Abstract
The plant natural resistance-associated macrophage protein (Nramp) family plays an important role in tolerance to heavy metal stress. However, few Nramps have been functionally characterized in the heavy metal-accumulating plant Sedum alfredii. Here, Nramp6 was cloned and identified from S. alfredii and its function analyzed in transgenic Arabidopsis thaliana. SaNramp6 cDNA contains an open reading frame of 1, 638 bp encoding 545 amino acids. SaNramp6′s expression can be induced by cadmium (Cd) stress, and, after treatment, it peaked at one week and 12 h in the roots and leaves, respectively. SaNramp6 localized to the plasma membrane in protoplasts isolated from A. thaliana, Nicotiana benthamiana lower leaf and onion (Allium cepa) epidermal cells. The heterologous expression of SaNramp6 in the Δycf1 yeast mutant increased the Cd content in yeast cells. SaNramp6 also rescued the low Cd accumulation of the A. thaliana nramp1 mutant. Transgenic A. thaliana expressing SaNramp6 exhibited high Cd accumulation levels, as determined by a statistical analysis of the Cd concentration, translocation factors and net Cd2+ fluxes under Cd stress. Thus, SaNramp6 may play a significant role in improving Cd accumulation, and the gene may be useful for the biotechnological development of transgenic plants for phytoremediation.
Introduction
A well-balanced cellular concentration of essential metals such as iron (Fe), copper (Cu) and manganese (Mn), plays a fundamental role in the normal growth and development of plants1. However, the absorption of heavy metals such as lead (Pb), cadmium (Cd) and arsenic (As), can upset the normal metabolism within plant cells and also cause damage to human and animal health through the cumulative effects of the food chain. For example, Cd is a carcinogenic factor closely related to the generation of breast and kidney cancer2,3, and high levels of Pb toxicity can lead to irreversible damage to the central nervous system4. The ever-increasing worldwide contamination of soil and water by heavy metals is a problem that demands a prompt solution5. Phytoremediation is presently regarded as an eco-friendly and cost-effective strategy to clean heavy metal-polluted soils with the help of hyperaccumulating plants6. Among the more than 400 naturally hyperaccumulating plants, an ecotype of Sedum alfredii that co-hyperaccumulates Cd, Zn and Pb was first found in China7,8. Previous physiological studies suggested that this ecotype is a promising hyper-accumulator for the decontamination of polluted soils, because it can accumulate up to nine g of Cd per kg of leaf dry weight (DW)9–11. However, the detailed molecular mechanism underlying its hyperaccumulation and tolerance of heavy metals is still unclear. Taking advantage of this genetic resource for the breeding of future phytoremediation-associated plants requires a functional analysis of potential heavy metal-responsive genes in the hyperaccumulating ecotype of S. alfredii.
Metal transporters are essential for the maintenance of appropriate metal ions concentrations within different cellular compartments12,13. Among the identified metal transporters, natural resistance-associated macrophage protein genes (Nramps) are considered to play potentially important roles mediating metal ion homeostasis at multiple cellular levels in plants. First cloned in mouse, Nramp gene family members are relatively evolutionarily conserved throughout organisms, including plants, animals, yeast and bacteria14. The Nramp genes comprise a small family represented by six members in Arabidopsis thaliana 15, 12 members in rice (Oryza sativa; http://www.ncbi.nlm.nih.gov/gene/? term = Nramp + Oryza + sativa), eight members in soybean (Glycine max; http://www.phytozome.net/soybean) and six members in poplar (Populus trichocarpa)16. Several NRAMP members have been experimentally characterized in A. thaliana and are involved in the uptake, intracellular transport, translocation and detoxification of metals14,17,18. They are all membrane spanning proteins, with the 10–12 hydrophobic transmembrane domains characteristic of metal transporters19. When overexpressed in yeast, AtNramp1, AtNramp3 and AtNramp4 show high affinities for Fe, Mn and Cd, whereas AtNramp6 can transport Cd, but not Fe or Mn20–23. In rice, OsNramp1 shows transport activity for Cd and Fe, but not Mn. OsNramp4 is the first transporter identified for the trivalent aluminium ion, and the knockout of OsNramp5 results in a significantly reduced Cd uptake18,24,25. Nramp genes have also been cloned and characterized from other plants, such as tomato (Solanum lycopersicum)26, soybean27 and some metal-hyperaccumulating species. A better understanding of the mechanisms used by metal transporters will provide insights into the detoxification and accumulation of toxic heavy metals in plants.
Although Nramp genes have been cloned and analyzed in other plant species, few studies have been reported regarding Nramps in the hyperaccumulating ecotype of S. alfredii. The transcriptome of S. alfredii under Cd stress indicated that an Nramp gene was greatly up–regulated after CdCl2 treatment28. The gene has an 80% homology with AtNramp6. Here, we described the isolation and characterization of the Nramp gene SaNramp6 from S. alfredii. A subcellular localization analysis indicated that SaNramp6 is a plasma membrane transporter. Moreover, the overexpression of SaNramp6 in A. thaliana increased the uptake and accumulation of Cd. Thus, SaNramp6 may be a potentially important heavy metal-responsive gene that could be useful for phytoremediation. This work will aid in understanding heavy metal hyperaccumulation and tolerance in S. alfredii.
Results
Isolation and sequence analysis of SaNramp6
To identify the function of SaNramp6 from S. alfredii, a full-length cDNA sequence of 2, 055 nucleotides was isolated, comprising a 1, 638-bp open reading frame, and 95-bp 5′and 322-bp 3′-untranslated regions. The specific primers SaNramp6-F and SaNramp6-R were used to amplify the sequence of the SaNramp6 from genomic DNA to investigate the genomic structure of SaNramp6. The genomic sequence spanned 3, 587 bp including 10 introns and 11 exons (Fig. 1a). A sequence comparison revealed that SaNramp6 is similar to members of group I from A. thaliana (Fig. 1b).
Figure 1.
SaNramp6 gene structure. (a) Genomic organization of SaNramp6. Black boxes and lines denote exons and introns, respectively. The numbers refer to the position between the exons and introns, (b) Comparison of the genomic DNA structure of SaNramp6 and several Nramp genes of Arabidopsis available in GenBank. The white boxes represent the introns, and the grey boxes represent the exons. The numbers indicate the length of the sequence. І and II indicate the groups of Nramps in A. thaliana, (c) Transmembrane domains predicted by the SOSUI program. (AtNramp1: AT1G80830; AtNramp2: AT1G47240; AtNramp3: AT2G23150; AtNramp4: AT5G67330; AtNramp5: AT4G18790; AtNramp6: AT1G15960).
The predicted protein encoded by SaNramp6 contained 545 amino acid residues with a putative molecular weight of 58.44 kD and an isoelectric point of 7.97. The deduced amino acid sequence was not predicted to have a signal peptide by SignalP software (ExPASy). Based on analyses using the CELLO and SOSUI programs, we hypothesized that this protein is located at the plasma membrane and has 11 transmembrane domains (Fig. 1c).
Multiple sequence alignments with SaNramp6 revealed high levels of similarity to the Nramps of other species (Fig. 2a). To investigate the evolutionary relationships among Nramps from different species, a phylogenetic analysis was performed based on the amino acid sequences. As shown in Fig. 2b, SaNramp6 shows 80% sequence similarity to Nramp6 from A. thaliana, 79% to Nramp6 from Theobroma cacao, 78% to Nramp1 from Populus trichocarpa, and 71% to Nramp1 from Nicotiana tabacum. A phylogenetic analysis revealed that the SaNramp6 was most closely related to AtNramp6 (Fig. 2b). Based on this, we designated this gene as SaNramp6 (GenBank accession no. KF887490).
Figure 2.
Comparison of SaNramp6 to Nramps of other species based on Nramp amino acid sequences from different species. Accession numbers for sequences used are listed in Table 2.
Expression profiles of SaNramp6 under CdCl2 stress
To examine transcriptional changes under CdCl2 stress, the expression of SaNramp6 was monitored at different Cd-stress treatment times in leaves, stems, and roots. Without heavy metal treatment, SaNramp6 was highly expressed in roots and leaves (Fig. 3a). However, the relative expression levels of SaNramp6 varied greatly in different tissues under Cd treatment period progressed. Despite starting at a higher level, SaNramp6′s expression was not induced in leaves and in fact was reduced during treatment, reaching only a maximum of less than one-fold of the initial level at 12 h (Fig. 3d). In stems, SaNramp6′s expression increased gradually before 12 h, and then declined (Fig. 3c). By contrast, SaNramp6′s transcript accumulation was highly induced in roots (Fig. 3b). It began to increase within 12 h of treatment and peaked at around one week (14-fold).
Figure 3.
Expression patterns of SaNramp6 in S. alfredii under Cd stress. (a) Different tissue without any heavy metal treatments, (b) Root, (c) Stem, (d) Leaf. The normalized mRNA levels without treatment (y-axis “Relative mRNA expression”) were set arbitrarily to 1. Bars indicate means ± standard deviations (SDs) of at least three independent biological experiments. Different letters on the bars indicate significant difference between the treatments. P-values of the two-way ANOVAs of Time, Cd (Cd treatment) and their interaction (Time × Cd) are indicated. *P < 0.05; **P < 0.01.
SaNramp6′s expression enhances Cd2+ sensitivity and increases Cd2+ content in yeast
To investigate the cellular function of SaNramp6, the protein was expressed in Saccharomyces cerevisiae yeast mutant (∆ycf1) susceptible to Cd excess. SaNramp6 and empty vector-complemented ∆ycf1 cells were grown in SG-U medium overnight. Cells grown overnight were used for spotting on SG-U agar plates supplemented with 0, 15 and 20 µM CdCl2 at indicated dilutions. The Cd supplementation of the medium caused more considerable growth inhibition in yeast cells expressing SaNramp6 than in the control (Fig. 4a). We also analyzed the relative growth in liquid media in the presence of Cd in yeast cells. The growth of ∆ycf1 cells expressing SaNramp6 were lower than cells transformed with the empty vector (Fig. 4b). The growth inhibition due to the functional SaNramp6 in ∆ycf1 suggested that SaNramp6 may facilitate the import of Cd inside the yeast.
Figure 4.
SaNramp6 expression increases Cd2+ sensitivity and Cd2+ content in yeast. (a) Growth of ∆ycf1 yeast cells expressing SaNramp6 on plates containing SG-U without CdCl2. (Left) or supplemented with 15 μM CdCl2. (Middle) and 20 μM CdCl2. (Right), (b) Time-dependent growth of yeast strains in SG-U liquid medium supplemented with 5 μM CdCl2, (c) Cd content of ∆ycf1 yeast cells expressing SaNramp6 grown for 48 h in liquid SG-U supplemented with 5 μM CdCl2. Bars indicate means ± standard deviations (SDs) of at least three independent biological experiments. One or two asterisks indicate a significant difference at P < 0.05 or P < 0.01 from the ∆ycf1 + EV.
To test our hypothesis that SaNramp6 may mediate the Cd uptake, the metal content was measured in yeast cells expressing SaNramp6 or the vector that were grown in the presence of Cd. A significantly enhanced accumulation of Cd was observed in yeast cells expressing SaNramp6 compared with the control (Fig. 4c)
Subcellular localization of SaNramp6
Bioinformatics analysis using the CELLO v2.5 program software predicted that SaNramp6 is localized in plasma membrane.
To test the prediction, the subcellular localization of SaNramp6 was analyzed by transiently expressing the SaNramp6-GFP fusion protein in protoplasts isolated from A. thaliana, onion epidermal cells and N. benthamiana epidermal cells, respectively. As shown in Fig. 5, visualized fluorescence indicated that the SaNramp6-GFP signal was localized at the plasma membrane, whereas the green fluorescent signal in the GFP control vector was distributed throughout the cytosol taken chlorophyll as control in protoplasts of A. thaliana.
Figure 5.
Subcellular localization of SaNramp6. Control, Non-transformed protoplast; GFP-vector, protoplast transformed with p35S-GFP vector; SaNramp6-GFP, protoplast transformed with SaNramp6-GFP fusion. Scale bar = 7.5 μm.
The plasma membrane localization of SaNramp6 was further confirmed by the transient expression of SaNramp6-GFP in onion epidermal cells and N. benthamiana epidermal cells. The fusion protein was found to be targeted to the plasma membrane by colocalization with FM4–64 within 5 min of the onset of staining (Supplementary Figure S1). These results indicate that SaNramp6 is localized at the plasma membrane, consistent with the prediction by the CELLO software.
SaNramp6 participates in oxidative damage in transgenic Arabidopsis
The production of reactive oxygen species (ROS) in the different lines was analyzed using H2O2 and O2 − accumulation. As shown in Fig. 6, the contents of H2O2 and O2 − in the transgenic lines (OE 2 and OE 3) were markedly increased and both were nearly 30% higher than those in WT line. However, they were decreased or slightly increased in the mutant nramp1 (Atnr) and rescue of nramp1 lines (Atnr-N24 and Atnr-N28), respectively (Fig. 6a,b,e,f). Thus, upon Cd stress, the overexpression of SaNramp6 could result in a high level of H2O2 and O2 − accumulation.
Figure 6.
ROS accumulation responses to Cd stress and physiological indicators in four different lines - WT (wild type); OE 2 and OE 3 (overexpression lines); Atnr (mutant line); Atnr-N24 and Atnr-N28 (rescue lines). (a,e) H2O2, (b,f) O2 −, (c,g) CAT activity, (d,h) POD activity. Control, without Cd treatment; Cd treatment, 30 µM Cd treatment for two weeks. Bars indicate means ± standard deviations (SDs) of at least three independent biological experiments. One or two asterisks indicate a significant difference at P < 0.05 or P < 0.01 from wild type.
We next examined the scavenging ability of ROS by determining CAT and POD activities. The concentration of CAT and POD in the different lines had no difference in the control. Nevertheless, the CAT activity was dramatically increased in transgenic lines as was the POD activity under Cd treatment (Fig. 6c,d,g,h). Thus, the overexpression of SaNramp6 caused more damage and enhanced CAT and POD activities under Cd treatment.
In addition, the four lines (WT, overexpression lines, mutant line, rescue lines) had no obvious differences in roots without Cd treatment (Supplementary Figure S2). However, the root length of transgenic lines (OE 2 and OE 3) was longer than that in the other lines in two weeks after the Cd treatment (Supplementary Figure S2).
Overexpression of SaNramp6 resulted in an increased Cd concentration
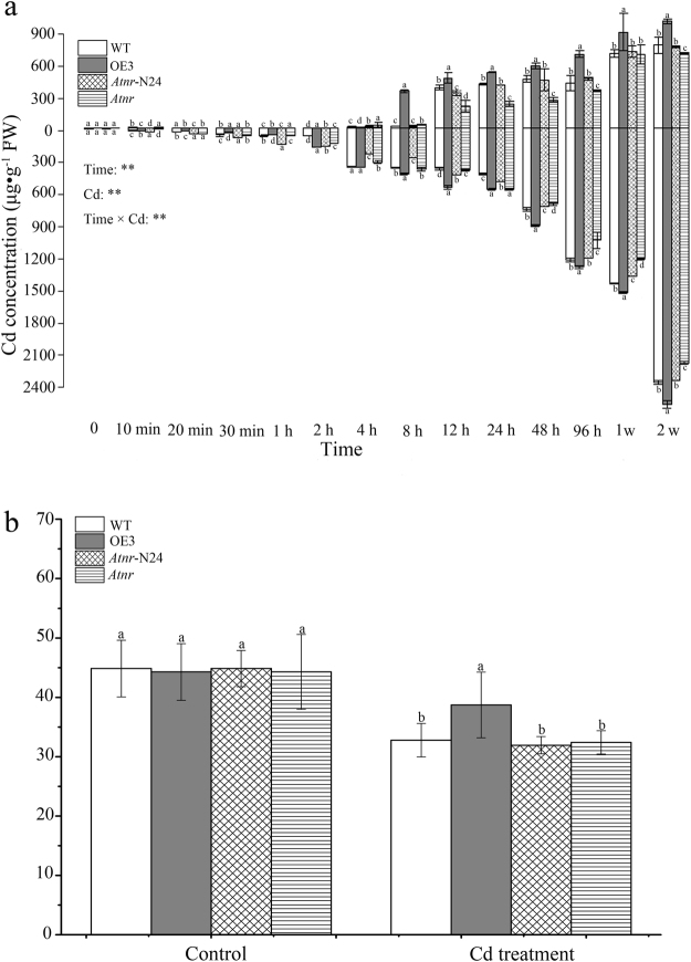
Time-dependent Cd-uptake experiments using aerial parts and roots were conducted to evaluate the differences in Cd-uptake abilities by the different organs of the four lines. The time-dependent experiment on the four lines (WT, overexpression lines, mutant line, rescue lines) showed that Cd concentration increased as the treatment period progressed and the pattern of Cd uptake by roots displayed an initial slower stage during the first eight hours, followed by a second, rapid stage over the subsequent two weeks and it was significant lower in OE 3 than in WT, Atnr and Atnr-N24 (Fig. 7a). The Cd concentrations in the roots of all of the lines increased remarkably under Cd-stress conditions for two weeks. However, compared with the other lines, the OE 3 had significant higher concentration of Cd in its aerial parts. Cd was transferred to aboveground parts began in 8 h and increased steadily in the following two weeks. The translocation factor of the transgenic lines was markedly higher than that of the other lines after Cd exposure for two weeks (Fig. 7b). These results indicated that the transgenic lines may have a better absorption capacity for Cd. Thus, SaNramp6 may influence the accumulation ability of Cd in S. alfredii.
Figure 7.
Time-dependent Cd-uptake experiments (a) and Cd-translocation factors (Tf) (b) in four lines. WT (wild type); OE 3 (overexpression lines); Atnr (mutant line); Atnr-N24 (rescue lines). Bars indicate means ± standard deviations (SDs) of at least three independent biological experiments. Different letters on the bars indicate significant difference at same time within treatments (WT, overexpression lines, mutant line, rescue lines). P-values of the two-way ANOVAs of Time, Cd (Cd treatment) and their interaction (Time × Cd) are indicated. *P < 0.05; **P < 0.01.
To decipher the phenomenon of Cd accumulation in the four different lines, Cd2+ was measured in 30 d after 30 μM Cd treatment. Significantly higher Cd2+-influx rates were identified in overexpression lines (OE 2 and OE 3) compared with WT line (Fig. 8a,b) and markedly lower in Atnr line (Fig. 8c,d); however, there were no differences between rescue lines (Atnr-N24 and Atnr-N28) and WT line (Fig. 8c,d).
Figure 8.
Comparison of Cd concentrations and net Cd2+-influx rates in four lines - WT (wild type); OE 2 and OE 3 (overexpression lines); Atnr (mutant line); Atnr-N24 and Atnr-N28 (rescue lines). (a,c) Cd2+ flux rates with Cd treatment for 24 h. (b,d) Mean flow rates of Cd2+. Bars indicate means ± standard deviations (SDs) of at least three independent biological experiments. One or two asterisks indicate a significant difference at P < 0.05 or P < 0.01 from wild type.
Discussion
Here, we cloned an Nramp family member from a heavy metal-accumulating ecotype of S. alfredii and the results showed that it conferred the ability to accumulate Cd in overexpression transgenic A. thaliana. Cd is a strongly toxic heavy metal transported across plant membranes by physiological metal transporters29. To date, various gene families related to the transport of Cd have been reported, such as the P-type ATPase superfamily30, ABC transporters31 and the CE family32. Among these metal transporters, the Nramp family is widely distributed in mammals, fungi and bacteria.
The determination of SaNramp6′s subcellular localization is important for understanding its potential roles in the process of accumulating metals. AtNramp6 is located in a vesicular-shaped endomembrane compartment and works as an intracellular Cd transporter23. Similarly, OsNramp1 was localized to the plasma membrane in onion epidermal cells, and the overexpression of OsNramp1 results in a Cd accumulation in the leaves33. The soybean Nramp homologue, GmDmt, is located on the peribacteroid membrane of root nodules and mediates ferrous iron uptake in yeast27. In Thlaspi japonicum H., a nickel (Ni) hyperaccumulator, TjNramp4 could specifically transport Ni and increase Ni concentrations34. The deduced amino acid sequence of SaNramp6 shares an 80% identity with AtNramp6, and the phylogenetic tree also indicated that SaNramp6 was most similar to AtNramp6. In addition, our subcellular localization analysis showed that SaNramp6 was located in the plasma membrane. Thus, SaNramp6 could function as a metal transporter in the plasma membrane (Fig. 5).
An plasma membrane localization is consistent with SaNramp6 conferring Cd uptake by increasing the Cd content in plant tissues. AtNramp3 is involved in increased metal tolerance or accumulation. However, AtNramp6 leads to Cd hypersensitivity when overexpressed in Arabidopsis, and Arabidopsis plants lacking AtNramp6 are more resistant to Cd than WT lines23. In rice, OsNramp1 participates in cellular Cd uptake or transport and the overexpression of OsNramp1 enhances tolerance to Cd and increases Cd accumulation in shoots24. OsNramp5 is a major transporter for Cd uptake, influencing Cd absorption in both solution and soil cultures25,33. Hence, compared with the control, SaNramp6′s overexpression in A. thaliana could accumulate more ROS of roots when exposed to CdCl2. We believe that understanding its functions in plants will facilitate the development of Cd-accumulating plants.
The growth of the Cd sensitive yeast strain (∆ycf1) transformed with the empty vector was inhibited by Cd, and yeast cells harbouring the SaNramp6-expression vector exhibited weaker growth activities. The results indicated that SaNramp6 cannot complement the Cd sensitivity or rescue the Cd-sensitivity phenotype in the mutant yeast strain. However, the Cd concentration of the SaNramp6-expression strain was 10% higher than that of the empty vector strain (Fig. 4). The induction of SaNramp6 expression by CdCl2 suggested that the gene might be involved in responding to heavy metal stress and is a transporter for Cd uptake in S. alfredii. Consistent results have been reported using a similar approach. Thomine et al.22 found that the growth of transgenic yeast expressing AtNramp1, AtNramp3, AtNramp4 was strongly reduced in liquid cultures supplemented with 3 µM CdCl2 compared with the control, and these genes increased the Cd content in yeast. However, AtNramp3-OE in Arabidopsis were found to be hypersensitive to Cd. TcNRAMP3′s-expression increased Cd sensitivity and the Cd content in yeast, and TcNRAMP3-OE in tobacco resulted in a slight sensitivity of root growth to Cd35. The growth of yeast strain Δycf1 was affected by OsNRAMP5, which is involved in Cd transport25. Therefore, these data showed that some NRAMP members could increase Cd sensitivity and Cd concentration. Here, our results from SaNramp6 in transgenic yeast with Cd-sensitivity phenotype and Cd concentration (Fig. 4) and that in transgenic A. thaliana were consistent with the previous results (Fig. 7).
The capacity to reduce Cd-associated oxidation may be an important mechanism contributing to Cd uptake and transport. To test the role of SaNramp6 in heavy metal-stress tolerance, a functional analysis was carried out by overexpressing SaNramp6 in A. thaliana and rescuing the Arabidopsis mutant nramp1. In the physiological assays (Fig. 6), the root lengths of overexpression transgenic plants were markedly longer and the contents of H2O2, O2 −, CAT and POD were also higher than those in WT lines, which suggested that the overexpression of SaNramp6 enhanced the Cd uptake and accumulation in transgenic plants.
Taken together, we have functioned SaNramp6 in transgenic yeast and A. thaliana and the data presented in this study suggested that SaNramp6 may be a critical Cd transporter responsible for Cd accumulation in S. alfredii. It was hard to place the functions of SaNramp6 into specific categories such as uptake or translocation. The improved Cd uptake caused by SaNramp6 may be due to the exertion of direct effects on several major pathways or may work in cooperation with other genes participating heavy metal uptake, transport, sequestration and detoxification. A similar case was reported recently, the uptake of Fe in roots by NRAMP1 requires the partnership of another transporter, IRT1, in A. thaliana 36. Although the function of SaNramp6 is still unclear, the gene appears to be related to the hyperaccumulator characteristic of S. alfredii. These findings will contribute to understanding the function of Nramp genes and provide experimental evidence and theoretical guidance for further studies.
Methods
Plant materials and growth conditions
A hyperaccumulating ecotype of S. alfredii was collected from the area of an old Pb/Zn mine in Quzhou City, Zhejiang Province, P. R. China. The plants were water-cultivated in an artificial climate chamber at 25 °C with a 16 h light/8 h dark cycle. The S. alfredii seedlings used for the stress treatment were asexual propagated to ensure consistency and grown in half-strength Hoagland-Arnon solution for about two weeks until relatively vigorous roots grew. For the expression analyses of target genes, plants were treated with 400 μM CdCl2 for 0 h, 0.5 h, 6 h, 12 h, 24 h, 48 h, 72 h, 96 h, 1 week and 2 week. Each treatment was replicated three times. All samples were quickly frozen in liquid nitrogen followed by storage at −80 °C until use.
A. thaliana (ecotype Columbia) was grown in a controlled environmental chamber at 22 °C under a long-day cycle (16 h light, 8 h dark), with a white light intensity of approximately 125 mmol·m−2·s−1 and 70% relative humidity. Overexpression lines, mutant and rescue lines, were selected for physiological assays. The seeds were surface sterilized and germinated on 1/2 Murashige and Skoog (MS) agar plates containing 25 mg·L−1 hygromycin. Whereafter, 30 d-old Arabidopsis seedlings were soaked in Hoagland-Arnon solution with or without 50 µM CdCl2 for 24 h and them used to measure the Cd2+ flux. For physiological assays, 30 d-old homozygous transgenic seedlings were soaked in Hoagland-Arnon solution with or without 30 µM CdCl2 for two weeks, and treatments for 0 h, 10 min, 20 min, 30 min, 1 h, 2 h, 4 h, 8 h, 12 h, 24 h, 48 h, 96 h, 1 week and 2 week used for Cd-uptake assay.
RNA preparation, cDNA synthesis and DNA extraction
Leaves, stems and roots were harvested after each treatment, and all of the samples were frozen in liquid nitrogen and stored at −80 °C for analysis. Total RNA was isolated from the tissues using the Total RNA Purification Kit (NORGEN, Thorold, Canada). First-strand cDNA was then synthesized from 2 µg of total RNA by the Superscript RT III first-strand cDNA synthesis kit followed by RNase H (Invitrogen, Carlsbad, USA) treatment. Genomic DNA was isolated from seedling leaves using cetyltrimethyl ammonium bromide (CTAB) method as described by Murray and Thompson37.
Cloning of SaNramp6 gene
The full-length SaNramp6 cDNA was amplified by reverse transcription-PCR (RT-PCR) and rapid amplification of cDNA ends-PCR (RACE-PCR).
The internal fragment of SaNramp6 was isolated from S. alfredii using the specific primers SaNramp6-F and SaNramp6-R, which were designed according to transcriptome data28. To obtain the 3′-end cDNA and 5′-ready cDNA, four gene specific primers 3P1, 3P2, 5P1 and 5P2, were designed and synthesized based on the sequence of the cloned internal fragment. The cloning was performed as described by Wang et al.38. Additionally, the genomic sequence of SaNramp6 was amplified by PCR using genomic DNA as the template with primers SaNramp6-F and SaNramp6-R. All of the primers are listed in Table 1.
Table 1.
Degenerate and specific primers used in this work.
| Primers | Sequence (5′-3′) | Description | 
|---|---|---|
| SaN1-F | ATGGCATCAACTGTCGGAAACGC | qRT-PCR | 
| SaN1-R | ACATGCCAATTCCACAGCGA | qRT-PCR | 
| SaNramp6-F | ATGGCATCAACTGTCGGAAACGC | Gene specific amplification | 
| SaNramp6-R | CTACTCTAAGACAGCTCTGCGTTGCGG | Gene specific amplification | 
| SaNramp6-GF | CACCATGGCATCAACTGTCGGAAACGC | Gene specific amplification | 
| SaNramp6-RT-F | TGTTTGGCGATTGTGCCAAG | qRT-PCR | 
| SaNramp6-RT-R | ACATGCCAATTCCACAGCGA | qRT-PCR | 
| UBC9-F | TGGCGTCGAAAAGGATTCTGA | qRT-PCR | 
| UBC9-R | CCTTCGGTGGCTTGAATGGATA | qRT-PCR | 
| AtActin-F | GCACCCTGTTCTTCTTACCG | qRT-PCR | 
| AtActin-R | AACCCTCGTAGATTGGCACA | qRT-PCR | 
| APL | AAGCAGTGGTATCAACGCAGAGTACGC(G)10 | 5′-RACE adapter primer | 
| APS | AAGCAGTGGTATCAACGCAGAGT | 5′-RACE universal primer | 
| B 26 | GACTCTAGACGACATCGA(T)18 | 3′-RACE adapter primer | 
| B 25 | GACTCTAGACGACATCGA | 3′-RACE universal primer | 
| 5P1 | ATGCAATTGAAACAAGAAAACCAGG | Reverse primer for 5′-RACE | 
| 5P2 | ATGCCATCTATCGATCAAACTGTT | Reverse primer for 5′-RACE | 
| 3P1 | AGGCTGGCGTGGTTGATACATGTG | Forward primer for 3′-RACE | 
| 3P2 | TGTGCGAATCGGATCAAGTTT | Forward primer for 3′-RACE | 
Bioinformatics analysis of SaNramp6
To compare the genomic structure, the genomic sequences of A. thaliana Nramps from GenBank were searched and the intron-exon structure was analyzed.
Translation and protein analyses of SaNramp6 were initially performed using ExPASy tools (http://www.expasy.org/tools/). CELLO v.2.5: subCELlular LOcalization predictor (http://cello.life.nctu.edu.tw/) and SOSUI version 1.11 (http://bp.nuap.nagoya-u.ac.jp/sosui/) were used to predict subcellular localization and transmembrane domains, respectively. For the multiple sequence alignment, Clustal Omega (http://www.ebi.ac.uk/Tools/msa/) was performed to align amino acid sequences first, and subsequently, the results were edited by GeneDoc. Additionally, a phylogenetic tree was constructed by MEGA 5.2 software using the Neighbour-joining method with 1,000 replicates based on amino acid sequences of the NRAMP proteins. The known NRAMP protein sequences from NCBI GenBank are shown in Table 2.
Table 2.
Names and accession numbers of the Nramp protein family members.
| Species | Name | Accession numbers | 
|---|---|---|
| Arabidopsis thaliana | AtNramp1 | NP_178198.1 | 
| Arabidopsis thaliana | AtNramp6 | NP_173048.3 | 
| Populus trichocarpa | PtNramp1 | XP_006368514.1 | 
| Morus notabilis | MnNramp6 | EXB50420.1 | 
| Triticum urartu | TuNramp3 | EMS65084.1 | 
| Nicotiana tabacum | NtNramp1 | BAH66919.1 | 
| Selaginella moellendorffii | SmNramp | XP_002966634.1 | 
| Solanum melongena | SmNramp1 | BAM34953.1 | 
| Solanum torvum | StNramp1 | BAM34952.1 | 
| Brassica juncea | BjNramp | ACR16683.1 | 
| Medicago truncatula | MtNramp | XP_003602053.1 | 
| Arachis hypogaea | AhNramp1 | AFQ37304.1 | 
| Theobroma cacao | TcNramp6 | XP_007023419.1 | 
| Oryza sativa Japonica | OsNramp5 | NP_001059312.1 | 
Expression pattern analysis
SYBR-based quantitative real-time PCR (qRT-PCR) reactions (SYBR premix EX Tag reagent, TaKaRa, Da Lian, China) were carried out in triplicate on a 7300 Real-Time PCR System (Applied Biosystems, CA, USA) according to the manufacturer’s instructions. Relative gene expression was estimated based on the 2−ΔΔCt method, applying the geometric mean of two reference genes: UBC9 and TUB 39,40. All of the primers for RT-qPCR are listed in Table 1.
Expression vector construction
The open reading frame of SaNramp6 was amplified by PCR using High Fidelity KOD-Plus DNA Polymerase (Toyobo, Japan) from the cDNA of S. alfredii using the specific primers SaNramp6-GF and SaNramp6-R (Table 1). The yeast expression vector pYES2.1 -SaNramp6 was generated using pYES2.1 TOPO® TA Expression Kit (Invitrogen, Carlsbad, USA). For subcellular location and plant expression vector, the purified PCR products were then cloned into the Gateway entry vector pENTR/D-Topo (Invitrogen, Carlsbad, USA) and positive clones were further sequenced to verify the direction and sequence accuracy. The sequence-verified plasmid was then recombined in pK7WGF2.0 and pH2GW7.041 to generate pK7WGF2.0-SaNramp6 and pH2GW7.0-SaNramp6, respectively.
Subcellular localization of SaNramp6
The correct plasmid pK7WGF2.0-SaNramp6 fused to the green fluorescent protein (GFP) was extracted by Plasmid Maxprep Kit (Vigorous, Beijing, China). Free vector p35S-GFP was used as control. A. thaliana protoplast isolation and transfection were performed as previously described42. The subcellular location of SaNramp6 was further investigated by transient expression in onion epidermal cells and Nicotiana benthamiana lower leaf epidermal cells as described by Liu et al.43 and Zheng et al.44, respectively. A LSM510 confocal laser scanning microscope (Carl Zeiss, Oberkochen, Germany) was used to observe the signals.
Heterologous expression of SaNramp6 in yeast
The Saccharomyces cerevisiae strain BY4742 ∆ycf1 (MATα; his3Δ1; leu2Δ0; met15Δ0; ura3Δ0; YDR135c::kanMX4) was a Cd-sensitive mutant, which lacked the ability to compartmentalize Cd into vacuoles45, was used to assess the Cd tolerance of SaNramp6. The yeast transformation was performed using the lithium acetate method46. Yeast ∆ycf1 cells transformed with the empty pYES2.0 vector were used as controls. The transformed yeast cells were selected on synthetic defined medium lacking uracil. For complementation assays, a series of three 1:10 dilutions from each culture was spotted onto synthetic-galactose-uracil (SG-U) agar plates supplemented with 0, 15 and 20 µM CdCl2 and incubated at 30 °C for three days. The relative growth of transformants was determined by measuring the OD600 at 6 h intervals. For the Cd-uptake assay, yeast cells transformed with the empty or SaNramp6 vector were grown for 48 h at 30 °C on SG-U supplemented with 5 µM CdCl2, then measured the Cd content.
Detection of the Arabidopsis Atnr mutant by Atnramp1
To understand the functions of SaNramp6, we obtained mutant alleles from the SALK collection of sequence-indexed T-DNA insertions47. However, the mutant alleles of AtNramp6 were not found. Therefore, a single insertion line (SALK_053236; nramp1-1) was confirmed for SaNramp6 because AtNramp6 and AtNramp1 have similar genomic structure. A homozygous mutant was detected by PCR using the primers (LP/RP and universal primers BP) designed based on the T-DNA website (http://signal.salk.edu/tdnaprimers.2.html) (data not shown). The collected homozygous mutant seeds were air-dried and stored at 4 °C.
Generation of transgenic A. thaliana
The recombinant plasmid pH2GW7.0-SaNramp6 was introduced into Agrobacterium tumefaciens strain EHA105. A. thaliana ecotype Columbia plants were transfected by the floral dip method48. Positive transformants were selected based on hygromycin (Hyg, 20 μg·mL−1) resistance and confirmed by PCR and RT-PCR using the primers described above, AtActin (Table 1) was the internal control. Homozygous lines were identified by screening for non-segregation from each independent transformant (T3 generation).
Physiological analysis of SaNramp6 transgenic, mutant and rescue of mutant lines
Six overexpression lines (designated OE) with high transcriptional levels of SaNramp6 and 26 rescue of Arabidopsis mutant lines were obtained in this study. Among them, the OE 2, OE 3, Atnr-N24 and Atnr-N28 lines were selected in the following study owing to their phenotypes.
To investigate the potential effects of SaNramp6 in A. thaliana, SaNramp6-OE A. thaliana (OE 2 and OE 3), homozygous mutant A. thaliana (Atnr) and the rescue of the Arabidopsis mutants (Atnr-N24 and Atnr-N28), as well as wild type, were used for abiotic stress-related physiological analyses, including root length, peroxidase (POD) activity, catalase (CAT) content, H2O2 and superoxide anion accumulations, and measurements of the Cd2+ flux. All of the experiments were independently carried out three times.
As for analyzing peroxidase (POD) activity, catalase (CAT) content, H2O2 and superoxide anion accumulations, approximately 0.1 g of root tissue was ground in liquid nitrogen and placed it in 2-mL tubes. The extraction of these physiological indices used the appropriate kits according to the instruction manual (Comin, Suzhou, China).
The net Cd2+ fluxes in the roots of Arabidopsis were measured noninvasively by the Younger USA NMT Service Centre (Xuyue, Beijing) using the NMT system (NMT100 Series, Younger, USA LLC, Amherst, MA, USA). Prior to the flux measurement, the roots were equilibrated for 15 min in testing liquid (0.05 mM CdCl2, 0.1 mM KCl, 0.02 mM CaCl2, 0.02 mM MgCl2, 0.5 mM NaCl, 0.1 mM Na2SO4 and 0.3 mM MES, pH 5.7). Then, the transmembrane Cd2+ flux in roots was measured of different lines (120 µm to root apex) for 15 min by a Cd2+-selective microelectrode. All of the measurements were repeated at least six times independently.
Cd concentration assay
To test the characteristic of SaNramp6′s Cd accumulation in A. thaliana, SaNramp6-OE A. thaliana (OE 3), homozygous mutant A. thaliana (Atnr), the rescue of the Arabidopsis mutant (Atnr-N28) and wild type were used in this experiment.
Roots and aerial parts were harvested individually for the Cd concentration analysis, and roots were resorbed by dipping in 1 mM EDTA for 30 min, and then washed three times with distilled water. All of the samples containing yeast cells for Cd determination were dried at 105 °C for 30 min, and then placed at 70 °C until they reached a constant weight. The dried samples were digested with a concentrated acid mixture of HNO3, HClO4, and H2SO4 (volume ratio = 4:1:0.5) at 250 °C for 8 h. The metal concentration in the digested solution was determined by atomic absorption spectrometry (M6; SOLLAR) and an inductively coupled plasma-mass spectrometer (ICP-MS; NexION 300; PerkinElmer) after dilution.
Data processing
Data were exhibited as the means ± standard deviations (SDs) of at least three independent biological experiments. Statistical analysis was performed using SPSS 17.0 statistics software. To test significant changes in mRNA relative expression and Cd concentration, time and Cd treatment were regarded as the main factors. Tukey- HSD method was used to correct all P-values of these multiple comparisons. In addition, one asterisk (*) or two asterisk (**), significantly different from control at P = 0.05, 0.01, respectively.
The translocation factor for Cd within a plant was expressed by the concentration in the aerial parts (µg·g−1DW)/the concentration in the roots (µg·g−1DW), which showed the Cd-translocation properties from roots to aerial parts49.
Electronic supplementary material
Acknowledgements
We thank the anonymous referees and the editor for the comments and suggestions that helped improve the manuscript. This work was supported by Basic Scientific Research Project of Nonprofit Central Research Institutions (No. CAFYBB2012040 and TGB2013008), National High-tech R&D Program of China No. 2013AA102701-3, the National Natural Science Foundation of China (No. 31200465), the National Key R&D Program of China (No. 2016YFD0800801) and the National Nonprofit Institute Research Grant of CAF (No. CAFYBB2012040, No. RISF2014010).
Author Contributions
S.C., X.H., J.F., R.Z. planned and designed the research. S.C., X.H., and J.F. performed the experiments. Z.L., W.M., M.L., J.S. and J.J. contributed analytical tools, and S.C., X.H. wrote the manuscript and coordinated its revision. R.Z. contributed reagents/materials/funds support. All authors read and provided helpful discussions, and approved the final version.
Competing Interests
The authors declare that they have no competing interests.
Footnotes
Shuangshuang Chen, Xiaojiao Han and Jie Fang contributed equally to this work.
Electronic supplementary material
Supplementary information accompanies this paper at 10.1038/s41598-017-13463-4.
Publisher's note: Springer Nature remains neutral with regard to jurisdictional claims in published maps and institutional affiliations.
References
- 1.Fox TC, Guerinot ML. Molecular biology of cation transport in plants. Plant Biology. 1998;49:669–696. doi: 10.1146/annurev.arplant.49.1.669. [DOI] [PubMed] [Google Scholar]
 - 2.Satarug S, Garrett SH, Sens MA, Sens DA. Cadmium, Environmental Exposure, and Health Outcomes. Ciência & Saúde Coletiva. 2010;16:2587–2602. doi: 10.1590/S1413-81232011000500029. [DOI] [PMC free article] [PubMed] [Google Scholar]
 - 3.Nawrot T, et al. Environmental exposure to cadmium and risk of cancer: a prospective population-based study. Lancet Oncology. 2006;7:119–126. doi: 10.1016/S1470-2045(06)70545-9. [DOI] [PubMed] [Google Scholar]
 - 4.Mason, L. H., Harp, J. P. & Han, D. Y. Pb neurotoxicity: neuropsychological effects of lead toxicity. Biomed Research International2014 (2014). [DOI] [PMC free article] [PubMed]
 - 5.Mcgrath SP, Zhao FJ, Lombi E. Plant and rhizosphere processes involved in phytoremediation of metal-contaminated soils. Plant and Soil. 2001;232:207–214. doi: 10.1023/A:1010358708525. [DOI] [Google Scholar]
 - 6.Mcgrath SP, Zhao FJ. Phytoextraction of metals and metalloids from contaminated soils. Current Opinion in Biotechnology. 2003;14:277–282. doi: 10.1016/S0958-1669(03)00060-0. [DOI] [PubMed] [Google Scholar]
 - 7.Yang XE, Long XX, Ni WZ, Fu CX. Sedum alfredii H: A new Zn hyperaccumulating plant first found in China. Science Bulletin. 2002;47:1634–1637. doi: 10.1007/BF03184113. [DOI] [Google Scholar]
 - 8.Yang XE, Stoffella PJ. Cadmium tolerance and hyperaccumulation in a new Zn-hyperaccumulating plant species (Sedum alfredii Hance) Plant and Soil. 2004;259:181–189. doi: 10.1023/B:PLSO.0000020956.24027.f2. [DOI] [Google Scholar]
 - 9.Lu L, et al. Enhanced root-to-shoot translocation of cadmium in the hyperaccumulating ecotype of Sedum alfredii. Journal of Experimental Botany. 2008;59:3203–3213. doi: 10.1093/jxb/ern174. [DOI] [PMC free article] [PubMed] [Google Scholar]
 - 10.Yang X, et al. Zinc compartmentation in root, transport into xylem, and absorption into leaf cells in the hyperaccumulating species of Sedum alfredii Hance. Planta. 2006;224:185–195. doi: 10.1007/s00425-005-0194-8. [DOI] [PubMed] [Google Scholar]
 - 11.Tian S, Brown P. Cellular sequestration of cadmium in the hyperaccumulator plant species Sedum alfredii. Plant Physiology. 2011;157:1914–1925. doi: 10.1104/pp.111.183947. [DOI] [PMC free article] [PubMed] [Google Scholar]
 - 12.Page MD, Merchant SS. Two chlamydomonas CTR copper transporters with a novel cys-met motif are localized to the plasma membrane and function in copper assimilation. Plant Cell. 2009;21:928–943. doi: 10.1105/tpc.108.064907. [DOI] [PMC free article] [PubMed] [Google Scholar]
 - 13.Vert G, Briat JF, Curie C. Arabidopsis IRT2 gene encodes a root-periphery iron transporter. Plant Journal. 2001;26:181–189. doi: 10.1046/j.1365-313x.2001.01018.x. [DOI] [PubMed] [Google Scholar]
 - 14.Nevo Y, Nelson N. The NRAMP family of metal-ion transporters. Biochimica Et Biophysica Acta Molecular Cell Research. 2006;1763:609–620. doi: 10.1016/j.bbamcr.2006.05.007. [DOI] [PubMed] [Google Scholar]
 - 15.Segond, D. et al. NRAMP genes function in Arabidopsis thaliana resistance to Erwinia chrysanthemi infection. Plant Journal for Cell & Molecular Biology58, 195–207 (2009). [DOI] [PubMed]
 - 16.Migeon A, et al. Genome-wide analysis of plant metal transporters, with an emphasis on poplar. Cellular & Molecular Life Sciences Cmls. 2010;67:3763–3784. doi: 10.1007/s00018-010-0445-0. [DOI] [PMC free article] [PubMed] [Google Scholar]
 - 17.Colangelo EP, Guerinot ML. Put the metal to the petal: metal uptake and transport throughout plants. Current Opinion in Plant Biology. 2006;9:322–330. doi: 10.1016/j.pbi.2006.03.015. [DOI] [PubMed] [Google Scholar]
 - 18.Xia J, Yamaji N, Kasai T, Ma JF. Plasma membrane-localized transporter for aluminum in rice. Proceedings of the National Academy of Sciences of the United States of America. 2010;107:18381–18385. doi: 10.1073/pnas.1004949107. [DOI] [PMC free article] [PubMed] [Google Scholar]
 - 19.Cellier M, et al. Nramp defines a family of membrane proteins. Proceedings of the National Academy of Sciences. 1995;92:10089–10093. doi: 10.1073/pnas.92.22.10089. [DOI] [PMC free article] [PubMed] [Google Scholar]
 - 20.Curie C, Alonso JM, Le JM, Ecker JR, Briat JF. Involvement of NRAMP1 from Arabidopsis thaliana in iron transport. Biochemical Journal. 2000;347(Pt 3):S34–36. [PMC free article] [PubMed] [Google Scholar]
 - 21.Lanquar V, et al. Mobilization of vacuolar iron by AtNRAMP3 and AtNRAMP4 is essential for seed germination on low iron. Embo Journal. 2006;24:4041–4051. doi: 10.1038/sj.emboj.7600864. [DOI] [PMC free article] [PubMed] [Google Scholar]
 - 22.Thomine S, Schroeder JI. Cadmium and iron transport by members of a plant metal transporter family in Arabidopsis with homology to Nramp genes. Proceedings of the National Academy of Sciences of the United States of America. 2000;97:4991–4996. doi: 10.1073/pnas.97.9.4991. [DOI] [PMC free article] [PubMed] [Google Scholar]
 - 23.Cailliatte R, Lapeyre B, Briat JF, Mari S, Curie C. The NRAMP6 metal transporter contributes to cadmium toxicity. Biochemical Journal. 2009;422:217–228. doi: 10.1042/BJ20090655. [DOI] [PubMed] [Google Scholar]
 - 24.Takahashi R, et al. The OsNRAMP1 iron transporter is involved in Cd accumulation in rice. Journal of Experimental Botany. 2011;62:4843–4850. doi: 10.1093/jxb/err136. [DOI] [PMC free article] [PubMed] [Google Scholar]
 - 25.Sasaki A, Yamaji N, Yokosho K, Ma JF. Nramp5 is a major transporter responsible for manganese and cadmium uptake in rice. Plant Cell. 2012;24:2155–2167. doi: 10.1105/tpc.112.096925. [DOI] [PMC free article] [PubMed] [Google Scholar]
 - 26.Bereczky Z, Wang HY, Schubert V, Ganal M, Bauer P. Differential regulation of Nramp and Irt metal transporter genes in wild type and iron uptake mutants of tomato. Journal of Biological Chemistry. 2003;278:24697–24704. doi: 10.1074/jbc.M301365200. [DOI] [PubMed] [Google Scholar]
 - 27.Kaiser BN, et al. The soybean NRAMP homologue, GmDMT1, is a symbiotic divalent metal transporter capable of ferrous iron transport. Plant Journal for Cell & Molecular Biology. 2003;35:295–304. doi: 10.1046/j.1365-313X.2003.01802.x. [DOI] [PubMed] [Google Scholar]
 - 28.Han X, et al. Integration of small RNAs, degradome and transcriptome sequencing in hyperaccumulator Sedum alfredii uncovers a complex regulatory network and provides insights into cadmium phytoremediation. Plant Biotechnology Journal. 2016;33:552–575(524). doi: 10.1111/pbi.12512. [DOI] [PMC free article] [PubMed] [Google Scholar]
 - 29.Clemens S, Antosiewicz DM, Ward JM, Schachtman DP, Schroeder JI. The plant cDNA LCT1 mediates the uptake of calcium and cadmium in yeast. Proceedings of the National Academy of Sciences of the United States of America. 1998;95:12043–12048. doi: 10.1073/pnas.95.20.12043. [DOI] [PMC free article] [PubMed] [Google Scholar]
 - 30.Alvarez ME, et al. Reactive Oxygen intermediates mediate a systemic signal network in the establishment of plant immunity. Cell. 1998;92:773–784. doi: 10.1016/S0092-8674(00)81405-1. [DOI] [PubMed] [Google Scholar]
 - 31.Rea PA, Li ZS, Lu YP, Drozdowicz YM, Martinoia E. From vacuolar gs-x pumps to multispecific ABC transporters. Plant Biology. 1998;49:727–760. doi: 10.1146/annurev.arplant.49.1.727. [DOI] [PubMed] [Google Scholar]
 - 32.Paulsen IT, Saier MH. A novel family of ubiquitous heavy metal ion transport proteins. The Journal of Membrane Biology. 1997;156:99–103. doi: 10.1007/s002329900192. [DOI] [PubMed] [Google Scholar]
 - 33.Ishimaru, Y. et al. Characterizing the role of rice NRAMP5 in manganese, iron and cadmium transport. Scientific Reports2, 989–993 (2012). [DOI] [PMC free article] [PubMed]
 - 34.Mizuno T, et al. Cloning of three ZIP/Nramp transporter genes from a Ni hyperaccumulator plant Thlaspi japonicum and their Ni2+-transport abilities. Plant Physiology & Biochemistry Ppb. 2005;43:793–801. doi: 10.1016/j.plaphy.2005.07.006. [DOI] [PubMed] [Google Scholar]
 - 35.Wei W, et al. The Thlaspi caerulescens NRAMP homologue TcNRAMP3 is capable of divalent cation transport. Molecular Biotechnology. 2009;41:15–21. doi: 10.1007/s12033-008-9088-x. [DOI] [PubMed] [Google Scholar]
 - 36.Castaings, L., Caquot, A., Loubet, S. & Curie, C. The high-affinity metal transporters NRAMP1 and IRT1 team up to take up iron under sufficient metal provision. Scientific Reports6 (2016). [DOI] [PMC free article] [PubMed]
 - 37.Murray MG, Thompson WF. Rapid isolation of high molecular weight plant DNA. Nucleic Acids Research. 1980;8:4321–4325. doi: 10.1093/nar/8.19.4321. [DOI] [PMC free article] [PubMed] [Google Scholar]
 - 38.Wang, M., Zhang, Y., Wang, J., Wu, X. & Guo, X. A novel MAP kinase gene in cotton (Gossypium hirsutum L.), GhMAPK, is involved in response to diverse environmental stresses. Journal of Biochemistry & Molecular Biology40, 325–332 (2007). [DOI] [PubMed]
 - 39.Vandesompele J, et al. Accurate normalization of real-time quantitative RT-PCR data by geometric averaging of multiple internal control genes. Genome Biology. 2002;3:1–11. doi: 10.1186/gb-2002-3-7-research0034. [DOI] [PMC free article] [PubMed] [Google Scholar]
 - 40.Sang J, et al. Selection and validation of reference genes for real−time quantitative PCR in hyperaccumulating ecotype of Sedum alfredii under different heavy metals stresses. Plos One. 2013;8:e82927–e82927. doi: 10.1371/journal.pone.0082927. [DOI] [PMC free article] [PubMed] [Google Scholar]
 - 41.Karimi M, Inzé D, Depicker A. GATEWAY vectors for Agrobacterium-mediated plant transformation. Trends in Plant Science. 2002;7:193–195. doi: 10.1016/S1360-1385(02)02251-3. [DOI] [PubMed] [Google Scholar]
 - 42.Yoo SD, Cho YH, Sheen J. Arabidopsis mesophyll protoplasts: a versatile cell system for transient gene expression analysis. Nature Protocols. 2007;2:1565–1572. doi: 10.1038/nprot.2007.199. [DOI] [PubMed] [Google Scholar]
 - 43.Liu, M. et al. Functional characterization of a gene in sedum alfredii hance resembling rubber elongation factor endowed with functions associated with cadmium tolerance. Frontiers in Plant Science7 (2016). [DOI] [PMC free article] [PubMed]
 - 44.Zheng H, et al. A Rab-E GTPase mutant acts downstream of the Rab-D subclass in biosynthetic membrane traffic to the plasma membrane in tobacco leaf epidermis. Plant Cell. 2005;17:2020–2036. doi: 10.1105/tpc.105.031112. [DOI] [PMC free article] [PubMed] [Google Scholar]
 - 45.Li ZS, Rea PA. A new pathway for vacuolar cadmium sequestration in Saccharomyces cerevisiae: YCF1-catalyzed transport of bis (glutathionato) cadmium. Proceedings of the National Academy of Sciences of the United States of America. 1997;94:42–47. doi: 10.1073/pnas.94.1.42. [DOI] [PMC free article] [PubMed] [Google Scholar]
 - 46.Szczypka MS, Wemmie JA, Moye-Rowley WS, Thiele DJ. A yeast metal resistance protein similar to human cystic fibrosis transmembrane conductance regulator (CFTR) and multidrug resistance-associated protein. Journal of Biological Chemistry. 1994;269:22853–22857. [PubMed] [Google Scholar]
 - 47.Alonso JM, Ecker JR. Genome-wide insertional mutagenesis of Arabidopsis thaliana. Science. 2003;301:653–657. doi: 10.1126/science.1086391. [DOI] [PubMed] [Google Scholar]
 - 48.Clough SJ, Bent AF. Floral dip: a simplified method for Agrobacterium-mediated transformation of Arabidopsis thaliana. The Plant Journal. 1998;16:735–743. doi: 10.1046/j.1365-313x.1998.00343.x. [DOI] [PubMed] [Google Scholar]
 - 49.Stoltz E, Greger M. Accumulation properties of As, Cd, Cu, Pb and Zn by four wetland plant species growing on submerged mine tailings. Environmental & Experimental Botany. 2002;47:271–280. doi: 10.1016/S0098-8472(02)00002-3. [DOI] [Google Scholar]
 
Associated Data
This section collects any data citations, data availability statements, or supplementary materials included in this article.








