Abstract
Cisplatin (CSP) is a chemotherapeutic agent commonly used to treat a variety of malignancies. The major setback with CSP treatment is that its clinical efficacy is compromised by its induction of organ toxicity, particular to the kidneys and ears. Despite the significant strides that have been made in understanding the mechanisms underlying CSP-induced renal toxicity, advances in developing renoprotective strategies are still lacking. In addition, the renoprotective approaches described in the literature reveal partial amelioration of CSP-induced renal toxicity, stressing the need to develop potent combinatorial/synergistic agents for the mitigation of renal toxicity. However, the ideal renoprotective adjuvant should not interfere with the anticancer efficacy of CSP. In this review, we have discussed the progress made in utilizing plant-derived agents (phytochemicals) to combat CSP-induced nephrotoxicity in preclinical studies. Furthermore, we have also presented strategies to utilize phytochemicals as prototypes for the development of novel renoprotective agents for counteracting chemotherapy-induced renal damage.
1. Introduction
Cisplatin (CSP), chemically known as cis-diamminedichloroplatinum-II, is an anticancer agent used in the treatment of testicular, head and neck, ovarian, cervical, and non-small-cell lung cancers [1]. The major issues limiting the clinical use of CSP are its tendency to induce profound nephrotoxicity and ototoxicity [1]. The first occurrence of nephrotoxicity was documented in the clinical trial that evaluated the anticancer effects of CSP. It is estimated that 30% of patients treated with CSP could exhibit elevated serum creatinine levels and reduced glomerular filtration rate, reflecting the development of nephrotoxicity. In addition, these symptoms could occur as early as 10 days after the initiation of CSP chemotherapy. Moreover, nephrotoxicity is considered a determinant side effect of the use of anticancer medications. It is pertinent to note that approximately 50–60% of patients undergoing cancer chemotherapy acquire nosocomial acute kidney injury, which is associated with increased morbidity and mortality rates [1, 2].
The pathophysiological mechanisms purported to underlie CSP-induced nephrotoxicity have been extensively studied, and several hypotheses have been forwarded. To date, oxidative stress, inflammation, and apoptosis pathways have been widely considered as key pathomechanisms involved in the CSP-induced nephrotoxicity [3]. The identified scenario is that the accumulation of CSP in renal tissues results in massive oxidative stress that causes inflammatory damage to the tubular epithelium, which spreads to the renal microvasculature, impedes the blood flow by evoking ischemic injury, and decreases the glomerular filtration rate. These phenotypic events culminate in acute renal failure. To circumvent the CSP-induced nephrotoxicity, several analogs have been developed, which are expected to be less nephrotoxic. In addition, several clinical trials have examined the efficacy of mannitol and furosemide (osmotic and loop diuretics, resp.) in reducing the renal retention of CSP and, thereby, minimizing the noxious effects on naïve tissue [4]. However, this approach has met with limited clinical success; while the induced nephrotoxicity has been milder, it has not been completely averted. Therefore, there is an urgent need to develop agents that confer renoprotection without compromising the anticancer activity of CSP [1, 5].
2. Phytochemicals as Leads for Attenuating CSP-Induced Nephrotoxicity
Phytochemicals are compounds that are distributed in various plant tissues and are responsible for imparting characteristics such as color and smell but do not possess nutritional value. Importantly, phytochemicals have been used in traditional medicine for several centuries for treating various ailments. There is considerable evidence from in vitro preclinical studies that phytochemicals extracted from various plant sources may retard tumor growth and elicit antioxidant and anti-inflammatory effects [6]. Most importantly, the anticancer agent Taxol (paclitaxel) is a phytochemical that was originally identified, extracted, and purified from the bark of the Pacific yew tree (Taxus brevifolia) [7]. Currently, most developed drugs are not from plants but are rather chemically synthesized. Recently there is a renewed interest in tapping into the potential of medicinal plants in drug discovery, since phytochemicals are chemically diverse in nature and a considerable receptacle of pharmacophores. This enthusiasm has led to significant research strides in the identification of several potential phytochemicals that are being investigated for their renoprotective actions in preclinical studies.
Extensive investigations over the past decade have provided significant insights into the pathophysiology of CSP-induced nephrotoxicity. A plethora of biochemical pathways and mechanisms have been purported to mediate CSP-elicited nephrotoxicity, including those involved in oxidative/nitrative stress, mitochondrial malfunction, inflammation, and cell death [reviewed in [8–10]]. Recently, the involvement of endocannabinoid system has been implicated in the pathogenesis of CSP-induced nephrotoxicity [11, 12].
In this context, we have discussed the developments made with the use of phytochemicals to attenuate the development CSP-induced nephrotoxicity in experimental models. The summary of the effects of phytochemicals in preclinical or ex vivo studies or both is provided in Table 1. The chemical structures of phytochemicals that have been tested for potential renoprotective actions against CSP-induced renal toxicity are presented in Table 2. Next, various biochemical pathways recruited by CSP in eliciting renal toxicity and the attenuation of these effects by phytochemicals are illustrated in Figure 1. Furthermore, in the following section, we systematically discussed the effects of various phytochemicals investigated for their potential renoprotection against CSP-induced nephrotoxicity.
Table 1.
Phytochemicals investigated for renoprotective actions against cisplatin- (CSP-) induced nephrotoxicity.
| Phytochemical | Dose, duration, and route of administration | Animal model | Cisplatin dose and route of administration | Key findings | Reference |
|---|---|---|---|---|---|
| NIF1 and 23-hydroxytormentic acid | 10 mg/kg/day, orally (PO) for 14 days intraperitoneally (i.p.) | Sprague Dawley (SD) rats | 7 mg/kg, i.p. | ↓ BUN and serum creatinine ↓ MDA production and GSH depletion |
[14] |
|
| |||||
| 6-Gingerol | 12.5, 25, and 50 mg/kg for 5 days (before and after treatment), i.p. | Wistar rats | 5 mg/kg, i.p. | ↓ oxidative stress | [17] |
|
| |||||
| 6-Hydroxy-1-methylindole-3-acetonitrile | 5 and 10 mg/kg, single dose, PO | LLC-PK1 cells and SD rats | 7 mg/kg, i.p. | ↓ BUN, creatinine, and urinary LDH ↑ HO-1 expression, activities of SOD, CAT, GR, MDA, and GSH |
[19] |
|
| |||||
| β-Caryophyllene | 1–10 mg/kg, i.p. single dose | C57BL/6J mice | 25 mg/kg, i.p. | ↓ inflammation and dysfunction ↓ NOX-2 and NOX-4 expression, 4-HNE, 3-NT accumulation, and cell death |
[23] |
|
| |||||
| Berberine | 1–3 mg/kg, single dose, i.p. | BALB/cN mice | 13 mg/kg, i.p. | ↓ BUN, creatinine, and oxidative/nitrosative stress ↓ NF-κB, TNF-α, COX-2, iNOS, and histopathological changes ↓ p53 and active caspase-3 |
[27] |
|
| |||||
| Bixin | 2.5 and 5 mg/kg for 3 days, i.p. |
Wistar rats | 5 mg/kg, i.p. | ↓ lipid peroxidation and renal glutathione depletion ↓ chromosome aberrations |
[29, 30] |
|
| |||||
| C-Phycocyanin | 5–50 mg/kg, i.p. | C57BL/6J and CD1 mice | 12–18 mg/kg, i.p. |
↓ BUN, creatinine, oxidative stress, and apoptosis ↓ p-ERK, p-JNK, and p-p38 expression and Bax, caspase-9, and caspase-3 activation |
[31, 32] |
|
| |||||
| Caffeic acid phenethyl ester | 10 μM/kg, single dose, i.p. | Wistar Albino rats | 7 mg/kg, i.p. | ↓ BUN, tubular damage, and oxidative tissue damage ↑ antioxidant enzymes |
[33] |
|
| |||||
| Cannabidiol | 2.5–10 mg/kg, i.p. (before and after treatment) | C57BL/6J mice | 20 mg/kg, i.p. | ↓ BUN, creatinine, ROS formation, and 3-NT ↓ PARP, caspase-3/7, and DNA fragmentation ↓ mRNA of TNF-α and IL1 and iNOS and protein expression |
[36] |
|
| |||||
| Capsaicin | 5 and 10 mg/kg, PO for 6 days, i.p. |
SD rats | 5 mg/kg, i.p. | ↓ BUN, creatinine, MDA, and renal damage | [38] |
| 2.5, 5, and 10 mg/kg for 5 days, i.p. | C57BL/6 mice | 5 mg/kg, i.p. | ↑ HO-1 expression | [39] | |
|
| |||||
| Cardamonin | 10 and 30 mg/kg, PO for 2 weeks | Albino rats | 7 mg/kg, i.p. | ↑ SOD, GSH ↓ NOX-1, caspase-3 expression, and Bax/Bcl-2 ratio |
[41] |
|
| |||||
| Carnosic acid | 100 mg/kg, PO for 10 days | Wistar rats | 7.5 mg/kg, i.p. | ↓ BUN, creatinine, and MDA ↑ GSH levels, catalase, SOD, GST, GPx, and GR activities ↓ caspase-3 activity, apoptosis, and renal damage |
[45] |
|
| |||||
| Chrysin | 25 or 50 mg/kg 14 days, i.p. |
Wistar rats | 7.5 mg/kg, i.p. | ↓ oxidative stress and apoptosis | [47] |
|
| |||||
| Cinnamic acid (CA) and cinnamaldehyde (CD) | CA, 50 mg/kg CD, 40 mg/kg, PO for 7 days |
SD rats | 5 mg/kg, i.p. | ↓ urea, creatinine, and MDA content ↑ GSH levels, SOD, CAT, and GPx activities |
[49] |
|
| |||||
| Curcumin | 100 mg/kg 10 days, i.p. |
Wistar rats | 7 mg/kg, i.p. | ↓ MDA ↑ NAMPT, SIRT1, SIRT3, and SIRT4 levels |
[56] |
| 100 mg/kg, i.p. | C57BL/6J mice | 20 mg/kg, i.p. | ↓ renal TNF-α, MCP-1, and ICAM-1 mRNA expression | [54] | |
| 8 mg/kg | Wistar rats | 5 mg/kg, i.p. | ↓ creatinine, TBARS, and MDA | [51] | |
|
| |||||
| Cyanidin | 10, 20, and 40 µg/mL | HK-2 cells | 8 µg/mL | ↓ BUN, creatinine, MDA, renal index, and IL-6 ↓ GRP78, p-ERK, caspase-12, and PARP cleavage ↓ apoptosis, DNA damage, ERK activation, and AKT inhibition |
[58] |
|
| |||||
| Decursin | 20–80 mM | Primary HRCs | 20–80 mM | ↑ catalase, SOD, and GPx activities ↓ caspases 3 and 9, PARP, DNA fragmentation, and apoptosis |
[59] |
| 10–40 mg/kg 3 days, i.p. |
SD rats | 5.2 mg/kg, i.p. | ↓ BUN and creatinine | [60] | |
|
| |||||
| Ellagic acid | 10 and 30 mg/kg 9 days, i.p. |
SD rats | 6 mg/kg, i.p. | ↓ creatinine, urea, and kidney injury ↑ total antioxidant status and GSH |
[63] |
| 10 mg/kg 10 days, i.p. |
SD rats | 7 mg/kg, i.p. | ↓ MDA levels and improved antioxidant enzymes ↓ tubular necrosis and tubular dilatation |
[65] | |
|
| |||||
| Emodin | 10 mg/kg for 9 days, i.p. | Wistar rats | 6 mg/kg, i.p. | ↑ GSH, TAC, GST, GPx, GR, SOD, and CAT ↓ NAG, creatinine, and urea concentration |
[69] |
|
| |||||
| Epigallocatechin-3-gallate | l00 mg orally, 2 days | Wistar rats | 7 mg/kg, i.p. | ↑ SOD, CAT, GPx, and GSH ↓ NF-κB and 4HNE |
[72] |
| 100 mg/kg i.p., single dose | C57BL/6 mice | 20 mg/kg, i.p. | ↓ p-ERK, GRP78, caspase-12, Fas-L, BAX, and apoptosis | [75, 76] | |
|
| |||||
| Genistein | 10 mg/kg 3 days 25 µg/L |
C57BL/6 mice HK-2 cells |
20 mg/kg, i.p. 1 µg/mL |
↓ BUN, creatinine, ROS production, tubular damage, and necrosis score ↓ ICAM-1 and MCP-1 expression and NF-κB activation ↓ apoptosis and p53 induction |
[77] |
|
| |||||
| Ginsenosides | 10–60 µg/mL | LLC-PK1 cells | 25 and 500 µM | ↓ LDH leakage, renal damage, and apoptosis | [78–80] |
|
| |||||
| Glycyrrhizic acid | 75 and 150 mg/kg for 7 days, i.p. | BALB/c and Swiss Albino mice | 7 mg/kg, i.p. | ↑ GSH, GR, GST, catalase, and GPx activities ↓ BUN and creatinine |
[82, 84] |
|
| |||||
| Hesperidin | 100 and 200 mg/kg 10 days, i.p. |
Wistar rats | 7.5 mg/kg, i.p. | ↓ BUN, creatinine, and DNA degradation ↑ SOD, GPx, GST, GR, GSH, and catalase activities and vitamin C levels ↓ renal TNF-α levels |
[85, 86] |
|
| |||||
| Isoliquiritigenin | 1 mg/kg for 15 days, i.p. |
BALB/c mice | 5 mg/kg, i.p. | ↓ BUN, creatinine, nitrite, and tissue MDA and ROS | [87] |
|
| |||||
| Licochalcone A | 1 mg/kg for 15 days, i.p. |
BALB/c mice | 5 mg/kg, i.p. | ↓ BUN, creatinine, nitrite, and MDA | [89] |
|
| |||||
| Ligustrazine | 50 and 100 mg/kg, 7 days, i.p. | SD rats | 8 mg/kg, i.p. | ↓ urinary protein excretion, NAG excretion, creatinine, and BUN ↑ GSH levels, SOD, and GST activities ↓ tubular cell apoptosis |
[90] |
|
| |||||
| Luteolin | 10 mg/kg 3 days, i.p. |
BALB/cN mice | 10 and 20 mg/kg, i.p. | ↓ renal dysfunction, tubular injury, oxidative stress, BUN, and creatinine ↑ GSH, SOD, and catalase ↓ p53 activation and PUMA-α protein expression |
[92] |
| 50 mg/kg 3 days, i.p. |
C57BL/6J mice | 20 mg/kg, i.p. | ↓ CYP2E1, Bcl-2, 4-HNE, 3-NT, NF-κB, and caspase-3 ↓ MRP4 and MRP2 expression |
[93] | |
|
| |||||
| Lycopene | 6 mg/kg 10 days, i.p. |
Wistar rats | 7 mg/kg, i.p. | ↓ urea and creatinine and MRP2 and MRP4 expression ↑ OAT1, OAT3, OCT1, OCT2, Nrf2, and Bcl-2 expression |
[96, 97] |
| 4 mg/kg 5 days, i.p. |
SD and Wistar rats | ↑ catalase, GPx, and SOD activities ↓ NF-κB, HSP 60 and HSP 70, and Bax expression |
[98] | ||
|
| |||||
| Naringenin | 20 mg · kg−1 · day−1, PO for 10 days | Wistar Albino rats | 7 mg/kg, intravenous (i.v.) | ↓ urea, creatinine, sodium excretion, and renal lipid peroxides ↑ GST activity and renal antioxidant enzymes |
[101] |
|
| |||||
| Paeonol | 20 mg/kg 3 days, i.p. |
BALB/c mice | 10–30 mg/kg I.P. | ↓ creatinine, BUN, TNF-α, and IL-1β | [102] |
|
| |||||
| Penta-O-galloyl-β-D-glucose | 20–80 µM | Primary HRC | 40 µM | ↓ cytotoxicity, apoptosis, PARP cleavage, Bax, and caspase-3 ↓ cytochrome C translocation and ROS production |
[106] |
|
| |||||
| Platycodin D | 0.1, 1, and 5 mg/kg for 3 days, i.p. | ICR mice | 20 mg/kg, i.p. | ↓ BUN, creatinine, TBARS, NF-κB activation, ↑ GSH, GPx, and SOD |
[108] |
|
| |||||
| Quercetin | 100 mg/kg 30 days |
Albino rats | 12 mg/kg i.p. | ↑ GSH, GPX, SOD, CAT, GR, XO, TOS, and TAC ↓ BUN, creatinine, LPO, H2O2, and tubular cell necrosis |
[110] |
| 50 mg/kg 3 days |
Wistar rats | 5 mg/kg, i.p. | ↓ Na and K excretion, NAG, LDH, ALP, GGT, and KIM-1 ↓ GSH/GSSG ratio, NFκB, iNOS, ICAM-1, VCAM-1, and renal MPO |
[111] | |
| 50 and 100 mg/kg 9 days, i.p. |
Fischer-F344 rats | 7.5 mg/kg, i.p. | ↓ caspase-3/7 activity and DNA fragmentation | [148] | |
|
| |||||
| Resveratrol | 25 mg/kg single dose, i.p. |
Albino mice | 5 mg/kg, i.p. | ↓ creatinine, MDA, and LDH leakage | [115] |
| 10 mg/kg, 7 days | C57BL/6 mice and | 20 mg/kg, i.p. | ↓ inflammation and necrosis | [116] | |
| 30 μg/mL, i.p. | Fischer rat kidney in vitro | 7.5/15 μg/mL, i.p. | ↓ acetylation of p53 and SIRT1 | [117] | |
|
| |||||
| Rosmarinic acid | 1, 2, and 5 mg/kg 2 days, i.p. |
BALB/cN mice | 13 mg/kg, i.p. | ↓ creatinine and BUN ↓ CYP2E1, HO-1, and 4-HNE expression ↓ NFκB and cleaved caspase-3 expression |
[120] |
|
| |||||
| Rutin | 75 and 150 mg/kg 21 days |
Wistar rats | 7 mg/kg, i.p. | ↓ BUN, creatinine, H2O2, LDH, caspase-3, NFκB, and TNF-α level | [122] |
| 30 mg/kg 14 days |
SD rats | 5 mg/kg, i.p. | ↑ membrane integrity, GSH, XO, and GGT | [86] | |
|
| |||||
| Schizandrin and schizandrin B | 10, 25, 50 mg/kg 15 days, i.p. |
BALB/c mice | 10 mg/kg, i.p. | ↓ NFκB activation and p53 activation | [124] |
|
| |||||
| Silibinin | 200 mg/kg single dose, i.p. |
Wistar rats | 5 mg/kg, i.p. | ↑ creatinine clearance ↑ glomerular and proximal tubular function |
[127, 128] |
|
| |||||
| Sulforaphane | 500 μg/kg/day i.v. for 3 days | Wistar rats | 7.5 mg/kg, i.p. | ↓ p38 MAPK and renal adhesion molecule expressions | [130] |
| 500 μg/kg/day i.p. for 3 days | Wistar rats | 10 mg/kg, i.p. | ↓ inflammatory cell infiltration | [131] | |
|
| |||||
| Tannic acid | 40 and 80 mg/kg 7 days, i.p. |
Swiss Albino mice | 7 mg/kg, i.p. | ↓ BUN, creatinine, p38 MAPK phosphorylation, and PARP cleavage ↓ XOR and LPO; ↑ G6PD, QR, and catalase activities |
[136] |
|
| |||||
| Thymoquinone | 50 mg/L in drinking water for 5 days | Wistar Albino rats and Swiss Albino mice | 5, 7, and 14 mg/kg i.v. in rats i.p. in mice |
↓ urea, creatinine, MDA, 8-isoprostane, MRP2, and MRP4 ↑ OAT1, OAT3, OCT1, and OCT2 and survival rate of animals |
[139] |
|
| |||||
| Xanthorrhizol | 100 and 200 mg/kg for 4 days, i.p. |
ICR mice | 45 mg/kg, i.p. | ↓ BUN, creatinine, and lipid peroxides | [143] |
Table 2.
Structures of phytochemicals investigated for renoprotective action against cisplatin- (CSP-) induced nephrotoxicity.
| Phytochemical | Structure | Chemical class |
|---|---|---|
| 23-Hydroxytormentic acid |
|
Carboxylic acid |
|
| ||
| 6-Gingerol |
|
Decanone |
|
| ||
| 6-Hydroxy-1-methylindole-3-acetonitrile |
|
Nitrile |
|
| ||
| Caffeic acid phenylethyl ester |
|
Ester |
|
| ||
| Cannabidiol |
|
Monoterpene |
|
| ||
| β-Caryophyllene |
|
Bicyclic alkene |
|
| ||
| Cinnamaldehyde |
|
Aldehyde |
|
| ||
| Curcumin |
|
Diketone |
|
| ||
| Berberine |
|
Isoquinoline |
|
| ||
| Bixin |
|
Apocarotenoid |
|
| ||
| C-Phycocyanin |
|
Phycobiliprotein |
|
| ||
| Capsaicin |
|
Amide |
|
| ||
| Cardamonin |
|
Chalconoid |
|
| ||
| Carnosic acid |
|
Benzenediol abietane diterpene |
|
| ||
| Chrysin |
|
Flavonoid |
|
| ||
| Cinnamic acid |
|
Carboxylic acid |
|
| ||
| Cyanidin |
|
Anthocyanidin |
|
| ||
| Decursin |
|
Coumarin |
|
| ||
| Ellagic acid |
|
Chromene-5,10-dione |
|
| ||
| Emodin |
|
Anthraquinone |
|
| ||
| Epigallocatechin-3-gallate |
|
Polyphenol |
|
| ||
| Genistein |
|
Isoflavone |
|
| ||
| Ginsenoside |
|
Triterpene-saponin |
|
| ||
| Glycyrrhizic acid |
|
Triterpenoid saponin |
|
| ||
| Hesperidin |
|
Licorice chalconoid |
|
| ||
| Isoliquiritigenin |
|
Chalconoid |
|
| ||
| Licochalcone A |
|
Chalconoid |
|
| ||
| Ligustrazine |
|
Pyrazine |
|
| ||
| Luteolin |
|
Flavanone |
|
| ||
| Lycopene |
|
Carotenoid |
|
| ||
| Naringenin |
|
Flavanone |
|
| ||
| Paeonol |
|
Acetophenone |
|
| ||
| Penta-O-galloyl-B-D-glucose |
|
Glycoside |
|
| ||
| Platycodin D |
|
Saponin |
|
| ||
| Quercetin |
|
Flavonol |
|
| ||
| Resveratrol |
|
Stilbenoid |
|
| ||
| Rosmarinic acid |
|
Caffeic acid |
|
| ||
| Rutin |
|
Chroman-4-one |
|
| ||
| Schizandrin |
|
Cycloocta[1′,2′:4,5]benzo[1,2-d][1,3]dioxole |
|
| ||
| Silibinin |
|
Chroman-4-one |
|
| ||
| Sulforaphane |
|
Isothiocyanate |
|
| ||
| Tannic acid |
|
Polyphenol |
|
| ||
| Thymoquinone |
|
1,4-Quinone |
|
| ||
| Xanthorrhizol |
|
Sesquiterpene |
Figure 1.
Scheme showing various pathways mediating cisplatin- (CSP-) induced nephrotoxicity and mitigation of this cascade by phytochemicals.
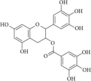
2.1. 23-Hydroxytormentic Acid (23-HTA) and Niga-ichigoside F1 (NIF1)
23-Hydroxytormentic acid (23-HTA), an aglycone of the triterpenoid glycoside niga-ichigoside F1 (NIF1), has been isolated from the unripe fruit of Rubus coreanus, a perennial shrub found in southern parts of Korea [13]. Kim et al. [13] and Sohn et al. [14] have demonstrated that 23-HTA and NIF1 attenuated CSP-induced nephrotoxicity by mitigating oxidative stress and inflammation in renal tissues. However, further mechanistic studies are required to confirm their renoprotective effects against CSP-induced renal toxicity.
2.2. 6-Gingerol
6-Gingerol is a pungent ingredient of ginger (Zingiber officinale), which has demonstrated anti-inflammatory, analgesic, antipyretic, antitumor, and antiproliferative properties [15, 16]. Kuhad et al. [17] reported that gingerol inhibited CSP-induced nephrotoxicity by suppressing oxidative stress. Similarly, another study reported that gingerol elicited renoprotective action by mitigating renal oxidative stress and inflammation [18]. However, further studies are warranted to delineate the precise molecular mechanisms of their renoprotective actions.
2.3. 6-Hydroxy-1-methylindole-3-acetonitrile (6-HMA)
6-HMA is a phytochemical present in Brassica rapa roots. In traditional medicine, B. rapa has been used to treat a variety of conditions such as hepatitis, jaundice, furuncle, and sore throats [19]. 6-HMA has been demonstrated to improve renal function, augment endogenous antioxidant defenses, and protect kidneys from the noxious effects of CSP. Further, 6-HMA also inhibited CSP-induced death of LLC-PK1 cells (renal proximal tubular epithelial cells derived from porcine kidneys) [19].
2.4. β-Caryophyllene (BCP)
β-Caryophyllene (BCP) is a natural sesquiterpene found in several essential oils of spices such as cinnamon, oregano, black pepper, basil, cloves, and other condiments [20]. BCP has been shown to elicit anti-inflammatory [20] and antioxidant effects [21, 22]. Horváth et al. [23] demonstrated that BCP attenuated CSP-induced nephrotoxicity by decreasing oxidative/nitrative stress, inflammation, and cell death pathway activation. Further, mechanistic studies revealed that the renoprotective actions of BCP against CSP-induced renal toxicity were mediated via activation of cannabinoid receptor-2 (CB2). It is pertinent to note that previous studies have also demonstrated the renoprotective role of CB2 receptor activation [24]. In addition, several studies have documented the anti-inflammatory phenotype induced by CB2 receptors activation in preclinical studies [25]. Considering the good safety and tolerability profile of BCP in human subjects, this has excellent prospects for further pharmaceutical development as a renoprotective agent.
2.5. Berberine
Berberine, an isoquinoline alkaloid present in the rhizome, root, and stem bark of several plant species, is especially highly concentrated in berries (Berberis vulgaris) [26]. Berberine has been documented to possess antioxidant, anti-inflammatory, and anticancer activities [26]. Berberine inhibited CSP-induced nephrotoxicity by reducing oxidative stress/nitrative stress, nuclear factor kappa-light-chain-enhancer of activated B-cells (NFκB) activation, and proinflammatory cytokine expression. In addition, berberine also inhibited apoptosis and diminished the cytochrome P450 (CYP) 2E1 expression in CSP-treated kidneys. CYP2E1 is the primary enzyme involved in the biotransformation of cisplatin, and previous studies have also demonstrated that genetic ablation of CYP2E1 imparted renoprotection against CSP-induce toxicity [27, 28].
2.6. Bixin
Bixin is the main carotenoid found in species of the tropical plant Annatto (Bixa orellana). Bixin inhibited CSP-induced nephrotoxicity by inhibiting lipid peroxidation and augmenting endogenous antioxidant defenses [29, 30]. However, further mechanistic studies are required to understand its renoprotective properties.
2.7. C-Phycocyanin (C-PC)
C-Phycocyanin (C-PC) is a pigment from the blue-green algae, Spirulina maxima [31]. C-PC has been shown to mitigate CSP-induced nephrotoxicity via inhibition of oxidative stress, inflammation, and apoptosis. Furthermore, mechanistic studies revealed that C-PC blunted CSP-induced proapoptotic mitogen-activated protein kinase (MAPK) kinase (MEK), B-cell lymphoma 2- (Bcl2-) associated X protein (Bax)/Bcl2 ratio alterations, and caspase-3 activation in renal tissues [31, 32].
2.8. Caffeic Acid Phenethyl Ester (CAPE)
Caffeic acid phenethyl ester (CAPE) is an active phenolic compound extracted from honeybee propolis [33]. CAPE treatment inhibited CSP-induced renal toxicity by suppressing oxidative stress, inflammation, and apoptosis. Further, CAPE also blunted CYP2E1 activation, thereby inhibiting the biotransformation of CSP [33, 34]. However, further studies are required to investigate whether CAPE provides renoprotection without compromising the anticancer effects of CSP.
2.9. Cannabidiol (CBD)
Cannabidiol (CBD) is a phenolic compound and phytocannabinoid extracted from the Cannabis sativa (marijuana) plant, and it elicits anti-inflammatory, immunomodulatory, and analgesic effects [35]. CBD attenuated CSP-induced nephrotoxicity by suppressing oxidative stress, inflammation, and apoptosis. It is also pertinent to note that CBD reversed the CSP-induced kidney injury when administered after the onset of renal tissue injury [36]. Furthermore, it is noteworthy that CBD is devoid of psychoactive properties since it does not bind to major cannabinoid receptors and has an excellent safety profile in human subjects. Recently, CBD was approved for the treatment of childhood epilepsy [25], and it could also be considered as a potent candidate for further development to counteract CSP-induced renal toxicity.
2.10. Capsaicin
Capsaicin is the major pungent ingredient in red peppers and has been used in pain sensation studies based on its stimulation of vanilloid receptor-1, an ion channel protein expressed by nociceptive primary afferent neurons [37]. Capsaicin has been demonstrated to inhibit oxidative stress, inflammation, and apoptosis in the renal tissues of CSP-treated animals. The renoprotective effects were in part due to the activation of heme oxygenase-1 (HO-1) [38, 39].
2.11. Cardamonin
Cardamonin is a flavone found in Alpinia plants and has been shown to affect cell-signaling pathways and to possess anticancer and anti-inflammatory properties [40]. Cardamonin increased endogenous antioxidants and decreased oxidative stress and inflammation [41–44].
2.12. Carnosic Acid
Carnosic acid is a naturally occurring polyphenolic diterpenoid molecule present in rosemary (Rosmarinus officinalis) [45]. Carnosic acid suppressed CSP-induced nephrotoxicity by mitigating oxidative stress and apoptosis in renal tissues [45]. However, additional studies are required to understand the molecular mechanisms purported to mediate its renoprotective actions.
2.13. Chrysin
Chrysin (5,7-dihydroxyflavone) is a flavonoid extracted from honeybee propolis. Chrysin has been reported to be a potent inhibitor of aromatase and anticancer properties [46]. Sultana et al. demonstrated that treatment of chrysin effectively diminished CSP-induced oxidative stress by improving antioxidant enzyme status and restored membrane integrity of tubular epithelial cells [47]. Furthermore, Khan et al. [48] reported that chrysin attenuated CSP-renal toxicity by inhibiting oxidative stress, p53 expression, DNA damage, and apoptosis.
2.14. Cinnamic Acid and Cinnamaldehyde
The essential oil of cinnamon contains both cinnamic acid (CA) and cinnamaldehyde (CD). These phytochemicals have been documented to possess antioxidant, antibacterial, and anti-inflammatory effects [49]. CA and CD administration to rodents restored kidney function, suppressed oxidative stress, and mitigated the histopathological degeneration induced by CSP [49]. However, additional studies are required to understand the precise molecular mechanism underlying the renoprotective actions of CA and CD.
2.15. Curcumin
Curcumin is a principle curcuminoid (phenolic terpene compound) derived from the Indian curry spice turmeric (Curcuma longa) [50]. Curcumin treatment restored CSP-induced depletion of endogenous antioxidants [51–53] and reduced inflammation by suppressing NFκB activation, expression of proinflammatory cytokines, and adhesion molecules [54, 55]. Furthermore, curcumin has been reported to ameliorate CSP-induced renal toxicity by augmenting silent mating type information regulation 2 homolog-1 (SIRT-1) and nuclear factor erythroid-derived 2 (Nrf2), which enhanced endogenous antioxidant defenses and mitochondrial biogenesis [55, 56].
2.16. Cyanidin
Proanthocyanidins are polyphenol derivatives of flavan-3-ol flavonoids derived from grape seed. Proanthocyanidins are reported to possess antioxidant, anti-inflammatory, and antitumor activities [57]. Cyanidin treatment of rodents suppressed CSP-induced renal reactive oxygen species (ROS) generation and enhanced the activation of prosurvival kinases such as extracellular signal-regulated kinase (ERK) and Akt. Furthermore, cyanidin also suppressed CSP-induced renal apoptosis by blunting caspase-3/12 expression, the Bax/Bcl-2 ratio, p53 phosphorylation, and poly adenosine diphosphate (ADP) ribose polymerase (PARP) activation. In addition, cyanidin also suppressed CSP-induced endoplasmic reticulum stress in renal tissues [58]. Collectively these results suggest that cyanidin recruited several prosurvival pathways to counteract CSP-induced renal damage.
2.17. Decursin
Decursin is a natural pyranocoumarin compound isolated from the Korean herb Angelica gigas and is reported to possess anticancer activity [59]. Decursin treatment reduced CSP-induced renal toxicity by attenuating oxidative stress, inflammation, and apoptosis pathways in renal cancer cell lines and rodents [59, 60]. Recently, dose escalation studies were conducted to determine the pharmacokinetic profile of decursin in human subjects. From this study, it was inferred that decursin was well tolerated in both sexes and reached a peak plasma concentration in 8–12 h. These observations indicate the efficacy, safety, tissue distribution, and pharmacodynamic properties of decursin in human subjects [61].
2.18. Ellagic Acid
Ellagic acid is a naturally occurring phenolic compound found in fruits such as raspberries, strawberries, and pomegranates [62]. Ellagic acid treatment ameliorated CSP-induced renal toxicity by suppressing the kidney injury molecule (KIM-1) and clusterin protein expression (considered as early indicators of kidney injury) [63]. Furthermore, ellagic acid enhanced the glomerular filtration rate, which corroborated its reduction of inflammatory mediators and apoptotic markers in renal tissues [64]. These findings were correlated with the amelioration of CSP-induced tubular necrosis, degeneration, karyomegaly, and tubular dilatation [65].
2.19. Emodin
Emodin is the most abundant bioactive anthraquinone extracted from the Chinese culinary herb, Rhubarb (Rheum palmatum), and it possesses anticancer [66] and antioxidant activities [67]. Emodin treatment increased the cell viability after CSP treatment of normal human renal tubular epithelial cells [68]. In addition, emodin attenuated CSP-induced renal damage by suppressing the activity of N-acetyl-beta-D-glucosaminidase (NAG) [69], which is a lysosomal enzyme that is constitutively expressed in the proximal kidney tubule. Owing to its high molecular weight, under physiological conditions, NAG does not void via the kidneys because of its negligible glomerular filtration [70]. However, damage to the renal tubules causes the release of NAG in higher amounts than usual and, hence, it is excreted in the urine, and its serum accumulation is increased [70]. In a separate study, Liu et al. [71] demonstrated that emodin ameliorates CSP-induced apoptosis of rat renal tubular cells in vitro by modulating adenosine monophosphate-activated protein kinase (AMPK)/mechanistic target of rapamycin (mTOR) signaling pathways and activating autophagy and in vivo by suppressing caspase-3 activity and apoptosis in renal tissues.
2.20. Epigallocatechin-3-Gallate (EGCG)
Epigallocatechin-3-gallate (EGCG) is a phenolic compound present in green tea [72] and is an effective ROS scavenger in vitro and in vivo [73, 74]. EGCG mitigated CSP-induced nephrotoxicity by inducing the expression of Nrf-2 and HO-1 and decreasing that of NFκB and proinflammatory cytokines [72]. Furthermore, EGCG also inhibited endoplasmic reticulum (ER) stress-induced apoptosis through the suppression of phosphorylated (p)-ERK, glucose-regulated protein 78 (GRP78), and the caspase-12 pathway [75]. Furthermore, EGCG inhibited the ligand of death receptor Fas (Fas-L); apoptosis regulator, Bax; and the tumor-suppressor protein, p53, while it increased the expression of Bcl-2 and, thereby, inhibited the extrinsic pathways of renal cell apoptosis [76]. All these studies collectively established the renoprotective actions of EGCG.
2.21. Genistein
Genistein is a polyphenol nonsteroidal isoflavonoid phytoestrogen extracted from soybean. Genistein treatment counteracted CSP-induced ROS generation and suppressed NFκB activation, proinflammatory cytokines expression, and apoptosis [77].
2.22. Ginsenosides Rh4 and Rk3
Ginseng is the root of Panax ginseng and is one of the most widely recommended and intensively studied herbal medicines. Ginsenosides are the secondary metabolites and unique constituents of Panax plants. Baek et al. [78] demonstrated that ginsenosides increased cell viability and prevented lactate dehydrogenase (LDH) leakage induced by CSP in normal renal proximal tubular epithelial cells. Furthermore, ginsenosides ameliorated CSP-induced renal damage by mitigating inflammation and apoptosis, which was evidenced by the suppression of DNA damage-induced apoptosis biomarkers such as phosphorylated c-Jun N-terminal kinase (JNK), p53, and cleaved caspase-3 expressions [79, 80].
2.23. Glycyrrhizic Acid
Glycyrrhizin and its aglycone glycyrrhetic acid (GA) are used for various therapeutic purposes in Chinese traditional medicine practice [81]. GA is the hydrophilic part of glycyrrhizin, an active compound found in licorice (Glycyrrhiza glabra), which is a conjugate of two molecules of glucuronic acid and GA. It is used as a flavoring agent in candies, pharmaceuticals, and tobacco products [82]. Furthermore, it has been reported to elicit anti-inflammatory, antioxidant, and antitumor activities [83]. GA treatment restored the antioxidant status and improved kidney function, as evidenced by diminished DNA fragmentation [82]. In addition, the renoprotective effects of GA were also associated with the upregulation of Nrf2 and downregulation of NFκB expression, resulting in decreased kidney damage [84].
2.24. Hesperidin
Hesperidin is a pharmacologically active bioflavonoid found in citrus fruits [85]. Hesperidin attenuated CSP-induced renal toxicity by ameliorating oxidative stress, inflammation, and apoptosis [85, 86]. However, additional studies are required to understand the exact molecular mechanism mediating the renoprotection induced by hesperidin.
2.25. Isoliquiritigenin (ISL)
Isoliquiritigenin (ISL) is a flavonoid with a chalcone moiety extracted from several Glycyrrhiza species [87]. ISL has been shown to exert a variety of biological activities such as antiplatelet aggregation, antioxidant, and anti-inflammatory [88]. ISL exerted a remarkable renoprotective effect against CSP-induced renal toxicity by abrogating oxidative stress and apoptosis [87]. However, the precise molecular mechanisms purported to mediate the renoprotective activity of ISL needs to be explored.
2.26. Licochalcone A (LCA)
Licochalcone A (LCA) is a species-specific phenolic constituent of Glycyrrhiza inflata. LCA administration to CSP-treated animals restored kidney function markers and decreased oxidative stress [89]. However, the exact mechanism underlying the renoprotection induced by LCA needs to be investigated.
2.27. Ligustrazine
Ligustrazine (tetramethylpyrazine) is an alkaloid compound extracted from the Chinese herb Chuanxiong (Ligusticum chuanxiong Hort) [90] and is extensively used in China for the management of myocardial and cerebral infarction [91]. Ligustrazine significantly diminished CSP-induced urinary NAG excretion and renal tubular injury in a dose-dependent manner. Furthermore, ligustrazine also suppressed renal oxidative stress, inflammation, and apoptosis by restoring the Bax/Bcl-2 ratio [90].
2.28. Luteolin
Luteolin is a flavone present in high concentrations in celery, green pepper, and chamomile, and it has been reported to display anti-inflammatory, antioxidant, and anticarcinogenic activities [92, 93]. Luteolin treatment significantly reduced the pathophysiological changes induced by CSP in the kidneys by the suppression of oxidative/nitrative stress, inflammation, and apoptosis [92]. Moreover, luteolin also ameliorated tubular necrosis, which was confirmed using a terminal deoxynucleotidyl transferase (TdT) deoxyuridine 5′-triphosphate (dUTP) nick-end labeling (TUNEL) assay, and it diminished p53 activation and PUMA-α expression, as well as altering the Bax/Bcl-2 ratio [93].
2.29. Lycopene
Lycopene is a carotenoid pigment found in tomato [94]. Lycopene from dietary sources has been shown to reduce the risk of some chronic diseases including cancer and cardiovascular disorders [95]. The administration of lycopene significantly normalized the kidney function and antioxidant status of CSP-treated animals. Furthermore, lycopene also increased the expression of the organic anion and cation transporters (OAT and OCT, resp.) including OAT1, OAT3, OCT1, and OCT2 in the renal tissues [96–98]. In addition, lycopene also decreased the renal efflux transporters (multidrug resistance-associated protein [MRP]-2 and MRP4) levels and induced Nrf2 activation, which activated the antioxidant defense system [99]. Furthermore, lycopene protected against CSP-induced renal injury by modulating proapoptotic Bax and antiapoptotic Bcl-2 expressions and enhancing heat shock protein (HSP) expression [97].
2.30. Naringenin (NAR)
Citrus fruits (such as oranges and grapefruits) are rich in the flavanone naringenin (NAR, aglycone) [100]. NAR diminished the extent of CSP-induced nephrotoxicity by improving renal function and antioxidant enzyme activity and diminishing lipid peroxidation [101]. However, the detailed molecular mechanism of the renoprotective action of NAR against CSP-induced renal tissue injury is still unknown and requires further investigation.
2.31. Paeonol
Paeonol is a major phenolic component of Moutan cortex [102]. In traditional medicine practice, paeonol is used to treat various diseases including atherosclerosis, infections, and other chronic inflammatory disorders [103]. Paeonol improved kidney function and suppressed the levels of proinflammatory cytokines, which attenuated the renal tissue injury induced by CSP [102]. However, additional mechanistic studies are warranted to understand the renoprotective activity of paeonol.
2.32. 1,2,3,4,6-Penta-O-galloyl-β-D-glucose (PGG)
1,2,3,4,6-Penta-O-galloyl-β-D-glucose (PGG) is a polyphenol and water-soluble gallotannin isolated from the Chinese herb Rhus chinensis [104]. PGG significantly blocked cytotoxicity and reduced the sub-G1 accumulation of human renal proximal tubular epithelial cells induced by CSP [105]. In addition, PGG suppressed PARP cleavage, caspase-3 activation, cytochrome c release, and upregulation of Bax and p53 expression, which diminished apoptosis in the renal tissues [106].
2.33. Platycodin D (PD)
Triterpenoid saponins extracted from the roots of Platycodon grandiflorum exhibit a variety of pharmacological activities such as anti-inflammatory, anticancer, and immune-enhancing effects. The saponins in P. grandiflorum inhibited inducible nitric oxide synthase (iNOS) and cyclooxygenase-2 (COX-2) expressions by mitigating NFκB activation in CSP-treated kidneys [107]. Furthermore, PD also ameliorated CSP-induced renal injury as revealed by the decreased intraluminal cast formation and diminished epithelial desquamation. These effects were mediated in part by quenching ROS generation and suppressing the apoptosis cascade [108].
2.34. Quercetin
Quercetin is one of the most abundant flavonoids found in several plant species and exerts numerous beneficial effects on health including cardioprotection, anti-inflammatory, anti-proliferative, and anticancer activities [109]. Quercetin ameliorated CSP-induced nephrotoxicity by mitigating oxidative stress, inflammation, and cell death pathways. Specifically, quercetin diminished renal lipid peroxidation, MAPK, and NFκB activation, proinflammatory cytokine expression, and caspase activation, as well as decreasing apoptosis. The improvements in the molecular pathology induced by quercetin corroborated the improved renal function in CSP-treated animals [110–113].
2.35. Resveratrol
Resveratrol is a phenolic compound present in several botanical species such as mulberries, peanuts, red grapes, cranberries, and blueberries [114]. Resveratrol attenuated CSP-induced nephrotoxicity by augmenting the endogenous antioxidant defense system via SIRT1 and Nrf2 activation. Furthermore, it inhibited inflammatory cytokine production by blunting NFκB activation and immune cell infiltration in renal tissues. In addition, resveratrol also inhibited CSP-induced renal apoptosis by downregulating p53 expression and restoring the Bax/Bcl-2 ratio. Furthermore, resveratrol enhanced the chemosensitivity of CSP without compromising its antitumor activity [115–118].
2.36. Rosmarinic Acid
Rosmarinic acid is an ester of caffeic acid that is abundantly present in rosemary (Rosmarinus officinalis) [119]. Rosmarinic acid treatment diminished the CSP-induced renal toxicity by attenuating oxidative stress, and this effect was characterized by decreased accumulation of 4-hydroxynonenal (4-HNE) formation with improvement in superoxide dismutase (SOD) activity and glutathione (GSH) levels. The beneficial effects of rosmarinic acid, in part, were mediated by its inhibition of the expression and activity of CYP2E1. In addition, rosmarinic acid inhibited CSP-induced inflammation by blunting NFκB activation and apoptosis by reducing p53 activation and DNA damage [120].
2.37. Rutin
Rutin is a glycone of quercetin, which has been extracted from various citrus fruits [121]. The mechanism of the renoprotection induced by rutin against CSP toxicity is mediated by the suppression of oxidative stress, NFκB activation, inflammatory cytokine expression, and apoptosis [86, 122].
2.38. Schizandrin and Schizandrin B
Schizandrin is a lignan found in the Chinese berry (Schisandra chinensis) [123]. Giridharan et al. [124] documented that schizandrin B inhibited CSP-induced oxidative stress, inflammation, and apoptosis by attenuating NFκB, p53 accumulation, and cleaved caspase-3 expression. Furthermore, schizandrin B induced the activation of Nrf2 and its downstream target genes such as HO-1 and gamma-glutamylcysteine synthetase (GGCS), which is the rate-limiting enzyme involved in GSH synthesis. Furthermore, schizandrin B also inhibited CSP-induced nicotinamide adenine dinucleotide phosphate (NAD[P]H) dehydrogenase [quinone] 1 (NQO1) enzymatic activity. It is pertinent to note that NQO1 is involved in the one-electron reduction of quinones which produces superoxide and, thereby, propagates oxidative stress [125].
2.39. Silibinin
Silibinin is a flavonoid extracted from Silybum marianum, popularly known as the milk thistle [126]. Gaedeke et al. [127] demonstrated that silibinin inhibited CSP-renal damage by preserving the proximal tubular function and ameliorating proteinuria. However, the precise molecular mechanism underlying this action was not investigated. In another study, silibinin protected the kidneys against CSP-induced renal toxicity without compromising the antitumor activity of CSP in rodents [128].
2.40. Sulforaphane
Sulforaphane is an isothiocyanate present in cruciferous vegetables such as broccoli, Brussels sprout, and cabbage [129]. Sulforaphane inhibited CSP-induced renal dysfunction, structural damage, oxidative/nitrative stress, inflammation, and apoptosis. Mechanistically, sulforaphane attenuated MAPK and NFκB activation and stimulated Nrf2 activation [130, 131]. In addition, several synthetic analogs of sulforaphane also exerted renoprotective activity against CSP-induced nephrotoxicity by the aforementioned mechanisms [132].
2.41. Tannic Acid
Tannins belong to the class of polyphenols and have been shown to possess multiple biological activities including anticancer [133], antioxidant, and antimicrobial activities [134]. Yokozawa et al. [135] demonstrated that tannic acid administration restored antioxidant levels, decreased lipid peroxidation, and improve renal function. Tannic acid also decreased CSP-induced DNA fragmentation by diminishing p53 activation [136]. Furthermore, green tea tannin has been reported to restore the kidney function and synergistically enhance the cell death of ovarian cancer cells by CSP [137]. In addition, Tikoo et al. [138] reported that tannic acid decreased PARP cleavage, phosphorylation of p38, and hypoacetylation of histone H4, which diminished kidney injury, indicating the efficacy of tannic acid as a therapeutic drug for CSP-induced nephrotoxicity.
2.42. Thymoquinone
Thymoquinone is a bioactive compound derived from Nigella sativa popularly known as black seed oil. Thymoquinone has been shown to exert anti-inflammatory, antioxidant, and antineoplastic effects in both in vitro and in vivo studies [139]. Thymoquinone was shown to improve kidney function, diminish lipid peroxidation, and augment endogenous antioxidants [139]. In addition, thymoquinone has also been shown to increase the expression of various organic anion and cation transporters such as OAT1, OAT3, OCT1, and OCT2, which are necessary for the renal clearance of xenobiotic agents including toxins and commonly used drugs [140, 141].
2.43. Xanthorrhizol
Xanthorrhizol is one of the major constituents from the rhizomes of Curcuma xanthorrhiza, a medicinal plant native to Indonesia [142]. Kim et al. [143] demonstrated the renoprotective action of xanthorrhizol against CSP-induced nephrotoxicity mediated by inhibiting NFκB and activator protein-1 (AP-1) activation, proinflammatory cytokine expression, immune cell infiltration, and apoptosis. Furthermore, mechanistic studies revealed that xanthorrhizol suppressed CSP-induced phosphorylation of c-Jun N-terminal kinase (JNK) and p53, as well as the shutdown of the mitochondria-mediated apoptosis pathway [144].
2.44. Renoprotective Actions of Phytochemicals in Human Studies
The review of the published literature revealed that several preclinical studies reported the renoprotective properties of phytochemicals. Currently, there is no significant evidence from clinical trials indicating that phytochemicals show renoprotective efficacy in human subjects undergoing CSP chemotherapy. However, a recent open-labeled randomized clinical trial undertaken in a small patient population suggested that treatment with cystone (a herbomineral ayurvedic formulation) in combination with CSP chemotherapy improved renal function without compromising the antitumor effects of CSP. However, long-term follow-up data and survival rates were not presented in this study and, therefore, more stringent, well-designed, and controlled clinical trials are warranted to establish the clinical efficacy of cystone in combating CSP-induced nephrotoxicity [145].
3. Conclusion
The analysis of literature suggests that plant-derived agents (phytochemicals) are widely used to prevent the CSP-induced renal toxicity, and it is evident that these compounds exhibited potentially effective renal protection in preclinical studies. However, the major impediment to the clinical translation of these compounds for further pharmaceutical development pertains to the lack of convincing evidence of their bioavailability in human subjects [146, 147]. In addition, the therapeutic indexes for various phytochemicals are presently unknown. Therefore, future studies should investigate the analogs and derivatives of phytochemicals with demonstrable bioavailability in human subjects, and these molecules should be thoroughly investigated in preclinical models for further pharmaceutical development. In addition, most studies reported in the literature demonstrated the prophylactic action of phytochemicals in combating CSP-induced renal tissue injury. However, this approach has major limitations because clinically patients require treatment after and not before the onset of kidney damage. Therefore, future studies should essentially investigate the therapeutic effect of phytochemicals against CSP-induced nephrotoxicity in preclinical models. Specifically, studies must report the effect of phytochemical administration after the establishment of renal tissue injury and present the survival rate of the animal models. Finally, to establish the renoprotective actions of phytochemicals, studies need to be conducted in rodents harboring tumors that are sensitive to CSP. This is to ascertain that the beneficial effects of the phytochemicals do not compromise or interfere with the antitumor activity of CSP.
Acknowledgments
Mohanraj Rajesh, Shreesh Ojha, and Bassem Sadek were supported by intermural funds from the College of Medicine and Health Sciences and the Office of Graduate Studies and Research, UAE University.
Abbreviations
- CSP:
Cisplatin
- CB2:
Cannabinoid receptor-2
- NF-κB:
Nuclear factor kappa-light-chain-enhancer of activated B-cells
- CYP2E1:
Cytochrome P450 2E1
- MAPK:
Mitogen-activated protein kinase
- Bax:
B-cell lymphoma 2- (Bcl-2-) associated X protein
- Bcl-2:
B-cell lymphoma 2
- HO-1:
Heme oxygenase-1
- p53:
Tumor-suppressor protein p53
- SIRT, Sirtuin:
Silent mating type information regulation 2 homolog
- Nrf2:
Nuclear factor erythroid-derived 2
- ROS:
Reactive oxygen species
- ERK:
Extracellular signal-regulated kinases
- Akt:
Serine/threonine-specific protein kinase (synonym: protein kinase B)
- PARP:
Poly adenosine diphosphate (ADP) ribose polymerase
- KIM-1:
Kidney injury molecule-1
- NAG:
N-acetyl-D-glucosamine
- AMPK:
Adenosine monophosphate-activated protein kinase
- mTOR:
Mechanistic target of rapamycin
- GRP-78:
78 kDa glucose-regulated protein
- Fas-L:
Fas ligand [synonym: cluster of differentiation antigen 95 (CD95) ligand]
- LDH:
Lactate dehydrogenase
- JNK:
c-Jun N-terminal kinases
- TUNEL:
Terminal deoxynucleotidyl transferase deoxyuridine 5′-triphosphate (dUTP) nick-end labeling
- PUMA:
p53-upregulated modulator of apoptosis
- OAT:
Organic anion transporter
- OCT:
Organic cation transporter
- MRP:
Multidrug resistance-associated proteins
- HSP:
Heat shock protein
- iNOS:
Inducible nitric oxide synthase
- COX-2:
Cyclooxygenase-2
- 4-HNE:
4-Hydroxynonenal
- SOD:
Superoxide dismutase
- GSH:
Glutathione (reduced)
- GCLC:
Gamma-glutamyl cysteine synthetase
- NQO1:
NAD(P)H dehydrogenase [quinone] 1
- AP-1:
Activator protein-1
- BUN:
Blood urea nitrogen
- MDA:
Malondialdehyde
- CAT:
Catalase
- GR:
Glutathione reductase
- NOX:
NADPH (nicotinamide adenine dinucleotide phosphate-oxidase) oxidase
- 3-NT/3-NY:
3-Nitrotyrosine
- TNF-α:
Tumor necrosis factor alpha
- GPx:
Glutathione peroxidase
- p38:
p38 MAPK
- NO:
Nitric oxide
- IL-1β:
Interleukin 1 beta
- NAMPT:
Nicotinamide phosphoribosyl transferase
- MCP-1:
Monocyte chemoattractant protein-1
- ICAM-1:
Intercellular adhesion molecule-1
- TBARS:
Thiobarbituric acid reactive substances
- IL:
Interleukin
- TAC:
Total antioxidant capacity
- GST:
Glutathione S-transferase
- XO:
Xanthine oxidase
- TOS:
Total oxidant status
- LPO:
Lipid peroxidation
- H2O2:
Hydrogen peroxide
- ALP:
Alkaline Phosphatase
- GSSG:
Glutathione disulfide
- ICAM:
Intercellular adhesion molecule
- VCAM:
Vascular cell adhesion protein
- MPO:
Myeloperoxidase
- G6PD:
Glucose-6-phosphate dehydrogenase
- QR:
Quinone reductase
- I.P.:
Intraperitoneal injection
- I.V.:
Intravenous administration
- LLC-PK1:
Renal epithelial cells derived from normal pig kidney
- HK-2 cells:
Proximal tubular epithelial cells from normal human kidney
- HRCs:
Human primary epithelial cells from cortex and glomeruli
- ETC:
Electron transport chain
- XOR:
Xanthine oxidoreductase
- CXCL1:
Chemokine (C-X-C motif) ligand 1
- ER:
Endoplasmic reticulum
- PMN:
Polymorphonuclear (neutrophil).
Competing Interests
There is no conflict of interests to disclose.
Authors' Contributions
Shreesh Ojha and Balaji Venkataraman contributed equally to this article.
References
- 1.Fukasawa H., Furuya R., Yasuda H., Yamamoto T., Hishida A., Kitagawa M. Anti-cancer agent-induced nephrotoxicity. Anti-Cancer Agents in Medicinal Chemistry. 2014;14(7):921–927. doi: 10.2174/1871520614666140127105809. [DOI] [PubMed] [Google Scholar]
- 2.Ruggiero A., Trombatore G., Triarico S., et al. Platinum compounds in children with cancer: toxicity and clinical management. Anti-Cancer Drugs. 2013;24(10):1007–1019. doi: 10.1097/cad.0b013e3283650bda. [DOI] [PubMed] [Google Scholar]
- 3.Karasawa T., Steyger P. S. An integrated view of cisplatin-induced nephrotoxicity and ototoxicity. Toxicology Letters. 2015;237(3):219–227. doi: 10.1016/j.toxlet.2015.06.012. [DOI] [PMC free article] [PubMed] [Google Scholar]
- 4.Launay-Vacher V., Rey J.-B., Isnard-Bagnis C., Deray G., Daouphars M. Prevention of cisplatin nephrotoxicity: state of the art and recommendations from the European Society of Clinical Pharmacy Special Interest Group on Cancer Care. Cancer Chemotherapy and Pharmacology. 2008;61(6):903–909. doi: 10.1007/s00280-008-0711-0. [DOI] [PubMed] [Google Scholar]
- 5.Dos Santos N. A. G., Rodrigues M. A. C., Martins N. M., Dos Santos A. C. Cisplatin-induced nephrotoxicity and targets of nephroprotection: an update. Archives of Toxicology. 2012;86(8):1233–1250. doi: 10.1007/s00204-012-0821-7. [DOI] [PubMed] [Google Scholar]
- 6.Bland J. S. Phytonutrition, phytotherapy, and phytopharmacology. Alternative Therapies in Health and Medicine. 1996;2(6):73–76. [PubMed] [Google Scholar]
- 7.Morejohn L. C., Fosket D. E. The biochemistry of compounds with anti-microtubule activity in plant cells. Pharmacology & Therapeutics. 1991;51(2):217–230. doi: 10.1016/0163-7258(91)90078-z. [DOI] [PubMed] [Google Scholar]
- 8.Miller R. P., Tadagavadi R. K., Ramesh G., Reeves W. B. Mechanisms of cisplatin nephrotoxicity. Toxins. 2010;2(11):2490–2518. doi: 10.3390/toxins2112490. [DOI] [PMC free article] [PubMed] [Google Scholar]
- 9.Finkel M., Goldstein A., Steinberg Y., Granowetter L., Trachtman H. Cisplatinum nephrotoxicity in oncology therapeutics: retrospective review of patients treated between 2005 and 2012. Pediatric Nephrology. 2014;29(12):2421–2424. doi: 10.1007/s00467-014-2935-z. [DOI] [PubMed] [Google Scholar]
- 10.Oh G.-S., Kim H.-J., Shen A., et al. New therapeutic concept of NAD Redox balance for cisplatin nephrotoxicity. BioMed Research International. 2016;2016:12. doi: 10.1155/2016/4048390.4048390 [DOI] [PMC free article] [PubMed] [Google Scholar]
- 11.Mukhopadhyay P., Rajesh M., Pan H., et al. Cannabinoid-2 receptor limits inflammation, oxidative/nitrosative stress, and cell death in nephropathy. Free Radical Biology and Medicine. 2010;48(3):457–467. doi: 10.1016/j.freeradbiomed.2009.11.022. [DOI] [PMC free article] [PubMed] [Google Scholar]
- 12.Mukhopadhyay P., Pan H., Rajesh M., et al. CB1 cannabinoid receptors promote oxidative/nitrosative stress, inflammation and cell death in a murine nephropathy model. British Journal of Pharmacology. 2010;160(3):657–668. doi: 10.1111/j.1476-5381.2010.00769.x. [DOI] [PMC free article] [PubMed] [Google Scholar]
- 13.Kim Y.-H., Choi J.-H., Rim H.-K., et al. 23-Hydroxytormentic acid and niga-ichgoside F1 isolated from Rubus coreanus attenuate cisplatin-induced cytotoxicity by reducing oxidative stress in renal epithelial LLC-PK1 cells. Biological and Pharmaceutical Bulletin. 2011;34(6):906–911. doi: 10.1248/bpb.34.906. [DOI] [PubMed] [Google Scholar]
- 14.Sohn S.-I., Rim H.-K., Kim Y.-H., et al. The ameliorative effect of 23-hydroxytormentic acid isolated from Rubus coreanus on cisplatin-induced nephrotoxicity in rats. Biological and Pharmaceutical Bulletin. 2011;34(9):1508–1513. doi: 10.1248/bpb.34.1508. [DOI] [PubMed] [Google Scholar]
- 15.Masuda Y., Kikuzaki H., Hisamoto M., Nakatani N. Antioxidant properties of gingerol related compounds from ginger. BioFactors. 2004;21(1–4):293–296. doi: 10.1002/biof.552210157. [DOI] [PubMed] [Google Scholar]
- 16.Wang C.-C., Chen L.-G., Lee L.-T., Yang L.-L. Effects of 6-gingerol, an antioxidant from ginger, on inducing apoptosis in human leukemic HL-60 cells. In Vivo. 2003;17(6):641–645. [PubMed] [Google Scholar]
- 17.Kuhad A., Tirkey N., Pilkhwal S., Chopra K. 6-Gingerol prevents cisplatin-induced acute renal failure in rats. BioFactors. 2006;26(3):189–200. doi: 10.1002/biof.5520260304. [DOI] [PubMed] [Google Scholar]
- 18.Rodrigues F. A. P., Prata M. M. G., Oliveira I. C. M., et al. Gingerol fraction from Zingiber officinale protects against gentamicin-induced nephrotoxicity. Antimicrobial Agents and Chemotherapy. 2014;58(4):1872–1878. doi: 10.1128/AAC.02431-13. [DOI] [PMC free article] [PubMed] [Google Scholar]
- 19.Moon J. H., Shin J.-S., Kim J.-B., et al. Protective effects of 6-hydroxy-1-methylindole-3-acetonitrile on cisplatin-induced oxidative nephrotoxicity via Nrf2 inactivation. Food and Chemical Toxicology. 2013;62:159–166. doi: 10.1016/j.fct.2013.08.039. [DOI] [PubMed] [Google Scholar]
- 20.Gertsch J., Leonti M., Raduner S., et al. Beta-caryophyllene is a dietary cannabinoid. Proceedings of the National Academy of Sciences of the United States of America. 2008;105(26):9099–9104. doi: 10.1073/pnas.0803601105. [DOI] [PMC free article] [PubMed] [Google Scholar]
- 21.Kubo I., Chaudhuri S. K., Kubo Y., et al. Cytotoxic and antioxidative sesquiterpenoids from Heterotheca inuloides. Planta Medica. 1996;62(5):427–430. doi: 10.1055/s-2006-957932. [DOI] [PubMed] [Google Scholar]
- 22.Singh G., Marimuthu P., de Heluani C. S., Catalan C. A. N. Antioxidant and biocidal activities of Carum nigrum (Seed) essential oil, oleoresin, and their selected components. Journal of Agricultural and Food Chemistry. 2006;54(1):174–181. doi: 10.1021/jf0518610. [DOI] [PubMed] [Google Scholar]
- 23.Horváth B., Mukhopadhyay P., Kechrid M., et al. β-Caryophyllene ameliorates cisplatin-induced nephrotoxicity in a cannabinoid 2 receptor-dependent manner. Free Radical Biology & Medicine. 2012;52(8):1325–1333. doi: 10.1016/j.freeradbiomed.2012.01.014. [DOI] [PMC free article] [PubMed] [Google Scholar]
- 24.Mukhopadhyay P., Rajesh M., Pan H., et al. Cannabinoid-2 receptor limits inflammation, oxidative/nitrosative stress, and cell death in nephropathy. Free Radical Biology & Medicine. 2010;48(3):457–467. doi: 10.1016/j.freeradbiomed.2009.11.022. [DOI] [PMC free article] [PubMed] [Google Scholar]
- 25.Pacher P., Kunos G. Modulating the endocannabinoid system in human health and disease—successes and failures. The FEBS Journal. 2013;280(9):1918–1943. doi: 10.1111/febs.12260. [DOI] [PMC free article] [PubMed] [Google Scholar]
- 26.Chen X.-W., Di Y. M., Zhang J., Zhou Z.-W., Li C. G., Zhou S.-F. Interaction of herbal compounds with biological targets: a case study with berberine. The Scientific World Journal. 2012;2012:31. doi: 10.1100/2012/708292.708292 [DOI] [PMC free article] [PubMed] [Google Scholar]
- 27.Domitrović R., Cvijanović O., Pernjak-Pugel E., Škoda M., Mikelić L., Crnčević-Orlić Ž. Berberine exerts nephroprotective effect against cisplatin-induced kidney damage through inhibition of oxidative/nitrosative stress, inflammation, autophagy and apoptosis. Food and Chemical Toxicology. 2013;62:397–406. doi: 10.1016/j.fct.2013.09.003. [DOI] [PubMed] [Google Scholar]
- 28.Liu H., Baliga R. Cytochrome P450 2E1 null mice provide novel protection against cisplatin-induced nephrotoxicity and apoptosis. Kidney International. 2003;63(5):1687–1696. doi: 10.1046/j.1523-1755.2003.00908.x. [DOI] [PubMed] [Google Scholar]
- 29.Silva C. R., Antunes L. M. G., Bianchi M. D. L. P. Antioxidant action of bixin against cisplatin-induced chromosome aberrations and lipid peroxidation in rats. Pharmacological Research. 2001;43(6):561–566. doi: 10.1006/phrs.2001.0822. [DOI] [PubMed] [Google Scholar]
- 30.Dos Santos G. C., Mendonça L. M., Antonucci G. A., dos Santos A. C., Antunes L. M. G., Bianchi M. D. L. P. Protective effect of bixin on cisplatin-induced genotoxicity in PC12 cells. Food and Chemical Toxicology. 2012;50(2):335–340. doi: 10.1016/j.fct.2011.10.033. [DOI] [PubMed] [Google Scholar]
- 31.Fernández-Rojas B., Medina-Campos O. N., Hernández-Pando R., Negrette-Guzmán M., Huerta-Yepez S., Pedraza-Chaverri J. C-Phycocyanin prevents cisplatin-induced nephrotoxicity through inhibition of oxidative stress. Food and Function. 2014;5(3):480–490. doi: 10.1039/c3fo60501a. [DOI] [PubMed] [Google Scholar]
- 32.Lim B. J., Jeong J. Y., Chang Y.-K., et al. C-phycocyanin attenuates cisplatin-induced nephrotoxicity in mice. Renal Failure. 2012;34(7):892–900. doi: 10.3109/0886022X.2012.690925. [DOI] [PubMed] [Google Scholar]
- 33.Özen S., Akyol Ö., Iraz M., et al. Role of caffeic acid phenethyl ester, an active component of propolis, against cisplatin-induced nephrotoxicity in rats. Journal of Applied Toxicology. 2004;24(1):27–35. doi: 10.1002/jat.941. [DOI] [PubMed] [Google Scholar]
- 34.Kart A., Cigremis Y., Karaman M., Ozen H. Caffeic acid phenethyl ester (CAPE) ameliorates cisplatin-induced hepatotoxicity in rabbit. Experimental and Toxicologic Pathology. 2010;62(1):45–52. doi: 10.1016/j.etp.2009.02.066. [DOI] [PubMed] [Google Scholar]
- 35.Mechoulam R., Peters M., Murillo-Rodriguez E., Hanuš L. O. Cannabidiol—recent advances. Chemistry & Biodiversity. 2007;4(8):1678–1692. doi: 10.1002/cbdv.200790147. [DOI] [PubMed] [Google Scholar]
- 36.Pan H., Mukhopadhyay P., Rajesh M., et al. Cannabidiol attenuates cisplatin-Lnduced nephrotoxicity by decreasing oxidative/nitrosative stress, inflammation, and cell death. Journal of Pharmacology and Experimental Therapeutics. 2009;328(3):708–714. doi: 10.1124/jpet.108.147181. [DOI] [PMC free article] [PubMed] [Google Scholar]
- 37.Szallasi A., Blumberg P. M. Vanilloid (capsaicin) receptors and mechanisms. Pharmacological Reviews. 1999;51(2):159–212. [PubMed] [Google Scholar]
- 38.Shimeda Y., Hirotani Y., Akimoto Y., et al. Protective effects of capsaicin against cisplatin-induced nephrotoxicity in rats. Biological & Pharmaceutical Bulletin. 2005;28(9):1635–1638. doi: 10.1248/bpb.28.1635. [DOI] [PubMed] [Google Scholar]
- 39.Jung S.-H., Kim H.-J., Oh G.-S., et al. Capsaicin ameliorates cisplatin-induced renal injury through induction of heme oxygenase-1. Molecules and Cells. 2014;37(3):234–240. doi: 10.14348/molcells.2014.2322. [DOI] [PMC free article] [PubMed] [Google Scholar]
- 40.Park M. K., Jo S. H., Lee H. J., et al. Novel suppressive effects of cardamonin on the activity and expression of transglutaminase-2 lead to blocking the migration and invasion of cancer cells. Life Sciences. 2013;92(2):154–160. doi: 10.1016/j.lfs.2012.11.009. [DOI] [PubMed] [Google Scholar]
- 41.El-Naga R. N. Pre-treatment with cardamonin protects against cisplatin-induced nephrotoxicity in rats: impact on NOX-1, inflammation and apoptosis. Toxicology and Applied Pharmacology. 2014;274(1):87–95. doi: 10.1016/j.taap.2013.10.031. [DOI] [PubMed] [Google Scholar]
- 42.Wei Z., Yang J., Xia Y.-F., Huang W.-Z., Wang Z.-T., Dai Y. Cardamonin protects septic mice from acute lung injury by preventing endothelial barrier dysfunction. Journal of Biochemical and Molecular Toxicology. 2012;26(7):282–290. doi: 10.1002/jbt.21420. [DOI] [PubMed] [Google Scholar]
- 43.Kim Y.-J., Ko H., Park J.-S., et al. Dimethyl cardamonin inhibits lipopolysaccharide-induced inflammatory factors through blocking NF-κB p65 activation. International Immunopharmacology. 2010;10(9):1127–1134. doi: 10.1016/j.intimp.2010.06.017. [DOI] [PubMed] [Google Scholar]
- 44.Lee J.-H., Haeng S. J., Phan M. G., et al. Blockade of nuclear factor-κB signaling pathway and anti-inflammatory activity of cardamomin, a chalcone analog from Alpinia conchigera . The Journal of Pharmacology and Experimental Therapeutics. 2006;316(1):271–278. doi: 10.1124/jpet.105.092486. [DOI] [PubMed] [Google Scholar]
- 45.Sahu B. D., Rentam K. K. R., Putcha U. K., Kuncha M., Vegi G. M. N., Sistla R. Carnosic acid attenuates renal injury in an experimental model of rat cisplatin-induced nephrotoxicity. Food and Chemical Toxicology. 2011;49(12):3090–3097. doi: 10.1016/j.fct.2011.08.018. [DOI] [PubMed] [Google Scholar]
- 46.Cho H., Yun C.-W., Park W.-K., et al. Modulation of the activity of pro-inflammatory enzymes, COX-2 and iNOS, by chrysin derivatives. Pharmacological Research. 2004;49(1):37–43. doi: 10.1016/S1043-6618(03)00248-2. [DOI] [PubMed] [Google Scholar]
- 47.Sultana S., Verma K., Khan R. Nephroprotective efficacy of chrysin against cisplatin-induced toxicity via attenuation of oxidative stress. Journal of Pharmacy and Pharmacology. 2012;64(6):872–881. doi: 10.1111/j.2042-7158.2012.01470.x. [DOI] [PubMed] [Google Scholar]
- 48.Khan R., Khan A. Q., Qamar W., et al. Chrysin abrogates cisplatin-induced oxidative stress, p53 expression, goblet cell disintegration and apoptotic responses in the jejunum of Wistar rats. British Journal of Nutrition. 2012;108(9):1574–1585. doi: 10.1017/S0007114511007239. [DOI] [PubMed] [Google Scholar]
- 49.El-Sayed E.-S. M., Abd El-Raouf O. M., Fawzy H. M., Manie M. F. Comparative study of the possible protective effects of cinnamic acid and cinnamaldehyde on cisplatin-induced nephrotoxicity in rats. Journal of Biochemical and Molecular Toxicology. 2013;27(12):508–514. doi: 10.1002/jbt.21515. [DOI] [PubMed] [Google Scholar]
- 50.Ali B. H., Marrif H., Noureldayem S. A., Bakheit A. O., Blundene G. Some biological properties of curcumin: a review. Natural Product Communications. 2006;1(6):509–521. [Google Scholar]
- 51.Antunes L. M. G., Darin J. D. C., Bianchi M. D. L. P. Effects of the antioxidants curcumin or selenium on cisplatin-induced nephrotoxicity and lipid peroxidation in rats. Pharmacological Research. 2001;43(2):145–150. doi: 10.1006/phrs.2000.0724. [DOI] [PubMed] [Google Scholar]
- 52.Kuhad A., Pilkhwal S., Sharma S., Tirkey N., Chopra K. Effect of curcumin on inflammation and oxidative stress in cisplatin-induced experimental nephrotoxicity. Journal of Agricultural and Food Chemistry. 2007;55(25):10150–10155. doi: 10.1021/jf0723965. [DOI] [PubMed] [Google Scholar]
- 53.Waly M. I., Al Moundhri M. S., Ali B. H. Effect of curcumin on cisplatin- and oxaliplatin-induced oxidative stress in human embryonic kidney (HEK) 293 cells. Renal Failure. 2011;33(5):518–523. doi: 10.3109/0886022X.2011.577546. [DOI] [PubMed] [Google Scholar]
- 54.Ueki M., Ueno M., Morishita J., Maekawa N. Curcumin ameliorates cisplatin-induced nephrotoxicity by inhibiting renal inflammation in mice. Journal of Bioscience and Bioengineering. 2013;115(5):547–551. doi: 10.1016/j.jbiosc.2012.11.007. [DOI] [PubMed] [Google Scholar]
- 55.Trujillo J., Chirino Y. I., Molina-Jijón E., Andérica-Romero A. C., Tapia E., Pedraza-Chaverrí J. Renoprotective effect of the antioxidant curcumin: recent findings. Redox Biology. 2013;1(1):448–456. doi: 10.1016/j.redox.2013.09.003. [DOI] [PMC free article] [PubMed] [Google Scholar]
- 56.Ugur S., Ulu R., Dogukan A., et al. The renoprotective effect of curcumin in cisplatin-induced nephrotoxicity. Renal Failure. 2015;37(2):332–336. doi: 10.3109/0886022X.2014.986005. [DOI] [PubMed] [Google Scholar]
- 57.Bagchi D., Garg A., Krohn R. L. Protective effects of grape seed proanthocyanidins and selected antioxidants against TPA-induced hepatic and brain lipid peroxidation and DNA fragmentation, and peritoneal macrophage activation in mice. General Pharmacology. 1998;30(5):771–776. doi: 10.1016/s0306-3623(97)00332-7. [DOI] [PubMed] [Google Scholar]
- 58.Gao S., Chen T., Choi M.-Y., Liang Y., Xue J., Wong Y.-S. Cyanidin reverses cisplatin-induced apoptosis in HK-2 proximal tubular cells through inhibition of ROS-mediated DNA damage and modulation of the ERK and AKT pathways. Cancer Letters. 2013;333(1):36–46. doi: 10.1016/j.canlet.2012.12.029. [DOI] [PubMed] [Google Scholar]
- 59.Kim J. H., Jeong S.-J., Kwon H.-Y., et al. Decursin prevents cisplatin-induced apoptosis via the enhancement of antioxidant enzymes in human renal epithelial cells. Biological and Pharmaceutical Bulletin. 2010;33(8):1279–1284. doi: 10.1248/bpb.33.1279. [DOI] [PubMed] [Google Scholar]
- 60.Jiang Cheng-Zhe H. I., Seyoung C. Seyoung: Decursin mediated protection on cisplatin-induced nephrotoxicity in SD Rats and BDF1 mice. Journal of Northeast Agricultural University. 2012;19(1):50–56. doi: 10.1016/s1006-8104(12)60038-5. [DOI] [Google Scholar]
- 61.Zhang J., Li L., Hale T. W., et al. Single oral dose pharmacokinetics of decursin and decursinol angelate in healthy adult men and women. PLoS ONE. 2015;10(2) doi: 10.1371/journal.pone.0114992.e0114992 [DOI] [PMC free article] [PubMed] [Google Scholar]
- 62.Wang R.-F., Xie W.-D., Zhang Z., et al. Bioactive compounds from the seeds of Punica granatum (pomegranate) Journal of Natural Products. 2004;67(12):2096–2098. doi: 10.1021/np0498051. [DOI] [PubMed] [Google Scholar]
- 63.Al-Kharusi N., Babiker H. A., Al-Salam S., et al. Ellagic acid protects against cisplatin-induced nephrotoxicity in rats: a dose-dependent study. European Review for Medical and Pharmacological Sciences. 2013;17(3):299–310. [PubMed] [Google Scholar]
- 64.El-Garhy A. M., Abd El-Raouf O. M., El-Sayeh B. M., Fawzy H. M., Abdallah D. M. Ellagic acid antiinflammatory and antiapoptotic potential mediate renoprotection in cisplatin nephrotoxic rats. Journal of Biochemical and Molecular Toxicology. 2014;28(10):472–479. doi: 10.1002/jbt.21587. [DOI] [PubMed] [Google Scholar]
- 65.Ateşşahín A., Çeríbaşi A. O., Yuce A., Bulmus Ö., Çikim G. Role of ellagic acid against cisplatin-induced nephrotoxicity and oxidative stress in rats. Basic & Clinical Pharmacology & Toxicology. 2007;100(2):121–126. doi: 10.1111/j.1742-7843.2006.00015.x. [DOI] [PubMed] [Google Scholar]
- 66.Chang Y.-C., Lai T.-Y., Yu C.-S., et al. Emodin induces apoptotic death in murine myelomonocytic leukemia WEHI-3 cells in vitro and enhances phagocytosis in leukemia mice in vivo. Evidence-Based Complementary and Alternative Medicine. 2011;2011:13. doi: 10.1155/2011/523596.523596 [DOI] [PMC free article] [PubMed] [Google Scholar]
- 67.Yon J.-M., Baek I.-J., Lee B. J., Yun Y. W., Nam S.-Y. Emodin and [6]-gingerol lessen hypoxia-induced embryotoxicities in cultured mouse whole embryos via upregulation of hypoxia-inducible factor 1α and intracellular superoxide dismutases. Reproductive Toxicology. 2011;31(4):513–518. doi: 10.1016/j.reprotox.2011.02.011. [DOI] [PubMed] [Google Scholar]
- 68.Waly M. I., Ali B. H., Al-Lawati I., Nemmar A. Protective effects of emodin against cisplatin-induced oxidative stress in cultured human kidney (HEK 293) cells. Journal of Applied Toxicology. 2013;33(7):626–630. doi: 10.1002/jat.1788. [DOI] [PubMed] [Google Scholar]
- 69.Ali B. H., Al-Salam S., Al Husseini I. S., et al. Abrogation of cisplatin-induced nephrotoxicity by emodin in rats. Fundamental & Clinical Pharmacology. 2013;27(2):192–200. doi: 10.1111/j.1472-8206.2011.01003.x. [DOI] [PubMed] [Google Scholar]
- 70.Bazzi C., Petrini C., Rizza V., et al. Urinary N-acetyl-β-glucosaminidase excretion is a marker of tubular cell dysfunction and a predictor of outcome in primary glomerulonephritis. Nephrology Dialysis Transplantation. 2002;17(11):1890–1896. doi: 10.1093/ndt/17.11.1890. [DOI] [PubMed] [Google Scholar]
- 71.Liu H., Gu L.-B., Tu Y., Hu H., Huang Y.-R., Sun W. Emodin ameliorates cisplatin-induced apoptosis of rat renal tubular cells in vitro by activating autophagy. Acta Pharmacologica Sinica. 2016;37(2):235–245. doi: 10.1038/aps.2015.114. [DOI] [PMC free article] [PubMed] [Google Scholar]
- 72.Sahin K., Tuzcu M., Gencoglu H., et al. Epigallocatechin-3-gallate activates Nrf2/HO-1 signaling pathway in cisplatin-induced nephrotoxicity in rats. Life Sciences. 2010;87(7-8):240–245. doi: 10.1016/j.lfs.2010.06.014. [DOI] [PubMed] [Google Scholar]
- 73.Pan H., Chen J., Shen K., et al. Mitochondrial modulation by epigallocatechin 3-gallate ameliorates cisplatin induced renal injury through decreasing oxidative/nitrative stress, inflammation and NF-kB in mice. PLoS ONE. 2015;10(4) doi: 10.1371/journal.pone.0124775.e0124775 [DOI] [PMC free article] [PubMed] [Google Scholar]
- 74.Fatima S., Al-Mohaimeed N., Arjumand S., Banu N., Al-Jameil N., Al-Shaikh Y. Effect of pre- and post-combined multidoses of epigallocatechin gallate and coenzyme Q10 on cisplatin-induced oxidative stress in rat kidney. Journal of Biochemical and Molecular Toxicology. 2015;29(2):91–97. doi: 10.1002/jbt.21671. [DOI] [PubMed] [Google Scholar]
- 75.Chen B., Liu G., Zou P., et al. Epigallocatechin-3-gallate protects against cisplatin-induced nephrotoxicity by inhibiting endoplasmic reticulum stress-induced apoptosis. Experimental Biology and Medicine. 2015;240(11):1513–1519. doi: 10.1177/1535370215573394. [DOI] [PMC free article] [PubMed] [Google Scholar]
- 76.Zou P., Song J., Jiang B., et al. Epigallocatechin-3-gallate protects against cisplatin nephrotoxicity by inhibiting the apoptosis in mouse. International Journal of Clinical and Experimental Pathology. 2014;7(8):4607–4616. [PMC free article] [PubMed] [Google Scholar]
- 77.Sung M. J., Kim D. H., Jung Y. J., et al. Genistein protects the kidney from cisplatin-induced injury. Kidney International. 2008;74(12):1538–1547. doi: 10.1038/ki.2008.409. [DOI] [PubMed] [Google Scholar]
- 78.Baek S. H., Piao X. L., Lee U. J., Kim H. Y., Park J. H. Reduction of cisplatin-induced nephrotoxicity by ginsenosides isolated from processed ginseng in cultured renal tubular cells. Biological & Pharmaceutical Bulletin. 2006;29(10):2051–2055. doi: 10.1248/bpb.29.2051. [DOI] [PubMed] [Google Scholar]
- 79.Han M.-S., Han I.-H., Lee D., et al. Beneficial effects of fermented black ginseng and its ginsenoside 20(S)-Rg3 against cisplatin-induced nephrotoxicity in LLC-PK1 cells. Journal of Ginseng Research. 2016;40(2):135–140. doi: 10.1016/j.jgr.2015.06.006. [DOI] [PMC free article] [PubMed] [Google Scholar]
- 80.Park J. Y., Choi P., Kim T., et al. Protective effects of processed ginseng and its active ginsenosides on cisplatin-induced nephrotoxicity: in vitro and in vivo studies. Journal of Agricultural and Food Chemistry. 2015;63(25):5964–5969. doi: 10.1021/acs.jafc.5b00782. [DOI] [PubMed] [Google Scholar]
- 81.Rahman S., Sultana S. Glycyrrhizin exhibits potential chemopreventive activity on 12-O-tetradecanoyl phorbol-13-acetate-induced cutaneous oxidative stress and tumor promotion in Swiss albino mice. Journal of Enzyme Inhibition and Medicinal Chemistry. 2007;22(3):363–369. doi: 10.1080/14756360601074094. [DOI] [PubMed] [Google Scholar]
- 82.Arjumand W., Sultana S. Glycyrrhizic acid: a phytochemical with a protective role against cisplatin-induced genotoxicity and nephrotoxicity. Life Sciences. 2011;89(13-14):422–429. doi: 10.1016/j.lfs.2011.06.016. [DOI] [PubMed] [Google Scholar]
- 83.Baltina L. A. Chemical modification of glycyrrhizic acid as a route to new bioactive compounds for medicine. Current Medicinal Chemistry. 2003;10(2):155–171. doi: 10.2174/0929867033368538. [DOI] [PubMed] [Google Scholar]
- 84.Wu C.-H., Chen A.-Z., Yen G.-C. Protective effects of glycyrrhizic acid and 18β-glycyrrhetinic acid against cisplatin-induced nephrotoxicity in BALB/c mice. Journal of Agricultural and Food Chemistry. 2015;63(4):1200–1209. doi: 10.1021/jf505471a. [DOI] [PubMed] [Google Scholar]
- 85.Sahu B. D., Kuncha M., Sindhura G. J., Sistla R. Hesperidin attenuates cisplatin-induced acute renal injury by decreasing oxidative stress, inflammation and DNA damage. Phytomedicine. 2013;20(5):453–460. doi: 10.1016/j.phymed.2012.12.001. [DOI] [PubMed] [Google Scholar]
- 86.Kamel K. M., Abd El-Raouf O. M., Metwally S. A., Abd El-Latif H. A., El-sayed M. E. Hesperidin and rutin, antioxidant citrus flavonoids, attenuate cisplatin-induced nephrotoxicity in rats. Journal of Biochemical and Molecular Toxicology. 2014;28(7):312–319. doi: 10.1002/jbt.21567. [DOI] [PubMed] [Google Scholar]
- 87.Lee C. K., Son S. H., Park K. K., Park J. H. Y., Lim S. S., Chung W. Y. Isoliquiritigenin inhibits tumor growth and protects the kidney and liver against chemotherapy-induced toxicity in a mouse xenograft model of colon carcinoma. Journal of Pharmacological Sciences. 2008;106(3):444–451. doi: 10.1254/jphs.fp0071498. [DOI] [PubMed] [Google Scholar]
- 88.Haraguchi H., Ishikawa H., Mizutani K., Tamura Y., Kinoshita T. Antioxidative and superoxide scavenging activities of retrochalcones in Glycyrrhiza inflata . Bioorganic & Medicinal Chemistry. 1998;6(3):339–347. doi: 10.1016/s0968-0896(97)10034-7. [DOI] [PubMed] [Google Scholar]
- 89.Lee C. K., Son S. H., Park K. K., et al. Licochalcone a inhibits the growth of colon carcinoma and attenuates cisplatin-induced toxicity without a loss of chemotherapeutic efficacy in mice. Basic and Clinical Pharmacology and Toxicology. 2008;103(1):48–54. doi: 10.1111/j.1742-7843.2008.00238.x. [DOI] [PubMed] [Google Scholar]
- 90.Liu X.-H., Li J., Li Q.-X., Ai Y.-X., Zhang L. Protective effects of ligustrazine on cisplatin-induced oxidative stress, apoptosis and nephrotoxicity in rats. Environmental Toxicology and Pharmacology. 2008;26(1):49–55. doi: 10.1016/j.etap.2008.01.006. [DOI] [PubMed] [Google Scholar]
- 91.Li L. L., Zhang Z. R., Gong T., He L. L., Deng L. Simultaneous determination of Gastrodin and Ligustrazine hydrochloride in dog plasma by gradient high-performance liquid chromatography. Journal of Pharmaceutical and Biomedical Analysis. 2006;41(4):1083–1087. doi: 10.1016/j.jpba.2006.02.023. [DOI] [PubMed] [Google Scholar]
- 92.Domitrović R., Cvijanović O., Pugel E. P., Zagorac G. B., Mahmutefendić H., Škoda M. Luteolin ameliorates cisplatin-induced nephrotoxicity in mice through inhibition of platinum accumulation, inflammation and apoptosis in the kidney. Toxicology. 2013;310:115–123. doi: 10.1016/j.tox.2013.05.015. [DOI] [PubMed] [Google Scholar]
- 93.Kang K. P., Park S. K., Kim D. H., et al. Luteolin ameliorates cisplatin-induced acute kidney injury in mice by regulation of p53-dependent renal tubular apoptosis. Nephrology Dialysis Transplantation. 2011;26(3):814–822. doi: 10.1093/ndt/gfq528. [DOI] [PubMed] [Google Scholar]
- 94.Sahin K., Sahin N., Kucuk O. Lycopene and chemotherapy toxicity. Nutrition and Cancer. 2010;62(7):988–995. doi: 10.1080/01635581.2010.509838. [DOI] [PubMed] [Google Scholar]
- 95.Kucuk O., Sarkar F. H., Sakr W., et al. Phase II randomized clinical trial of lycopene supplementation before radical prostatectomy. Cancer Epidemiology Biomarkers and Prevention. 2001;10(8):861–868. [PubMed] [Google Scholar]
- 96.Sahin K., Tuzcu M., Sahin N., Ali S., Kucuk O. Nrf2/HO-1 signaling pathway may be the prime target for chemoprevention of cisplatin-induced nephrotoxicity by lycopene. Food and Chemical Toxicology. 2010;48(10):2670–2674. doi: 10.1016/j.fct.2010.06.038. [DOI] [PubMed] [Google Scholar]
- 97.Dogukan A., Tuzcu M., Agca C. A., et al. A tomato lycopene complex protects the kidney from cisplatin-induced injury via affecting oxidative stress as well as Bax, Bcl-2, and HSPs expression. Nutrition and Cancer. 2011;63(3):427–434. doi: 10.1080/01635581.2011.535958. [DOI] [PubMed] [Google Scholar]
- 98.Atessahin A., Yilmaz S., Karahan I., Ceribasi A. O., Karaoglu A. Effects of lycopene against cisplatin-induced nephrotoxicity and oxidative stress in rats. Toxicology. 2005;212(2-3):116–123. doi: 10.1016/j.tox.2005.04.016. [DOI] [PubMed] [Google Scholar]
- 99.Erman F., Tuzcu M., Orhan C., Sahin N., Sahin K. Effect of lycopene against cisplatin-induced acute renal injury in rats: organic anion and cation transporters evaluation. Biological Trace Element Research. 2014;158(1):90–95. doi: 10.1007/s12011-014-9914-x. [DOI] [PubMed] [Google Scholar]
- 100.Kawaii S., Tomono Y., Katase E., et al. Quantitative study of flavonoids in leaves of Citrus plants. Journal of Agricultural and Food Chemistry. 2000;48(9):3865–3871. doi: 10.1021/jf000100o. [DOI] [PubMed] [Google Scholar]
- 101.Badary O. A., Abdel-Maksoud S., Ahmed W. A., Owieda G. H. Naringenin attenuates cisplatin nephrotoxicity in rats. Life Sciences. 2005;76(18):2125–2135. doi: 10.1016/j.lfs.2004.11.005. [DOI] [PubMed] [Google Scholar]
- 102.Lee H., Lee G., Kim H., Bae H. Paeonol, a major compound of moutan cortex, attenuates Cisplatin-induced nephrotoxicity in mice. Evidence-Based Complementary and Alternative Medicine. 2013;2013:7. doi: 10.1155/2013/310989.310989 [DOI] [PMC free article] [PubMed] [Google Scholar]
- 103.Chung H.-S., Kang M., Cho C., et al. Inhibition of nitric oxide and tumor necrosis factor-alpha by moutan cortex in activated mouse peritoneal macrophages. Biological and Pharmaceutical Bulletin. 2007;30(5):912–916. doi: 10.1248/bpb.30.912. [DOI] [PubMed] [Google Scholar]
- 104.Hofmann A. S., Gross G. G. Biosynthesis of gallotannins: formation of polygalloylglucoses by enzymatic acylation of 1,2,3,4,6-penta-O-galloylglucose. Archives of Biochemistry and Biophysics. 1990;283(2):530–532. doi: 10.1016/0003-9861(90)90678-r. [DOI] [PubMed] [Google Scholar]
- 105.Dörrenhaus A., Müller J. I. F., Golka K., Jedrusik P., Schulze H., Föllmann W. Cultures of exfoliated epithelial cells from different locations of the human urinary tract and the renal tubular system. Archives of Toxicology. 2000;74(10):618–626. doi: 10.1007/s002040000173. [DOI] [PubMed] [Google Scholar]
- 106.Ryu H.-G., Jeong S.-J., Kwon H.-Y., et al. Penta-O-galloyl-β-D-glucose attenuates cisplatin-induced nephrotoxicity via reactive oxygen species reduction in renal epithelial cells and enhances antitumor activity in Caki-2 renal cancer cells. Toxicology in Vitro. 2012;26(2):206–214. doi: 10.1016/j.tiv.2011.11.012. [DOI] [PubMed] [Google Scholar]
- 107.Ahn K. S., Noh E. J., Zhao H. L., Jung S. H., Kang S. S., Kim Y. S. Inhibition of inducible nitric oxide synthase and cyclooxygenase II by Platycodon grandiflorum saponins via suppression of nuclear factor-κB activation in RAW 264.7 cells. Life Sciences. 2005;76(20):2315–2328. doi: 10.1016/j.lfs.2004.10.042. [DOI] [PubMed] [Google Scholar]
- 108.Kim T.-W., Song I.-B., Lee H.-K., et al. Platycodin D, a triterpenoid sapoinin from Platycodon grandiflorum, ameliorates cisplatin-induced nephrotoxicity in mice. Food and Chemical Toxicology. 2012;50(12):4254–4259. doi: 10.1016/j.fct.2012.05.022. [DOI] [PubMed] [Google Scholar]
- 109.Boots A. W., Haenen G. R. M. M., Bast A. Health effects of quercetin: from antioxidant to nutraceutical. European Journal of Pharmacology. 2008;585(2-3):325–337. doi: 10.1016/j.ejphar.2008.03.008. [DOI] [PubMed] [Google Scholar]
- 110.Almaghrabi O. A. Molecular and biochemical investigations on the effect of quercetin on oxidative stress induced by cisplatin in rat kidney. Saudi Journal of Biological Sciences. 2015;22(2):227–231. doi: 10.1016/j.sjbs.2014.12.008. [DOI] [PMC free article] [PubMed] [Google Scholar]
- 111.Coletta Francescato H. D., Coimbra T. M., Costa R. S., Bianchi M. D. L. P. Protective effect of quercetin on the evolution of cisplatin-induced acute tubular necrosis. Kidney and Blood Pressure Research. 2004;27(3):148–158. doi: 10.1159/000078309. [DOI] [PubMed] [Google Scholar]
- 112.Behling E. B., Sendão M. C., Francescato H. D. C., Antunes L. M. G., Costa R. S., Bianchi M. D. L. P. Comparative study of multiple dosage of quercetin against cisplatin-induced nephrotoxicity and oxidative stress in rat kidneys. Pharmacological Reports. 2006;58(4):526–532. [PubMed] [Google Scholar]
- 113.Aldemir M., Okulu E., Kösemehmetoğlu K., et al. Evaluation of the protective effect of quercetin against cisplatin-induced renal and testis tissue damage and sperm parameters in rats. Andrologia. 2014;46(10):1089–1097. doi: 10.1111/and.12197. [DOI] [PubMed] [Google Scholar]
- 114.Rimando A. M., Kalt W., Magee J. B., Dewey J., Ballington J. R. Resveratrol, pterostilbene, and piceatannol in Vaccinium berries. Journal of Agricultural and Food Chemistry. 2004;52(15):4713–4719. doi: 10.1021/jf040095e. [DOI] [PubMed] [Google Scholar]
- 115.Osman A.-M. M., Telity S. A., Damanhouri Z. A., et al. Chemosensitizing and nephroprotective effect of resveratrol in cisplatin-treated animals. Cancer Cell International. 2015;15, article 6 doi: 10.1186/s12935-014-0152-2. [DOI] [PMC free article] [PubMed] [Google Scholar]
- 116.Kim D. H., Jung Y. J., Lee J. E., et al. Sirt1 activation by resveratrol ameliorates cisplatin-induced renal injury through deacetylation of p53. American Journal of Physiology—Renal Physiology. 2011;301(2):F427–F435. doi: 10.1152/ajprenal.00258.2010. [DOI] [PubMed] [Google Scholar]
- 117.Valentovic M. A., Ball J. G., Mike Brown J., et al. Resveratrol attenuates cisplatin renal cortical cytotoxicity by modifying oxidative stress. Toxicology in Vitro. 2014;28(2):248–257. doi: 10.1016/j.tiv.2013.11.001. [DOI] [PMC free article] [PubMed] [Google Scholar]
- 118.Do Amaral C. L., Francescato H. D. C., Coimbra T. M., et al. Resveratrol attenuates cisplatin-induced nephrotoxicity in rats. Archives of Toxicology. 2008;82(6):363–370. doi: 10.1007/s00204-007-0262-x. [DOI] [PubMed] [Google Scholar]
- 119.Petersen M., Simmonds M. S. J. Rosmarinic acid. Phytochemistry. 2003;62(2):121–125. doi: 10.1016/S0031-9422(02)00513-7. [DOI] [PubMed] [Google Scholar]
- 120.Domitrović R., Potočnjak I., Crnčević-Orlić Ž., Škoda M. Nephroprotective activities of rosmarinic acid against cisplatin-induced kidney injury in mice. Food and Chemical Toxicology. 2014;66:321–328. doi: 10.1016/j.fct.2014.02.002. [DOI] [PubMed] [Google Scholar]
- 121.Habtemariam S., Lentini G. The therapeutic potential of rutin for diabetes: an update. Mini-Reviews in Medicinal Chemistry. 2015;15(7):524–528. doi: 10.2174/138955751507150424103721. [DOI] [PubMed] [Google Scholar]
- 122.Arjumand W., Seth A., Sultana S. Rutin attenuates cisplatin induced renal inflammation and apoptosis by reducing NFκB, TNF-α and caspase-3 expression in wistar rats. Food and Chemical Toxicology. 2011;49(9):2013–2021. doi: 10.1016/j.fct.2011.05.012. [DOI] [PubMed] [Google Scholar]
- 123.Panossian A., Wikman G. Pharmacology of Schisandra chinensis Bail.: an overview of Russian research and uses in medicine. Journal of Ethnopharmacology. 2008;118(2):183–212. doi: 10.1016/j.jep.2008.04.020. [DOI] [PubMed] [Google Scholar]
- 124.Giridharan V. V., Thandavarayan R. A., Bhilwade H. N., Ko K. M., Watanabe K., Konishi T. Schisandrin B, attenuates cisplatin-induced oxidative stress, genotoxicity and neurotoxicity through modulating NF-κB pathway in mice. Free Radical Research. 2012;46(1):50–60. doi: 10.3109/10715762.2011.638291. [DOI] [PubMed] [Google Scholar]
- 125.Li M., Jin J., Li J., et al. Schisandrin B protects against nephrotoxicity induced by cisplatin in HK-2 cells via Nrf2-ARE activation. Acta Pharmaceutica Sinica. 2012;47(11):1434–1439. [PubMed] [Google Scholar]
- 126.Surai P. Silymarin as a natural antioxidant: an overview of the current evidence and perspectives. Antioxidants. 2015;4(1):204–247. doi: 10.3390/antiox4010204. [DOI] [PMC free article] [PubMed] [Google Scholar]
- 127.Gaedeke J., Fels L. M., Bokemeyer C., Mengs U., Stolte H., Lentzen H. Cisplatin nephrotoxicity and protection by silibinin. Nephrology Dialysis Transplantation. 1996;11(1):55–62. doi: 10.1093/oxfordjournals.ndt.a027066. [DOI] [PubMed] [Google Scholar]
- 128.Bokemeyer C., Fels L. M., Dunn T., et al. Silibinin protects against cisplatin-induced nephrotoxicity without compromising cisplatin or ifosfamide anti-tumour activity. British Journal of Cancer. 1996;74(12):2036–2041. doi: 10.1038/bjc.1996.673. [DOI] [PMC free article] [PubMed] [Google Scholar]
- 129.Fahey J. W., Talalay P. Antioxidant functions of sulforaphane: a potent inducer of phase II detoxication enzymes. Food and Chemical Toxicology. 1999;37(9-10):973–979. doi: 10.1016/s0278-6915(99)00082-4. [DOI] [PubMed] [Google Scholar]
- 130.Guerrero-Beltrán C. E., Calderón-Oliver M., Tapia E., et al. Sulforaphane protects against cisplatin-induced nephrotoxicity. Toxicology Letters. 2010;192(3):278–285. doi: 10.1016/j.toxlet.2009.11.007. [DOI] [PubMed] [Google Scholar]
- 131.Gaona-Gaona L., Molina-Jijón E., Tapia E., et al. Protective effect of sulforaphane pretreatment against cisplatin-induced liver and mitochondrial oxidant damage in rats. Toxicology. 2011;286(1–3):20–27. doi: 10.1016/j.tox.2011.04.014. [DOI] [PubMed] [Google Scholar]
- 132.Kim T., Kim Y.-J., Han I.-H., et al. The synthesis of sulforaphane analogues and their protection effect against cisplatin induced cytotoxicity in kidney cells. Bioorganic & Medicinal Chemistry Letters. 2015;25(1):62–66. doi: 10.1016/j.bmcl.2014.11.014. [DOI] [PubMed] [Google Scholar]
- 133.Okuda T., Yoshida T., Hatano T. Hydrolyzable tannins and related polyphenols. Progress in the Chemistry of Organic Natural Products. 1995;66:1–117. doi: 10.1007/978-3-7091-9363-1_1. [DOI] [PubMed] [Google Scholar]
- 134.Cowan M. M. Plant products as antimicrobial agents. Clinical Microbiology Reviews. 1999;12(4):564–582. doi: 10.1128/cmr.12.4.564. [DOI] [PMC free article] [PubMed] [Google Scholar]
- 135.Yokozawa T., Nakagawa T., Lee K. I., Cho E. J., Terasawa K., Takeuchi S. Effects of green tea tannin on cisplatin-induced nephropathy in LLC-PK1 cells and rats. The Journal of Pharmacy and Pharmacology. 1999;51(11):1325–1331. doi: 10.1211/0022357991776912. [DOI] [PubMed] [Google Scholar]
- 136.Ahmad S. T., Sultana S. Tannic acid mitigates cisplatin-induced nephrotoxicity in mice. Human & Experimental Toxicology. 2012;31(2):145–156. doi: 10.1177/0960327111414282. [DOI] [PubMed] [Google Scholar]
- 137.Sun Y., Zhang T., Wang B., Li H., Li P. Tannic acid, an inhibitor of poly(ADP-ribose) glycohydrolase, sensitizes ovarian carcinoma cells to cisplatin. Anti-Cancer Drugs. 2012;23(9):979–990. doi: 10.1097/CAD.0b013e328356359f. [DOI] [PubMed] [Google Scholar]
- 138.Tikoo K., Bhatt D. K., Gaikwad A. B., Sharma V., Kabra D. G. Differential effects of tannic acid on cisplatin induced nephrotoxicity in rats. FEBS Letters. 2007;581(10):2027–2035. doi: 10.1016/j.febslet.2007.04.036. [DOI] [PubMed] [Google Scholar]
- 139.Badary O. A., Nagi M. N., Al-Shabanah O. A., Al-Sawaf H. A., Al-Sohaibani M. O., Al-Bekairi A. M. Thymoquinone ameliorates the nephrotoxicity induced by cisplatin in rodents and potentiates its antitumor activity. Canadian Journal of Physiology and Pharmacology. 1997;75(12):1356–1361. doi: 10.1139/cjpp-75-12-1356. [DOI] [PubMed] [Google Scholar]
- 140.Huang Q., Dunn R. T., II, Jayadev S., et al. Assessment of cisplatin-induced nephrotoxicity by microarray technology. Toxicological Sciences. 2001;63(2):196–207. doi: 10.1093/toxsci/63.2.196. [DOI] [PubMed] [Google Scholar]
- 141.Ulu R., Dogukan A., Tuzcu M., et al. Regulation of renal organic anion and cation transporters by thymoquinone in cisplatin induced kidney injury. Food and Chemical Toxicology. 2012;50(5):1675–1679. doi: 10.1016/j.fct.2012.02.082. [DOI] [PubMed] [Google Scholar]
- 142.Itokawa H., Hirayama F., Funakoshi K., Takeya K. Studies on the antitumor bisabolane sesquiterpenoids isolated from Curcuma xanthorrhiza . Chemical & Pharmaceutical Bulletin. 1985;33(8):3488–3492. doi: 10.1248/cpb.33.3488. [DOI] [PubMed] [Google Scholar]
- 143.Kim S. H., Hong K. O., Hwang J. K., Park K.-K. Xanthorrhizol has a potential to attenuate the high dose cisplatin-induced nephrotoxicity in mice. Food and Chemical Toxicology. 2005;43(1):117–122. doi: 10.1016/j.fct.2004.08.018. [DOI] [PubMed] [Google Scholar]
- 144.Kyoung O. H., Jae K. H., Park K.-K., Kim S. H. Phosphorylation of c-Jun N-terminal Kinases (JNKs) is involved in the preventive effect of xanthorrhizol on cisplatin-induced hepatotoxicity. Archives of Toxicology. 2005;79(4):231–236. doi: 10.1007/s00204-004-0623-7. [DOI] [PubMed] [Google Scholar]
- 145.El-Ghiaty M. A., Ibrahim O. M. H., Abdou S. M., Hussein F. Z. Evaluation of the protective effect of Cystone® against cisplatin-induced nephrotoxicity in cancer patients, and its influence on cisplatin antitumor activity. International Urology and Nephrology. 2014;46(7):1367–1373. doi: 10.1007/s11255-014-0644-y. [DOI] [PubMed] [Google Scholar]
- 146.Anand P., Kunnumakkara A. B., Newman R. A., Aggarwal B. B. Bioavailability of curcumin: problems and promises. Molecular Pharmaceutics. 2007;4(6):807–818. doi: 10.1021/mp700113r. [DOI] [PubMed] [Google Scholar]
- 147.Novelle M. G., Wahl D., Diéguez C., Bernier M., De Cabo R. Resveratrol supplementation: where are we now and where should we go? Ageing Research Reviews. 2015;21:1–15. doi: 10.1016/j.arr.2015.01.002. [DOI] [PMC free article] [PubMed] [Google Scholar]
- 148.Sanchez-Gonzalez P. D., Lopez-Hernandez F. J., Perez-Barriocanal F., Morales A. I., Lopez-Novoa J. M. Quercetin reduces cisplatin nephrotoxicity in rats without compromising its anti-tumour activity. Nephrology Dialysis Transplantation. 2011;26(11):3484–3495. doi: 10.1093/ndt/gfr195. [DOI] [PubMed] [Google Scholar]

