Abstract
In the last two decades, the repertoire of clinically effective antibacterials is shrinking due to the rapidly increasing of multi-drug-resistant pathogenic bacteria. New chemical classes with innovative mode of action are required to prevent a return to the pre-antibiotic era. We have recently reported the identification of a series of linear guanidine derivatives and their antibacterial properties. A batch of a promising candidate for optimization studies (compound 1) turned out to be a mixture containing two unknown species with a better biological activity than the pure compound. This serendipitous discovery led us to investigate the chemical nature of the unknown components of the mixture. Through MS analysis coupled with design and synthesis we found that the components were spontaneously generated oligomers of the original compound. Preliminary biological evaluations eventually confirmed the broad-spectrum antibacterial activity of this new family of molecules. Interestingly the symmetric dimeric derivative (2) exhibited the best profile and it was selected as lead compound for further studies.
Introduction
Bacterial resistance to antibiotics currently represents one of the most relevant threat to global public health1 and is responsible for 700,000 deaths every year worldwide2. Moreover, the development of new antibiotics, especially active against Gram-negative pathogens, significantly decreased in the last two decades3–8. Several factors contributing to the present paucity of new antibacterial were evoked, including poor economic returns9, limited throughput of increasingly challenging drug discovery programmes10 and the complexity of the regulatory process to obtain drug approval6, 11–13. Consequently, few new antibacterials with novel mechanisms of action have been approved by FDA during the last 20 years, for example linezolid in 200014, daptomycin in 200315 and ceftaroline fosamil in 201016, all being active only against Gram-positive pathogens17–20. The rapid evolution of relevant Gram-negative pathogens (Klebsiella pneumoniae, Pseudomonas aeruginosa and Acinetobacter baumannii) exhibiting extensively drug- and pandrug-resistance phenotypes ultimately limits the efficacy of most available antibiotics, including the life-saving carbapenems and colistin4, 21–27. In the frame of this unprecedented “antibiotic crisis”28, and to avoid a return to the pre-antibiotic era, the discovery and development of new active antibacterials, belonging to novel chemical classes, is urgently needed1, 29.
It is known that many compounds which show a significant antibacterial activity are characterized by the presence of one or more guanidine functions in their structure30–32. At physiological pH, the guanidine moiety carries a positive charge33 and the supposed mechanism of action involves an electrostatic interaction between the negatively charged bacterial cell surface and the positively charged compounds, potentially resulting in disruption of the bacterial membrane integrity. The increased membrane permeability thus leads to lysis and cell death30. Amphiphilic molecules with a hydrophobic surface and a net positive charge are called CADs or CAPs (Cationic Amphiphilic Drugs or Peptides) and act through the above described interaction, inducing an alteration of phospholipids storage34–36.
In our previous work, we reported the synthesis and the biological evaluation of a series of linear alkyl-biguanylated compounds showing a subnanomolar affinity (K i ranging from 0.08 to 3.00 nM) as competitive inhibitors of Maize polyamine oxidase (PAO). The selective binding with this enzyme plays a crucial role in the inhibition of cell proliferation, in particular in tumor cell lines37.
Considering this important correlation between the guanidine moiety and the antimicrobial properties, we decided to evaluate the antibacterial profile of some of the above mentioned anti-PAO derivatives. The activity of some selected molecules was tested on a panel of different bacteria, including representatives of both Gram-positive and Gram-negative organisms and clinical isolates, allowing the identification of compound 1 (Fig. 1) as promising candidate for further development. Interestingly, it exhibited a potent antibacterial activity on Gram-positive strains with MIC values ranging from 0.12 to 4 µg/mL and a remarkable activity on multi-drug resistant clinical isolates of E. cloacae and A. baumannii (MIC values of 2 and 4 µg/mL respectively)38.
Figure 1.

Structures of compound 1 and of the dimers (symmetric and asymmetric: 2 and 3 respectively) and trimers (symmetric and asymmetric: 4 and 5 respectively) studied in this work.
In order to perform further analysis on compound 1, a new synthetic strategy (“Chemistry”) has been set up to overcome the withdrawal from the market of some commercial starting materials. The biological assays conducted on all the newly synthesized batches of compound 1 surprisingly showed a significantly lower antibacterial activity, when compared to that of the original batch of compound 1 38. In the light of these results, we turned our attention to this first batch to understand the reason of its higher activity. By means of analytical procedures (HPLC-MS) carried out on this sample, it emerged that it actually consisted of a multicomponent mixture including three different chemical identities. Initial attempts to separate the main components of the mixture with previously optimized HPLC-MS protocols did not allow a complete separation of all species but successfully separate only compound 1 from the other analytes that were collected together and tested, revealing to have the better activity profile. Hence, we investigated about their chemical nature and through accurate mass measurements and MSn experiments, we hypothesized that they could be dimer and trimer of compound 1. We designed two possible isomers for each oligomer, as reported in Fig. 1 39. At least, dimers (2 and 3) and trimers (4 and 5) have been synthesized and tested separately to identify the real responsible for the high antibacterial activity.
Results and Discussion
HPLC and MS analysis
Fig. 2 shows the mass spectrum obtained by a direct injection of a sample of the original batch of compound 1. Signals detected were attributable to molecular structures heavier than compound 1. Further in-depth studies allowed the assignment of each MS signal to multiple charged ions of oligomeric derivatives, characterized as shown in Table 1.
Figure 2.

Mass spectrum obtained by direct injection of a sample of the mixture. Conditions described in “Methods - General chemistry”.
Table 1.
Chromatographic and mass spectral data of compounds present in the analyzed mixture.
| Eluate | Compound | Mean tR ± SDa (min) | Principal ions (m/z)b | |||
|---|---|---|---|---|---|---|
| [M + H]+ | [M + 2 H]2+ | [M+3 H]3+ | [M+4 H]4+ | |||
| A | Monomer (1) | 12.44 ± 0.027 | 410.1 | 205.5 | 137.4 | — |
| B | Dimer | 13.48 ± 0.032 | 845.8 | 423.1 | 282.5 | 212.1 |
| C | Trimer | 13.88 ± 0.025 | 1281.1 | 641.1 | 427.5 | 320.9 |
aChromatographic conditions reported in “Experimental section - Chromatographic separation”.
bIons detected with Agilent 1100 series MSD single-quadrupole instrument with fragmentation voltage 30 mV, reported in “Experimental section - Preliminary characterization studies”.
Attempts of identification and separation of the main components of the mixture were performed through LC–MS method, using a C18 column with a linear gradient elution, which gave us the best results. The chromatographic profile obtained is reported in Fig. 3.
Figure 3.

Chromatographic profile obtained after blank substraction of a sample of the first batch (10 mg/mL) by LC–MS:A (tR = 12.40 min) monomer (1); B (tR = 13.34 min) = dimer; C (tR = 13.74 min) = trimer. Chromatographic method and conditions are reported in “Methods - Chromatographic separation”.
The HPLC trace shows three main components, as the UV signals A, B and C, corresponding respectively to compound 1 and two other larger species, with m/z values approximatively twice and three times higher than 1 (see Supplementary Fig. S1). The eluate A was isolated and identified as compound 1, while the analytes B and C were collected together in a single fraction because of their close retention times, not giving us the information necessary to identify them. The eluted fractions were tested separately, revealing in the case of compound 1 (eluate A) the same moderate antibacterial activity of its freshly synthesized batches. On the other side, the fraction containing the eluates B and C showed MIC values comparable to that of the original batch, confirming that its good antibacterial profile was due to the components contained in this latter fraction. Hence, we decided to investigate about their chemical nature. Preliminary fragmentation studies obtained by changing the fragmentor voltage were performed on a sample of the original batch (see Supplementary Figs S2 and S3) and showed, at higher fragmentation energy, the presence of fragments of compound 1 in all the three chromatographic peaks; this observation demonstrates that the unknown components could be derivatives of compound 1. At lower fragmentation energy, instead, the double, triple and quadruple charged cations prevailed. Chromatographic and mass data, resumed in Table 1, led us to hypothesize that the unknown mixture components could be a dimer and a trimer, characterized by a carbonyl group as the linker between the monomers (compound 1).
Although the factors favoring the formation of these derivatives were unclear, we assumed that the generation of this mixture occurred during the storage of the sample in DMSO solution before the biological evaluation, especially considering that the characterization analysis of compound 1, performed immediately after its synthesis, confirmed its purity and authenticity.
Moreover, in-depth studies were performed to elucidate the chemical formula and the structure of the main components. Through MS (ES+) analysis nowadays it is possible to obtain structurally significant fragment patterns40. LTQ-Orbitrap is a LC/MS technique usually used in analysis of unknown or peptidic mixtures because of its very high-resolution and high mass accuracy measurements on molecular ions41. One of its recent approaches is reported as the structural identification of drug metabolites42, 43. In this study accurate mass measurements and empirical formula calculations for the molecular ions were conducted using LTQ-Orbitrap XL mass spectrometer (Table 2). The ring and double bond (RDB) values and the difference between the theoretical (dimeric and trimeric) and experimental m/z for product ions (Delta) supported our hypothesis.
Table 2.
Accurate mass data.
| Eluate | Compound | Accurate mass determination of pseudomolecular ionsa | |||
|---|---|---|---|---|---|
| Molecular Formula | [M + H]+ (m/z) | Delta (ppm) | RDB | ||
| A | Monomer (1) | C22H48N7 | 410.39545 | −2.733 | 2.5 |
| B | Dimer | C45H93O1N14 | 845.76379 | −1.585 | 6.5 |
| C | Trimer | C68H138O2N21 | 1281.13330 | −0.305 | 10.5 |
aAccurate mass measurements and chemical formulas calculation were found through LTQ-Orbitrap XL and proposed chemical formulas, m/z values, RDB and Delta values were obtained from the software Xcalibur (Thermo Scientific, Bremen, Germany), as reported in “Experimental section - Accurate mass and fragmentation studies”.
On the basis of the detected properties, we designed two possible structural isomers for each oligomer: a symmetric and an asymmetric one, as reported in Fig. 1. We refer to asymmetric structure (compounds 3 and 5) when the connection between the monomers involves the central amine of one monomer and the guanidine group of the other, generating an amidinourea moiety. On the other side, the symmetric structure (compounds 2 and 4) is characterized by a urea function, involving both the central amines of the two monomers.
To establish which was the actual structure of dimer and trimer between the two hypothesized isomers, the mixture was analyzed by per infusion MSn technique, using an ion trap coupled with the Orbitrap mass analyzer, that allows fast, sensitive and reliable detection and identification of small molecules regardless of relative ion abundance analytes44, 45. The MS2 and MS3 spectra obtained from the precursor ion 845.7 m/z showed the formation of several product ions, in particular we detected 803.9 and 707.8 m/z, derived from the loss of methanediimine and N-(cyclopropylmethyl)-cyanamide fragments respectively, which are characteristic of both symmetric and asymmetric isomers (see Supplementary Figs S4 and S5). The detection in MS4 experiments of the signal at 665.8 m/z, due to the loss of another methanediimine fragment (see Supplementary Fig. S6), confirmed the symmetric structure of the dimer (2) and/or the trimer (4), since this fragmentation is not possible for the asymmetric isomers (3 and 5), as reported in Fig. 4.
Figure 4.

Proposed fragmentation pattern for the structures of dimeric moiety and their calculated exact mass. Spectral details are reported in “Supplementary Information”.
From the isolation of the trimer signal at 1281.1 m/z, MS2 spectrum showed 845.8 and 410.5 m/z as the main signals, corresponding to dimer and monomer respectively (see Supplementary Fig. S7).
This per infusion MSn technology led us to observe the presence of a symmetric moiety that could belong to the dimer or the trimer. Unfortunately, this moiety was not assignable to one of the two compounds since the retention times were too close to perform this kind of experiment during the chromatographic run. For this reason, to confirm the structure of the dimer and the trimer present in the original mixture we turned to the synthesis of all the possible isomers shown in Fig. 1.
Compounds 2–5 obtained by the synthesis39 were analyzed through HPLC-MS to compare their retention time with the ones of the initial mixture. The chromatograms showed a perfect correspondence between the two symmetric isomers (2 and 4) and the eluates B and C of the mixture. Accurate mass experiments of compounds 2 and 4 have been conducted, revealing that these two compounds were the mixture predominant components.
Moreover, a quantitative analysis of the fraction containing eluates B and C was performed with the same separation method above mentioned and it revealed that the B/C ratio, corresponding to the molar ratio of compound 2/compound 4, was 7/3. This molar ratio was extrapolated from appropriate standard calibration curves of compounds 2 and 4 obtained through HPLC-UV/MS signals.
Chemistry
The synthetic procedure for the preparation of compound 1 reported in the literature37 is not accessible since the starting material 1,17-diamino-9-azaheptadecane is no longer commercially available. Thus, we reported in Fig. 5 a new strategy which begins with the guanylation of 1,8-diaminooctane, using 1,3-Bis(tert-butoxycarbonyl)-2-methyl-2-thiopseudourea, furnishing 7. The monoguanylated derivative was reacted with 6, previously obtained from 1,8-dibromooctane via nucleophilic substitution. The azido group of the resulting 8 was reduced and guanylated with N,N′-Di-Boc-N-methylcyclopropyl-pyrazole-1-carboxamidine, giving 10. Final compound 1 was obtained as trifluoroacetate salt after deprotection of all the Boc protecting groups with TFA in DCM.
Figure 5.

Synthesis of monomer (1). Reagents and conditions: (i) NaN3, DMF, 50 °C, 16 h; (ii) 1,3-Bis(tert-butoxycarbonyl)-2-methyl-2-thiopseudourea, DIPEA, CH3CN/CH3OH, 40 °C, 16 h; (iii) CsOH·H2O, molecular sieves, 6, dry DMF, r.t., 24 h; (iv) H2, Pd/C, i-PrOH, r.t., 4 h; (v) N,N′-Di-Boc-N-methylcyclopropyl-pyrazole-1-carboxamidine, DIPEA, THF, 16 h, r.t.; (vi) TFA 10%, dry DCM, r.t., 7 h.
The guanylating agent, N,N′-Di-Boc-N-methylcyclopropyl-pyrazole-1-carboxamidine, have been obtained through Mitsunobu reaction between cyclopropanemethanol and di-Boc-pyrazole-1-carboximidamide, as reported in our previous work38, 39.
As reported in Fig. 6, to synthesize the symmetric dimer 2, compound 10 was reacted with its carbamoyl derivative (11) affording the urea function. At the end the dimer 12 was deprotected under acidic condition, furnishing the trifluoroacetate salt of the final product (2).
Figure 6.

Synthesis of symmetric dimer (2). Reagents and conditions: (i) Triphosgene, DIPEA, dry THF, 0 °C to r.t., 10 min; (ii) 10, DIPEA, NaI, dry DCM, 40 °C, 48 h; (iii) TFA 10%, dry DCM, r.t., 7 h.
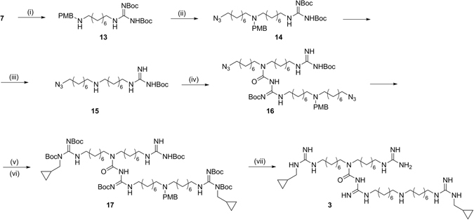
The preparation of the asymmetric dimer 3 (Fig. 7) was more challenging, because required an orthogonal reaction between the central amine of a first monomer and the carbonyl group of a Boc of a second one46, 47. In order to promote the cross-reaction over oligomerization and self-cyclization, we designed and synthesized two different monomers (14 and 15) in such a way that they would react in an orthogonal fashion. Thus, the secondary amine of 14 was protected with a p-methoxybenzyl (PMB) group and, since the coupling step requires a di-Boc-guanidine moiety to be successful46, 47 the guanidine function of 15 was inactivated as mono-Boc-protected. The two building blocks were synthesized from compound 7 that was first protected with the PMB group and then reacted with 1-azido-8-bromooctane 6, furnishing 14. The other monomer (15) was synthesized from compound 14 through an oxidative deprotection via cerium ammonium nitrate. This reaction led to the simultaneous removal of the PMB and one Boc on the guanidine moiety. 15 was then reacted with compound 14 to give the dimeric compound 16. Reduction of the azido groups and their following guanylation afforded 17, that was eventually deprotected to give the asymmetric dimer 3 as trifluoroacetate salt.
Figure 7.

Synthesis of asymmetric dimer (3). Reagents and conditions: (i) 1) p-Anisaldehyde, CH3OH, r.t., 3 h; 2) NaBH4, 0 °C, 1 h; (ii) 6, NaI, DMF, r.t., 48 h; (iii) CAN, t-BuOH/CH3OH, 55 °C, 5 h; (iv) 14, TEA, dry THF, ref., 2 h; (v) H2, Pd/C, i-PrOH, r.t., 16 h; (vi) N,N′-Di-Boc-N-methylcyclopropyl-pyrazole-1-carboxamidine, DIPEA, THF, r.t., 16 h; (vii) TFA 10%, dry DCM, r.t., 7 h.
In the synthesis of trimer 4, to selectively remove the PMB group from 17, without removing the Boc protecting groups, the oxidative deprotection via cerium ammonium nitrate was set up with different conditions
and reaction time, allowing the obtainment of 18. Its free central amine was reacted with carbamoyl derivative 11 to obtain, after acidic deprotection, the trifluoroacetate salt of the symmetrical trimer 4. (Fig. 8)
Figure 8.

Synthesis of symmetric trimer (4). Reagents and conditions: (i) CAN,CH3CN/H2O, r.t., 16 h; (ii) 11, DIPEA, NaI, dry DCM, ref., 8 h; (iii) TFA 10%, dry DCM, r.t., 7 h.
Central amine of monomer 10 was protected with FMOC, affording 22, and reacted with 21, which was obtained with the same synthetic procedure described for 8. The resulting 23 was first deprotected from FMOC and then reacted with 22, affording 24. 25 was easily prepared with subsequent reduction, guanylation and FMOC deprotection. Final removal of Boc protecting groups, under acidic condition, gave the asymmetric trimer 5 as trifluoroacetate salt. (Fig. 9)
Figure 9.

Synthesis of the asymmetric trimer (5). Reagents and condition: (i) N,N′-Di-Boc-N-methylcyclopropyl-pyrazole-1-carboxamidine, DIPEA, CH3CN/CH3OH, 50 °C, 16 h; (ii) CsOH·H2O, molecular sieves, 6, dry DMF, r.t., 24 h; (iii) FmocCl, DIPEA, dry DCM, 0 °C to r.t., 2 h; (iv) 21, TEA, THF, ref., 10 h; (v) Piperidine 20%, DMF, r.t., 1 h; (vi) 22, TEA, dry THF, ref., 16 h; (vii) H2, Pd/C, i-PrOH, r.t., 1.5 h; (viii) N,N′-Di-Boc-1H-pyrazole-1-carboxamidine, DIPEA, THF, r.t.,16 h; (ix) Piperidine 20%, DMF, r.t., 5 h; (x) TFA 10%, dry DCM, r.t., 10 h.
Antibacterial activity
The antibacterial activity of eluate A (compound 1 isolated from the mixture), eluates B and C together and compounds 1–5 was investigated and their MIC values determined using a panel of eight organisms representative of both Gram-positive and Gram-negative bacteria. Compound 1, both the newly synthesized and the one isolated as eluate A, surprisingly showed a lower activity, when compared to that of the original batch published in our previous work38(reported as “Initial mixture” in Table 3), supporting the fact that the observed antibacterial activity was actually due to the presence of the other chemical species. In fact, the fraction containing both eluates B and C exhibited a significant antibacterial activity, demonstrating to be composed by the active molecule(s) of the original batch. All the synthesized oligomers also showed a notable antibacterial activity, especially on Gram-positive organisms but showed a different biological profile according to their isomerism: the symmetric isomers (2 and 4) were more active than their asymmetric counterparts (3 and 5). The symmetric dimer (2) exhibited the most potent activity on all the tested organisms, instead the asymmetric dimer (3) apparently lost most of its activity on Gram-negative ones. The symmetric trimer (4) was moderately active against all the tested species, while the asymmetric one (5) had a good activity on Gram-positive pathogens, in particular E. faecalis.
Table 3.
Minimum Inhibitory Concentration (MIC) of compounds 1–5, eluates A, B and C and control antibiotics (colistin, vancomycin and daptomycin) against representative strains of Gram-positive and Gram-negative bacteria.
| Compound | MIC (µg/mL)a | |||||||
|---|---|---|---|---|---|---|---|---|
| E. c. | K. p. | P. a. | A. b. | S. e. | E. f. | B. s. | S. a. | |
| Initial mixtureb | 0.5 | 1 | 8 | 4 | 0.5 | 1 | 0.5 | 4 |
| Eluate A (1) | 64 | > 64 | 64 | > 64 | 64 | > 64 | 64 | > 64 |
| Eluates B and C | 1 | 2 | 16 | 16 | 0.5 | 1 | 0.5 | — |
| 1 c | 64 | > 64 | > 64 | > 64 | > 64 | > 64 | 64 | > 64 |
| 2 | 2 | 2 | 8 | 8 | 1 | 2 | 0.5 | 2 |
| 3 | > 64 | > 64 | > 64 | > 64 | 8 | 8 | < 0.125 | 4 |
| 4 | 4 | 4 | 16 | 8 | 4 | 4 | 4 | 8 |
| 5 | 8 | 8 | 32 | 32 | 4 | < 0.125 | 8 | 8 |
| Colistin | 0.5 | 0.5 | 0.5 | 1 | — | — | — | — |
| Vancomycin | — | — | — | — | 2 | 1 | 0.5 | 1 |
| Daptomycin | — | — | — | — | 0.25 | 1 | 1 | 0.5 |
-.: not determined.
aMICs are expressed as median values calculated from experiments performed at least in triplicate.
Tested bacterial strains: E.c.: E. coli CCUGT; K. p.: K. pneumoniae ATCC 13833; P.a.: P. aeruginosa ATCC 27853; A.b.: A. baumannii ATCC 17978; S.e.: S. epidermidis ATCC 14990; E.f.: E. faecalis ATCC 29212; B.s.: B. subtilis ATCC 6633; S.a.: S. aureus ATCC 25923.
bFirst batch of compound 1 as published38 that turned out to be a mixture of eluates A, B and C.
cNewly synthesized batches of compound 1.
These antibacterial activity data overall support that the two symmetric oligomers were most likely the active components of the original mixture, thus confirming our hypothesis.
The biological profile of compound 2 which was the most active of the series was further investigated through Minimal Bactericidal Concentration (MBC) assay to distinguish whether it is bactericidal or bacteriostatic. Upon analysis, the MBC values of compound 2 on some bacterial strains were determined and subsequently compared to the corresponding MIC values: compound 2 was found to be bactericidal at the same concentrations to its MICs. As per CLSI standards48, a MBC/MIC ratio of 1 to 2 is considered indicative of bactericidal behaviour; while a ratio ≥ 8 is indicative of bacteriostatic activity. Compound 2 showed a strong bactericidal activity with MBC and MIC values found to be identical for all the tested organisms.
Furthermore, the determination of killing curves showed that compound 2 was a relatively fast bactericidal agent, with a reduction of viable microbial load of > 3 log10 after only 1 h of exposure to the compound (final concentration, 10 × MIC) (see Supplementary Fig. S10). A further reduction of the viable count was progressively observed (>5 log10 after 4 h) and no viable cells could be detected after 24 h. Interestingly, compound 2 did not show any detectable haemolytic activity (up to 50 µg of compound tested in the assay).
Conclusion
In summary, in-depth MS studies allowed the identification of the composition of a spontaneously generated mixture derived from a batch of compound 1. We assume it originated after the re-suspension and the storage of the pure compound in DMSO prior to the evaluation of its antibacterial properties, as explained in Supplementary Information. We designed four possible isomers of the main components and synthesized them separately. Biological data have highlighted compound 2 as the actual responsible for the antibacterial activity with MIC values ranging from 1 to 8 µg/mL. It showed a strong bactericidal activity on both Gram-positive and Gram-negative clinically-relevant pathogens, while no haemolytic activity could be detected. Remarkably, this work originated from a serendipitous discovery and contributed to the identification of a new chemical scaffold showing a broad-spectrum antibacterial activity. Compound 2 was chosen as lead compound for further investigations to generate a library of derivatives. These findings represent a significant achievement considering the current need of novel classes of antibacterials to fight resistant bacteria.
Methods
General Chemistry
All commercially available chemicals and solvents were used as purchased. DCM was dried over calcium hydride and THF was dried over sodium and benzophenone prior to use. Anhydrous reactions were run under a positive pressure of dry nitrogen. Chromatographic separations were performed on columns packed with silica gel (230–400 mesh, for flash technique). 1H NMR and 13C NMR were recorded at 400 and 100 MHz respectively on a Bruker AC200F spectrometer and are reported in parts per million (δ scale) and internally referenced to the CDCl3 or CD3OD signal, respectively at δ 7.24 ppm and 3.31 ppm. Chemical shifts for carbon are reported in parts per million (δ scale) and referenced to the carbon resonances of the solvent (CDCl3 at δ 77.00 and CD3OD at δ 49.00 ppm). Data are shown as following: chemical shift, multiplicity (s = singlet, d = doublet, t = triplet, m = multiplet and/or multiplet resonances, br = broad), coupling constant (J) in Hertz (Hz) and integration. Mass spectra (LC-MS) were acquired using an Agilent 1100 LC-MSD VL system (G1946C) by direct injection with a 0.4 mL/min flow rate using a binary solvent system of 95/5 CH3OH/H2O. UV detection was monitored at 254 nm. Mass spectra were acquired in positive mode scanning over the mass range 105–1500 m/z, using a variable fragmentor voltage of 10–70 mV.
Determination of the purity
The purity of final products (1–5) was 95% or higher and it was assessed by HPLC-MS, using an Equivalence 3 C18 column (ACE EQV-8977: 150 × 4.6 mm, 5 μm particle size) at a flow rate of 0.6 mL/min with a linear gradient elution from 100/0 to 50/50 v/v CH3CN (formic acid 0.1% v/v)/H2O (formic acid 0.1% v/v) for 23 min. UV detection was monitored at 210 nm. Mass spectra were acquired in positive mode scanning over the mass range 105–1500 m/z, using a fragmentor voltage of 70 mV.
Interference compound prediction
The behaviour of all the final compounds (1–5) as PAINS was predicted using the web-server FAFDrugs3. Through its tool Bank-Formater the compound library was prepared and then screened with the three different available filters A, B and C. All the analysed compounds resulted “accepted” by the software.
Chromatographic separation and HPLC
A sample of the mixture (DMSO) was diluted in CH3CN (2.0 mg/mL) and injected (20 µL) after filtration. Chromatographic run was performed on Equivalence 3 C18 column (ACE EQV-8977: 150 × 4.6 mm; 5 µm) using linear gradient elution for 23 min with a mobile phase of 0.1% v/v formic acid in H2O and 0.1% v/v formic acid in CH3CN (from 0/100 to 50/50 v/v in 23 min) at the flow rate of 0.6 mL/min. Analytes B and C were eluted after compound 1 (eluate A, tR = 12.40 min), with retention times of 13.34 and 13.74 min respectively. Eluates from 13.10 to 13.90 min were collected and tested. Identification of the two main components of the fraction was performed through in-depth MS analysis. With the same method, the retention time of each pure synthesized compound (2–5) was determined and it is reported in Table 4.
Table 4.
Mean retention times of the synthesized compounds.
| Compound | Mean tR ± SD (min) |
|---|---|
| 2 | 13.41 ± 0.032 |
| 3 | 14.39 ± 0.028 |
| 4 | 13.84 ± 0.031 |
| 5 | 14.30 ± 0.029 |
Preliminary characterization studies
Chromatography-mass spectrometry (LC-MS) system consisted of an Agilent 1100 series liquid chromatograph system (Agilent Technologies, Palo Alto, CA) including a vacuum solvent degassing unit, a binary high-pressure gradient pump, an UV detector, and an 1100 MSD model VL benchtop mass spectrometer with API-ES interface. The UV detector was set at 210 nm. The Agilent 1100 series MSD single-quadrupole instrument was equipped with the orthogonal spray API (Agilent Technologies, Palo Alto, CA). Nitrogen was used as nebulizer gas and drying gas (350 °C). The LC-API-MS determination was performed by operating the MSD in the positive ion mode. Mass spectra were acquired over the scan range 105–1500 m/z using a step size of 0.1 u. The nebulizer gas, the drying gas, the capillary voltage, and the vaporizer temperature were set at 40 psi, 9 L/min, 3000 V and 350 °C, respectively. For the fragmentation study the fragmentor voltage was set in the range 30–200 mV.
Accurate mass and fragmentation studies
The accurate masses were measured by the LTQ-Orbitrap XL (Thermo Scientific, Bremen, Germany) mass spectrometer interfaced with an electrospray ionization (ESI) source characterized by a spray voltage of 4.5 kV and nitrogen as sheat gas (10 a.u.). The resolution of accurate masses is 30000. MS/MS spectra were recorded with an isolation window of 2 mass units, collision energy of 15, 16 or 17 V and helium as collision gas.
All data were processed using Xcalibur (Thermo Scientific, Bremen, Germany). The elementar composition tool was used to calculate the proposed chemical formulas, (ring and double bond) RDB values and the difference between the theoretical and experimental m/z for product ions.
Synthetic procedures and characterizations of compounds 1–5
For the synthetic procedures and characterizations of compounds 6–25 see Supplementary Information.
N‐{8‐[(8‐carbamimidamidooctyl)amino]octyl}‐N′‐(cyclopropylmethyl)guanidine (1)
Compound 10 (10.0 mg, 0.12 mmol) was dissolved in dry DCM (1.8 mL) and TFA (10%, 0.2 mL) was added. The reaction mixture was stirred at room temperature for 7.5 h. Then the solvent was evaporated and the crude product was dissolved and evaporated several times first with CH3OH to remove TFA residue and then with Et2O to precipitate the desired compound. No further purification followed; the product was obtained as a colourless oil. 1 H NMR (CD3OD, 400 MHz): δ 0.26 (d, J = 4.8 Hz, 2 H); 0.58 (d, J = 7.2 Hz, 2 H); 1.05 (s, 1 H); 1.28 (s, 24 H); 2.96–3.00 (m, 2 H); 3.05 (d, J = 7.2 Hz, 2 H); 3.12–3.20 (m, 4 H). 13 C NMR (CD3OD, 100 MHz): δ 2.4; 9.5; 25.8; 26.0; 26.1; 28.3; 28.4; 28.6; 29.2; 29.4; 40.9; 41.1; 45.8; 46.9; 48.1; 157.0; 159.7. LC-MS m/z (ES+) = 410.1 [M + H]+; 205.5 [M + 2 H]2+ YIELD: quantitative.
1,3‐bis(8‐carbamimidamidooctyl)‐1,3‐bis({8‐[N′‐(cyclopropylmethyl)carbamimidamido]octyl})urea (2)
The same procedure for the synthesis of compound 1 was followed. 1 H NMR (CD3OD, 400 MHz): δ 0.23–0.30 (m, 4 H); 0.53–0.61 (m, 4 H); 1.01–1.10 (m, 2 H); 1.31–1.45 (m, 32 H); 1.48–1.55 (m, 8 H); 1.55–1.63 (m, 8 H); 3.05 (d, J = 6.8 Hz, 4 H); 3.08–3.21 (m, 12 H); 3.28–3.32 (m, 4 H). 13 C NMR (CD3OD, 100 MHz): δ 2.4; 9.5; 26.2; 26.5; 27.5; 28.4; 28.4; 28.8; 28.9; 29.2; 41.0; 41.1; 45.8; 46.9; 47.1; 47.3; 47.5; 47.7; 47.9; 48.1; 155.6; 165.4. LC-MS m/z (ES+) = 845.8 [M + H]+; 423.1 [M + 2 H]2+; 282.5 [M + 3 H]3+; 212.1 [M + 4 H]4+ YIELD: quantitative.
1-(8-carbamimidamidooctyl)-1-[8-[[N-(cyclopropylmethyl)carbamimidoyl]amino]octyl]-3-[N-[8-[8-[[N-(cyclopropylmethyl)carbamimidoyl]amino]octylamino]octyl]carbamimidoyl]urea (3)
The same procedure for the synthesis of compound 1 was followed. 1 H NMR (CD3OD, 400 MHz): δ 0.23–0.27 (m, 4 H); 0.54–0.58 (m, 4 H); 1.00-1-10 (m, 2 H); 1.26–1.40 (m, 32 H); 1.44–1.62 (m, 16 H); 2.52 (t, J = 8.0 Hz, 4 H); 3.03 (d, J = 8.0 Hz, 4 H); 3.11–3.20 (m, 12 H). 13 C NMR (CD3OD, 100 MHz): δ 3.4; 11.2; 26.7; 27.1; 28.8; 29.3; 30.4; 30.6; 41.5; 42.0; 42.3; 44.7; 49.9; 155.4; 155.8; 157.8; 158.0. LC-MS m/z (ES+) = 845.8 [M + H]+; 423.1 [M + 2 H]2+; 282.5 [M + 3 H]3+; 212.1 [M + 4 H]4+ YIELD: quantitative.
3‐(8‐carbamimidamidooctyl)‐1‐{8‐[({[(8‐carbamimidamidooctyl)({8‐[N′‐(cyclopropylmethyl)carbamimidamido]octyl})carbamoyl]amino}methanimidoyl)amino]octyl}‐1,3‐bis({8‐[N′‐(cyclopropylmethyl)carbamimidamido]octyl})urea (4)
The same procedure for the synthesis of compound 1 was followed. 1 H NMR (CD3OD, 400 MHz): δ 0.24–0.28 (m, 6 H); 0.56–0.59 (m, 6 H); 1.02–1.11 (m, 3 H); 1.22–1.46 (m, 48 H); 1.49–1.70 (m, 24 H); 3.00 (d, J = 7.2 Hz, 6 H); 3.12–3.27 (m, 24 H). 13 C NMR (CD3OD, 100 MHz): δ 3.4; 11.1; 26.6; 26.7; 28.8; 29.3; 30.4; 41.5; 41.9; 42.3; 44.7; 49.8; 50.5; 155.4; 155.8; 157.9; 158.0; 164.5. LC-MS m/z (ES+) = 641.1 [M + 2 H]2+; 427.5 [M + 3 H]3+; 320.9 [M + 4 H]4+ YIELD: quantitative.
1-(8-carbamimidamidooctyl)-1-[8-[[N-(cyclopropylmethyl)carbamimidoyl]amino]octyl]-3-[N-[8-[8-[[N-(cyclopropylmethyl)carbamimidoyl]amino]octyl-[[N-[8-[8-[[N-(cyclopropylmethyl)carbamimidoyl]amino]octylamino]octyl]carbamimidoyl]carbamoyl]amino]octyl]carbamimidoyl]urea (5)
The same procedure for the synthesis of compound 1 was followed. 1 H NMR (CD3OD, 400 MHz): δ 0.23–0.27 (m, 6 H); 0.54–0.59 (m, 6 H); 1.08–1.15 (m, 3 H); 1.26–1.37 (m, 48 H); 1.50–1.70 (m, 24 H); 2.95 (t, J = 8.0 Hz, 4 H) 3.03 (d, J = 4.0 Hz, 6 H); 3.13–3.33 (m, 20 H). 13 C NMR (CD3OD, 100 MHz): δ 3.5; 11.2; 26.7; 27.1; 28.8; 29.3; 30.4; 30.6; 41.6; 41.9; 42.3; 44.7; 50.0; 155.5; 157.8; 158.0. LC-MS m/z (ES+) = 641.1 [M + 2 H]2+; 427.5 [M + 3 H]3+; 320.9 [M + 4 H]4+ YIELD: quantitative.
Antibacterial susceptibility testing
Bacterial strains, including representatives of both Gram-positive and Gram-negative bacteria, were obtained from the ATCC or CCUG culture collections. Compounds were re-suspended in DMSO at a final concentration of 50 or 100 mg/mL and subsequently diluted in the culture medium. The minimum inhibitory concentration (MIC) and the minimum bactericidal concentration (MBC) of the compounds were determined using the micro-dilution broth method using Mueller-Hinton broth as recommended by the Clinical Laboratory Standards Institute (CLSI)48. Bacterial inoculum was 5 × 104 CFU/well. MICs were recorded after 18 hours of incubation at 35 °C after visual observation of solution transparency. MIC and MBC values are reported as median values and were obtained from experiments performed at least in triplicate.
The haemolytic activity of selected compounds was estimated using the method described by Bechlars et al 49. 10 µL of compound (concentrations, 0.25 to 25 mg/mL) were spotted on the surface of a blood agar plate. Triton X-100 was used as a positive haemolysis control.
Electronic supplementary material
Author Contributions
C.Z. and E.D. designed and performed analytical chemistry experiments and analysed the data. G.M. designed the compounds. D.D., C.P., I.D., F.O. synthesized and characterized the compounds. F.D. and J.D.D. performed and analysed microbiological assays. M.B., J.D.D., C.P. and I.D. wrote the manuscript. All authors have read and approved the manuscript.
Competing Interests
The authors declare that they have no competing interests.
Footnotes
Electronic supplementary material
Supplementary information accompanies this paper at doi:10.1038/s41598-017-08749-6
Publisher's note: Springer Nature remains neutral with regard to jurisdictional claims in published maps and institutional affiliations.
References
- 1.WHO Antimicrobial resistance. Bull. World Health Organ. 2014;61:383–94. [PMC free article] [PubMed] [Google Scholar]
- 2.O’neill, J. Tackling Drug-Resistant Infections Globally: Final Report and Recommendations the Review on Antimicrobial Resistance. (2016).
- 3.Rice LB. Federal Funding for the Study of Antimicrobial Resistance in Nosocomial Pathogens: No ESKAPE. J. Infect. Dis. 2008;197:1079–1081. doi: 10.1086/533452. [DOI] [PubMed] [Google Scholar]
- 4.Spellberg B, Gilbert DN. The future of antibiotics and resistance: A tribute to a career of leadership by John Bartlett. Clin. Infect. Dis. 2014;59:S71–S75. doi: 10.1093/cid/ciu392. [DOI] [PMC free article] [PubMed] [Google Scholar]
- 5.Spellberg B, et al. The epidemic of antibiotic-resistant infections: a call to action for the medical community from the Infectious Diseases Society of America. Clin.Infect.Dis. 2008;46:155–164. doi: 10.1086/524891. [DOI] [PubMed] [Google Scholar]
- 6.Silver LL. Challenges of antibacterial discovery. Clin. Microbiol. Rev. 2011;24:71–109. doi: 10.1128/CMR.00030-10. [DOI] [PMC free article] [PubMed] [Google Scholar]
- 7.Projan SJ. Why is big Pharma getting out of antibacterial drug discovery? Curr. Opin. Microbiol. 2003;6:427–430. doi: 10.1016/j.mib.2003.08.003. [DOI] [PubMed] [Google Scholar]
- 8.Fair, R. J. & Tor, Y. Perspectives in Medicinal Chemistry Antibiotics and Bacterial Resistance in the 21st Century. Perspect. Medicin. Chem. 25–64 (2014). doi:10.4137/PMC.S14459. [DOI] [PMC free article] [PubMed]
- 9.Shlaes, D.M. Antibiotics - The perfect Storm. 29–50 (Springer-Verlag, 2010).
- 10.Bush, K. Introduction to antimicrobial therapeutics reviews: Infectious diseases of current and emerging concern. Ann. N. Y. Acad. Sci. 1323, v–vi (2014). [DOI] [PubMed]
- 11.Bartlett JG, Gilbert DN, Spellberg B. Seven ways to preserve the Miracle of antibiotics. Clin. Infect. Dis. 2013;56:1445–1450. doi: 10.1093/cid/cit070. [DOI] [PubMed] [Google Scholar]
- 12.Piddock LJV. The crisis of no new antibiotics—what is the way forward? Lancet Infect. Dis. 2017;12:249–253. doi: 10.1016/S1473-3099(11)70316-4. [DOI] [PubMed] [Google Scholar]
- 13.Gould IM, Bal AM. New antibiotic agents in the pipeline and how they can help overcome microbial resistance. Virulence. 2013;4:185–91. doi: 10.4161/viru.22507. [DOI] [PMC free article] [PubMed] [Google Scholar]
- 14.U.S. Food and Drug Administration, Center for Drug Evaluation and Research. Zyvox NDA 21-130, 21-131 & 21-132 approval letter, April 18, 2000 from https://www.accessdata.fda.gov/drugsatfda_docs/nda/2000/21130_Zyvox_approv.PDF Accessed 29/06/2017.
- 15.U.S. Food and Drug Administration, Center for Drug Evaluation and Research. Cubicin NDA 21-572 approval letter, October 29, 2010, from https://www.accessdata.fda.gov/drugsatfda_docs/nda/2003/21-572_Cubicin_Approv.pdf Accessed 29/06/2017.
- 16.U.S. Food and Drug Administration, Center for Drug Evaluation and Research. Teflaro NDA 200327 approval letter, December 9, 2003, from https://www.accessdata.fda.gov/drugsatfda_docs/nda/2010/200327Orig1s000Approv.pdf Accessed 29/06/2017.
- 17.Zurenko GE, Ford CW, Hutchinson DK, Brickner SJ, Barbachyn MR. Oxazolidinone antibacterial agents: development of the clinical candidates eperezolid and linezolid. Expert Opin. Investig. Drugs. 1997;6:151–8. doi: 10.1517/13543784.6.2.151. [DOI] [PubMed] [Google Scholar]
- 18.Tally FP, DeBruin MF. Development of daptomycin for gram-positive infections. J. Antimicrob. Chemother. 2000;46:523–526. doi: 10.1093/jac/46.4.523. [DOI] [PubMed] [Google Scholar]
- 19.Zhanel GG, et al. Ceftaroline. Drugs. 2009;69:809–831. doi: 10.2165/00003495-200969070-00003. [DOI] [PubMed] [Google Scholar]
- 20.Ventola CL. The antibiotic resistance crisis: part 1: causes and threats. P T A peer-reviewed J. Formul. Manag. 2015;40:277–83. [PMC free article] [PubMed] [Google Scholar]
- 21.Tommasi R, Brown DG, Walkup GK, Manchester JI, Miller AA. ESKAPEing the labyrinth of antibacterial discovery. Nat. Rev. Drug Discov. 2015;14:529–542. doi: 10.1038/nrd4572. [DOI] [PubMed] [Google Scholar]
- 22.Rossolini GM, Arena F, Pecile P, Pollini S. Update on the antibiotic resistance crisis. Curr. Opin. Pharmacol. 2014;18:56–60. doi: 10.1016/j.coph.2014.09.006. [DOI] [PubMed] [Google Scholar]
- 23.Poirel L, Jayol A, Nordmann P. Polymyxins: Antibacterial Activity, Susceptibility Testing, and Resistance Mechanisms Encoded by Plasmids or Chromosomes. Clin. Microbiol. Rev. 2017;30:557–596. doi: 10.1128/CMR.00064-16. [DOI] [PMC free article] [PubMed] [Google Scholar]
- 24.McKenna M. Antibiotic resistance: the last resort. Nature. 2013;499:394–396. doi: 10.1038/499394a. [DOI] [PubMed] [Google Scholar]
- 25.Boucher HW, et al. Bad bugs, no drugs: no ESKAPE! An update from the Infectious Diseases Society of America. Clin. Infect. Dis. 2009;48:1–12. doi: 10.1086/595011. [DOI] [PubMed] [Google Scholar]
- 26.CDC. Antibiotic resistance threats in the United States, 2013. Current 114 doi:CS239559-B (2013).
- 27.Boucher HW, et al. 10 x ’20 Progress–development of new drugs active against gram-negative bacilli: an update from the Infectious Diseases Society of America. Clin. Infect. Dis. 2013;56:1685–94. doi: 10.1093/cid/cit152. [DOI] [PMC free article] [PubMed] [Google Scholar]
- 28.Viswanathan VK. Off-label abuse of antibiotics by bacteria. Gut Microbes. 2014;5:3–4. doi: 10.4161/gmic.28027. [DOI] [PMC free article] [PubMed] [Google Scholar]
- 29.World Health Organization 2017 Global priority list of antiobiotic-resistant bacteria to guide research, discovery, and development of new antibiotics. Available at www.who.int/medicines/publications/WHO-PPL-Short_Summary_25Feb-ET_NM_WHO.pdf. Accessed 29/06/2017.
- 30.Wang B, et al. Antibacterial Diamines Targeting Bacterial Membranes. J. Med. Chem. 2016;59:3140–3151. doi: 10.1021/acs.jmedchem.5b01912. [DOI] [PMC free article] [PubMed] [Google Scholar]
- 31.Fleeman R, et al. Combinatorial libraries as a tool for the discovery of novel, broad-spectrum antibacterial agents targeting the ESKAPE pathogens. J. Med. Chem. 2015;58:3340–3355. doi: 10.1021/jm501628s. [DOI] [PMC free article] [PubMed] [Google Scholar]
- 32.Qian L, Guan Y, He B, Xiao H. Modified guanidine polymers: Synthesis and antimicrobial mechanism revealed by AFM. Polymer (Guildf). 2008;49:2471–2475. doi: 10.1016/j.polymer.2008.03.042. [DOI] [Google Scholar]
- 33.Griffiths MZ, Alkorta I, Popelier PLA. Predicting pKa values in aqueous solution for the guanidine functional group from gas phase ab initio bond lengths. Mol. Inform. 2013;32:363–376. doi: 10.1002/minf.201300008. [DOI] [PubMed] [Google Scholar]
- 34.Halliwell WH. Cathionic amphiphilic drug-induced phospholipidosis. Toxicol pathol. 1997;25(1):53–60. doi: 10.1177/019262339702500111. [DOI] [PubMed] [Google Scholar]
- 35.Haug BE, Stensen W, Kalaaji M, Rekdal Ø, Svendsen JS. Synthetic antimicrobial peptidomimetics with therapeutic potential. J. Med. Chem. 2008;51:4306–4314. doi: 10.1021/jm701600a. [DOI] [PubMed] [Google Scholar]
- 36.Exley SE, et al. Antimicrobial Peptide Mimicking Primary Amine and Guanidine Containing Methacrylamide Copolymers Prepared by Raft Polymerization. Biomacromolecules. 2015;16:3845–3852. doi: 10.1021/acs.biomac.5b01162. [DOI] [PMC free article] [PubMed] [Google Scholar]
- 37.Manetti F, et al. Synthesis and biological evaluation of guanidino compounds endowed with subnanomolar affinity as competitive inhibitors of maize polyamine oxidase. J. Med. Chem. 2009;52:4774–4785. doi: 10.1021/jm900371z. [DOI] [PubMed] [Google Scholar]
- 38.Maccari G, et al. Synthesis of linear and cyclic guazatine derivatives endowed with antibacterial activity. Bioorganic Med. Chem. Lett. 2014;24:5525–5529. doi: 10.1016/j.bmcl.2014.09.081. [DOI] [PubMed] [Google Scholar]
- 39.Botta, M. et al. Linear guanidine derivatives, methods of preparation and uses thereof. Int. Patent Appl. WO2016/055644 A1, 2016 April 14.
- 40.Fatta-Kassinos D, Vasquez MI, Kümmerer K. Transformation products of pharmaceuticals in surface waters and wastewater formed during photolysis and advanced oxidation processes – Degradation, elucidation of byproducts and assessment of their biological potency. Chemosphere. 2011;85:693–709. doi: 10.1016/j.chemosphere.2011.06.082. [DOI] [PubMed] [Google Scholar]
- 41.Makarov A, Denisov E, Lange O, Horning S. Dynamic range of mass accuracy in LTQ orbitrap hybrid mass spectrometer. J. Am. Soc. Mass Spectrom. 2006;17:977–982. doi: 10.1016/j.jasms.2006.03.006. [DOI] [PubMed] [Google Scholar]
- 42.Peterman SM, Duczak N, Kalgutkar AS, Lame ME, Soglia JR. Application of a linear ion trap/orbitrap mass spectrometer in metabolite characterization studies: Examination of the human liver microsomal metabolism of the non-tricyclic anti-depressant nefazodone using data-dependent accurate mass measurements. J. Am. Soc. Mass Spectrom. 2006;17:363–375. doi: 10.1016/j.jasms.2005.11.014. [DOI] [PubMed] [Google Scholar]
- 43.Haddad T, Kümmerer K. Characterization of photo-transformation products of the antibiotic drug Ciprofloxacin with liquid chromatography-tandem mass spectrometry in combination with accurate mass determination using an LTQ-Orbitrap. Chemosphere. 2014;115:40–46. doi: 10.1016/j.chemosphere.2014.02.013. [DOI] [PubMed] [Google Scholar]
- 44.Dunn WB, et al. Metabolic profiling of serum using Ultra Performance Liquid Chromatography and the LTQ-Orbitrap mass spectrometry system. J. Chromatogr. B. 2008;871:288–298. doi: 10.1016/j.jchromb.2008.03.021. [DOI] [PubMed] [Google Scholar]
- 45.Zhang, J. et al. Neutral Fragment Filtering for Rapid Identification of New Diester-Diterpenoid Alkaloids in Roots of Aconitum carmichaeli by Ultra-High-Pressure Liquid Chromatography Coupled with Linear Ion Trap-Orbitrap Mass Spectrometry. PLoS One7, (2012). [DOI] [PMC free article] [PubMed]
- 46.Miel H, Rault S. Conversion of N,N′-bis(tert-butoxycarbonyl)guanidines to N-(N′-tert-butoxycarbonylamidino)ureas. Tetrahedron Lett. 1998;39:1565–1568. doi: 10.1016/S0040-4039(98)00025-2. [DOI] [Google Scholar]
- 47.Castagnolo, D., Raffi, F., Giorgi, G. & Botta, M. Macrocyclization of di-Boc-guanidino-alkylamines related to guazatine components: Discovery and synthesis of innovative macrocyclic amidinoureas. European J. Org. Chem. 334–337, doi:10.1002/ejoc.200801109 (2009).
- 48.M. P. Weinstein, Methods for Dilution Antimicrobial Susceptibility Tests for Bacteria That Grow Aerobically; Approved Standard- Ninth Edition 32 (2012).
- 49.Bechlars S, et al. Toxicon Cell-free synthesis of functional thermostable direct hemolysins of Vibrio parahaemolyticus q. Toxicon. 2013;76:132–142. doi: 10.1016/j.toxicon.2013.09.012. [DOI] [PubMed] [Google Scholar]
Associated Data
This section collects any data citations, data availability statements, or supplementary materials included in this article.
