Abstract
Study Objectives:
Many sleep disorders are characterized by increased motor activity during sleep. In contrast, studies on motor activity during physiological sleep are largely lacking. We quantitatively investigated a large range of motor phenomena during polysomnography in physiological sleep.
Design:
Prospective polysomnographic investigation.
Setting:
Academic referral sleep laboratory.
Participants:
One hundred healthy sleepers age 19-77 y were strictly selected from a representative population sample by a two-step screening procedure.
Interventions:
N/A.
Measurements and Results:
Polysomnography according to American Academy of Sleep Medicine (AASM) standards was performed, and quantitative normative values were established for periodic limb movements in sleep (PLMS), high frequency leg movements (HFLM), fragmentary myoclonus (FM), neck myoclonus (NM), and rapid eye movement (REM)-related electromyographic (EMG) activity. Thirty-six subjects had a PLMS index > 5/h, 18 had a PLMS index > 15/h (90th percentile: 24.8/h). Thirty-three subjects had HFLM (90th percentile: four sequences/night). All subjects had FM (90th percentile 143.7/h sleep). Nine subjects fulfilled AASM criteria for excessive FM. Thirty-five subjects had NM (90th percentile: 8.8/h REM sleep). For REM sleep, different EMG activity measures for the mentalis and flexor digitorum superficialis muscles were calculated: the 90th percentile for phasic mentalis EMG activity for 30-sec epochs according to AASM recommendation was 15.6%, and for tonic mentalis EMG activity 2.6%. Twenty-five subjects exceeded the recently proposed phasic mentalis cutoff of 11%. None of the subjects exceeded the tonic mentalis cutoff of 9.6%.
Conclusion:
Quantification of motor phenomena is a basic prerequisite to develop normative values, and is a first step toward a more precise description of the various motor phenomena present during sleep. Because rates of motor events were unexpectedly high even in physiological sleep, the future use of normative values for both research and clinical routine is essential.
Citation:
Frauscher B; Gabelia D; Mitterling T; Biermayr M; Bregler D; Ehrmann L; Ulmer H; Högl B. Motor events during healthy sleep: a quantitative polysomnographic study. SLEEP 2014;37(4):763-773.
Keywords: Age, gender, movement disorders during sleep, polysomnography, REM sleep behavior disorder
INTRODUCTION
Polysomnography (PSG) is a standard medical procedure extensively performed in most countries, and is the gold standard for objectively diagnosing movement disorders during sleep.1–3 Whereas there are several normative sex- and age-sampled studies for sleep using PSG,4 normative studies for motor phenomena during sleep have only been performed for very few selected motor phenomena,5–14 but not at all for others.15–17
Most data on sleep related motor phenomena in nonpatho-logical sleep exist for periodic limb movements (PLMs),5–11 although only one of these studies focused on an age-sampled investigation of the distribution of PLM during wakefulness (PLMW) and during sleep (PLMS) in 67 healthy subjects aged between 5 and 76 y.10 Studies on normative values of REM sleep without atonia are scarce12–14 despite the accepted notion that REM sleep behavior disorder (RBD) is a very early premotor symptom of a neurodegenerative disease.18–20 Studies with the primary aim to establish normative values of REM sleep without atonia derive from three groups including between 30 and 80 control subjects.12–14 Only one study so far has investigated the distribution of REM sleep without atonia across the life span in 88 healthy subjects.21 The authors found that REM sleep atonia develops continuously during the life span with lowest levels in children younger than 6 y.21
Fragmentary myoclonus (FM)22 so far has not been investigated systematically in healthy normals. This, however, would be of interest because the clinical relevance of FM is still unknown,3 albeit a recent study performed in 62 sleep laboratory patients showed that every patient had FM, suggesting that at least non-excessive FM apparently may be a nonpatho-logical variant.15 Studies concerning only recently described phenomena such as high frequency leg movements (HFLM; overlapping terms: hypnagogic foot tremor, alternating leg muscle activation),2,3,16,23,24 or neck myoclonus (NM)17 have never been systematically investigated in healthy subjects, and existing data are exclusively gained from sleep disorder patient samples.16,17,23,24
Therefore, the aim of the current study was to quantitatively investigate for the first time with state-of-the-art PSG, including a time-synchronized videography and a full electromyography (EMG) montage of both upper and lower limbs, various motor phenomena during sleep in 3-sec miniepochs in healthy adults and to establish normative PSG values according to current criteria for sleep recording and scoring2 to further advance scoring of motor phenomena from a qualitative to a quantitative level.
METHODS
Recruitment and Selection Criteria of Study Participants
For this study, 100 healthy Caucasian subjects who perceived themselves as healthy sleepers were recruited from an existing representative population sample in a two-step screening procedure. Approximately 400 subjects had to be screened to identify 100 eligible subjects who were willing and eligible to participate. The first screening for inclusion and exclusion criteria was performed via a structured telephone interview by Karmasin Institute, a demographic marketing research institution. The interview was terminated when an exclusion criterion was met and further data were not collected on these excluded subjects in regard to additional possible sleep pathology. The second step consisted of an interview by a physician experienced in sleep medicine who personally checked that inclusion and exclusion criteria were respected.
The major inclusion criterion was that participating subjects perceived their sleep as healthy. Exclusion criteria were presence of any neurological or psychiatric disease; clinically relevant cardiac, pulmonary, renal, hepatic, or metabolic disease including diabetes mellitus and a body mass index (BMI) > 30; any oncological disease during the 5 y prior to study participation; or current pregnancy. Presence of a psychiatric disorder was assessed by history (either self-report or physician-diagnosed psychiatric disorder). In addition, screening included the Hospital Anxiety and Depression Scale. A cutoff of 10 was used as an exclusion criterion. A further exclusion criterion was a daily regular alcohol consumption of three or more glasses of wine or 3 bottles of beer. Sleep-related exclusion criteria were the presence of a history suggestive of any sleep disorder according to the criteria of the International Classification of Sleep Disorders.3 We specifically excluded insomnia defined according to Diagnostic and Statistical Manual of Mental Disorders, Fourth Edition (DSM-IV) criteria, subjectively reported daytime sleepiness or an Epworth Sleepiness Scale score > 10 indicative for excessive daytime sleepiness,25 suspected sleep related breathing disorder defined as the presence of reported cessations of breathing during sleep observed by the participant or the bed partner, presence of shift work or another circadian rhythm disorder, clinically relevant restless legs syndrome defined by either frequency (symptoms ≥ two times per w) or subjectively bothersome complaints, clinically relevant parasomnia according to subjective complaint, as well as intake of any psychotropic medication. In the second step of the screening, 10 additional subjects had to be excluded due to increased BMI > 30 kg/m2 (n = 4), drop out (n = 2), hepatitis C (n = 1), major depression (n = 1), spastic cerebral palsy (n = 1), and sick sinus syndrome (n = 1).
This study was approved by the local ethical committee of Innsbruck Medical University. All participants granted written informed consent prior to study participation.
Video Polysomnography
All subjects underwent one night of video polysomnography (vPSG) according to current standards.1,2 Recordings were initiated between 10:00 and 10:45 for an 8-h duration. vPSG included electroencephalography (EEG; F3, F4, C3, C4, O1, O2, M1 and M2 electrodes), electrooculography (vertical and horizontal eye movements), EMG (mental, both flexor digitorum superficialis muscles (FDS), both anterior tibialis muscles), and cardiorespiratory recording [single channel electrocardiography, nasal airflow (thermocouple), pneumoflow, tracheal microphone, thoracic and abdominal respiratory movements (piezo), transcutaneous oxygen saturation]. Sleep was scored according to the 2007 American Academy of Sleep Medicine (AASM) criteria.2 For scoring of EMG activity, bipolar surface EMG was recorded with the low-frequency filter at 50 Hz, the high-frequency filter at 300 Hz, and a sampling rate of 1,000 Hz. Amplification was set at 5 μV per mm for scoring of REM-related EMG activity, and at 10 μv per mm for scoring of isolated limb movements (LM), PLMs, HFLM, and FM. Impedance of surface EMG electrodes had to be lower than 10 kΩ.
Applied Methods and Derived Measures
Scoring of motor events was done blinded for sex and age. Each of the different motor PSG events (LM, HFLM, FM, neck myoclonus, REM-related EMG activity) was scored by a single scorer to ensure consistency in the scoring process. All ambiguous cases were marked and finally discussed with the senior authors of the paper to find a common agreement. Motor events that were associated with any respiratory events (respiratory event-related arousals [RERAs], hypopneas, apneas) were carefully excluded from the analysis.
LM, PLMW, and PLMS
LM and PLM were scored according to the World Association of Sleep Medicine criteria.26 LM are defined as isolated limb movements with a duration between 0.5 and 10 sec. PLM are defined as at least four consecutive limb movements with a duration of 0.5-10 sec and an intermovement interval between 5 and 90 sec. All LMs and PLMs were counted manually, and we calculated the LM in total night index, the LM in sleep index, the PLM in total night index, the PLMW and PLMS index, the mean PLM duration, the mean inter-PLM interval, and the periodicity index.11 The periodicity index is calculated as the number of LM occurring in a sequence of three intermovement intervals with a duration between 10 and 90 sec divided by the total number of intermovement intervals.11
High Frequency Leg Movements
HFLM (overlapping terms: hypnagogic foot tremor, alternating leg muscle activation) were scored according to Yang and Winkelman16 and in line with the 2007 AASM criteria.2 HFLM are at least four consecutive discrete EMG bursts of leg muscle activity (unilateral, bilateral, alternating) with a duration between 0.1 and 0.5 sec and a frequency of 0.3-4 Hz. HFLM were counted manually, and we calculated the number of HFLM sequences per night, the mean duration of HFLM series and HFLM frequency.
Fragmentary Myoclonus
FM indices were calculated visually according to Lins et al.27 as muscle surface potentials of the anterior tibialis muscles with an amplitude of 50-200 μV and a duration of less than 150 msec. To quantify FM, the FM index was calculated. Each 30 sec was divided into 10 3-sec miniepochs. The number of these miniepochs with at least 1 FM was counted for each 30-sec epoch, resulting in a number between 0 and 10. The FM index was the FM score (0-10) for each 30-sec epoch, averaged across each sleep stage and provided per hour of the respective sleep stage (N1, N2, N3, REM). Excessive FM was scored according to AASM standards.2
Neck Myoclonus
NM (head jerks) was scored manually during REM sleep as published previously.17 REM sleep was carefully investigated in the following way after regular sleep stage scoring: each 30-sec epoch was screened for characteristic “stripe-shaped” movement-induced artifacts (up to 2 sec duration) visible vertically over the EEG leads. To exclude movements associated with sleep stage shifts and arousals, we investigated only movement-induced EEG artifacts not preceded by arousals. Movement-induced EEG artifacts lasting > 2 sec were excluded from the screening process. If a characteristic short EEG artifact caused by NM was present, the synchronized video was inspected for the presence of NM. In the video, NM presents as sudden myoclonic dorsal or ventral flexion or version of the head to one side, with varying amplitude from mild to intense, which is nonsustained.
REM-Related EMG Activity
Quantification of “any”, phasic and tonic EMG activity was performed manually during REM sleep according to SINBAR (Sleep Innsbruck Barcelona) criteria.14 For scoring “any” and phasic EMG activity, the 30-sec epoch was divided in 10 3-sec miniepochs. “Any” EMG activity was defined as presence of any EMG activity with an amplitude greater than twice the background EMG and a duration ≥ 0.1 sec irrespective of its duration. Phasic EMG activity was defined as any burst of EMG activity lasting between 0.1 and 5.0 sec with an amplitude exceeding twice the background EMG activity irrespective of its morphology. Tonic EMG activity was scored for 30-sec epochs, and is defined as a more than 50% increase of sustained EMG activity of the total epoch with an amplitude of at least twice the background EMG muscle tone or more than 10 μV.
Finally, we also calculated the percentage of 30-sec epochs containing five or more 3-sec miniepochs with phasic EMG activity, following the suggestion of the AASM scoring manual.2
Before the analysis of EMG activity, REM sleep was carefully examined for artifacts (e.g., snoring, background noise) and increases in EMG tone due to arousals. All artifacts and increases in EMG tone due to arousals were excluded from the quantitative scoring of REM sleep related EMG activity.
For the mentalis muscle, we calculated the “any” EMG activity index, the phasic EMG activity index, and the REM atonia index; for the FDS, we calculated the phasic EMG activity index; for a combination of both muscles (“any” mentalis + phasic FDS), we calculated the SINBAR EMG activity index. The “any”, phasic, and SINBAR EMG activity indices are the percentages of 3-sec miniepochs containing “any” or phasic EMG activity divided by all evaluated miniepochs. The REM atonia index is the percentage of 30-sec epochs that has no tonic EMG activity.
Statistics
Statistics were calculated with IBM SPSS 19.0 for Windows. All data were tested for normal distribution using the Kolmogorov-Smirnov test. Participants were grouped into subjects: age up to 30 y, 30-40 y, 40-50 y, 50-60 y, and subjects older than 60 y. Because data were not normally distributed, nonparametric statistics (Mann-Whitney U test in case of two groups, Kruskal-Wallis test in case of more than two groups) were applied. For categorical variables, chi-square tests were performed. In addition, we calculated percentiles to establish the quantitative range of respective motor indices that was reached by 90% and 95 % of investigated subjects. To account for sex- and age-dependent changes of various rates of motor phenomena, a linear regression analysis was calculated. For the linear regression analysis, variables were naturally log-transformed, as rates of motor phenomena were not normally distributed. A P value below 0.05 was considered to indicate statistical significance. Percentile curves were obtained by using the least mean squares method.28
RESULTS
Subject Characteristics
A total of 100 healthy subjects (60 women, 40 men) participated in this study. The median age at the time of PSG was 43 (19-77) y. Participants were pooled in five age groups: subjects up to 30 y (total 20; 9 women, 11 men), subjects between 30 and 40 y (total 21; 10 women, 11 men), subjects between 40 and 50 y (total 20; 15 women, five men), subjects between 50 and 60 y (total 15; nine women, six men), and subjects older than 60 y (total 24; 17 women, seven men). Clinical comorbidities were treated thyroid disease (7), treated arterial hypertension (4), neurodermitis (3), tinnitus (3), psoriasis (2), sporadic migraine (1), asthma (1), and a history of gastro-esophageal reflux (1). Comedications used were thyroid medication (7), contraceptives (5), antihypertensives (4), acetylsalicylic acid (3), proton pump inhibitors (1), lipid-lowering drugs (1), and antiasthmatic medication on demand (1).
General Sleep Data
Kolmogorov-Smirnov tests showed that PSG data were not normally distributed, and therefore medians and ranges are given. Total sleep time was 403 (165.5-474) min. Sleep latency was 16.1 (2.9-119) min, and REM latency was 119 (50-397) min. Sleep efficiency was 84% (34-95%) of sleep period time (median 462, range 360-493 min). The percentages of the respective sleep stages were 9.6% for N1 (3.4-35.4%), 45.4 % for N2 (10.2-59.3%), 17.4 % for N3 (0-53.2%), and 13.6% for stage REM (1-25.6%). Forty-three percent of all participants snored occasionally during the sleep study. The median apneahypopnea index was 0.7 (0-21.5) per hour.
Motor Phenomena During Sleep
LM and PLM
Table 1 provides detailed characteristics of LM and PLM indices: the median LM index was 18.2/h (2.5-72.0), the median PLM index was 9.2/h (0-61.9). For both indices, the difference between respective age groups was significant, with increasing indices with more advanced age (Table 1, Figures 1 and 2). Men and women did not differ between LM and PLM indices (P > 0.05). These results did not change when entering both variables in a linear regression model (LM: standardized coefficient = 0.328, P = 0.001, PLM: standardized coefficient = 0.251, P = 0.018). Ninety percent of subjects had an isolated LM index between 2.5 and 42.7/h, and a PLM index between 0 and 33.5/h (Table 2). For results of 95th percentiles see Table 2.
Table 1.
Age-related characteristics of limb movement and periodic limb movement indices in 100 healthy volunteers

Figure 1.

Sex- and age-related distribution of the isolated limb movement in total night indices. The panel shows the percentiles (10th, 25th, 50th, 75th, 90th) for the limb movement (LM) index in total night in relation to age. Individuals are presented as either circles (women) or crosses (men). The overall age-group difference was significant (P = 0.002).
Figure 2.

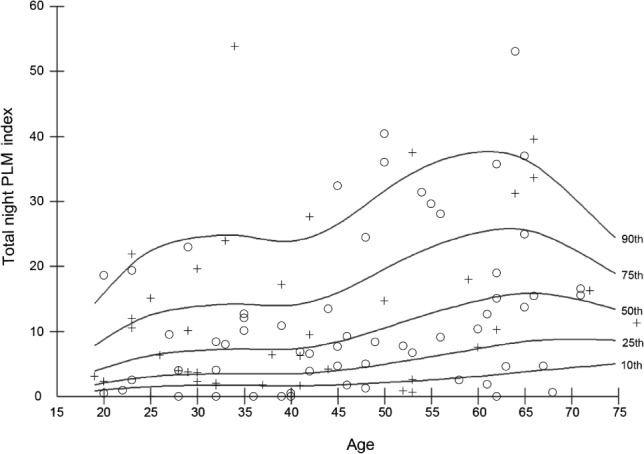
Sex- and age-related distribution of periodic limb movement in total night indices. The panel shows the percentiles (10th, 25th, 50th, 75th, 90th) for the total night periodic limb movement (PLM) indices in relation to age. Individuals are presented as circles (women) or crosses (men). The overall age-group difference was significant (P = 0.030).
Table 2.
Ninetieth and 95th percentiles of different electromyographic measures of the whole study sample

Whereas PLMW were comparatively common in healthy sleepers (median 26.5/h, range 0-115), the median PLMS index was low, at 2.9/h (0-60.9). No age- or sex-dependent differences were revealed (P > 0.05). The mean periodicity index was low, at 0.28 (0-1). The PLM sleep stage distribution is illustrated in Figure 3. The highest indices were found during N1 sleep (median 5.2 range: 0-68/h), followed by N2 sleep (median 1.5, range: 0-63.2/h), and N3 sleep (median 0, range: 0-72.8/h). The lowest PLMS indices were found during REM sleep (median 0, range: 0-55.8/h). Most PLMS were not associated with arousals (median PLMS arousal index: 0.5, range: 0-7.8/h). Ninety percent of subjects had a PLMS index between 0 and 24.8/h. For results of 95th percentiles see Table 2.
Figure 3.

Distribution of periodic limb movement in sleep (PLMS) indices across the different sleep stages. Medians of PLMS indices per respective sleep stages are given. Whiskers indicate 95% confidence intervals of the median values. Note that the difference of PLMS in respect to the different sleep stages was significant (P < 0.001).
The median PLM intermovement interval was 31.5 sec (15.2-47.0 sec). Distribution of intermovement intervals of PLMW and PLMS over the different age groups is shown in Figures S1 and S2 (supplemental material).
High Frequency Leg Movements
Thirty-three percent of subjects had HFLM with a median number of two HFLM sequences per night (range: 1-24 per night). The median duration of HFLM sequences was 3.4 sec (1.4-17.5 sec). The median frequency of HFLM was 2.1 Hz (0.9-4 Hz). HFLM sequences were evenly distributed between different age groups (P = 0.965). No sex difference was revealed (P = 0.936). Entering both sex and age in a linear regression model with HFLM sequences did not change the results of univariate analyses (P > 0.05). Ninety percent of subjects had between 0 and 4 HFLM sequences, and 95% between 0 and 15.8 HFLM sequences. Fifty percent of subjects with a PLMS index > 5/h had HFLM, compared with 23.4% in subjects with a PLMS index < 5/h (P = 0.008). The number of HFLM sequences per night showed a moderate correlation with the PLMS index (Spearman rho = 0.354, P < 0.001).
Fragmentary Myoclonus
Every subject in this study had FM during sleep. The median FM index during sleep was 25.5/h ranging from 2.9-1032.6/h. Figure 4 provides the individual FM indices and percentile charts: FM rates markedly increased with advancing age with highest median values in the group of subjects older than 60 y (all P < 0.001). Apart from this clear age-dependent association, we found a sex preference for men (median FM index in sleep women versus men: 21.0, range 3.4-792.7/h versus 38.4, range 3.0-1032.6/h, P = 0.033). Both age and sex remained significant when entering in a linear regression model (age: standardized coefficient = 0.596, P < 0.001; sex: standardized coefficient = 0.341, P < 0.001). Ninety percent of subjects had an FM index between 2.9 and 143.7/h of sleep, 95% had an FM index between 2.9 and 281.5/h of sleep (see Table 2). The sleep stage distribution of FM is provided in Figure 5: the median FM index was highest in REM sleep with 38/h, followed by N1 sleep (34.4/h), N2 sleep (22.3/h), and was lowest in N3 sleep (16.1/h). The overall difference between sleep stage distribution was significant (P < 0.001).
Figure 4.

Sex- and age-related distribution of the fragmentary myoclonus index (FMI) during sleep. The panel shows the percentiles (10th, 25th, 50th, 75th, 90th) for FMI in sleep in relation to age. Individuals are presented as circles (women) or crosses (men). Note that two extreme outliers (53-y-old man: 1032/h, 65-y-old woman: 793/h) were not illustrated. The overall age group difference was significant (P < 0.001).
Figure 5.

Distribution of fragmentary myoclonus indices (FMI) across the different sleep stages. Medians of FMI per respective sleep stages are given. Whiskers present 95 % confidence intervals of the median values. Note that the difference of FMI in respect to the different sleep stages was significant (P < 0.001).
Neck Myoclonus
Thirty-five percent of all subjects had NM with a median NM index of 2/h of REM sleep (range: 0.7-41.2/h of REM sleep). The presence of NM was evenly distributed between the different age groups (Figure 6, P = 0.569). Men had higher NM indices than women (median 1, range 0-41.1/h versus median 0.8, range 0-28.7/h; P = 0.013). This sex difference in NM index withstood adjusting for age (standardized coefficient = 0.330, P = 0.014). Ninety percent of subjects had a NM index/h of REM sleep between 0 and 8.8/h, 95% had a NM index between 0 and 14.2/h of REM sleep (Table 2).
Figure 6.

Sex-and age-related distribution of neck myoclonus indices/h of rapid eye movement (REM) sleep. The panel shows the percentiles (10th, 25th, 50th, 75th, 90th) for the neck myoclonus index in relation to age. Individuals are presented as circles (women) or crosses (men). Note that one extreme outlier (37-y-old man, 41/h REM) is not illustrated. The overall age group difference was not significant (P = 0.149).
REM-Related EMG Activity Measures
Mentalis muscle (Tables 2 and 3): For the conventional 3-sec miniepoch scoring, we found a median of 12.8% for “any” EMG activity (range: 1.1-27.8%), and a median of 12.0 % for phasic EMG activity (0.6-26.8%). The median REM atonia index was 100 % (91.9-100%). The difference in mentalis EMG activity measures over the respective age groups was not significant (P > 0.05; Table 3). Men and women did not differ in respect to mentalis EMG activity measures (P > 0.05). Results remained unchanged when entering both age and sex in a linear regression model (P > 0.05). Ninety percent of subjects had an “any” EMG activity index between 1.1 and 22.3%, a phasic EMG activity index between 0.6 and 21.3%, and a REM atonia index between 97.4 and 100%. For results of the 95th percentiles see Table 2. FDS and SINBAR combination (Tables 2 and 3, Figure 7): For conventional 3-sec miniepoch scoring, the median phasic EMG activity index for both FDS muscles was 8.1% (range: 0.3-40.2 %), the median SINBAR EMG activity index was 20.3% (2.3-55.4%). Ninety percent of subjects had a phasic EMG activity index for both FDS muscles between 0.3-16.6 %, and a SINBAR EMG activity index between 2.3-31.2%. For results of 95th percentiles see Table 2. The overall age group difference of respective REM-related EMG activity measures was not signifi-cant (P > 0.05). Figure 7 gives the individual indices and percentiles for the SINBAR EMG activity index. Visual inspection suggests a slight nonsignificant increase of the SINBAR EMG activity index in individuals older than 40 y. No sex difference was revealed (P > 0.05). Entering both sex and age in a linear regression model did not change the results (P > 0.05).
Table 3.
Age-related distribution of rapid eye movement-related electromyographic activity measures (“any”, phasic, tonic) in 100 healthy volunteers

Figure 7.

Sex- and age-related distribution of the percentage of the combined SINBAR EMG activity index in conventional 3-sec miniepochs. The panel shows the percentiles (10th, 25th, 50th, 75th, 90th) for the combined SINBAR EMG activity index in relation to age. Individuals are presented as circles (women) or crosses (men). The overall age group difference was not significant (P = 0.541).
AASM scoring of 30-sec epoch (Tables 2 and 3): For the 30-sec epoch scoring, as proposed by the AASM,2 median EMG activity indices were generally lower than those obtained in 3-sec miniepochs (Table 3). Ninetieth and 95th percentiles are provided in Table 2. The overall age group and sex difference was not significant (P > 0.05).
Results of Various Motor Phenomena and Comparison With Cutoff Values from the Literature
Table 4 compares the findings of the current study to recommended cutoff values from the literature: 36 subjects had a PLMS index > 5/h, which is commonly accepted as a cutoff value to indicate the presence of PLMS. Eighteen subjects had a PLMS index > 15/h, which is either supportive of a diagnosis of restless legs syndrome (RLS) or mandatory for a diagnosis of PLM disorder in adults.3 A periodicity index > 0.6 suggestive for RLS11 was present in 22 subjects. Nine of 100 subjects fulfilled AASM criteria for excessive FM (six men, three women) according to AASM criteria.2 REM-related EMG activity measures were compared to proposed cut-off values for RBD.13,14 When using the mentalis muscle alone, 36 subjects exceeded the mentalis phasic cutoff score for RBD of 15%, and 20 the “any”, EMG cutoff score of 18% despite not having RBD. No participant exceeded the proposed tonic EMG cutoff values. For the FDS and the SINBAR combination, eight subjects exceeded the respective RBD cutoff levels.
Table 4.
Findings of the current study applied to recommended cutoff values from the literature2,3,13,14

DISCUSSION
The current study is the first study to quantitatively assess a very broad spectrum of motor events during sleep in carefully selected healthy sleepers with contemporary PSG technology and microepoch analysis.2,26 In this highly scrutinized study, we report unexpectedly high rates of minor physiological or pathological motor phenomena or events previously classified as “isolated symptoms, apparently normal variants and unresolved issues” in healthy sleepers.
LM and PLM
LM and PLM were frequent in physiological sleep. Thirty-six percent of healthy subjects investigated in the current study had a PLMS index > 5/h, and even 18% had a PLMS index > 15/h supportive for a diagnosis of RLS according to International Classification of Sleep Disorders, 2nd Edition (ICSD-2) criteria.3 This study therefore confirms and extends findings from earlier studies performed in the elderly general population, showing a PLM index > 5/h in up to 58% of the investigated subjects.6–9
In contrast to PLM indices, the PLM arousal index was negligible in most cases with a very low median of 0.5/h. These findings might corroborate the notion that not the presence of PLMS itself is of clinical relevance concerning sleep impairment or daytime sleepiness, but that the associated arousals might be responsible for fragmented or nonrestorative sleep, admitting that visual scoring of arousals might have limitations.29,30 The current data also corroborate that a PLMS index > 15/h does not necessarily imply a diagnosis of PLM disorder, because all 18 subjects in our study who exceeded a PLMS index of 15/h had no sleep disturbance or decreased daytime performance at all.
In contrast to PLMS, PLMW were comparatively common in healthy sleepers. The median PLMW index was 26.5/h. This finding, therefore, challenges earlier studies suggesting that PLMW are more specific for RLS than PLMS.31 Moreover, it is conceivable that the wide interval for LM to be accepted as PLM if they occur in a sequence26 could contribute to voluntary movements being counted as PLMW.
Research of recent years suggested PLMS to be a risk factor for cardiovascular disease.32–34 A recent longitudinal 4-y follow-up study in approximately 3,000 elderly men found an increased cardiovascular risk depending on the PLMS index at baseline PSG. Moreover, they found a hazard ratio of 1.26 for incipient cardiovascular disease with a PLM arousal index > 5/h. Of note, the comorbidity with RLS was not assessed in this study.33
LM indices, LM in sleep indices, and PLM indices increased with advancing age. The PLMS index showed a similar trend and peaked at age 60 y. These findings are well in line with the existing literature showing that PLMS increase with age,10 which was interpreted to reflect the decrease of D2 receptors observed in healthy subjects and animals with advancing age.35,36
The periodicity index is a measure that was shown to be useful for differentiation among patients with PLM.11 In the current study, 22 subjects (including four of the five patients with sporadic nonbothersome RLS, data not shown) had a periodicity index > 0.6, which would be characteristic for RLS. Whether the remaining 18 subjects are carriers of the BTBD-9 variant, which was discovered to be related to both RLS and PLMS37,38 remains purely speculative. Nor do we know whether some of the subjects with a high periodicity index will develop RLS in the future or when being exposed to triggering situations such as blood loss, pregnancy, or end-stage renal failure.
High Frequency Leg Movements
HFLM were present in 33% of the current sample of healthy sleepers. However, the median number of HFLM sequences was low (two per night) and the median duration of HFLM sequences was short (3.4 sec). When comparing these findings to results obtained from studies performed in sleep laboratory patient samples,16,23,24 the overall prevalence in the present study was higher but the number of sequences and duration of sequences was considerably lower, suggesting a high number of abortive HFLM in physiological sleep. Yang and Winkelman, who first coined the term HFLM, characterized 37 patients with HFLM.16 They found a mean number of HFLM sequences of 26.5 per night, and a mean duration per sequence of 17.6 sec. The other two existing studies used a slightly modified definition for a related phenomenon that they called rhythmic feet movements while falling asleep,23 or alternating leg muscle activation.24 Again, in both studies, duration of single sequences (mostly 10-15 sec versus 1-22 sec) or number of sequences per night (mostly single sequence versus 13) was higher than in the current study.23,24
The etiology of HFLM is unclear: the current study demonstrated a high association between presence of HFLM and PLMS > 5/h, and a moderate correlation between number of HFLM sequences and PLMS indices. A similar high association was shown by the Chervin group,23 whereas Yang and Winkelman found an association with RLS complaints.16 Because of this association and its shared visual and EMG similarities with PLMS, HFLM might be suggested to present abortive PLMS and hence be part of the broad PLMS spectrum. Moreover, it is tempting to speculate that HFLM present stereo-typies when falling asleep, which could be partially triggered by unpleasant sensations as associated with RLS.
Fragmentary Myoclonus
The current study showed that every participant of this sample of healthy sleepers irrespective of sex and age had FM during sleep, suggesting that FM is an ubiquitous phenomenon that is present in both physiological and pathological sleep as shown by a previous study in a consecutive sample of 62 sleep laboratory patients.15 The range of FM indices was large, with 90% of subjects having FM indices between 3 and 144/h, and 95% between 3 and 282/h. Nine percent of the total sample even fulfilled criteria for excessive fragmentary myoclonus as defined by the AASM criteria.2 Because all the participating subjects were selected based on the major inclusion criterion that no sleep disturbance was present, former studies pointing to a causality with excessive FM22,39 may be challenged by the current work.
As already suggested by earlier studies in sleep-disturbed patients, a significant association with male sex and increased age was demonstrated.15,27,40 Taking into account the highly selected nature of this sample, FM might be considered a physiological phenomenon of male aging rather than a pathological phenomenon of clinical relevance.
The etiology of FM is still controversially discussed, and a brainstem origin has been suggested,41 although a peripheral genesis of at least a substantial proportion of FM activity cannot be ruled out.15 In this context, it is noteworthy that every participant of the current sample underwent a thorough neurological investigation, which revealed no manifest polyneuropathy or peripheral nerve pathology of the L5 segment on the lower limbs (FM was scored in the tibialis anterior surface EMG derivations). Systematic electrophysiological testing, however, was not done. In the 53-y-old healthy man with the highest FM index of the total sample, additional electrophysiological workup was performed. It revealed a benign fasciculation syndrome that might further point to a peripheral genesis of FM. To elucidate this question, systematic neurophysiological studies in excessive FM are highly warranted.
Neck Myoclonus
Approximately one third of the healthy sleeper sample had NM during REM sleep, suggesting NM a physiological phenomenon and hence confirming the single earlier study on NM in a sleep laboratory population sample.17 The authors found that 55% of investigated subjects had NM with a frequency decreasing with advanced age. This negative correlation with age could, however, not be replicated in the current study. Knowledge on the presence of NM in physiological sleep is important when evaluating patients with suspected RBD, as both phenomena can normally be easily differentiated when kept in mind.
REM-Related EMG Activity
This study confirms the historical and well established literature that REM related EMG activity is present in physiological REM sleep,42 and that therefore cut-off values for the differentiation from pathological EMG activity are paramount. Such cutoff values for diagnosing RBD were only recently established by three major groups in subject numbers between 30 and 80.12–14 The current study followed the identical aim but from a different perspective, namely by investigating age-dependent normative REM-related EMG activity values during physiological REM sleep in 100 healthy sleepers.
For the mentalis muscle, we found median values of “any” EMG activity of 13%, phasic EMG activity of 12%, and a REM atonia index of 100%. The rate of “any” and phasic mentalis EMG activity was unexpectedly high when compared with the two papers on RBD cutoff values.13,14 In contrast, tonic EMG activity in the chin was absent in 50% of subjects or only mildly increased. This might indicate that, when looking isolated at the mentalis muscle, lack of REM atonia is much more specific for pathological REM-related EMG activity than presence of phasic EMG activity in the chin. This finding parallels the finding that in idiopathic RBD, severity of REM atonia loss predicts later development of Parkinson disease.43 The fact that the indices of “any” EMG activity are very close to phasic EMG activity in healthy subjects is explained by the nearly complete lack of tonic EMG activity in healthy sleepers. Whether “any” EMG activity would also predict Parkinson disease in the context of idiopathic RBD has not been examined so far.
The notion that tonic EMG activity might be more specific than phasic EMG activity is even more obvious when looking at the established cutoff values13,14: Considering a phasic EMG activity cutoff of 15%,13 36 subjects of the current sample of healthy sleepers would have exceeded this cutoff value, whereas none exceeded the tonic EMG cutoff values.13,14 The explanation for these conflicting results between the different studies is not entirely clear. One obvious difference between the healthy sleepers of the current study and the control group of one of the normative studies is that controls of the latter study were predominantly recruited from non-RBD sleep disordered patients who were under effective nasal continuous positive airway pressure (nCPAP) therapy.14 As in the current study, respiratory event-related EMG activity increases as well as respiratory and snoring artifacts were carefully excluded prior to EMG scoring, and apnea-hypopnea indices of most patients were below 10/h (data not shown); one would assume that this cannot solely explain the observed difference. However, one might speculate whether nCPAP therapy masks phasic EMG activity in the mentalis muscle. Studies investigating EMG activity of the genioglossus muscle showed that nCPAP therapy results in a reduction or elimination of EMG activity in this muscle.44 Whether this also applies for the mentalis muscle is purely speculative. Because mentalis tonic EMG activity and phasic FDS EMG activity indices correspond well to the proposed cutoff values, this hypothesis is tempting at least. Another possibility is that some of the subjects are correctly classified as REM sleep without atonia and will eventually develop RBD. This hypothesis awaits longitudinal follow-up studies. Finally, we cannot exclude that some of the increase in phasic EMG activity seen in this study in comparison to the previous ones might be related to the different frequency filters employed (10-100 Hz before vs. 50-300 Hz now). Although both settings follow the current AASM recommendations for EMG recording, the wider filter bandpass of the present study likely might have allowed more EMG activity to be recorded, and may have resulted in higher phasic EMG activity indices.
The median bilateral phasic FDS EMG activity index was 8% in this sample, and the median SINBAR EMG activity index was 20%. The 90th percentile of both indices corresponded well to the recently proposed cutoff values of 17% and 32%,14 which were exceeded by 8% of participants.
Unexpectedly, the age group difference for any of the evaluated EMG activity measures did not reach significance. From REM-related EMG activity in the context of RBD we know that this activity markedly increases, even over a short period of time,45 which might lead to the assumption that physiological EMG activity also increases over the lifetime. This assumption, however, could not be confirmed by the current data. In contrast with the lack of an age group difference in this study, one study investigating the REM atonia index across the life span found that this index was lowest in the children group younger than 6 y.21 Whether the inclusion of children and adolescents in our study would have resulted in different findings is purely speculative, but cannot be excluded.
Idiopathic RBD has been reported to mostly affect elderly men.46 Results of the current study demonstrated no sex-dependent difference in any of the EMG activity measures going along with this latter explanation. An alternative explanation why patients presenting with RBD are predominantly men might be that the severity of RBD is more pronounced in male than in female patients.47
Strengths and Potential Limitations
The major strength of the current study is the methodology used. Because the initial sample from which we subsequently selected the eligible study participants was representative of the general population, a healthy volunteer effect can be ruled out. To further ensure that our final study population consisted of truly healthy sleepers, all potential subjects underwent a two-step screening procedure containing a standardized initial screening interview and a subsequent personal interview and examination by a trained sleep physician.
One potential limitation is the skewed sex distribution, with more women in the older age groups than men. Up to 10 subjects had to be screened to get one eligible study candidate, especially in the age group of older than 60 y, making the recruitment process of the current study very cumbersome. A similar experience was reported by Fietze and Diefenbach, who found that via advertisement only one subject of five qualified as a control group subject for sleep studies.48 To counteract this potential limitation, we performed a sex-adjusted statistical analysis to investigate the effect of age on the various motor activity indices. All participants of the current study were Caucasian. Whether our findings are therefore generalizable to non-Caucasian populations has to be addressed in future studies for most motor events. For PLMS, a much lower preponderance was shown for African Americans than Caucasians.49
In summary, this is the first study quantitatively assessing various motor phenomena over the life span in physiological sleep. The major finding of the current study is that even in physiological sleep, various motor phenomena are observed, albeit of lower frequency than in pathological sleep, underlining the importance of the use of normative motor values for both research and clinical routine to further advance sleep medicine from a qualitative to a quantitative level. Moreover, because the various motor phenomena are thought to be driven by different brain circuits, our findings reflect the highly complex motor regulation during sleep.
DISCLOSURE STATEMENT
This study was supported by the intramural funding program of the Medical University Innsbruck for young scientists (Project 2010012005) and by the Austrian Science Fund (Project KLI 236). Dr. Frauscher has participated in speaking engagements and consulted for UCB; has received travel support from Habel Medizintechnik and Vivisol. Dr. Högl has participated in speaking engagements and/or consulted for UCB, Pfizer, Sanofi, Glaxo-SmithKline, Boehringer Ingelheim, Mundipharma, and Respironics; has received travel support from Habel Medizintechnik, and Vivisol; and grants to her institution from UCB. The other authors have indicated no financial conflicts of interest. The work for this study was performed at the Department of Neurology, Innsbruck Medical University, Innsbruck, Austria.
ACKNOWLEDGMENTS
The authors thank Joan Santamaria, MD and Marc Guaita, MD from the Hospital Clinic of Barcelona for their comments. We are also grateful to Heinz Hackner for his as-always excellent realization of video polysomnographies. We would also like to thank Roland Pilgram, PhD for his help in the realization of the costumer-fitted presentation of the percentile curves in the present paper.
ABBREVIATIONS
- AASM
American Academy of Sleep Medicine
- EEG
electroencephalography
- EMG
electromyography
- FDS
flexor digitorum superficialis muscle
- FM
fragmentary myoclonus
- HFLM
high frequency leg movements
- h
hour(s)
- LM
limb movements
- min
minute
- nCPAP
nasal continuous positive airway pressure therapy
- NM
neck myoclonus
- PLM
periodic limb movement
- PLMS
periodic limb movement during sleep
- PLMW
periodic limb movement during wakefulness
- PSG
polysomnography
- RBD
REM sleep behavior disorder
- RLS
restless legs syndrome
- sec
second
- SINBAR
Sleep Innsbruck - Barcelona
- vPSG
video polysomnography
- w
week(s)
- y
year(s)
SUPPLEMENTAL MATERIAL
Age-dependent distribution of intermovement intervals of periodic limb movements during wakefulness (PLMW).
Age-dependent distribution of intermovement intervals of periodic limb movements during sleep (PLMS).
REFERENCES
- 1.Practice parameters for the indications for polysomnography and related procedures. Polysomnography Task Force, American Sleep Disorders Association Standards of Practice Committee. Sleep. 1997;20:406–22. [PubMed] [Google Scholar]
- 2.Iber C, Ancoli-Israel C, Chesson A, Quan SF for the American Academy of Sleep Medicine. The AASM manual for the scoring of sleep and associated events: rules, terminology and technical specifications. 1st ed. Westchester, IL: American Academy of Sleep Medicine; 2007. [Google Scholar]
- 3.American Academy of Sleep Medicine. The international classification of sleep disorders: diagnostic and coding manual. 2nd ed. Westchester, IL: American Academy of Sleep Medicine; 2005. [Google Scholar]
- 4.Ohayon MM, Carskadon MA, Guilleminault C, Vitiello MV. Meta-analysis of quantitative sleep parameters from childhood to old age in healthy individuals: developing normative sleep values across the human lifespan. Sleep. 2004;27:1255–73. doi: 10.1093/sleep/27.7.1255. [DOI] [PubMed] [Google Scholar]
- 5.Bixler EO, Kales A, Vela-Bueno A, Jacoby JA, Scarone S, Soldatos CR. Nocturnal myoclonus and nocturnal myoclonic activity in the normal population. Res Commun Chem Pathol Pharmacol. 1982;36:129–40. [PubMed] [Google Scholar]
- 6.Ancoli-Israel S, Kripke DF, Mason W, Kaplan OJ. Sleep apnea and periodic movements in an aging sample. J Gerontol. 1985;40:419–25. doi: 10.1093/geronj/40.4.419. [DOI] [PubMed] [Google Scholar]
- 7.Mosko SS, Dickel MJ, Paul T, et al. Sleep apnea and sleep-related periodic leg movements in community resident seniors. J Am Geriatr Soc. 1988;36:502–8. doi: 10.1111/j.1532-5415.1988.tb04019.x. [DOI] [PubMed] [Google Scholar]
- 8.Dickel MJ, Mosko SS. Morbidity cut-offs for sleep apnea and periodic leg movements in predicting subjective complaints in seniors. Sleep. 1990;13:155–66. doi: 10.1093/sleep/13.2.155. [DOI] [PubMed] [Google Scholar]
- 9.Ancoli-Israel S, Kripke DF, Klauber MR, Mason WJ, Fell R, Kaplan O. Periodic limb movements in sleep in community-dwelling elderly. Sleep. 1991;14:496–500. doi: 10.1093/sleep/14.6.496. [DOI] [PubMed] [Google Scholar]
- 10.Pennestri MH, Whittom S, Adam B, Petit D, Carrier J, Montplaisir J. PLMS and PLMW in healthy subjects as a function of age: prevalence and interval distribution. Sleep. 2006;29:1183–7. doi: 10.1093/sleep/29.9.1183. [DOI] [PubMed] [Google Scholar]
- 11.Ferri R, Zucconi M, Manconi M, Plazzi G, Bruni O, Ferini-Strambi L. New approaches to the study of periodic leg movements during sleep in restless legs syndrome. Sleep. 2006;29:759–69. [PubMed] [Google Scholar]
- 12.Ferri R, Manconi M, Plazzi G, et al. A quantitative statistical analysis of the submentalis muscle EMG amplitude during sleep in normal controls and patients with REM sleep behavior disorder. J Sleep Res. 2008;17:89–100. doi: 10.1111/j.1365-2869.2008.00631.x. [DOI] [PubMed] [Google Scholar]
- 13.Montplaisir J, Gagnon JF, Fantini ML, et al. Polysomnographic diagnosis of idiopathic REM sleep behavior disorder. Mov Disord. 2010;25:2044–51. doi: 10.1002/mds.23257. [DOI] [PubMed] [Google Scholar]
- 14.Frauscher B, Iranzo A, Gaig C, et al. Normative EMG values during REM sleep for the diagnosis of REM sleep behavior disorder. Sleep. 2012;35:835–47. doi: 10.5665/sleep.1886. [DOI] [PMC free article] [PubMed] [Google Scholar]
- 15.Frauscher B, Kunz A, Brandauer E, Ulmer H, Poewe W, Högl B. Fragmentary myoclonus in sleep revisited: a polysomnographic study in 62 patients. Sleep Med. 2011;12:410–5. doi: 10.1016/j.sleep.2010.08.016. [DOI] [PubMed] [Google Scholar]
- 16.Yang C, Winkelman JW. Clinical and polysomnographic characteristics of high frequency leg movements. J Clin Sleep Med. 2010;6:431–8. [PMC free article] [PubMed] [Google Scholar]
- 17.Frauscher B, Brandauer E, Gschliesser V, et al. A descriptive analysis of neck myoclonus during routine polysomnography. Sleep. 2010;33:1091–6. doi: 10.1093/sleep/33.8.1091. [DOI] [PMC free article] [PubMed] [Google Scholar]
- 18.Schenck CH, Boeve BF, Mahowald MW. Delayed emergence of a parkinsonian disorder or dementia in 81% of older men initially diagnosed with idiopathic rapid eye movement sleep behavior disorder: a 16-year update on a previously reported series. Sleep Med. 2013;14:744–8. doi: 10.1016/j.sleep.2012.10.009. [DOI] [PubMed] [Google Scholar]
- 19.Postuma RB, Gagnon JF, Vendette M, Fantini ML, Massicotte-Marquez J, Montplaisir J. Quantifying the risk of neurodegenerative disease in idiopathic REM sleep behaviour disorder. Neurology. 2009;72:1296–300. doi: 10.1212/01.wnl.0000340980.19702.6e. [DOI] [PMC free article] [PubMed] [Google Scholar]
- 20.Iranzo A, Tolosa E, Gelpi E, et al. Neurodegenerative disease status and post-mortem pathology in idiopathic rapid-eye-movement sleep behaviour disorder: an observational cohort study. Lancet Neurol. 2013;12:443–53. doi: 10.1016/S1474-4422(13)70056-5. [DOI] [PubMed] [Google Scholar]
- 21.Ferri R, Bruni O, Fulda S, Zucconi M, Plazzi G. A quantitative analysis of the submentalis muscle electromyographic amplitude during rapid eye movement sleep across the lifespan. J Sleep Res. 2012;21:257–63. doi: 10.1111/j.1365-2869.2011.00958.x. [DOI] [PubMed] [Google Scholar]
- 22.Broughton R, Tolentino MA. Fragmentary pathological myoclonus in NREM sleep. Electroencephalogr Clin Neurophysiol. 1984;57:303–9. doi: 10.1016/0013-4694(84)90152-4. [DOI] [PubMed] [Google Scholar]
- 23.Wichniak A, Tracik F, Geisler P, Ebersbach G, Morrissey SP, Zulley J. Rhythmic feet movements while falling asleep. Mov Disord. 2001;16:1164–70. doi: 10.1002/mds.1216. [DOI] [PubMed] [Google Scholar]
- 24.Chervin RD, Consens FB, Kutluay E. Alternating leg muscle activation during sleep and arousals: a new sleep-related motor phenomenon? Mov Disord. 2003;18:551–9. doi: 10.1002/mds.10397. [DOI] [PubMed] [Google Scholar]
- 25.Johns MW. A new method for measuring daytime sleepiness: the Epworth sleepiness scale. Sleep. 1991;14:540–5. doi: 10.1093/sleep/14.6.540. [DOI] [PubMed] [Google Scholar]
- 26.Zucconi M, Ferri R, Allen R, et al. The official World Association of Sleep Medicine (WASM) standards for recording and scoring periodic leg movements in sleep (PLMS) and wakefulness (PLMW) developed in collaboration with a task force from the International Restless Legs Syndrome Study Group (IRLSSG) Sleep Med. 2006;7:175–83. doi: 10.1016/j.sleep.2006.01.001. [DOI] [PubMed] [Google Scholar]
- 27.Lins O, Castonguay M, Dunham W, Nevsimalova S, Broughton R. Excessive fragmentary myoclonus: time of night and sleep stage distributions. Can J Neurol Sci. 1993;20:142–6. doi: 10.1017/s0317167100047715. [DOI] [PubMed] [Google Scholar]
- 28.Cole TJ, Green PJ. Smoothing reference centile curves: the LMS method and penalized likelihood. Stat Med. 1992;11:1305–19. doi: 10.1002/sim.4780111005. [DOI] [PubMed] [Google Scholar]
- 29.Sforza E, Juony C, Ibanez V. Time-dependent variation in cerebral and autonomic activity during periodic leg movements in sleep: implications for arousal mechanisms. Clin Neurophysiol. 2002;113:883–91. doi: 10.1016/s1388-2457(02)00066-4. [DOI] [PubMed] [Google Scholar]
- 30.Hornyak M, Feige B, Voderholzer U, Riemann D. Spectral analysis of sleep EEG in patients with restless legs syndrome. Clin Neurophysiol. 2005;116:1265–72. doi: 10.1016/j.clinph.2005.02.004. [DOI] [PubMed] [Google Scholar]
- 31.Allen RP, Picchietti D, Hening WA, et al. Restless legs syndrome: diagnostic criteria, special considerations, and epidemiology. A report from the restless legs syndrome diagnosis and epidemiology workshop at the National Institutes of Health. Sleep Med. 2003;4:101–19. doi: 10.1016/s1389-9457(03)00010-8. [DOI] [PubMed] [Google Scholar]
- 32.Winkelman JW, Shahar E, Sharief I, Gottlieb DJ. Association of restless legs syndrome and cardiovascular disease in the Sleep Heart Health Study. Neurology. 2008;70:35–42. doi: 10.1212/01.wnl.0000287072.93277.c9. [DOI] [PubMed] [Google Scholar]
- 33.Koo BB, Blackwell T, Ancoli-Israel S, et al. Association of incident cardiovascular disease with periodic limb movements during sleep in older men: outcomes of sleep disorders in older men (MrOS) study. Circulation. 2011;124:1223–31. doi: 10.1161/CIRCULATIONAHA.111.038968. [DOI] [PMC free article] [PubMed] [Google Scholar]
- 34.Pennestri MH, Montplaisir J, Fradette L, Lavigne G, Colombo R, Lanfranchi PA. Blood pressure changes associated with periodic leg movements during sleep in healthy subjects. Sleep Med. 2013;14:555–61. doi: 10.1016/j.sleep.2013.02.005. [DOI] [PubMed] [Google Scholar]
- 35.Wong DF, Wagner HN, Dannals RF, et al. Effects of age on dopamine and serotonin receptors measured by positron tomography in the living human brain. Science. 1984;226:1393–6. doi: 10.1126/science.6334363. [DOI] [PubMed] [Google Scholar]
- 36.Zhang Z, Andersen A, Grondin R, et al. Pharmacological MRI mapping of ageassociated changes in basal ganglia circuitry of awake rhesus monkeys. Neuroimage. 2001;14:1159–67. doi: 10.1006/nimg.2001.0902. [DOI] [PubMed] [Google Scholar]
- 37.Winkelmann J, Schormair B, Lichtner P, et al. Genome-wide association study of restless legs syndrome identifies common variants in three genomic regions. Nat Genet. 2007;39:1000–6. doi: 10.1038/ng2099. [DOI] [PubMed] [Google Scholar]
- 38.Stefansson H, Rye DB, Hicks A, et al. A genetic risk factor for periodic limb movements in sleep. N Engl J Med. 2007;357:639–47. doi: 10.1056/NEJMoa072743. [DOI] [PubMed] [Google Scholar]
- 39.Vankova J, Stepanova I, Jech R, et al. Sleep distubances and hypocretin deficiency in Niemann-Pick disease type C. Sleep. 2003;26:427–30. doi: 10.1093/sleep/26.4.427. [DOI] [PubMed] [Google Scholar]
- 40.Broughton R, Tolentino MA, Krelina M. Excessive fragmentary myoclonus in NREM sleep: a report of 38 cases. Electroencephalogr Clin Neurophysiol. 1985;61:123–33. doi: 10.1016/0013-4694(85)91050-8. [DOI] [PubMed] [Google Scholar]
- 41.Vetrugno R, Plazzi G, Provini F, Liguori R, Lugaresi E, Montagna P. Excessive fragmentary hypnic myoclonus: clinical and neurophysiological findings. Sleep Med. 2002;3:73–6. doi: 10.1016/s1389-9457(01)00123-x. [DOI] [PubMed] [Google Scholar]
- 42.Baldridge BJ, Whitman RM, Kramer M. The concurrence of fine muscle activity and rapid eye movements during sleep. Psychosom Med. 1965;27:19–26. doi: 10.1097/00006842-196501000-00003. [DOI] [PubMed] [Google Scholar]
- 43.Postuma RB, Gagnon JF, Rompré S, Montplaisir JY. Severity of REM atonia loss in idiopathic REM sleep behavior disorder predicts Parkinson disease. Neurology. 2010;74:239–44. doi: 10.1212/WNL.0b013e3181ca0166. [DOI] [PMC free article] [PubMed] [Google Scholar]
- 44.Strohl KP, Redline S. Nasal CPAP therapy, upper airway muscle activation, and obstructive sleep apnea. Am Rev Respir Dis. 1986;134:555–8. doi: 10.1164/arrd.1986.134.3.555. [DOI] [PubMed] [Google Scholar]
- 45.Iranzo A, Ratti PL, Casanova-Molla J, Serradell M, Vilaseca I, Santamaria J. Excessive muscle activity increases over time in idiopathic REM sleep behavior disorder. Sleep. 2009;32:1149–53. doi: 10.1093/sleep/32.9.1149. [DOI] [PMC free article] [PubMed] [Google Scholar]
- 46.Schenck CH, Bundlie SR, Ettinger MG, Mahowald MW. Chronic behavioral disorders of human REM sleep: a new category of parasomnia. Sleep. 1986;9:293–308. doi: 10.1093/sleep/9.2.293. [DOI] [PubMed] [Google Scholar]
- 47.Bodkin CL, Schenck CH. Rapid eye movement sleep behavior disorder in women: relevance to general and specialty medical practice. J Womens Health (Larchmt) 2009;18:1955–63. doi: 10.1089/jwh.2008.1348. [DOI] [PubMed] [Google Scholar]
- 48.Fietze I, Diefenbach K. Healthy sleepers are rare: problems and success rates in establishing a control group for sleep studies. Neuropsychopharmacology. 2003;28:558–61. doi: 10.1038/sj.npp.1300082. [DOI] [PubMed] [Google Scholar]
- 49.Scofield H, Roth T, Drake C. Periodic limb movements during sleep: population prevalence, clinical correlates, and racial differences. Sleep. 2008;31:1221–7. [PMC free article] [PubMed] [Google Scholar]
Associated Data
This section collects any data citations, data availability statements, or supplementary materials included in this article.
Supplementary Materials
Age-dependent distribution of intermovement intervals of periodic limb movements during wakefulness (PLMW).
Age-dependent distribution of intermovement intervals of periodic limb movements during sleep (PLMS).
