lower abdominal cavity. Thus, survival was lowest in the sham group (statistically significantly different from the MS groups), reaching 50% by study day 521 (Fig. 2).
FIG. 2.
Kaplan-Meyer survival curves for sham, MS-150 (MS at 150mg TPM/m3), and MS-300 groups. No differentiation was made for continuous 18-month or shorter MS exposure periods followed by postinhalation periods. Asterisks denote statistical significance compared with the sham group.
Body weights in the sham group initially increased and remained steady within a range of 28.5 to 29.4g between study days 165 and 431, decreasing to approximately 27.5g by the end of the 18-month study period. The mice in the MS groups lost weight in the first 4 weeks to approximately 85% of the sham group and afterwards gained weight reaching levels of approximately 90% (MS-150) to 85% (MS-300) of the sham group. Mice that changed from MS inhalation to the postinhalation exposure phase of the study regained weight within a few weeks to the level of the sham group. During inhalation periods, food consumption paralleled the effects on body weight development, with weekly consumptions of 27.8±0.4, 26.7±0.3, and 25.0±0.4g/mouse (mean ± SE) for the sham, MS-150, and MS-300 groups, respectively. During postinhalation periods, mice in the MS groups increased their food consumption back to the level of the sham group.
Plasma corticosterone levels increased with MS concentration (Fig. 3), indicative of a stress response to MS inhalation. The effect was slightly more pronounced early in the study than toward the end of the study.
FIG. 3.
Plasma corticosterone concentrations (mean ± SE) for sham, MS-150 (MS at 150mg TPM/m3), and MS-300 groups. Asterisks denote statistical significance compared with the sham group.
Inflammatory Effects
The total number of lavaged cells was slightly higher at most time points but most significantly at the end of the 5-, 10-, and 18-month inhalation periods in the MS-300 groups (Table 2). This increase in total lavaged cell numbers was due mainly to pronounced and concentration-dependent increases in neutrophils and lymphocytes. The number of macrophages decreased slightly. There were some minor increases in eosinophils at the end of the inhalation periods, but the relative proportion of eosinophils never exceeded 1% of the total cell number. There was no progress of these effects with increasing MS inhalation periods. During postinhalation periods, the number of neutrophils progressively returned toward those found in the sham group: At 4 months postinhalation, neutrophil numbers were still elevated in the MS-150 group, whereas the reversal was nearly complete after longer postinhalation periods. After exposure to the high concentration (MS-300), reversal was better when the postinhalation period was longer, but a statistically significant increase in neutrophil numbers compared with sham was observed at all time points. This also held true for neutrophil counts relative to the total number of lavaged cells (Fig. 4). BALF lymphocyte numbers did not reverse during postinhalation, both in absolute numbers (Table 2) and relative to the total number of lavaged cells. In relative terms, the macrophages showed a drastic decrease due to MS inhalation, which is a consequence of the marked increases in neutrophils and lymphocytes. Within the limits of this analysis, the progressive recovery of the relative number of macrophages may also be related to the decreasing proportion of neutrophils in the total cell number.
TABLE 2.
Inflammatory Bronchoalveolar Lavage Cells
| Parameter | Exposurea | Descriptorb | Inhalation + postinhalation periods (months)c | |||||||
|---|---|---|---|---|---|---|---|---|---|---|
| 5 + 0 | 5 + 4 | 5 + 8 | 5 + 13 | 10 + 0 | 10 + 4 | 10 + 8 | 18 + 0 | |||
| All cells (× 105) | Sham | Mean | 3.05 | 2.64 | 3.70 | 4.01 | 2.36 | 3.09 | 4.01 | 4.01 |
| SE | 0.24 | 0.43 | 0.44 | 0.46 | 0.43 | 0.26 | 0.46 | 0.46 | ||
| MS-150 | Mean | 3.70 | 3.90 | 4.27 | 4.37 | 2.85 | 4.44 | 4.45 | 4.57 | |
| SE | 0.21 | 0.51 | 0.35 | 0.52 | 0.32 | 0.52 | 0.40 | 0.24 | ||
| Test | * | |||||||||
| MS-300 | Mean | 5.47 | 4.37 | 3.34 | 5.46 | 3.80 | 4.41 | 5.00 | 6.52 | |
| SE | 0.32 | 0.82 | 0.20 | 0.37 | 0.39 | 0.25 | 0.38 | 0.68 | ||
| Test | *# | * | * | *# | ||||||
| Macrophages (× 105) | Sham | Mean | 2.81 | 2.51 | 3.50 | 3.69 | 2.30 | 2.93 | 3.69 | 3.69 |
| SE | 0.24 | 0.38 | 0.46 | 0.41 | 0.42 | 0.24 | 0.41 | 0.41 | ||
| MS-150 | Mean | 2.18 | 3.68 | 3.97 | 3.89 | 1.80 | 3.87 | 3.94 | 3.22 | |
| SE | 0.17 | 0.48 | 0.32 | 0.55 | 0.24 | 0.40 | 0.30 | 0.28 | ||
| Test | ||||||||||
| MS-300 | Mean | 2.42 | 4.06 | 2.34 | 4.24 | 1.72 | 2.29 | 3.07 | 3.27 | |
| SE | 0.21 | 0.81 | 0.33 | 0.28 | 0.15 | 0.18 | 0.27 | 0.39 | ||
| Test | * | * | ||||||||
| Neutrophils (× 105) | Sham | Mean | 0.011 | 0.012 | 0.017 | 0.040 | 0.017 | 0.007 | 0.040 | 0.040 |
| SE | 0.003 | 0.006 | 0.005 | 0.019 | 0.003 | 0.003 | 0.019 | 0.019 | ||
| MS-150 | Mean | 0.782 | 0.032 | 0.019 | 0.032 | 0.424 | 0.096 | 0.066 | 0.380 | |
| SE | 0.070 | 0.010 | 0.003 | 0.013 | 0.063 | 0.036 | 0.026 | 0.075 | ||
| Test | * | * | * | * | * | |||||
| MS-300 | Mean | 1.798 | 0.225 | 0.177 | 0.141 | 1.244 | 0.756 | 0.377 | 2.106 | |
| SE | 0.104 | 0.040 | 0.049 | 0.050 | 0.168 | 0.100 | 0.053 | 0.264 | ||
| Test | *# | *# | *# | *# | *# | *# | *# | *# | ||
| Lymphocytes (× 105) | Sham | Mean | 0.23 | 0.12 | 0.18 | 0.28 | 0.04 | 0.14 | 0.28 | 0.28 |
| SE | 0.10 | 0.08 | 0.11 | 0.09 | 0.01 | 0.06 | 0.09 | 0.09 | ||
| MS-150 | Mean | 0.74 | 0.19 | 0.28 | 0.44 | 0.63 | 0.47 | 0.44 | 0.97 | |
| SE | 0.09 | 0.06 | 0.10 | 0.11 | 0.09 | 0.13 | 0.09 | 0.13 | ||
| Test | * | * | * | |||||||
| MS-300 | Mean | 1.25 | 0.52 | 0.82 | 1.07 | 0.84 | 1.34 | 1.55 | 1.13 | |
| SE | 0.13 | 0.06 | 0.16 | 0.21 | 0.13 | 0.11 | 0.21 | 0.15 | ||
| Test | *# | *# | *# | *# | * | *# | *# | * | ||
| Eosinophils (× 103) | Sham | Mean | 0.015 | 0.028 | 0.151 | 0.344 | 0.049 | 0.381 | 0.344 | 0.344 |
| SE | 0.006 | 0.009 | 0.080 | 0.322 | 0.032 | 0.299 | 0.322 | 0.322 | ||
| MS-150 | Mean | 0.051 | 0.204 | 0.072 | 0.560 | 0.261 | 0.473 | 0.046 | 0.106 | |
| SE | 0.014 | 0.122 | 0.029 | 0.356 | 0.133 | 0.236 | 0.021 | 0.023 | ||
| Test | * | |||||||||
| MS-300 | Mean | 0.126 | 0.142 | 0.184 | 0.190 | 0.278 | 1.787 | 0.699 | 0.412 | |
| SE | 0.032 | 0.063 | 0.073 | 0.079 | 0.065 | 0.982 | 0.354 | 0.164 | ||
| Test | * | * | * | * | ||||||
Note. The sham-exposed mice for the 5 + 13, 10 + 8, and 18 + 0 months of exposure regimens are the same; 6 to 10 mice per group.
aMS-150 and MS-300: MS at target concentrations of 150 and 300mg TPM/m3, respectively.
bTest: Symbols * and # represent statistically significant difference to sham-exposed or MS-150–exposed mice, respectively.
cData obtained from lavages at regimens 0 and 2.5 + 0 months could not be integrated due to changes in lavaging techniques.
FIG. 4.
Inflammatory cells in BALF, relative to total number of cells harvested, for sham and MS-300 (MS at 300mg TPM/m3) groups. “a + b” in the legend refers to months of inhalation + postinhalation. A, alveolar macrophages, B, neutrophils, C, lymphocytes. MS effects are statistically significant relative to sham for all exposure regimens and time points.
In order to test for the potential activation of alveolar macrophages by MS inhalation, the expression of typical activation markers was analyzed, i.e., CD11b (Mac-1 α-chain), CD86 (costimulatory molecule B7.2), major histocompatibility complex class II (MHCII), and CD14 (LPS receptor), at exposure regimens 10 + 0, 10 + 4, and 18 + 0 months. These markers were slightly higher after MS inhalation but reversed after 4 months of postinhalation (Supplementary table S1).
An attempt was made to differentiate various lymphocyte subtypes in BALF. Such differentiation was only possible in a few sham mice due to the low number of total lymphocytes harvested. In the MS groups, enough cells were available, and a differentiation was performed for exposure regimens 10 + 0 and 10 + 4 months. The relative proportions of CD4, CD8, NK, and B cells did not suggest any smoking effect (Supplementary table S2). A more comprehensive differentiation was performed on those lymphocytes harvested from the bronchial lymph nodes draining the alveolar tissue, from which enough cells were available. No consistent difference was observed in the proportions of CD4, CD8, and B cells between MS and sham groups, independent of the MS concentration or exposure regimen (Supplementary table S3). In addition, no consistent effect on lymphocyte activation markers CD69, CD25, CD44, and CD62L was observed on either CD4 or CD8 cells (Supplementary tables S4 and S5).
MS inhalation resulted in a statistically significant increase in proinflammatory cytokines IL-1α, IL-6, IL-12p40, IFN-γ, and TNF-α in BALF, in general, in a concentration-dependent manner (Supplementary table S6). The most pronounced effect was observed at 10 months. With the exception of IL-6, there was a partial recovery of these inflammatory changes during the 4-month postinhalation periods, which was most obvious in the low concentration group (MS-150). IL-1β, which was only determined during the 5-month MS inhalation period, did not change (data not shown). The chemokines KC, MCP-1, MCP-5, MIP-1α, MIP-2, and RANTES in BALF were statistically significantly increased as a consequence of MS inhalation (Supplementary table S6). In the majority of cases, the response was concentration dependent. A progressive effect with increasing MS inhalation periods was observed for MCP-1 and MIP-1α in the MS-300 group. After exposure at the high MS concentration for 5 or 10 months, there was no reversal of the chemokine responses during the 4-month postinhalation period, except for MCP-5; however, after exposure to the low MS concentration, a reversal was generally observed. Matrix metalloproteinases MMP-2, MMP-3, and MMP-9 increased in a concentration-dependent manner with no particular progression with increasing MS inhalation period observable within the limits of variation of the data. These effects showed partial reversal during the postinhalation periods.
Thus, there was a broad picture of concentration-dependent inflammatory effects, many of which seemed to progress with increasing MS inhalation period and began to reverse upon postinhalation. Although the lymphocyte population at large increased upon MS inhalation, no change in subpopulation composition or activation status in BALF or lymph node lymphocytes was found.
Organ Weights
Lungs were weighed with trachea and larynx attached. The respective weights increased with MS concentration (Supplementary fig. S1). A trend for increased weights of lungs with trachea and larynx was still observable at the end of the postinhalation periods of various durations, even after 13 months of postinhalation following the 5-month inhalation period. Spleen weights tended to be lower and adrenal weights tended to be higher after MS inhalation; however, in general these data did not change in a statistically significant manner (data not shown).
Nonneoplastic Pulmonary Histopathology
A chronic inflammatory reaction in the lung tissue was also recognized histopathologically. It was characterized by a multifocal mild to moderate histiocytic infiltration with unpigmented macrophages and macrophages with an intracytoplasmatic brownish to yellow pigmentation. The pigmented macrophages were partly arranged in small intra-alveolar clusters best described as pigmented macrophage nests (Fig. 5). These nests were associated with focal hyperplasia/hypertrophy of pneumocytes. These effects persisted for the most part throughout the postinhalation periods. In addition, a mild multifocal intra-alveolar accumulation of neutrophilic granulocytes and lymphocytes, a mild lymphocytic perivascular cell infiltration, and a mild to moderate hyperplasia of the bronchus-associated lymphoid tissue were observed mainly in the MS groups. Although these inflammatory effects increased slightly from 5 to 10 months of MS inhalation, there was no further increase seen at 18 months. At the end of the postinhalation periods, inflammatory effects were still more pronounced in the groups with prior MS inhalation than in the sham group. This is indicative of, at best, partial recovery of MS effects and is in line with observations on cellular and humoral inflammatory markers assessed in BALF.
FIG. 5.
Severity of pigmented alveolar macrophage nests (mean ± SE; 8 to 10 mice per group) for sham, MS-150 (MS at 150mg TPM/m3), and MS-300 groups. “a + b” in the x-axis refers to months of inhalation + postinhalation. Asterisks denote statistical significance (both tumors combined) compared with the sham group; # indicates a statistically significant difference between low and high MS concentration groups.
Multifocal alveolar emphysematous changes were seen in the lungs of nearly all mice. These changes were quantitatively evaluated at the cross section along the main bronchus of the left lung by three morphometric methods. The results obtained by the three methods, i.e., mean chord length, destructive index, and bronchiolar attachments, are similar but not identical (Table 3 and Fig. 6). There was no age-dependent development for the mean chord length and the destructive index, but the number of bronchiolar attachments tended to decrease with age. MS exposure resulted in increased emphysema, which was already observed after 2.5 months of MS inhalation, although only for the destructive index. In general, the MS effect was not very pronounced but achieved maximal changes of 20, 40, and 50% beyond the sham group for mean chord length, destructive index, and number of bronchiolar attachments, respectively. At the end of the 18-month inhalation period, the emphysematous effect was statistically significant for all three morphometric endpoints for both MS concentration groups in a roughly concentration-dependent manner. There was little progress or regression in the extent of the emphysematous effect over the course of the study, irrespective of whether MS exposure was continued or not (Fig. 6). For the destructive index and the number of bronchiolar attachments, there was a trend to less pronounced effects upon termination of MS exposure after 5 months of inhalation, but not after 10 months of inhalation.
TABLE 3.
Morphometric Changes Indicative of Emphysema
| Parameter | Exposurea | Descriptorb | Inhalation + postinhalation periods (months) | ||||||||
|---|---|---|---|---|---|---|---|---|---|---|---|
| 2.5 + 0 | 5 + 0 | 5 + 4 | 5 + 8 | 5 + 13 | 10 + 0 | 10 + 4 | 10 + 8 | 18 + 0 | |||
| Chord length (µm) | Sham | Mean | 38.6 | 45.6 | 45.0 | 38.7 | 44.7 | 47.4 | 42.9 | 44.7 | 44.7 |
| SE | 2.1 | 1.3 | 0.7 | 1.2 | 1.4 | 1.9 | 1.9 | 1.4 | 1.4 | ||
| MS-150 | Mean | — | 40.1 | 46.4 | 38.1 | 47.8 | 50.1 | 44.6 | 51.0 | 51.8 | |
| SE | — | 0.9 | 1.8 | 1.1 | 1.1 | 2.0 | 2.6 | 1.4 | 2.1 | ||
| Test | * | * | |||||||||
| MS-300 | Mean | 38.2 | 52.9 | 53.2 | 40.7 | 51.0 | 51.5 | 50.9 | 54.6 | 53.4 | |
| SE | 0.7 | 3.8 | 3.2 | 1.9 | 2.3 | 2.1 | 2.0 | 2.6 | 2.0 | ||
| Test | # | * | * | * | * | ||||||
| Destructive index | Sham | Mean | 0.53 | 0.42 | 0.62 | 0.48 | 0.58 | 0.46 | 0.55 | 0.58 | 0.58 |
| SE | 0.03 | 0.03 | 0.01 | 0.02 | 0.03 | 0.03 | 0.02 | 0.03 | 0.03 | ||
| MS-150 | Mean | — | 0.42 | 0.69 | 0.50 | 0.61 | 0.57 | 0.57 | 0.68 | 0.75 | |
| SE | — | 0.03 | 0.03 | 0.02 | 0.02 | 0.01 | 0.04 | 0.03 | 0.03 | ||
| Test | * | * | |||||||||
| MS-300 | Mean | 0.61 | 0.54 | 0.70 | 0.56 | 0.69 | 0.61 | 0.68 | 0.83 | 0.81 | |
| SE | 0.02 | 0.05 | 0.04 | 0.05 | 0.03 | 0.03 | 0.03 | 0.03 | 0.01 | ||
| Test | * | * | * | *# | *# | * | |||||
| Bronchiolar attachments (1/mm) | Sham | Mean | 22.9 | 20.4 | 18.0 | 21.6 | 14.0 | 20.9 | 17.5 | 14.0 | 14.0 |
| SE | 1.5 | 0.9 | 1.6 | 0.8 | 0.9 | 0.5 | 1.4 | 0.9 | 0.9 | ||
| MS-150 | Mean | — | 20.5 | 17.2 | 19.5 | 12.4 | 17.4 | 17.3 | 8.0 | 7.8 | |
| SE | — | 1.0 | 1.5 | 0.7 | 0.8 | 0.8 | 1.5 | 1.0 | 1.0 | ||
| Test | * | * | * | ||||||||
| MS-300 | Mean | 19.8 | 17.6 | 15.5 | 20.8 | 13.1 | 18.5 | 14.2 | 7.7 | 6.6 | |
| SE | 1.3 | 0.7 | 0.9 | 1.3 | 0.9 | 1.1 | 0.8 | 0.9 | 0.7 | ||
| Test | # | * | * | ||||||||
Note. The sham-exposed mice for the 5 + 13, 10 + 8, and 18 + 0 months of exposure regimen are the same; 6 to 10 mice per group. —, not scheduled.
aMS-150 and MS-300: MS at target concentrations of 150 and 300mg TPM/m3, respectively.
bTest: Symbols * and # represent statistically significant difference to sham- or MS-150–exposed mice, respectively.
FIG. 6.
Time course of emphysematous changes morphometrically determined by the mean chord length (A), the destructive index (B), and the number of bronchiolar attachments (C) for sham and MS-300 (MS at 300mg TPM/m3) groups. “a + b” in the legend refers to months of inhalation + postinhalation. Asterisks denote statistical significance compared with the sham group.
Proliferative Pulmonary Lesions
The incidence and multiplicity of bronchioloalveolar proliferative findings increased with study duration and thus with age (Table 4). In sham group, the level of nodular alveolar hyperplasia remained relatively low throughout the entire study. The multiplicity of spontaneous bronchioloalveolar adenoma increased with age until approximately 9 months into the study, at which point it leveled off, whereas bronchioloalveolar carcinomas were first seen at this age and took off thereafter. At 18 months, the majority of tumors in the sham group were carcinomas, whereas there was a balanced ratio of carcinomas to adenomas in the MS groups (Fig. 7), a difference which was statistically significant for both MS groups compared with the sham group. At this point in time, an MS concentration-dependent increase in the multiplicity of the combined pulmonary proliferative lesions (Table 4), both lung tumor types combined (data shown for continuous MS inhalation only, Fig. 7), and the individual lung tumor types was observed, regardless of the MS exposure regimen used, i.e., 5 + 13, 10 + 8, or 18 + 0 months. Most MS-induced findings were statistically significantly different compared with those in the sham group. For the most robust endpoints, i.e., the combined proliferative findings or both tumor types combined, a statistically significant difference was also found between the two MS concentrations (Table 4, Fig. 7). For both tumors combined, the multiplicity increased by 2.1- and 2.7-fold after 18 months of MS inhalation at the low and high concentrations, respectively. Directly at the end of the inhalation periods at 5 and 10 months, statistically significant increases in multiplicity were generally not observed; if anything, multiplicities of the two tumor types were lower than those in the sham group (Fig. 8). Thus, tumor multiplicities increased either after 18-month MS inhalation without postinhalation or after shorter periods of MS inhalation followed by postinhalation periods of various durations. The highest multiplicity of proliferative findings was found after an exposure regimen of 10 + 8 months. The proliferative lesions were distributed across the five lung lobes in general accordance with the respective tissue mass (data not shown).
TABLE 4.
Proliferative Pulmonary Lesionsa
| Finding | Exposureb | Descriptorc | Inhalation + postinhalation periods (months) | |||||||
|---|---|---|---|---|---|---|---|---|---|---|
| 5 + 0 | 5 + 4 | 5 + 8 | 5 + 13 | 10 + 0 | 10 + 4 | 10 + 8 | 18 + 0 | |||
| All proliferative findings | Sham | Multiplicity | ||||||||
| Mean | 0.342 | 0.743 | 1.250 | 2.139 | 0.720 | 1.000 | 2.139 | 2.139 | ||
| SE | 0.078 | 0.132 | 0.228 | 0.208 | 0.187 | 0.189 | 0.208 | 0.208 | ||
| Incidence (%) | 34 | 54 | 75 | 97 | 48 | 65 | 97 | 97 | ||
| Number of mice | 38 | 35 | 20 | 36 | 25 | 23 | 36 | 36 | ||
| MS-150 | Multiplicity | |||||||||
| Mean | 0.625 | 1.625 | 2.304 | 3.593 | 1.750 | 3.600 | 3.960 | 3.880 | ||
| SE | 0.145 | 0.294 | 0.374 | 0.382 | 0.234 | 0.336 | 0.398 | 0.418 | ||
| Test | * | * | * | * | * | * | ||||
| Incidence (%) | 50 | 75 | 91 | 96 | 86 | 100 | 100 | 96 | ||
| Number of mice | 24 | 24 | 23 | 27 | 28 | 20 | 25 | 25 | ||
| MS-300 | Multiplicity | |||||||||
| Mean | 0.342 | 1.846 | 2.864 | 5.043 | 1.500 | 3.792 | 6.500 | 5.091 | ||
| SE | 0.087 | 0.174 | 0.485 | 0.493 | 0.267 | 0.307 | 0.475 | 0.405 | ||
| Test | * | * | *# | * | *# | *# | ||||
| Incidence (%) | 32 | 90 | 86 | 100 | 73 | 96 | 100 | 95 | ||
| Number of mice | 38 | 39 | 22 | 23 | 26 | 24 | 26 | 22 | ||
| Nodular hyperplasia | Sham | Multiplicity | ||||||||
| Mean | 0.158 | 0.057 | 0.100 | 0.389 | 0.040 | 0.043 | 0.389 | 0.389 | ||
| SE | 0.060 | 0.040 | 0.069 | 0.107 | 0.040 | 0.043 | 0.107 | 0.107 | ||
| Incidence (%) | 16 | 6 | 10 | 31 | 4 | 4 | 31 | 31 | ||
| MS-150 | Multiplicity | |||||||||
| Mean | 0.458 | 0.583 | 0.130 | 0.148 | 0.321 | 0.350 | 0.120 | 0.240 | ||
| SE | 0.134 | 0.146 | 0.072 | 0.088 | 0.116 | 0.109 | 0.066 | 0.105 | ||
| Test | * | * | ||||||||
| Incidence (%) | 38 | 46 | 13 | 11 | 25 | 35 | 12 | 20 | ||
| MS-300 | Multiplicity | |||||||||
| Mean | 0.237 | 0.436 | 0.000 | 0.217 | 0.346 | 0.375 | 0.192 | 0.318 | ||
| SE | 0.070 | 0.088 | 0.000 | 0.108 | 0.095 | 0.101 | 0.079 | 0.121 | ||
| Test | * | * | ||||||||
| Incidence (%) | 24 | 41 | 0 | 17 | 35 | 38 | 19 | 27 | ||
| Bronchioloalveolar adenoma | Sham | Multiplicity | ||||||||
| Mean | 0.184 | 0.629 | 0.650 | 0.528 | 0.520 | 0.609 | 0.528 | 0.528 | ||
| SE | 0.064 | 0.130 | 0.196 | 0.116 | 0.154 | 0.151 | 0.116 | 0.116 | ||
| Incidence (%) | 18 | 46 | 45 | 42 | 40 | 48 | 42 | 42 | ||
| MS-150 | Multiplicity | |||||||||
| Mean | 0.167 | 0.958 | 1.174 | 1.444 | 1.250 | 2.600 | 1.640 | 2.080 | ||
| SE | 0.078 | 0.213 | 0.215 | 0.241 | 0.222 | 0.343 | 0.215 | 0.310 | ||
| Test | * | * | * | * | * | |||||
| Incidence (%) | 17 | 63 | 74 | 78 | 71 | 90 | 88 | 84 | ||
| MS-300 | Multiplicity | |||||||||
| Mean | 0.105 | 1.385 | 1.955 | 1.652 | 1.115 | 2.583 | 3.038 | 2.500 | ||
| SE | 0.050 | 0.150 | 0.357 | 0.271 | 0.250 | 0.335 | 0.398 | 0.393 | ||
| Test | * | * | * | * | *# | * | ||||
| Incidence (%) | 11 | 82 | 82 | 74 | 58 | 96 | 96 | 86 | ||
| Bronchioloalveolar carcinoma | Sham | Multiplicity | ||||||||
| Mean | 0.000 | 0.057 | 0.500 | 1.222 | 0.160 | 0.348 | 1.222 | 1.222 | ||
| SE | 0.000 | 0.040 | 0.136 | 0.160 | 0.075 | 0.102 | 0.160 | 0.160 | ||
| Incidence (%) | 0 | 6 | 45 | 78 | 16 | 8 | 78 | 78 | ||
| MS-150 | Multiplicity | |||||||||
| Mean | 0.000 | 0.083 | 1.000 | 2.000 | 0.179 | 0.650 | 2.200 | 1.560 | ||
| SE | 0.000 | 0.058 | 0.199 | 0.354 | 0.090 | 0.196 | 0.351 | 0.283 | ||
| Test | * | |||||||||
| Incidence (%) | 0 | 8 | 74 | 81 | 14 | 13 | 88 | 76 | ||
| MS-300 | Multiplicity | |||||||||
| Mean | 0.000 | 0.026 | 0.909 | 3.174 | 0.038 | 0.833 | 3.269 | 2.273 | ||
| SE | 0.000 | 0.026 | 0.254 | 0.396 | 0.038 | 0.197 | 0.291 | 0.396 | ||
| Test | *# | *# | * | |||||||
| Incidence (%) | 0 | 3 | 55 | 100 | 4 | 20 | 100 | 77 | ||
Note. The sham-exposed mice for the 5 + 13, 10 + 8, and 18 + 0 months of exposure regimens are the same.
aPooled analysis of findings in all lung lobes.
bMS-150 and MS-300: MS at target concentrations of 150 and 300mg TPM/m3, respectively.
cTest: Symbols * and # represent statistically significant difference to sham-exposed or MS-150–exposed mice, respectively.
FIG. 7.
Age dependence and concentration-response relationship for the multiplicity of bronchioloalveolar adenoma and carcinoma (mean ± SE) after 5-, 10-, and 18-month inhalation periods (no postinhalation periods) for sham, MS-150 (MS at 150mg TPM/m3), and MS-300 groups. Asterisks denote statistical significance (both tumors combined) compared with the sham group; # indicates a statistically significant difference between low and high MS concentration groups. Note the changing ratio between carcinoma and adenoma, which is statistically significantly different for the MS-300 and MS-150 groups versus the sham group after 18 months of MS inhalation.
FIG. 8.

Time course for bronchioloalveolar adenomas (A) and adenocarcinomas (B) for sham and MS-300 (MS at 300mg TPM/m3) groups. “a + b” in the legend refers to months of inhalation + postinhalation. Asterisks denote statistical significance compared with the sham group.
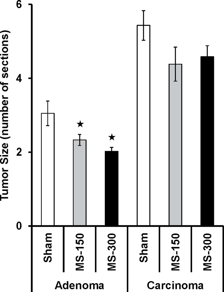
The size of the tumors was estimated by the number of 300-µm sections transected by each individual tumor. In the sham group at the end of the 18-month study period, adenomas transected 3.05 sections on average, whereas carcinomas transected 5.43 sections (Fig. 9), resulting in average sizes of 0.6 to 1.2mm for adenomas and 1.2 to 1.8mm for carcinomas. After MS inhalation for 18 months, adenomas and carcinomas were found to be smaller. The same trend was observed for 10 + 8 months (data not shown).
FIG. 9.
Tumor sizes for bronchioloalveolar adenomas and adenocarcinomas obtained by counting the number of consecutive transections (300 µm distance) (mean ± SE) for sham, MS-150 (MS at 150mg TPM/m3), and MS-300 groups at the end of the 18-month inhalation period. Asterisks denote statistical significance compared with the sham group.
Kras Mutation
Tumor samples from mice exposed to MS for 5 or 18 months showed higher mutation rates than those from sham mice (Table 5) although the majority of Kras genes in spontaneous tumors were already mutated. Most mutations were found in codons 12 and 61 with no difference between MS and sham groups. The majority of mutations were G → T transversions. Overall, no shift in Kras mutation pattern was observed as a consequence of MS exposure.
TABLE 5.
Kras Mutation Patterna
| Exposure | Inhalation + postinhalation periods (months) | Number of tumors investigated | Incidence of mutations (%) | Proportion of mutations in codon | G → T transversions in codon 12 (%) | ||
|---|---|---|---|---|---|---|---|
| 12 | 13 | 61 | |||||
| (%) | (%) | (%) | |||||
| Sham | 0 + 18 | 11 | 73 | 50 | 0 | 50 | 50 |
| MS-300 | 5 + 13 | 25 | 96 | 75 | 4 | 21 | 78 |
| MS-300 | 18 + 0 | 14 | 86 | 50 | 0 | 50 | 50 |
Note. This data set was obtained by combining two different preparation approaches.
aOnly investigated for the high MS concentration. No statistical analysis was performed.
Discussion
Chronic MS inhalation for 18 months induced the development of both pulmonary adenoma/adenocarcinoma and emphysematous changes in this A/J mouse model in a concentration-dependent manner. The time course and the reaction to the various inhalation and postinhalation regimens were different for the two chronic disease outcomes. They were accompanied by marked inflammatory reactions, which appeared in patterns of transient and sustained responses to the various inhalation regimens.
Lung tumor multiplicities seen after chronic MS or ETSS inhalation in this and other studies were up to one order of magnitude lower than those seen after the ip application of single chemical carcinogens to A/J mice (Estensen et al., 2004; Pereira et al., 2002; Shimkin and Stoner, 1975; Stinn et al., 2005; Witschi et al., 2005) although smoke inhalation was performed close to maximum tolerated doses (e.g., determined as body weight effect or carboxyhemoglobin proportions in blood in this study). Considering all proliferative findings in this study, the 18-month MS inhalation induced a 2.4-fold increase in multiplicity beyond the sham group. This is practically the same increase that was obtained when using a schedule of 5 + 4 months of inhalation and postinhalation, respectively, in this study (2.5-fold) and in previous MS inhalation studies (2.5- and 2.8-fold) (Curtin et al., 2004; Stinn et al., 2010). Also, following a 6-month ETSS inhalation period with A/J mice, very similar increases were found after 4 or 17 months of postinhalation (both 2.0-fold) (Witschi et al., 2006). A slightly higher increase in the multiplicity of all proliferative findings was only observed in this study after 10 months of MS inhalation and 4 to 8 months of postinhalation (3.8- and 3.0-fold, respectively). Thus, both types of smoke exposure regimens, i.e., long-term smoke inhalation with no postinhalation and shorter term chronic smoke inhalation followed by a postinhalation period, reveal a similar extent of smoke inhalation–induced tumorigenic response in this model. Long-term inhalation is in accordance with the requirements of a regulatory bioassay, whereas a shorter term chronic inhalation followed by a postinhalation period may provide useful data, e.g., in comparative studies when sufficient test material for long-term or lifetime studies is not available.
The A/J mouse is highly susceptible to developing lung tumors, both spontaneous and chemically induced, which has been proposed to be related to an increased transcription rate and a potential sensitivity of the Kras proto-oncogene for mutation (Chen et al., 1994; To et al., 2006). Because this gene is often found mutated in human adenocarcinomas and is considered an early event (Thunnissen et al., 2012), the A/J mouse may be a useful model for human smoking-related LC. However, significant changes in Kras mutation patterns in lungs or lung tumors of MS- and ETSS-exposed mice were not found in this study nor in previous studies although there might be a trend toward slightly higher mutation frequencies (Hutt et al., 2005; Stinn et al., 2005; Wang et al., 2005; Witschi et al., 2002). This raises the question of whether smoke in this mouse model acts as an initiator or as a promoter on the basis of an already activated oncogene. So far, it has not been possible to allocate tumors found in smoke-exposed mice to either a spontaneous or a chemically induced origin based on histopathological or molecular biological investigations, which might have been helpful in distinguishing between the promotion of “spontaneous” or newly induced tumors in response to smoke inhalation.
The requirement for a postinhalation period to express a smoke-dependent tumorigenic effect after shorter term chronic inhalation periods was the same for ETSS and MS inhalation studies (this study; Curtin et al., 2004; Stinn et al., 2005 , 2010; Witschi, 2005). This was attributed to the triggering of a tumorigenic process along with a concurrent inhibition of this process during direct smoke exposure. The balance of protumorigenic and inhibitory effects turns positive upon long-term inhalation. In a previous study, the inhibitory effect of direct smoke exposure was attributed, at least in part, to corticosterone, which is increased in high-concentration ETSS and MS inhalation studies (Stinn et al., 2005 , 2010). This increase is probably a stress response to the respiratory irritation by smoke exposure and/or an adrenocortical response to nicotine (Cam and Bassett, 1984). Glucocorticoids have been shown to inhibit alveolar epithelial cell proliferation (Droms and Malkinson, 1991) and lung tumorigenesis in mice, which was induced by the application of chemical carcinogens or by ETSS inhalation (Wang et al., 2003; Witschi et al., 2005). The corticosterone response to MS inhalation seemed to weaken in this study with longer MS inhalation periods, and the responsiveness of glucocorticoid-triggered pathways might decline with age, which, taken together, could explain the long-term expression of the lung tumorigenic response in this study without the need for a postinhalation period. These findings could be interpreted as a delay of the smoke-induced tumorigenic process by concomitant smoke exposure. This interpretation is supported by the reduction in tumor size and the lower extent of malignancy in MS-exposed compared with sham-exposed mice. The lower extent of malignancy was also observed after chronic ETSS inhalation (Witschi et al., 2002). In the same way, chronic ETSS inhalation inhibited urethane-induced lung tumorigenesis in A/J mice (Stinn et al., 2005). The observations of a delayed or inhibited tumorigenesis upon concurrent smoke exposure are in line with an increased expression of senescence markers in in vitro and in vivo exposures to MS (Tsuji et al., 2004) and with smoke-induced inhibition of bronchial epithelial repair processes (Wang et al., 2001), which, when unleashed, could potentially promote tumorigenesis. Although the inhibitory effect of glucocorticoids on murine lung tumorigenesis is evident, a similar effect may also be protective in human LC development. This has been suggested by epidemiological studies in smokers undergoing glucocorticoid inhalation therapy as treatment for COPD (Kiri et al., 2009; Parimon et al., 2007).
A transient increase in smoking-related mortality after quitting can be observed in human former smokers (Godtfredsen et al., 2008; Knoke et al., 2008; U.S. Department of Health and Human Services, 1997), a phenomenon that was previously discussed in the context of a need for a postinhalation period to express smoking-induced tumorigenesis in the A/J mouse model. Specifically, such transient increase in former smokers was reported for all cancer-, LC-, and COPD-related mortality. Later on, an overall decline in risk can be observed, which for LC may last over a period of 5 to 20 years. The rate of decrease in relative risk varies among the histological types of human smoking-induced LC and is slowest for adenocarcinoma. The nature of this transient increase is not fully understood, and a number of possibilities have been discussed, e.g., a bias in the population that stops smoking toward those who have been told that they are ill (the “ill quitter” effect) (U.S. Department of Health and Human Services, 1997), a latency effect in the expression of lung tumors (Knoke et al., 2008), and the sudden lack of a toxic exposure of the lung with smoking cessation (Witschi et al., 1997), which could unleash a spike in the tumorigenic development. The last two hypotheses require the persistence of at least some biological effects induced by the prior smoke inhalation in the postinhalation period. In this study, lung weights were still elevated 13 months after the end of a 5-month inhalation period, and pigmented alveolar macrophages could still be observed. Also, many inflammatory effects persisted for relatively long periods of postinhalation, and some inflammatory effects did not recover at all, most prominently in the high-concentration group. In humans, the level of smoking-related DNA adducts (Garner et al., 1990), the aberrant promoter methylation of tumor suppressor genes (Belinsky et al., 2002), and microsatellite markers of heterozygosity persist for months to years after smoking cessation (Wistuba et al., 1997), whereas other smoking-related effects reverse upon smoking cessation, e.g., pulmonary cell proliferation and squamous cell metaplasia (Lapperre et al., 2007). Smoking cessation also slows the accelerated decline of lung function in COPD patients compared with continued smoking (Godtfredsen et al., 2008). Some studies reported a recovery of inflammatory effects determined in BALF of smokers after cessation (Sköld et al., 1992), whereas other studies have shown that some inflammatory reactions to smoking, in particular regarding lymphocytic changes, may persist for years (Lapperre et al., 2006).
In contrast to human smokers, however, the current A/J mouse model did not reveal any changes in proportions of lymphocyte subpopulations upon smoke inhalation or during postinhalation periods in BALF or in bronchial lymph nodes. This does not exclude potential changes in interstitial lymphocytes, which were not specifically characterized in this study, because no MS inhalation effect on interstitial lymphocyte subpopulations was reported in a previous study (March et al., 2006). This study confirmed the general inflammatory and proteolytic effects reported by others for smoke-exposed mice, such as the neutrophil and lymphocyte influx and the change in proinflammatory cytokines, chemokines, and metalloproteinases (Braber et al., 2010; D’hulst et al., 2005; Hodge-Bell et al., 2007; March et al., 2006; Seagrave et al., 2004; Tsuji et al., 2011). However, there was no increase in the number of BALF macrophages and no preferential increase in CD8 lymphocytes as observed in some other mouse studies (Braber et al., 2010; Maeno et al., 2007; March et al., 2006), in spite of the MS inhalation–induced increase in the respective chemoattractant and activating cytokines, such as MIP-1α, IFN-γ, and TNF-α. Others found a more or less parallel increase of CD4 and CD8 cells upon chronic MS inhalation as seen in this study but with an additional CD69-related activation of both types of lymphocytes (D’hulst et al., 2005). Activation markers for both airspace and interstitial lymphocytes were found to respond to MS inhalation (March et al., 2006), an effect that was not seen in this study, at least not in bronchial lymph nodes, which might provide an integrated measure of changes in the airspace and interstitial tissue. A similar pattern of reversing and persisting inflammatory effects within several weeks after termination of MS inhalation was reported in other studies confirming the sustained accumulation of lymphocytes (Braber et al., 2010; March et al., 2006; Seagrave et al., 2004) although this is the first study to extend such investigations with postinhalation periods of up to 13 months. It is unclear to what extent the method of MS generation, the MS concentration, the duration of inhalation and postinhalation periods, and the mouse strain (Morris et al., 2008; Yao et al., 2008) affect the differential pattern of inflammatory responses in these studies, but the overall inflammatory pattern observed here is generally consistent with the development of emphysematous changes in response to MS inhalation.
A further indication of stress factors, such as glucocorticoids, affecting this mouse model is the longer survival of the MS-exposed compared with the sham-exposed mice. A similar effect was observed in another chronic mouse MS inhalation study (Hutt et al., 2005), but not in others (e.g., Keast et al. [1981]). In a previous rat inhalation study, prolongation of survival times was observed with the lower MS concentration but not with the higher (Mauderly et al., 2004). Thus, at MS concentrations that are high enough to considerably decrease the body weight of MS-exposed mice, i.e., to induce a certain level of stress, but not high enough to elicit overt toxicity, survival seems to be increased. This is in accordance with the general observation of increased longevity in rodents with decreased body weight as a consequence of dietary restriction (Sheldon et al., 1995). Dietary restriction also goes along with increased corticosterone levels in this mouse model (Stinn et al., 2005).
Severe dietary restriction or fasting may also lead to a degradation of pulmonary tissue with structures similar to emphysema, an effect that seems to be reversible upon refeeding (Massaro et al., 2004; Sahebjami and Domino, 1989). In this study, emphysematous changes were apparent after several months of MS inhalation and, in general, did not significantly progress or revert during the 18-month study duration, independent of whether MS inhalation was continued or stopped. When inhalation was stopped, the severe body weight decrements observed during MS exposure reverted to control levels, without parallel reversal of the emphysematous changes. The only progress that was seen for any of the morphometric endpoints was for the number of bronchiolar attachments, which also showed some age-dependent decrease at the last two time points, which is in line with specific aging studies (Calvi et al., 2011). Such age effects were not observed for the other two morphometric endpoints. There was also no progression of emphysematous changes in a 10-month MS inhalation study with interim evaluations using two other strains of mice (Bartalesi et al., 2005). The degree of MS-induced morphometric changes in this long-term study is similar to that observed in previous shorter term chronic studies with the same mouse strain (20 to 50% beyond controls), regardless of whether mice were exposed to MS (Braber et al., 2011; Foronjy et al., 2005; Guerassimov et al., 2004; March et al., 2005; Nadziejko et al., 2007) or to ETSS (Rangasamy et al., 2009).
The inflammatory reactions observed in this study may be involved in both pulmonary emphysema and tumor formation in this mouse model of MS inhalation (Bauer and Rondini, 2009; Churg et al., 2008) and in human smokers (Cosio et al., 2009; Walser et al., 2008). The risk for smoking-induced LC in patients suffering from emphysema or for emphysema in patients suffering from LC was found to be increased, even after correcting for smoke exposure (Koshiol et al., 2009; Young et al., 2009). A proteolytic imbalance (Houghton et al., 2008; Qu et al., 2009) and oxidative stress (Adcock et al., 2011) have both been suggested to be mechanistically related to this comorbidity. A laboratory animal model to further investigate the pathogenetic and pathogenic links between the two diseases has recently been called for (Punturieri et al., 2009), and the current A/J mouse model of MS inhalation–induced pathologies may serve this purpose. A further path for improved understanding of the role of inflammatory processes may be provided by a comparison of the detailed effects induced by MS versus ETSS inhalation, as after ETSS inhalation no change in the composition of inflammatory cells in BALF was found (Stinn et al., 2005), although there was an increase in tumor multiplicity similar to that seen in this study.
In summary, inflammatory, emphysematous, and tumorigenic effects were observed in this MS inhalation study in a concentration- and time-dependent manner over the major part of the lifetime of the mice. This study suggests that A/J mice exposed to MS for 18 months (or combinations of shorter term chronic inhalation and postinhalation periods) provide a model for smoking-induced lung adenocarcinoma and emphysema. Tumor and emphysema data are in line with previously published shorter term chronic MS inhalation studies. This study has considerably enhanced our understanding of the changes accompanying MS exposure in mice and the potential mechanisms involved in adenocarcinoma and emphysema development. Further mechanistic research will help to substantiate the biological relevance of this model for human smoking-related diseases and to understand its limitations.
Supplementary Data
Supplementary data are available online at http://toxsci.oxfordjournals.org/.
FUNDING
Philip Morris International and in part by Philip Morris USA prior to the spin-off of Philip Morris International by Altria Group on March 28, 2008. H.J.H. worked on this manuscript as a paid consultant.
Supplementary Material
Acknowledgments
The authors are grateful to the technical staff at Philip Morris Research Laboratories in Leuven, Belgium, and Cologne, Germany, for their excellent work and endurance to conduct this study and to Lynda Conroy for editing the manuscript.
References
- Adcock I. M., Caramori G., Barnes P. J. (2011). Chronic obstructive pulmonary disease and lung cancer: New molecular insights. Respiration. 81, 265–284 [DOI] [PubMed] [Google Scholar]
- Association for the Assessment and Accreditation of Laboratory Animal Care International (1991). American association for laboratory animal science policy on the humane care and use of laboratory animals. Lab. Anim. Sci. 41, 91 [Google Scholar]
- Balansky R., Ganchev G., Iltcheva M., Steele V. E., D’Agostini F., De Flora S. (2007). Potent carcinogenicity of cigarette smoke in mice exposed early in life. Carcinogenesis. 28, 2236–2243 [DOI] [PubMed] [Google Scholar]
- Bartalesi B., Cavarra E., Fineschi S., Lucattelli M., Lunghi B., Martorana P. A., Lungarella G. (2005). Different lung responses to cigarette smoke in two strains of mice sensitive to oxidants. Eur. Respir. J. 25, 15–22 [DOI] [PubMed] [Google Scholar]
- Bauer A., Rondini E. (2009). The role of inflammation in mouse pulmonary neoplasia. Vet. Pathol. 46, 369–390 [DOI] [PubMed] [Google Scholar]
- Belinsky S. A., Palmisano W. A., Gilliland F. D., Crooks L. A., Divine K. K., Winters S. A., Grimes M. J., Harms H. J., Tellez C. S., Smith T. M., et al. (2002). Aberrant promoter methylation in bronchial epithelium and sputum from current and former smokers. Cancer Res. 62, 2370–2377 [PubMed] [Google Scholar]
- Braber S., Henricks P. A., Nijkamp F. P., Kraneveld A. D., Folkerts G. (2010). Inflammatory changes in the airways of mice caused by cigarette smoke exposure are only partially reversed after smoking cessation. Respir. Res. 11, 99 [DOI] [PMC free article] [PubMed] [Google Scholar]
- Braber S., Koelink P. J., Henricks P. A., Jackson P. L., Nijkamp F. P., Garssen J., Kraneveld A. D., Blalock J. E., Folkerts G. (2011). Cigarette smoke-induced lung emphysema in mice is associated with prolyl endopeptidase, an enzyme involved in collagen breakdown. Am. J. Physiol. Lung Cell Mol. Physiol. 300, L255–L265 [DOI] [PMC free article] [PubMed] [Google Scholar]
- Calvi C. L., Podowski M., D’Alessio F. R., Metzger S. L., Misono K., Poonyagariyagorn H., Lopez-Mercado A., Ku T., Lauer T., Cheadle C., et al. (2011). Critical transition in tissue homeostasis accompanies murine lung senescence. PLoS ONE. 6, e20712 [DOI] [PMC free article] [PubMed] [Google Scholar]
- Cam G. R., Bassett J. R. (1984). Effect of prolonged exposure to nicotine and stress on the pituitary-adrenocortical response; the possibility of cross-adaptation. Pharmacol. Biochem. Behav. 20, 221–226 [DOI] [PubMed] [Google Scholar]
- Chen B., Johanson L., Wiest J. S., Anderson M. W., You M. (1994). The second intron of the K-ras gene contains regulatory elements associated with mouse lung tumor susceptibility. Proc. Natl. Acad. Sci. U.S.A. 91, 1589–1593 [DOI] [PMC free article] [PubMed] [Google Scholar]
- Churg A., Cosio M., Wright J. L. (2008). Mechanisms of cigarette smoke-induced COPD: Insights from animal models. Am. J. Physiol. Lung Cell Mol. Physiol. 294, L612–L631 [DOI] [PubMed] [Google Scholar]
- Coggins C. R. (2010). A further review of inhalation studies with cigarette smoke and lung cancer in experimental animals, including transgenic mice. Inhal. Toxicol. 22, 974–983 [DOI] [PubMed] [Google Scholar]
- Cosio M. G., Saetta M., Agusti A. (2009). Immunologic aspects of chronic obstructive pulmonary disease. N. Engl. J. Med. 360, 2445–2454 [DOI] [PubMed] [Google Scholar]
- Curtin G. M., Higuchi M. A., Ayres P. H., Swauger J. E., Mosberg A. T. (2004). Lung tumorigenicity in A/J and rasH2 transgenic mice following mainstream tobacco smoke inhalation. Toxicol. Sci. 81, 26–34 [DOI] [PubMed] [Google Scholar]
- D’hulst A. I., Vermaelen K. Y., Brusselle G. G., Joos G. F., Pauwels R. A. (2005). Time course of cigarette smoke-induced pulmonary inflammation in mice. Eur. Respir. J. 26, 204–213 [DOI] [PubMed] [Google Scholar]
- Droms K. A., Malkinson A. M. (1991). Mechanisms of glucocorticoid involvement in mouse lung tumorigenesis. Exp. Lung Res. 17, 359–370 [DOI] [PubMed] [Google Scholar]
- Dungworth D. L., Rittinghausen S., Schwartz L., Harkema J. R., Hayashi Y., Kittel B., Lewis D., Miller R. A., Mohr U., Rehm S., et al. (2001). Respiratory system and mesothelium. In International Classification of Rodent Tumors, The Mouse. (Mohr U, Ed.), pp. 87–139 Springer; Berlin, Germany: [Google Scholar]
- Estensen R. D., Jordan M. M., Wiedmann T. S., Galbraith A. R., Steele V. E., Wattenberg L. W. (2004). Effect of chemopreventive agents on separate stages of progression of benzo[alpha]pyrene induced lung tumors in A/J mice. Carcinogenesis. 25, 197–201 [DOI] [PubMed] [Google Scholar]
- Foronjy R. F., Mercer B. A., Maxfield M. W., Powell C. A., D’Armiento J., Okada Y. (2005). Structural emphysema does not correlate with lung compliance: Lessons from the mouse smoking model. Exp. Lung Res. 31, 547–562 [DOI] [PubMed] [Google Scholar]
- Friedrichs B., Miert E., Vanscheeuwijck P. (2006). Lung inflammation in rats following subchronic exposure to cigarette mainstream smoke. Exp. Lung Res. 32, 151–179 [DOI] [PubMed] [Google Scholar]
- Garner R. C., Cuzick J., Jenkins D., Phillips D. H., Hewer A., King M. M., Routledge M. N. (1990). Linear relationship between DNA adducts in human lung and cigarette smoking. IARC Sci Publ. 104, 421–426 [PubMed] [Google Scholar]
- Godtfredsen N. S., Lam T. H., Hansel T. T., Leon M. E., Gray N., Dresler C., Burns D. M., Prescott E., Vestbo J. (2008). COPD-related morbidity and mortality after smoking cessation: Status of the evidence. Eur. Respir. J. 32, 844–853 [DOI] [PubMed] [Google Scholar]
- Gordon T., Bosland M. (2009). Strain-dependent differences in susceptibility to lung cancer in inbred mice exposed to mainstream cigarette smoke. Cancer Lett. 275, 213–220 [DOI] [PMC free article] [PubMed] [Google Scholar]
- Guerassimov A., Hoshino Y., Takubo Y., Turcotte A., Yamamoto M., Ghezzo H., Triantafillopoulos A., Whittaker K., Hoidal J. R., Cosio M. G. (2004). The development of emphysema in cigarette smoke-exposed mice is strain dependent. Am. J. Respir. Crit. Care Med. 170, 974–980 [DOI] [PubMed] [Google Scholar]
- Haussmann H. J. (2007). Smoking and lung cancer: Future research directions. Int. J. Toxicol. 26, 353–364 [DOI] [PubMed] [Google Scholar]
- Hodge-Bell K. C., Lee K. M., Renne R. A., Gideon K. M., Harbo S. J., McKinney W. J. (2007). Pulmonary inflammation in mice exposed to mainstream cigarette smoke. Inhal. Toxicol. 19, 361–376 [DOI] [PubMed] [Google Scholar]
- Houghton A. M., Mouded M., Shapiro S. D. (2008). Common origins of lung cancer and COPD. Nat. Med. 14, 1023–1024 [DOI] [PubMed] [Google Scholar]
- Hutt J. A., Vuillemenot B. R., Barr E. B., Grimes M. J., Hahn F. F., Hobbs C. H., March T. H., Gigliotti A. P., Seilkop S. K., Finch G. L., et al. (2005). Life-span inhalation exposure to mainstream cigarette smoke induces lung cancer in B6C3F1 mice through genetic and epigenetic pathways. Carcinogenesis. 26, 1999–2009 [DOI] [PubMed] [Google Scholar]
- International Organization for Standardization (1991). International Standard 3402: Tobacco and Tobacco Products - Atmosphere for Conditioning and Testing. International Organization for Standardization, Geneva, Switzerland: [Google Scholar]
- International Organization for Standardization (2000). International Standard 3308: Routine Analytical Cigarette-Smoking Machine - Definitions and Standard Conditions. International Organization for Standardization, Geneva, Switzerland: [Google Scholar]
- Keast D., Ayre D. J., Papadimitriou J. M. (1981). A survey of pathological changes associated with long-term high tar tobacco smoke exposure in a murine model. J. Pathol. 135, 249–257 [DOI] [PubMed] [Google Scholar]
- Kiri V. A., Fabbri L. M., Davis K. J., Soriano J. B. (2009). Inhaled corticosteroids and risk of lung cancer among COPD patients who quit smoking. Respir. Med. 103, 85–90 [DOI] [PubMed] [Google Scholar]
- Knoke J. D., Burns D. M., Thun M. J. (2008). The change in excess risk of lung cancer attributable to smoking following smoking cessation: An examination of different analytic approaches using CPS-I data. Cancer Causes Control. 19, 207–219 [DOI] [PubMed] [Google Scholar]
- Koshiol J., Rotunno M., Consonni D., Pesatori A. C., De Matteis S., Goldstein A. M., Chaturvedi A. K., Wacholder S., Landi M. T., Lubin J. H., et al. (2009). Chronic obstructive pulmonary disease and altered risk of lung cancer in a population-based case-control study. PLoS ONE. 4, e7380 [DOI] [PMC free article] [PubMed] [Google Scholar]
- Lapperre T. S., Postma D. S., Gosman M. M. E., Snoeck-Stroband J. B., ten Hacken N. H. T., Hiemstra P. S., Timens W., Sterk P. J., Mauad T., on behalf of the GLUCOLD Study Group (2006). Relation between duration of smoking cessation and bronchial inflammation in COPD. Thorax. 61, 115–121 [DOI] [PMC free article] [PubMed] [Google Scholar]
- Lapperre T. S., Sont J. K., van Schadewijk A., Gosman M. M., Postma D. S., Bajema I. M., Timens W., Mauad T., Hiemstra P. S. (2007). Smoking cessation and bronchial epithelial remodelling in COPD: A cross-sectional study. Resp. Res. 8, 85 [DOI] [PMC free article] [PubMed] [Google Scholar]
- Maeno T., Houghton A. M., Quintero P. A., Grumelli S., Owen C. A., Shapiro S. D. (2007). CD8+ T Cells are required for inflammation and destruction in cigarette smoke-induced emphysema in mice. J. Immunol. 178, 8090–8096 [DOI] [PubMed] [Google Scholar]
- Manenti G., Dragani T. A. (2005). Pas1 haplotype-dependent genetic predisposition to lung tumorigenesis in rodents: A meta-analysis. Carcinogenesis. 26, 875–882 [DOI] [PubMed] [Google Scholar]
- Mantel N., Haenszel W. (1959). Statistical aspects of the analysis of data from retrospective studies of disease. J. Natl. Cancer Inst. 22, 719–748 [PubMed] [Google Scholar]
- March T. H., Bowen L. E., Finch G. L., Nikula K. J., Wayne B. J., Hobbs C. H. (2005). Effects of strain and treatment with inhaled aII-trans-retinoic acid on cigarette smoke-induced pulmonary emphysema in mice. COPD. 2, 289–302 [PubMed] [Google Scholar]
- March T. H., Wilder J. A., Esparza D. C., Cossey P. Y., Blair L. F., Herrera L. K., McDonald J. D., Campen M. J., Mauderly J. L., Seagrave J. (2006). Modulators of cigarette smoke-induced pulmonary emphysema in A/J mice. Toxicol. Sci. 92, 545–559 [DOI] [PubMed] [Google Scholar]
- Maria D. A., Manenti G., Galbiati F., Ribeiro O. G., Cabrera W. H., Barrera R. G., Pettinicchio A., De Franco M., Starobinas N., Siqueira M., et al. (2003). Pulmonary adenoma susceptibility 1 (Pas1) locus affects inflammatory response. Oncogene. 22, 426–432 [DOI] [PubMed] [Google Scholar]
- Massaro D., Massaro G. D., Baras A., Hoffman E. P., Clerch L. B. (2004). Calorie-related rapid onset of alveolar loss, regeneration, and changes in mouse lung gene expression. Am. J. Physiol. Lung Cell Mol. Physiol. 286, L896–L906 [DOI] [PubMed] [Google Scholar]
- Mauderly J. L., Gigliotti A. P., Barr E. B., Bechtold W. E., Belinsky S. A., Hahn F. F., Hobbs C. A., March T. H., Seilkop S. K., Finch G. L. (2004). Chronic inhalation exposure to mainstream cigarette smoke increases lung and nasal tumor incidence in rats. Toxicol. Sci. 81, 280–292 [DOI] [PubMed] [Google Scholar]
- Morris A., Kinnear G., Wan W. Y. H., Wyss D., Bahra P., Stevenson C. S. (2008). Comparison of cigarette smoke-induced acute inflammation in multiple strains of mice and the effect of an MMP inhibitor on these responses. J. Pharmacol. Exp. Ther. 327, 851–862 [DOI] [PubMed] [Google Scholar]
- Nadziejko C., Fang K., Bravo A., Gordon T. (2007). Susceptibility to pulmonary hypertension in inbred strains of mice exposed to cigarette smoke. J. Appl. Physiol. 102, 1780–1785 [DOI] [PubMed] [Google Scholar]
- Parimon T., Chien J. W., Bryson C. L., McDonell M. B., Udris E. M., Au D. H. (2007). Inhaled corticosteroids and risk of lung cancer among patients with chronic obstructive pulmonary disease. Am. J. Respir. Crit. Care Med. 175, 712–719 [DOI] [PMC free article] [PubMed] [Google Scholar]
- Pereira M. A., Li Y., Gunning W. T., Kramer P. M., Al-Yaqoub F., Lubet R. A., Steele V. E., Szabo E., Tao L. (2002). Prevention of mouse lung tumors by budesonide and its modulation of biomarkers. Carcinogenesis. 23, 1185–1192 [DOI] [PubMed] [Google Scholar]
- Punturieri A., Szabo E., Croxton T. L., Shapiro S. D., Dubinett S. M. (2009). Lung cancer and chronic obstructive pulmonary disease: Needs and opportunities for integrated research. J. Natl. Cancer Inst. 101, 554–559 [DOI] [PMC free article] [PubMed] [Google Scholar]
- Qu P., Du H., Wang X., Yan C. (2009). Matrix metalloproteinase 12 overexpression in lung epithelial cells plays a key role in emphysema to lung bronchioalveolar adenocarcinoma transition. Cancer Res. 69, 7252–7261 [DOI] [PMC free article] [PubMed] [Google Scholar]
- Rangasamy T., Misra V., Zhen L., Tankersley C. G., Tuder R. M., Biswal S. (2009). Cigarette smoke-induced emphysema in A/J mice is associated with pulmonary oxidative stress, apoptosis of lung cells, and global alterations in gene expression. Am. J. Physiol. Lung Cell Mol. Physiol. 296, L888–L900 [DOI] [PMC free article] [PubMed] [Google Scholar]
- Sahebjami H., Domino M. (1989). Effects of starvation and refeeding on elastase-induced emphysema. J. Appl. Physiol. 66, 2611–2616 [DOI] [PubMed] [Google Scholar]
- Seagrave J., Barr E. B., March T. H., Nikula K. J. (2004). Effects of cigarette smoke exposure and cessation on inflammatory cells and matrix metalloproteinase activity in mice. Exp. Lung Res. 30, 1–15 [DOI] [PubMed] [Google Scholar]
- Sheldon W. G., Bucci T. J., Hart R. W., Turturro A. (1995). Age-related neoplasia in a lifetime study of ad libitum-fed and food-restricted B6C3F1 mice. Toxicol. Pathol. 23, 458–476 [DOI] [PubMed] [Google Scholar]
- Shimkin M. B., Stoner G. D. (1975). Lung tumors in mice: Application to carcinogenesis bioassay. Adv. Cancer Res. 21, 1–58 [DOI] [PubMed] [Google Scholar]
- Sköld C. M., Hed J., Eklund A. (1992). Smoking cessation rapidly reduces cell recovery in bronchoalveolar lavage fluid, while alveolar macrophage fluorescence remains high. Chest. 101, 989–995 [DOI] [PubMed] [Google Scholar]
- Stinn W., Arts J. H., Buettner A., Duistermaat E., Janssens K., Kuper C. F., Haussmann H. J. (2010). Murine lung tumor response after exposure to cigarette mainstream smoke or its particulate and gas/vapor phase fractions. Toxicology. 275, 10–20 [DOI] [PubMed] [Google Scholar]
- Stinn W., Teredesai A., Kuhl P., Knörr-Wittmann C., Kindt R., Coggins C., Haussmann H. J. (2005). Mechanisms involved in A/J mouse lung tumorigenesis induced by inhalation of an environmental tobacco smoke surrogate. Inhal. Toxicol. 17, 263–276 [DOI] [PubMed] [Google Scholar]
- Thunnissen F. B., Prinsen C., Hol B., Van der Drift M., Vesin A., Brambilla C., Montuenga L., Field J. K. (2012). Smoking history and lung carcinoma: KRAS mutation is an early hit in lung adenocarcinoma development. Lung cancer (Amsterdam, Netherlands). 75, 156–160 [DOI] [PubMed] [Google Scholar]
- Thurlbeck W. M., Churg A. M. (1995). Pathology of the Lung. Thieme Medical Publishers, New York, NY: [Google Scholar]
- To M. D., Perez-Losada J., Mao J. H., Hsu J., Jacks T., Balmain A. (2006). A functional switch from lung cancer resistance to susceptibility at the Pas1 locus in Kras2LA2 mice. Nat. Genet. 38, 926–930 [DOI] [PMC free article] [PubMed] [Google Scholar]
- Tsuji H., Fujimoto H., Matsuura D., Nishino T., Lee K. M., Renne R., Yoshimura H. (2011). Comparison of mouse strains and exposure conditions in acute cigarette smoke inhalation studies. Inhal. Toxicol. 23, 602–615 [DOI] [PubMed] [Google Scholar]
- Tsuji T., Aoshiba K., Nagai A. (2004). Cigarette smoke induces senescence in alveolar epithelial cells. Am. J. Respir. Cell Mol. Biol. 31, 643–649 [DOI] [PubMed] [Google Scholar]
- U.S. Department of Health and Human Services (1997). Monograph 8: Changes in Cigarette-Related Disease Risks and Their Implications for Prevention and Control. National Cancer Institute, Bethesda, MD: [Google Scholar]
- U.S. Department of Health and Human Services (2004). The Health Consequences of Smoking: A Report of the Surgeon General. Office on Smoking and Health, Washington, DC: [Google Scholar]
- U.S. Department of Health and Human Services (2010). How Tobacco Smoke Causes Disease: The Biology and Behavioral Basis for Smoking-Attributable Disease - A Report of the Surgeon General. Office of the Surgeon General, Rockville, MD. [PubMed] [Google Scholar]
- U.S. Institute of Medicine (2012). Scientific Standards for Studies on Modified Risk Tobacco Products. The National Academic Press, Washington, DC: [Google Scholar]
- Walser T., Cui X., Yanagawa J., Lee J. M., Heinrich E., Lee G., Sharma S., Dubinett S. M. (2008). Smoking and lung cancer: The role of inflammation. Proc. Am. Thorac. Soc. 5, 811–815 [DOI] [PMC free article] [PubMed] [Google Scholar]
- Wang H., Liu X., Umino T., Sköld C. M., Zhu Y., Kohyama T., Spurzem J. R., Romberger D. J., Rennard S. I. (2001). Cigarette smoke inhibits human bronchial epithelial cell repair processes. Am. J. Respir. Cell Mol. Biol. 25, 772–779 [DOI] [PubMed] [Google Scholar]
- Wang Y., Zhang Z., Kastens E., Lubet R. A., You M. (2003). Mice with alterations in both p53 and Ink4a/Arf display a striking increase in lung tumor multiplicity and progression: Differential chemopreventive effect of budesonide in wild-type and mutant A/J mice. Cancer Res. 63, 4389–4395 [PubMed] [Google Scholar]
- Wang Y., Zhang Z., Lubet R., You M. (2005). Tobacco smoke-induced lung tumorigenesis in mutant A/J mice with alterations in K-ras, p53, or Ink4a/Arf. Oncogene. 24, 3042–3049 [DOI] [PubMed] [Google Scholar]
- Wislez M., Fujimoto N., Izzo J. G., Hanna A. E., Cody D. D., Langley R. R., Tang H., Burdick M. D., Sato M., Minna J. D., et al. (2006). High expression of ligands for chemokine receptor CXCR2 in alveolar epithelial neoplasia induced by oncogenic kras. Cancer Res. 66, 4198–4207 [DOI] [PubMed] [Google Scholar]
- Wistuba I. I., Lam S., Behrens C., Virmani A. K., Fong K. M., LeRiche J., Samet J. M., Srivastava S., Minna J. D., Gazdar A. F. (1997). Molecular damage in the bronchial epithelium of current and former smokers. J. Natl. Cancer Inst. 89, 1366–1373 [DOI] [PMC free article] [PubMed] [Google Scholar]
- Witschi H. (2005). A/J mouse as a model for lung tumorigenesis caused by tobacco smoke: Strengths and weaknesses. Exp. Lung Res. 31, 3–18 [DOI] [PubMed] [Google Scholar]
- Witschi H., Espiritu I., Dance S. T., Miller M. S. (2002). A mouse lung tumor model of tobacco smoke carcinogenesis. Toxicol. Sci. 68, 322–330 [DOI] [PubMed] [Google Scholar]
- Witschi H., Espiritu I., Ly M., Uyeminami D. (2005). The chemopreventive effects of orally administered dexamethasone in Strain A/J mice following cessation of smoke exposure. Inhal. Toxicol. 17, 119–122 [DOI] [PubMed] [Google Scholar]
- Witschi H., Espiritu I., Maronpot R. R. (2006). Lung tumors in 2 year old strain A/J mice exposed for 6 months to tobacco smoke. Cancer Lett. 241, 64–68 [DOI] [PubMed] [Google Scholar]
- Witschi H., Espiritu I., Peake J. L., Wu K., Maronpot R. R., Pinkerton K. E. (1997). The carcinogenicity of environmental tobacco smoke. Carcinogenesis. 18, 575–586 [DOI] [PubMed] [Google Scholar]
- Yao H., Edirisinghe I., Rajendrasozhan S., Yang S. R., Caito S., Adenuga D., Rahman I. (2008). Cigarette smoke-mediated inflammatory and oxidative responses are strain dependent in mice. Am. J. Physiol. Lung Cell. Mol. Physiol. 284, L1174–L1186. [DOI] [PubMed] [Google Scholar]
- Young R. P., Hopkins R. J., Christmas T., Black P. N., Metcalf P., Gamble G. D. (2009). COPD prevalence is increased in lung cancer, independent of age, sex and smoking history. Eur. Respir. J. 34, 380–386 [DOI] [PubMed] [Google Scholar]
- Zar J. H. (1984). Biostatistical Analysis. Prentice Hall Inc., Englewood Cliffs, NY: [Google Scholar]
Associated Data
This section collects any data citations, data availability statements, or supplementary materials included in this article.








