Abstract
In the present study, 36 Asian rice cultivars/landraces were evaluated against M. graminicola under in vitro conditions using soilless Pluronic gel medium. The cultivars/genotypes Phule Radha, EK 70, LK 248 and Khalibagh showed significantly reduced nematode infection, endoparasitic development, and derived multiplication factor indicating the presence of resistance, while Halvi Sal 17 was found to be most susceptible. Performance of selected genotypes showing resistance/susceptibility under in vitro conditions was further confirmed in soil which also revealed Phule Radha to be highly resistant and Halvi Sal 17 as the most susceptible genotype. Further, expression profile of plant defense responsive genes related to MAPK pathway, phytohormones, PR-proteins and callose and lignin synthesis were quantified in Phule Radha (the most resistant) and Halvi Sal 17 (the most susceptible) at 2 and 6 days post nematode inoculation. Significant upregulated expression of several defensive genes was observed in the resistant cultivar Phule Radha in contrast to insignificant expression in the susceptible varieties. The resistant genotype identified in the present study will be highly promising for resistance breeding in rice against M. graminicola.
Electronic supplementary material
The online version of this article (10.1007/s13205-020-2055-3) contains supplementary material, which is available to authorized users.
Keywords: Rice, Meloidogyne graminicola, Plant defense, Resistance, Susceptible
Introduction
Plant-parasitic nematodes (PPNs) cause an annual loss of approximately US$ 173 billion to the world agriculture infecting cereals, vegetables, fruits, plantation crops etc. (Elling 2013). Rice (Oryza sativa L.) is one of the most important cereal crops and accounts for everyday meal of almost two-thirds of the world’s population (Abodolereza and Racionzer 2009). Rice is attacked by several PPNs inflicting an estimated economic loss of almost 20%, coupled with substantial quality losses (Sasser and Freckman 1987; Kyndt et al. 2014). Amongst the major PPN species infecting rice, the root-knot nematode Meloidogyne graminicola (Nematoda: Meloidogyninae) causes considerable yield loss in the rice growing areas of Southeastern Asia and other countries (De Waele and Elsan 2007). The infective second-stage juveniles (J2s) of M. graminicola penetrate through the meristematic zone of root, move intercellularly within the root tissue to reach the vascular cylinder and develop specialized feeding cells, called “giant cells” (Kyndt et al. 2014). These modified feeding cells act as continuous source of nutrients for the nematode species to nurture them throughout their development and reproduction. A wide array of effector proteins of nematode oesophageal gland origin have been identified to interact with the host plant that help in maintaining the feeding cells and manoeuvring the plant defense responses (Chen et al. 2018; Naalden et al. 2018).
To date, almost all the rice varieties are known to be susceptible to root-knot nematode infection, and except for O. glaberrima and O. longistaminata, the reported resistance source against M. graminicola is very limited (De Waele and Elsan 2007; Kyndt et al. 2014). To meet the increasing demand of food for global population, rice varieties with superior yield potential and resistance/tolerance to biotic and abiotic stresses are being developed using molecular breeding approaches (Kumari et al. 2016). However, comprehensive knowledge about the molecular regulation of resistance/tolerance behaviour in rice—M. graminicola interaction is at a nascent stage (Kumari et al. 2016, 2017). It is a well-established fact that plants contain a nexus of defense responsive pathways which are activated on pest and pathogen attack (Liu et al. 2012), and the PPNs have also developed sophisticated methods to support their parasitism (Naalden et al. 2018). The resistant plants generally confront the pathogens (including nematodes) with activation of several basal and induced defense mechanisms (Li et al. 2015). The pathogen-host plant intercommunication is predominantly explained by ‘zigzag’ model (Jones and Dangl 2006), and similar understanding has also been established for PPN-host plant interaction (Choi and Klessig 2016; Ali et al. 2018).
Upon entry of PPNs into the host roots, the constitutive and basal plant defense responses are triggered by major signaling pathways, including salicylic acid (SA), ethylene (ET), and jasmonic acid (JA) mediated signals, pathogenesis-related (PR) proteins, and different plant transcription factors (Goto et al. 2013; Li et al. 2015). The SA signaling is considered to be most essential in R-gene mediated defense regulation against the sedentary endoparasitic nematodes (Branch et al. 2004; Uehara et al. 2010; Kandoth et al. 2011). Although, JA acts as an important signaling molecule in plant defense in wounding and pathogen infection, our current understanding of JA signaling in plant-nematode associations is less clear (Takahashi et al. 2004; Ozalvo et al. 2013). The ET biosynthesis and its signaling play an important role in susceptibility as well as resistance against sedentary nematodes which differ according to the infecting nematode species (Fujimoto et al. 2011). Role of several PR proteins and nematode associated molecular patterns (NAMPs) in relation with host resistance has also been reviewed earlier (Andrade et al. 2010; Manosalva et al. 2015). Although, the consolidated outcome of these coordinated signaling responses ultimately determine the plant susceptibility/resistance to PPNs, comparable articulation of these defense related genes in systemic and local defense in monocotyledons is an underexplored territory. In this context, the present study was conducted to identify and determine the resistance/tolerance/susceptibility in different cultivars/landraces of Asian rice (O. sativa) under in vitro PF-127 medium and soil system. Additionally, our study also provides a comprehensive depiction of defense-related gene expression changes in resistant and susceptible rice genotypes upon M. graminicola infection. The extrapolation of the findings of the current investigation will help filling the knowledge gap of physiological and molecular interaction between rice and plant-parasitic nematodes.
Materials and methods
Culturing of nematodes
The pure culture of an Indian isolate of Meloidogyne graminicola (Golden and Birchfield 1965) was multiplied on rice (O. sativa cv. PB 1121) in glasshouse at ICAR- Indian Agricultural Research Institute, New Delhi, India. The second-stage infective nematode juveniles (J2s) were hatched via “modified Baermann’s technique” from the infected rice roots (Whitehead and Hemming 1965). The freshly hatched J2s were used for all experiments.
Screening of rice genotypes under in vitro condition
The seeds of rice cultivars/landraces, Heera, Halvi Sal 17, RDN185-2, Phule Radha, RTN1, Ratna, Phule Samruddhi, Jaya, Phule Maval, Pawana, Indrayani, Bhogavati, Pusa Basmati 1, Ghansal, Kalajirga, Vivek Dhan 82, Badshabhog, Kothimbire, BPT 5204, RDN98-2-3-5-14, KJT2, EK 70, Patni, Diwani, Shyam Jeer, SD 17, Khalibagh, Champakali, Siddhagiri, RTN purple, Pavsal, Antersal, Nalabhat, Sonsali, LK 248, Pomendi Local were procured from Agricultural Research Station, Radhanagari, Mahatma Phule Krishi Vidyapeeth, Rahuri, Maharashtra, India. The pedigree of the genotypes is available at earlier publication of Kumbhar et al. (2015), and O. sativa cv. PB 1121 was used as a standard susceptible check.
The rice seeds were surface sterilized with 70% ethanol for 30 s–1 min, followed by rinsing with sterilized distilled water thoroughly until traces of ethanol vanished completely, and soaked overnight. The surface sterilized soaked seeds were placed in Petri dishes containing single layer of seed germination paper (SS Filters Pvt Ltd, Mumbai, Maharashtra, India) and incubated in a growth chamber, maintained at 28 °C, 70% relative humidity and 16:8 h light:dark photoperiod. The 3–4 day-old germinated seeds with 1.5–2 cm long radicals were used for experimental purpose. Seven seeds of each genotype were placed in a Petri dish, and screened (against M. graminicola infection) in vitro using Pluronic gel, PF-127 medium following standard protocols (Wang et al. 2009; Kumari et al. 2016). The root tips of each germinated seeds were inoculated with approximately 30 nematode J2s, and three replicates (3 Petri dishes containing 7 germinated seeds each) were maintained. The Petri dishes, after inoculation, were left at room temperature (28 °C) up to the gel gets solidified, transferred to growth chamber, and maintained at aforesaid conditions for 15 days (Additional file 1: Fig. 1). Fifteen days post inoculation (dpi), the plants were harvested, roots were washed and stained by NaOCl–Acid fuchsin method (Byrd et al. 1983). Number of galls, endoparasites, and egg masses developed per plant, and average number of eggs per egg mass was counted for each of the plants by dissecting out the stained roots under stereo-binocular microscope. Nematode multiplication factor (MF) [(number of egg masses × number of eggs per egg mass)/initial nematode inoculum] was derived to assess the reproductive fitness. The whole screening assay was repeated four times for reproducible results.
Screening of selected rice genotypes under greenhouse condition
Selected rice cultivars/landraces showing high level of resistance and/or susceptibility under Pluronic gel assay, were further screened under greenhouse condition at ICAR-Indian Agricultural Research Institute, New Delhi, India. For this, 21 day-old rice seedlings (of Phule Radha, EK 70, Khalibagh and Halvi Sal 17) raised in 6 inch diameter pots were inoculated with M. graminicola with inoculum level of 2 J2s per g soil. The pots with seedlings were maintained at standard greenhouse conditions. Two months post nematode inoculation, plants were harvested, roots were washed, and stained as described above to confirm and quantify nematode infection. Number of galls, endoparasites, and egg masses developed per plant, and average number of eggs per egg mass was counted for each of the plants, and nematode MF was derived as stated above. The whole screening assay was repeated two times, and O. sativa cv. PB 1121 was used as a standard susceptible check.
Expression analyses of defense responsive genes in root and shoot tissues of rice
The root tips of selected rice genotypes (Phule Radha, Halvi Sal 17 and PB 1121) were inoculated with M. graminicola J2s in Pluronic gel medium as documented above. The plantlets were harvested at 2 and 6 dpi, washed thoroughly to wash away the gel material, and excised shoots and root tips were stored immediately at − 80 °C, separately, until further use. Total RNA was extracted separately from the frozen shoot and root tissues using NucleoSpin total RNA Kit (Macherey–Nagel, Düren, Germany) following manufacturer’s instructions. Approximately 500 ng of purified RNA was reverse transcribed using cDNA synthesis kit (Superscript VILO, Invitrogen, Carlsbad, CA, USA). Expression of different defense genes (Additional file 2: Table 1) was quantified using qRT PCR as described earlier (Kumari et al. 2016). Gene expression was normalized using constitutively expressed genes Os18SrRNA (acc no. AF069218) and Osactin (acc no. RAP-DB:Os03g0718100). Three biological and three technical replicates were maintained for each sample, data were analyzed by ΔΔCt method (Livak and Schmittgen 2001) and results were expressed as log2-transformed fold change values. Healthy rice plants were used as control. To represent the comparative gene expression profile of shoot and root tissues after nematode infection, heat map image was generated using programme “Heatmapper” (https://www.heatmapper.ca). The primer details for qRT PCR are provided in Additional file 2: Table 1.
Statistical analysis
The bioassay data were subjected to one way analysis of variance (ANOVA) and was conducted under completely randomized designs (CRD) with statistical significance determined at P < 0.05, P < 0.01. Data transformation was done by square root transformed method.
Results
Screening of rice genotypes against M. graminicola under in vitro condition (Table 1, Fig. 1, Additional file 1: Fig. 1)
Table 1.
Performance of rice genotypes by deliberate challenging by Meloidogyne graminicola in Pluronic gel (the value of the number of galls, total endoparasites, egg masses and average eggs/plant are the mean of seven replicates; figure in parentheses indicates √X + 0.5 transformed value; values are significant at P < 0.05 and P < 0.01)
| Sr. no. | Name of genotype | Number of galls | Total endoparasites | Egg masses | Average eggs/egg mass |
|---|---|---|---|---|---|
| 1 | Jaya | 3.14 (1.89) | 9.43 (3.11) | 7.71 (2.82) | 36.51 (5.93) |
| 2 | Bhogavati | 3.14 (1.88) | 14.57 (3.85) | 10.29 (3.23) | 63.81 (7.93) |
| 3 | RDN98-2–3-5–14 | 4.29 (2.14) | 9.14 (3.05) | 8.29 (2.92) | 53.34 (7.30) |
| 4 | Kothimbire | 4.57 (2.20) | 12.43 (3.50) | 11.43 (3.35) | 46.36 (6.71) |
| 5 | PB 1 | 1.43 (1.33) | 5.00 (2.13) | 3.57 (1.80) | 35.93 (5.21) |
| 6 | EK70 | 0.29 (0.86) | 0.29 (0.86) | 0.29 (0.86) | 8.00 (2.01) |
| 7 | KJT2 | 3.86 (2.07) | 11.86 (3.36) | 11.71 (3.34) | 53.67 (7.36) |
| 8 | Champakali | 3.43 (1.93) | 6.57 (2.62) | 5.57 (2.43) | 46.40 (6.79) |
| 9 | Siddhagiri | 3.00 (1.85) | 4.86 (2.25) | 3.86 (2.06) | 36.34 (6.03) |
| 10 | RTN Purple | 3.57 (1.96) | 9.86 (3.09) | 9.57 (3.05) | 49.58 (7.00) |
| 11 | Antersal | 3.43 (1.97) | 6.43 (2.60) | 5.71 (2.45) | 46.76 (6.84) |
| 12 | Pavsal | 2.57 (1.64) | 5.43 (2.36) | 4.86 (2.24) | 55.93 (7.45) |
| 13 | Nalabhat | 2.71 (1.78) | 6.71 (2.61) | 6.71 (2.61) | 52.68 (7.25) |
| 14 | Sonsali | 1.29 (1.30) | 3.57 (1.87) | 2.14 (1.52) | 29.14 (4.98) |
| 15 | LK248 | 0.43 (0.93) | 0.71 (1.03) | 0.71 (1.03) | 16.29 (3.03) |
| 16 | Pomendi Local | 1.71 (1.45) | 4.00 (2.03) | 2.00 (1.50) | 33.54 (5.10) |
| 17 | Heera | 4.00 (2.09) | 12.14 (3.42) | 10.00 (3.04) | 45.84 (6.33) |
| 18 | HS 17 | 9.14 (3.04) | 28.14 (5.14) | 14.43 (3.48) | 29.92 (5.13) |
| 19 | RDN 185–2 | 4.86 (2.25) | 19.71 (4.10) | 4.71 (2.08) | 18.80 (4.05) |
| 20 | RTN-1 | 5.71 (2.44) | 19.00 (4.18) | 14.00 (3.51) | 33.84 (5.38) |
| 21 | Ratna | 8.29 (2.94) | 29.14 (5.27) | 8.57 (2.85) | 17.03 (4.08) |
| 22 | Phule Radha | 0.29 (0.86) | 0.29 (0.86) | 0.29 (0.86) | 6.57 (1.86) |
| 23 | Pawana | 3.00 (1.84) | 12.71 (3.59) | 11.57 (3.41) | 49.11 (6.99) |
| 24 | Phule Maval | 3.57 (2.00) | 13.00 (3.59) | 12.86 (3.57) | 37.85 (6.11) |
| 25 | Indrayani | 1.43 (1.31) | 2.29 (1.49) | 0.71 (1.05) | 12.45 (2.99) |
| 26 | Phule Samruddhi | 1.29 (1.33) | 3.71 (2.01) | 2.57 (1.61) | 23.64 (4.24) |
| 27 | Ghansal | 3.86 (2.08) | 18.57 (4.15) | 13.86 (3.62) | 27.63 (5.25) |
| 28 | Kalajirga | 3.57 (2.00) | 15.71 (3.89) | 6.43 (2.53) | 14.56 (3.80) |
| 29 | Diwani | 3.29 (1.88) | 11.86 (3.43) | 9.29 (2.99) | 36.41 (6.01) |
| 30 | Badshabhog | 4.71 (2.27) | 13.71 (3.72) | 7.86 (2.80) | 28.94 (5.29) |
| 31 | Vivek Dhan 82 | 1.14 (1.28) | 3.14 (1.77) | 2.14 (1.42) | 28.29 (4.64) |
| 32 | BPT5204 | 1.29 (1.27) | 2.57 (1.60) | 1.71 (1.38) | 17.45 (3.30) |
| 33 | Khalibagh | 0.43 (0.93) | 1.43 (1.17) | 1.29 (1.15) | 11.43 (2.84) |
| 34 | Shyam Jeer | 3.71 (1.99) | 12.57 (3.59) | 9.00 (2.97) | 29.81 (5.33) |
| 35 | Patni | 3.43 (1.96) | 11.14 (3.23) | 9.29 (2.88) | 27.07 (5.11) |
| 36 | SD 17 | 3.57 (2.00) | 11.43 (3.44) | 11.14 (3.40) | 36.64 (6.04) |
| 37 | PB 1121 | 7.71 (2.80) | 28.86 (5.28) | 26.14 (5.01) | 78.20 (8.85) |
| F | 12.15 | 11.25 | 8.99 | 7.12 | |
| CD (P = 0.05) | 0.36 | 0.82 | 0.76 | 6.14 | |
| CD (P = 0.01) | 0.51 | 1.16 | 1.08 | 8.72 |
Fig. 1.

Bar graph depicting the reproductive ability of the nematodes 15 days post inoculation on the rice genotypes (bar indicates standard error from seven replicates of each genotype)
Thirty-six rice genotypes were screened against M. graminicola under in vitro condition using PF-127 medium. The genotypes displayed large variability with respect to gall and egg mass formation when challenged against nematode J2s. Out of the 36 genotypes, least number of galls per plant was observed in EK 70 (0.29), LK 248 (0.43), Phule Radha (0.29), and Khalibagh (0.43). Corroborating this observation, both the number of endoparasites and egg masses per plant were also found very less in the aforesaid four genotypes, as compared to others and control. The average number of eggs per egg mass produced in EK 70, LK 248, Phule Radha, and Khalibagh were 8.00, 16.29, 6.57 and 11.43, respectively. On the other hand, highest number of galls were formed in Halvi Sal 17 (9.14), followed by PB 1121 (7.71). The derived MF for PB 1121 was found to be highest, followed by cultivars Bhogavati and KJT 2. The MF for EK 70 (0.08), LK 248 (0.39), Phule Radha (0.06), and Khalibagh (0.49) were found to be significantly (P < 0.01) less as compared to the susceptible cultivar PB 1121.
Screening of selected rice genotypes against M. graminicola under greenhouse conditions (Table 2, Fig. 2)
Table 2.
Evaluation of the rice genotypes against Meloidogyne graminicola under greenhouse conditions (the value of the number of galls, total endoparasites, egg masses and average eggs/plant are the mean of ten replicates; figure in parentheses indicates √X + 0.5 transformed value; values are significant at P < 0.05 and P < 0.01)
| Sr. no. | Name of genotype | Number of galls | Total endoparasites | Egg masses | Average eggs/egg mass |
|---|---|---|---|---|---|
| 1 | Phule Radha | 8.43 (2.94) | 25.43 (5.04) | 18.57 (4.31) | 34.13 (5.88) |
| 2 | EK 70 | 22.00 (4.70) | 67.71 (8.25) | 55.57 (7.47) | 50.72 (7.14) |
| 3 | Khalibagh | 25.29 (5.04) | 86.71 (9.33) | 74.43 (8.65) | 52.26 (7.26) |
| 4 | HS 17 | 62.71 (7.94) | 258.00 (16.02) | 232.86 (15.20) | 61.43 (7.86) |
| 5 | PB 1121 | 233 (15.18) | 547.71 (23.36) | 529.57 (22.98) | 79.69 (8.95) |
| F | 159.91 | 294.56 | 309.27 | 55.50 | |
| CD (P = 0.05) | 1.10 | 1.23 | 1.22 | 0.43 | |
| CD (P = 0.01) | 1.49 | 1.66 | 1.64 | 0.58 |
Fig. 2.
Response of rice genotypes to the deliberate challenging by Meloidogyne graminicola under greenhouse conditions. a Root phenotype of the rice genotypes, Phule Radha (1), EK 70 (2), Khalibagh (3), Halvi Sal 17 (4), PB 1121 (5) 60 days post inoculation. b Assessment of the reproductive ability (multiplication factor) of M. graminicola on the challenged rice genotypes (bar indicates standard error from ten replicates of each rice genotype)
Selected resistant (EK 70, Phule Radha, and Khalibagh) and susceptible (Halvi Sal 17 and PB 1121) genotypes identified using in vitro assay were further screened under greenhouse condition to confirm their performance in the soil system. The average number of galls produced per plant in Phule Radha (8.43), EK 70 (22.00), and Khalibagh (25.29) were significantly (P < 0.05) lower than PB 1121 (233) and Halvi Sal 17 (62.71). The number of endoparasites developed and egg masses formed per plant also followed the same trend. The derived MF was found to be lowest in Phule Radha (0.32), followed by EK 70 (1.41), and Khalibagh (1.94); as compared to Halvi Sal 17 (7.15) and PB 1121 (21.1).
Expression analyses of defense responsive genes in root and shoot tissues
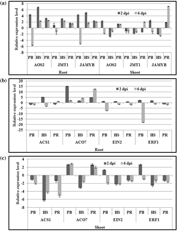
Expression of MAPK-related genes (Fig. 3a)
Fig. 3.
Expression pattern of a MAPK-dependent and b, c SA-dependent responsive genes in root and shoot tissues of rice genotypes by attack of Meloidogyne graminicola at 2 and 6 days post infection (PB PB 1121, HS Halvi Sal 17, PR Phule Radha). Data are shown as the log 2-transformed values of the fold change level of infected root/shoot in comparison with the control root/shoot tissue (uninfected plant) (bar indicates mean expression level and SE from three biological and three technical replicates of each rice genotype)
The resistant cultivar Phule Radha showed upregulation of OsMAPK5a, OsMAPK6 and OsMAPK20 at 2 dpi in roots; but at 6 dpi, OsMAPK6 and OsMAPK20 were upregulated and OsMAPK5a was downregulated. On the other hand, OsMAPK5a, OsMAPK6, and OsMAPK20 were found to be significantly upregulated in Halvi Sal 17 at 6 dpi in roots, while at 2 dpi only OsMAPK20 was downregulated. Unlike Halvi Sal 17, PB 1121 showed downregulation of all the three MAPK genes at 6 dpi in roots, however, OsMAPK5a was downregulated at 2 dpi, against upregulation of OsMAPK6 and OsMAPK20.
Unlike the large variability of MAPK expression in roots, the shoots showed a general downregulated pattern of MAPK expression at both the time points, except upregulation of OsMAPK6 and OsMAPK20 in PB 1121 at 2 dpi. However, the resistant cultivar Phule Radha showed upregulation of OsMAPK6 and OsMAPK20 at 6 and 2 dpi, respectively.
Expression of SA-related genes (Fig. 3b, c)
The susceptible cultivar PB 1121 showed upregulation of OsPAL1, OsICS1, OsEDS1, OsPAD4, and OsNPR1 at 2 dpi in roots; and Halvi Sal 17 showed upregulation of OsICS1, OsEDS1, and OsNPR1 and downregulation of OsPAL1 and OsPAD4. A large variability was observed in expression of these genes at 6 dpi for these two susceptible cultivars. On the other hand, the resistant cultivar Phule Radha showed upregulation of OsPAL1, OsICS1, OsEDS1 and OsNPR1, and downregulation of OsPAD4 at 2 dpi in roots. But, all the genes were upregulated in roots of Phule Radha at 6 dpi, except OsPAL1.
In shoots, the resistant cultivar Phule Radha showed upregulation of OsPAL1 and OsICS1, and downregulation of OsEDS1 and OsPAD4 at both 2 and 6 dpi. But OsNPR1 was downregulated at 2 dpi, and upregulated at 6 dpi in Phule Radha. Unlike the resistant cultivar, both the susceptible cultivars (PB 1121 and Halvi Sal 17) showed large variability in expression of all the SA-related genes at 2 and 6 dpi.
Expression of JA-related genes (Fig. 4a)
Fig. 4.
Expression pattern of a JA-dependent and b, c ET-dependent responsive genes in root and shoot tissues of rice genotypes by attack of Meloidogyne graminicola at 2 and 6 days post infection
The JA biosynthesis and signaling related genes, OsAOS2, OsJMT1 and OsJAMYB were mostly upregulated in the resistant (Phule Radha) and susceptible (Halvi Sal 17 and PB 1121) cultivars at both 2 and 6 dpi, except downregulation of all the three genes in PB 1121 at 6 dpi, in roots. Unlike the roots, shoots showed greater variability in expression of the JA-related genes in all the cultivars. Phule Radha showed upregulation of the genes at 2 and 6 dpi, except for downregulation of OsJMT1 at 2 dpi. Both the susceptible cultivars (PB 1121 and Halvi Sal 17) showed mostly downregulation of OsAOS2, OsJMT1, and OsJAMYB at both the time points, except upregulation of OsAOS2 and OsJAMYB in PB 1121 at 2 dpi.
Expression of ET-related genes (Fig. 4b, c)
Amongst all the ET-related genes, OsACO7 was upregulated in roots of all the resistant and susceptible cultivars at 2 and 6 dpi. However, the expression of OsACS1, OsEIN2, and OsERF1 varied at both the time points in roots of Phule Radha (resistant), Halvi Sal 17 and PB 1121 (susceptible). The shoot tissues showed considerable variation in expression of these genes after nematode attack. OsACS1, OsEIN2 and OsERF1 were downregulated in Phule Radha at both 2 and 6 dpi, but OsACO7 was upregulated. Expression of all the genes also considerably varied in shoot tissues for both the susceptible cultivars (Halvi Sal 17 and PB 1121).
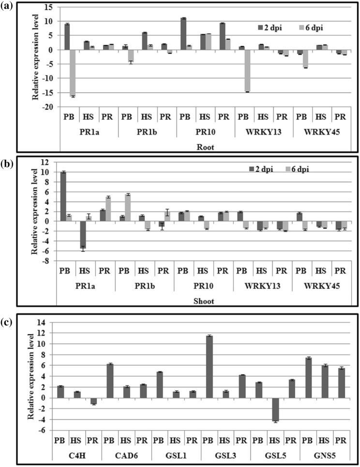
Expression of PR-related genes (Fig. 5a–c)
Fig. 5.
Expression pattern of a, b general defense responsive genes in root and shoot tissues of rice genotypes by attack of Meloidogyne graminicola at 2 and 6 days post infection and expression pattern of c lignin biosynthesis, callose synthase and hydrolysing genes in root tissues of rice genotypes upon attack of M. graminicola
The expression of OsPR1a, OsPR1b, OsPR10, OsWRKY13, and OsWRKY45 mostly followed an upregulated trend in the root tissues for all the resistant and susceptible cultivars, except downregulation of OsPR1a, OsPR1b, OsWRKY13 and OsWRKY45 in the susceptible cultivar PB 1121 at 6 dpi. Additionally, at 2 dpi, OsWRKY13 and OsWRKY45 were also downregulated in the resistant cultivar Phule Radha.
The shoots displayed greater variability of PR-gene expression than the roots. OsPR1a, OsPR1b and OsPR10 were mostly upregulated in resistant cultivar Phule Radha at 2 and 6 dpi, except downregulation of OsPR1b at 2 dpi. However, OsWRKY13 and OsWRKY45 were also downregulated in the susceptible cultivars (PB 1121 and Halvi Sal 17) at both the time points except being upregulated in PB 1121 at 2 and 6 dpi. The expression of PR-genes followed a variable trend for the susceptible cultivars Halvi Sal 17 and PB 1121.
Expression of callose and lignin-related genes
The expression of callose and lignin synthesis and hydrolysis genes (OsC4H, OsCAD6, OsGSL1, OsGSL3, OsGSL5 and OsGNS5) in roots mostly followed an upregulated trend in the resistant and susceptible cultivars at 2 and 6 dpi, except for downregulation of OsC4H and OsGSL5 in Phule Radha and Halvi Sal 17, respectively.
Discussion
In the present study, 36 genotypes of Asian rice including landraces, local selections, and improved varieties were screened and evaluated against M. graminicola, a serious root pest of rice. The screening was primarily done using the soilless Pluronic gel medium, and thereafter selected resistant and/or susceptible genotypes were further evaluated for their performance under greenhouse conditions. Additionally, our study also focused on profiling the expression of several key plant defense responsive genes associated with major phytohormones (salicylic acid, jasmonic acid and ethylene), pathogenesis-related proteins (PR proteins), and lignin and callose synthesis and hydrolysis, against M. graminicola infection.
Here, we have evaluated the primary compatible/incompatible interaction of the rice genotypes with root-knot nematode M. graminicola using Pluronic gel PF-127 medium. Previously, this soilless medium was established as an appropriate matrix for monitoring the progression of nematode development and parasitism inside the plant roots in non-axenic environment (Kumari et al. 2016). Based on the in vitro screening assay, the genotypes Phule Radha, EK 70, Khalibagh and LK 248 were found to be highly resistant as compared to PB 1121 (an established susceptible cultivar). Additionally, Halvi Sal 17 was found to be a highly susceptible rice cultivar against M. graminicola. The superior performance of the resistant genotypes under Pluronic medium was further confirmed in soil system using threshold inoculum density (2 J2s per g soil) of M. graminicola. Although, previous studies have shown large variability while demonstrating the threshold density for M. graminicola infecting rice under different environmental conditions, the inoculum level of 2 J2s per g soil has been proved to cause substantial damage (Prasad et al. 1990; Dabur et al. 2004; Jaiswal et al. 2011).
Plants inhabit in a complex environment interacting with various abiotic (cold, drought, salt, heavy metal contamination etc.) and biotic stress (bacteria, fungi, insects, nematodes, etc.) delimiting agents (Atkinson and Urwin 2012). Phytohormones play a pivotal role as signal molecules in plants, but exist in very low concentrations (Davies 2004). Upon biotic and abiotic stresses, the phytohormone concentration and/or sensitivity changes that arbitrate the range of adaptive plant response (Davies 2004). The role of SA, JA and ET, as primary signals in regulating host plant immune response, has been studied in detail (Pieterse and Dicke 2007; Pieterse et al. 2009). Subsequent to the activation of PTI (PAMP-triggered immunity) and ETI (effector-triggered immunity), a coordinated expression of SA/JA/ET-mediated signaling enables plants to effectively maneuver its local and systemic defense responses against pathogens (Bari and Jones 2009; Li et al. 2015). Additionally, SAR (systemic acquired resistance) response is generated in the infected tissues by pathogen attack, which is characterized by local and systemic buildup of SA and concomitant expression of PR (pathogenesis-related) proteins (Vlot et al. 2009). The involvement of SA, JA, and ET mediated defense signaling has also been established in rice against different nematode species (Pozo et al. 2004; van Loon et al. 2006; Loake and Grant 2007). The expression of different phytohormone related genes in both roots and shoots of the resistant and susceptible rice genotypes steadily shows the induction of local and systemic defense signaling after M. graminicola infection (Gheysen and Mitchum 2011).
The upregulation of OsPAL1 and OsICS1 in roots and shoots of resistant cultivar Phule Radha at very early stage of nematode infection possibly indicates activation of phenotypic resistance against the invasion of M. graminicola. However, upregulation of these genes were also noticed in the susceptible cultivars at 2 dpi, but at 6 dpi the expression showed downregulation indicating nematode mediated suppression of SA-mediated plant defense responses. Both the enzymes participate in salicylate biosynthesis (Li et al. 2015), and manifestation of apoptosis by coordinated activation of PAL1 and ICS1 through SA-mediated pathway has been observed in the dicots (Durrant and Dong 2004). Further, EDS1 and PAD4 are associated with SA production and signaling pathways responsible for activation of basal plant resistance against biotrophs and hemi-biotrophs (Li et al. 2015). Our data suggest that M. graminicola can actively induce the expression of OsPAD4 and OsEDS1 in resistant cultivar Phule Radha at later stage of infection. The engagement of OsNPR1 for activation of SA signaling was found to be pivotal in rice against bacterial blight and fungal blast (Dong 2004; Yuan et al. 2007). Here, the induction of OsNPR1 in resistant genotype indicates its possible involvement in activating the SA signaling for imparting resistance against M. graminicola. Jasmonic acid (JA) plays an important role for activation of SAR in rice than salicylic acid (Tamogami et al. 1997; Schweizer et al. 1998; Lee et al. 2001). The present experimental data shows triggering of JA biosynthesis and signaling genes (OsAOS2, OsJMT1 and OsJAMYB) in roots of both the resistant and susceptible genotypes of rice. But few of the JA-related genes were induced in the shoot tissues of resistant genotype Phule Radha, as compared to the susceptible genotype PB 1121 and Halvi Sal 17. The JA pathway is regulated by significant activation of ET biosynthesis and signaling to initiate defense response in rice against M. graminicola (Nahar et al. 2011). The complex expression pattern of the ET-related genes (OsACS1, OsACO7, OsEIN2 and OsERF1) in the experimental genotypes indicates possible activation of similar defense responsive pathways in the resistant rice, upon invasion of M. graminicola.
During compatible interaction between root-knot nematodes and their host (e.g. Arabidopsis and tomato), several pathogenesis-related (PR) genes are repressed in shoot tissues (Sanz-Alferez et al. 2008; Hamamouch et al. 2011). Significant differences in expression of PR genes were observed in shoot tissues in compatible and incompatible interaction of M. incognita and tomato (Molinari et al. 2014). At later stage of M. graminicola infection, the expression of OsPR1a was upregulated in roots of resistant genotype Phule Radha, but OsPR10 was upregulated only at early infection point against insignificant expression in susceptible genotypes. In the shoot, higher expression of OsPR1a and OsPR10 was recorded in Phule Radha at both early and later stages of infection, while expression of OsPR1b was upregulated at later stage only. Similar upregulation of these PR genes were also found in the root tissues. This suggests the activation of PR genes in rice plants probably enabling them to encounter nematode attack. Additionally, the WRKY transcription factors are constitutively associated with resistance and/or susceptibility of plants after attack of nematodes (Li et al. 2015). In the present study, it has been found that the expression of OsWRKY13 and OsWRKY45 was upregulated in roots of susceptible cultivar Halvi Sal 17, while downregulation was observed in resistant genotype Phule Radha. This possibly indicates the nematode induced perturbation of the genes in both the resistant and susceptible rice cultivars.
Deposition of lignin and callose in plant cell wall restricts the effect of cell wall degrading enzymes released by plant-parasitic nematodes during root cell perforation and movement within roots (Gheysen and Jones 2006). However, in the present study, no definite correlation was observed between the resistance and susceptible rice cultivars, with respect to callose and lignin synthesis. The upregulation of majority of the related genes indicates a possible generalised plant defense response against the nematode invasion.
The host plant recognizes the pathogen associated molecular pattern (PAMP) and induces effector-triggered immunity (ETI) upon pathogen attack (Jones and Dangl 2006). The intracellular signaling molecules, such as mitogen-activated protein kinase (MAPK), help in limiting the disease progression leading to host resistance (Holbein et al. 2016). The explicit role of MAPKs to induce defense responses in monocotyledonous plant upon challenging with nematodes is scant (Kumari et al. 2016). In present study, expression of MAPK genes was analysed during compatible and incompatible interaction of rice genotypes (resistant and susceptible) and M. graminicola. The expression of OsMAPK5a was downregulated in roots of Phule Radha at 6 dpi, probably demonstrates the role of MAPK in inducing late resistance response in rice against M. graminicola. However, MAPK6 and MAPK20 showed variable expression in the resistant and susceptible rice cultivars, when challenged against the nematode species. Notably, downregulation of OsMAPK in rice imparts resistance against fungal and bacterial pathogens (Xiong and Yang 2003), and negative correlation of OsMAPK has been observed with the PR genes in resistant rice plants (Seo et al. 2001; Xiong and Yang 2003). The differential expression of the MAPK genes possibly indicates the activation of the ETI pathway in the plant upon infection of M. graminicola.
Conclusions
Our study reveals distinct variation in expression of the plant defense genes between the resistant (Phule Radha) and susceptible (PB 1121 and Halvi Sal 17) rice genotypes. Categorically, amongst all the selected plant defense genes, the expression of MAPK20, ICS1, NPR1, PAD4, AOS2, JAMYB, and ACO7 involved in several pathways was upregulated in Phule Radha possibly rendering resistance against M. graminicola. This observation can be further strengthened by their insignificant expression in the susceptible genotypes (PB 1121 and Halvi Sal 17) (Fig. 6). Additionally, it was also observed that the invasion of M. graminicola triggers the biosynthesis phytohormones to activate plant defense signaling pathways in rice. The activation of all the defense signalling might collectively regulate the compatibility/incompatibility status of the rice—M. graminicola interaction.
Fig. 6.
Heat map envision of expression pattern of defense related genes in the root and shoot tissues of rice genotypes by invasion of Meloidogyne graminicola at 2 and 6 days post inoculation (PB PB 1121, HS Halvi Sal 17, PR Phule Radha, dpi days post inoculation)
In the present study, we have evaluated resistance response of 36 Asian rice cultivars and landraces grown in Indian subcontinent. To date, information regarding resistance sources in Asian rice is largely scant as compared to O. glaberrima and O. longistaminata. The present study adds substantial information about resistance sources of Asian rice that can be exploited for breeding purposes. Further any of the landraces studied here have not been evaluated in detail earlier, especially with reference to the underlying molecular signalling and pathways. The study also strengthens the knowledge gap regarding involvement of several defense responsive pathways in susceptible and resistant rice-M. graminicola interaction.
Electronic supplementary material
Below is the link to the electronic supplementary material.
Acknowledgments
Authors acknowledge funding from Department of Biotechnology (DBT) COE project BT/PR-18924/COE/34/48/2017. The role of funding body does not include data analysis, interpretation and manuscript writing. The Ph.D. student BH acknowledges the Post Graduate School, Indian Council of Agricultural Research (ICAR)-Indian Agricultural Research Institute (IARI), New Delhi for research fellowship.
Abbreviations
- PPNs
Plant parasitic nematodes
- SA
Salicylic acid
- JA
Jasmonic acid
- ET
Ethylene
- J2s
Second stage juvenile
- MF
Multiplication factor
- MAPK
Mitogen activated protein kinase
- PB
Pusa Basmati 1121
Author contributions
UR and BH conceived and designed the study. BH and DS performed the experiments. BH analysed the data. SK supplied the seeds on requirement. BH, VP and UR wrote and revised the manuscript.
Compliance with ethical standards
Conflict of interest
The authors declare that they have no competing interests.
References
- Abodolereza A, Racionzer P (2009) Food outlook: Global market analysis. pp 23–27
- Ali MA, Anjam MS, Nawaz MA, Lam HM, Chung G. Signal transduction in plant-nematode interactions. Internat J Mol Sci. 2018;19:1648. doi: 10.3390/ijms19061648. [DOI] [PMC free article] [PubMed] [Google Scholar]
- Andrade LBS, Oliveira AS, Ribeiro JKC, Kiyota S, Vasconcelos IM, Oliveira JTA, de Sales MP. Effects of a novel pathogenesis-related class 10 (PR-10) protein from Crotalaria pallida roots with papain inhibitory activity against root-knot nematode Meloidogyne incognita. J Agri food Chem. 2010;58:4145–4152. doi: 10.1021/jf9044556. [DOI] [PubMed] [Google Scholar]
- Atkinson NJ, Urwin PE. The interaction of plant biotic and abiotic stresses: from genes to the field. J Expt Bot. 2012;63(10):3523–3543. doi: 10.1093/jxb/ers100. [DOI] [PubMed] [Google Scholar]
- Bari R, Jones JD. Role of plant hormones in plant defence responses. Plant Mol Biol. 2009;69(4):473–488. doi: 10.1007/s11103-008-9435-0. [DOI] [PubMed] [Google Scholar]
- Branch C, Hwang CF, Navarre DA, Williamson VM. Salicylic acid is part of the Mi-1-mediated defense response to root-knot nematode in tomato. Mol Plant-Micro Interact. 2004;17:351–356. doi: 10.1094/MPMI.2004.17.4.351. [DOI] [PubMed] [Google Scholar]
- Byrd DW, Kirkpatrick T, Barker KR. An improved technique for clearing and staining plant tissues for detection of nematodes. J Nematol. 1983;15:142–143. [PMC free article] [PubMed] [Google Scholar]
- Chen J, Hu L, Sun L, Lin B, Huang K, Zhuo K, Liao J. A novel Meloidogyne graminicola effector, MgMO237, interacts with multiple host defence-related proteins to manipulate plant basal immunity and promote parasitism. Mol Plant Pathol. 2018;19:1942–1955. doi: 10.1111/mpp.12671. [DOI] [PMC free article] [PubMed] [Google Scholar]
- Choi HW, Klessig DF. DAMPs, MAMPs, and NAMPs in plant innate immunity. BMC Plant Biol. 2016;16(1):232. doi: 10.1186/s12870-016-0921-2. [DOI] [PMC free article] [PubMed] [Google Scholar]
- Dabur KR, Taya AS, Bajaj HK. Life cycle of Meloidogyne graminicola on paddy and its host range studies. Ind J Nematol. 2004;34:80–84. [Google Scholar]
- Davies PJ. Plant hormones: biosynthesis, signal transduction, action. Berlin: Springer Science & Business Media; 2004. [Google Scholar]
- De Waele D, Elsen A. Challenges in tropical plant nematology. Ann Rev Phytopathol. 2007;45:457–485. doi: 10.1146/annurev.phyto.45.062806.094438. [DOI] [PubMed] [Google Scholar]
- Dong XN. NPR1, all things considered. Curr Opin Plant Biol. 2004;7:547–552. doi: 10.1016/j.pbi.2004.07.005. [DOI] [PubMed] [Google Scholar]
- Durrant WE, Dong X. Systemic acquired resistance. Ann Rev Phytopathol. 2004;42:185–209. doi: 10.1146/annurev.phyto.42.040803.140421. [DOI] [PubMed] [Google Scholar]
- Elling AA. Major emerging problems with minor Meloidogyne species. Phytopathol. 2013;103(11):1092–1102. doi: 10.1094/PHYTO-01-13-0019-RVW. [DOI] [PubMed] [Google Scholar]
- Fujimoto T, Tomitaka Y, Abe H, Tsuda S, Futai K, Mizukubo T. Expression profile of jasmonic acid-induced genes and the induced resistance against the root-knot nematode (Meloidogyne incognita) in tomato plants (Solanum lycopersicum) after foliar treatment with methyl jasmonate. J Plant Physiol. 2011;168:1084–1097. doi: 10.1016/j.jplph.2010.12.002. [DOI] [PubMed] [Google Scholar]
- Gheysen G, Jones J. Plant nematology. In: Perry RN, Moens M, editors. Molecular aspects of plant-nematode interactions. Wallingford: CABI; 2006. pp. 234–254. [Google Scholar]
- Gheysen G, Mitchum MG. How nematodes manipulate plant development pathways for infection. Curr Opin Plant Biol. 2011;14:415–421. doi: 10.1016/j.pbi.2011.03.012. [DOI] [PubMed] [Google Scholar]
- Golden AN, Birchfield W. Meloidogyne graminicola (Heteroderidae) a new species of root-knot nematode from grass. Proc Helminthol Soc Wash. 1965;32:228–231. [Google Scholar]
- Goto DB, Miyazawa H, Mar JC, Sato M. Not to be suppressed? Rethinking the host response at a root-parasite interface. Plant Sci. 2013;213:9–17. doi: 10.1016/j.plantsci.2013.08.004. [DOI] [PubMed] [Google Scholar]
- Hamamouch N, Li CY, Seo PJ, Park CM, Davis EL. Expression of Arabidopsis pathogenesis-related genes during nematode infection. Mol Plant Pathol. 2011;12(4):355–364. doi: 10.1111/j.1364-3703.2010.00675.x. [DOI] [PMC free article] [PubMed] [Google Scholar]
- Holbein J, Grundler FM, Siddique S. Plant basal resistance to nematodes: an update. J Exp Bot. 2016;67(7):2049–2061. doi: 10.1093/jxb/erw005. [DOI] [PubMed] [Google Scholar]
- Jaiswal RK, Singh KP, Mishra RK. A technique for the detection of soil infestation with rice root-knot nematode, Meloidogyne graminicola at farmer’s field. Acad J Plant Sci. 2011;4:110–113. [Google Scholar]
- Jones JD, Dangl JL. The plant immune system. Nature. 2006;444(7117):323. doi: 10.1038/nature05286. [DOI] [PubMed] [Google Scholar]
- Kandoth PK, Ithal N, Recknor J, Maier T, Nettleton D, Baum TJ, Mitchum MG. The Soybean Rhg1 locus for resistance to the soybean cyst nematode Heterodera glycines regulates the expression of a large number of stress- and defense-related genes in degenerating feeding cells. Plant Physiol. 2011;155:1960–1975. doi: 10.1104/pp.110.167536. [DOI] [PMC free article] [PubMed] [Google Scholar]
- Kumari C, Dutta TK, Banakar P, Rao U. Comparing the defence-related gene expression changes upon root-knot nematode attack in susceptible versus resistant cultivars of rice. Sci Rep. 2016;6:22846. doi: 10.1038/srep22846. [DOI] [PMC free article] [PubMed] [Google Scholar]
- Kumari C, Dutta TK, Gahoi S, Rao U. An insight into the expression profile of defence-related genes in compatible and incompatible Oryza sativa-Meloidogyne graminicola interaction. Ind J Gen Plant Breed. 2017;77(1):42–50. doi: 10.5958/0975-6906.2017.00006.2. [DOI] [Google Scholar]
- Kumbhar SD, Kulwal PL, Patil JV, Sarawate CD, Gaikwad AP, Jadhav AS. Genetic diversity and population structure in landraces and improved rice varieties from India. Rice Sci. 2015;22(3):99–107. doi: 10.1016/j.rsci.2015.05.013. [DOI] [Google Scholar]
- Kyndt T, Fernandez D, Gheysen G. Plant-parasitic nematode infection in rice: molecular and cellular insights. Annu Rev Phytopathol. 2014;52:7–19. doi: 10.1146/annurev-phyto-102313-050111. [DOI] [PubMed] [Google Scholar]
- Lee MW, Qi M, Yang YO. A novel jasmonic acid-inducible rice myb gene associates with fungal infection and host cell death. Mol Plant-Microbe Interact. 2001;14:527–535. doi: 10.1094/MPMI.2001.14.4.527. [DOI] [PubMed] [Google Scholar]
- Li R, Rashotte AM, Singh NK, Weaver DB, Lawrence KS, Locy RD. Integrated signaling networks in plant responses to sedentary endoparasitic nematodes: a perspective. Plant Cell Rep. 2015;34:5–22. doi: 10.1007/s00299-014-1676-6. [DOI] [PubMed] [Google Scholar]
- Liu S, Kandoth PK, Warren SD, Yeckel G, Heinz R, Alden J, Yang C, Jamai A, El-Mellouki T, Juvale PS, et al. A soybean cyst nematode resistance gene points to a new mechanism of plant resistance to pathogens. Nature. 2012;492:256–260. doi: 10.1038/nature11651. [DOI] [PubMed] [Google Scholar]
- Livak KJ, Schmittgen TD. Analysis of relative gene expression data using real time quantitative PCR and the 2 –ΔΔCT method. Methods. 2001;25:402–408. doi: 10.1006/meth.2001.1262. [DOI] [PubMed] [Google Scholar]
- Loake G, Grant M. Salicylic acid in plant defence-the players and protagonists. Curr Opin Plant Biol. 2007;10(5):466–472. doi: 10.1016/j.pbi.2007.08.008. [DOI] [PubMed] [Google Scholar]
- Manosalva P, Manohar M, Von Reuss SH, Chen S, Koch A, Kaplan F, Choe A, Micikas RJ, Wang X, Kogel KH, Sternberg PW. Conserved nematode signalling molecules elicit plant defenses and pathogen resistance. Nat Commun. 2015;6:7795. doi: 10.1038/ncomms8795. [DOI] [PMC free article] [PubMed] [Google Scholar]
- Molinari S, Fanelli E, Leonetti P. Expression of tomato salicylic acid (SA)-responsive pathogenesis-related genes in Mi-1- mediated and SA-induced resistance to root-knot nematodes. Mol Plant Pathol. 2014;15:255–264. doi: 10.1111/mpp.12085. [DOI] [PMC free article] [PubMed] [Google Scholar]
- Naalden D, Haegeman A, de Almeida‐Engler J, Eshetu BF, Bauters L, Gheysen G (2018) The Meloidogyne graminicola effector Mg16820 is secreted in the apoplast and cytoplasm to suppress plant host defense responses. Mol Plant Pathol 19(11): 2416–2430. 10.111/mpp.12719 [DOI] [PMC free article] [PubMed]
- Nahar K, Kyndt T, De Vleesschauwer D, Hofte M, Gheysen G. The jasmonate pathway is a key player in systemically induced defence against root-knot nematodes in rice. Plant Physiol. 2011;157:305–316. doi: 10.1104/pp.111.177576. [DOI] [PMC free article] [PubMed] [Google Scholar]
- Ozalvo R, Cabrera J, Escobar C, Christensen SA, Borrego EJ, Kolomiets MV, Castresana C, Iberkleid I, Brown HS. Two closely related members of Arabidopsis 13-lipoxygenases (13-LOXs), LOX3 and LOX4, reveal distinct functions in response to plant-parasitic nematode infection. Mol Plant Pathol. 2013;15(4):319–332. doi: 10.1111/mpp.12094. [DOI] [PMC free article] [PubMed] [Google Scholar]
- Pieterse CMJ, Dicke M. Plant interactions with microbes and insects: from molecular mechanisms to ecology. Trends Plant Sci. 2007;12:564–569. doi: 10.1016/j.tplants.2007.09.004. [DOI] [PubMed] [Google Scholar]
- Pieterse CMJ, Leon-Reyes A, Van der Ent S, Van Wees SCM. Networking by small-molecule hormones in plant immunity. Nat Chem Biol. 2009;5(5):308–316. doi: 10.1038/nchembio.164. [DOI] [PubMed] [Google Scholar]
- Pozo MJ, Van Loon LC, Pieterse CMJ. Jasmonates-signals in plant-microbe interactions. J Plant Grow Regul. 2004;23(3):211–222. doi: 10.1007/s00344-004-0031-5. [DOI] [Google Scholar]
- Prasad JS, Panwar MS, Rao YS. Influence of root-knot nematode infection in rice under simulated rainfed lowland situation. Nematol Medit. 1990;18:195–197. [Google Scholar]
- Sanz-Alferez S, Mateos B, Alvarado R, Sanchez M. SAR induction in tomato plants is not effective against root-knot nematode infection. Euro J Plant Pathol. 2008;120(4):417–425. doi: 10.1007/s10658-007-9225-6. [DOI] [Google Scholar]
- Sasser JN, Freckman DW. A world prospective on nematology: the role of the society. In: Veech JA, Dickson DW, editors. Vistas on nematology. Hyattsville: Society of Nematologists; 1987. pp. 7–14. [Google Scholar]
- Schweizer P, Buchala A, Dudler R, Metraux JP. Induced systemic resistance in wounded rice plants. Plant J. 1998;14:475–481. doi: 10.1046/j.1365-313x.1998.00141.x. [DOI] [Google Scholar]
- Seo HS, Song JT, Cheong JJ, Lee YW, Hwang I, Lee JS, Choi YD. Jasmonic acid carboxyl methyltransferase: a key enzyme for jasmonate-regulated plant responses. Proc Natl Acad Sci USA. 2001;98:4788–4793. doi: 10.1073/pnas.081557298. [DOI] [PMC free article] [PubMed] [Google Scholar]
- Takahashi Y, Uehara Y, Berberich T, Ito A, Saitoh H, Miyazaki A, Terauchi R, Kusano T. A subset of hypersensitive response marker genes, including HSR203J, is the downstream target of a spermine signal transduction pathway in tobacco. Plant J. 2004;40:586–595. doi: 10.1111/j.1365-313X.2004.02234.x. [DOI] [PubMed] [Google Scholar]
- Tamogami S, Rakwal R, Kodama O. Phytoalexin production elicited by exogenously applied jasmonic acid in rice leaves (Oryza sativa L.) is under the control of cytokinins and ascorbic acid. FEBS Lett. 1997;412:61–64. doi: 10.1016/S0014-5793(97)00743-6. [DOI] [PubMed] [Google Scholar]
- Uehara T, Sugiyama S, Matsuura H, Arie T, Masuta C. Resistant and susceptible responses in tomato to cyst nematode are differentially regulated by salicylic acid. Plant Cell Physiol. 2010;51:1524–1536. doi: 10.1093/pcp/pcp109. [DOI] [PubMed] [Google Scholar]
- van Loon LC, Geraats BPJ, Linthorst HJM. Ethylene as a modulator of disease resistance in plants. Trends Plant Sci. 2006;11(4):184–191. doi: 10.1016/j.tplants.2006.02.005. [DOI] [PubMed] [Google Scholar]
- Vlot AC, Dempsey DMA, Klessig DF. Salicylic acid, a multifaceted hormone to combat disease. Ann Rev Phytopathol. 2009;47:177–206. doi: 10.1146/annurev.phyto.050908.135202. [DOI] [PubMed] [Google Scholar]
- Wang C, Lower S, Williamson VM. Application of Pluronic gel to the study of root-knot nematode behaviour. Nematol. 2009;11(3):453–464. doi: 10.1163/156854109X447024. [DOI] [Google Scholar]
- Whitehead AG, Hemming JR. A comparison of some quantitative methods of extracting small vermiform nematodes from soil. Ann App Biol. 1965;55(1):25–38. doi: 10.1111/j.1744-7348.1965.tb07864.x. [DOI] [Google Scholar]
- Xiong L, Yang Y. Disease resistance and abiotic stress tolerance in rice are inversely modulated by an abscisic acid-inducible mitogen-activated protein kinase. Plant Cell. 2003;15:745–759. doi: 10.1105/tpc.008714. [DOI] [PMC free article] [PubMed] [Google Scholar]
- Yuan YX, Zhong S, Li Q, Zhu Z, Lou Y, Wang L, Wang J, Wang M, Li Q, Yang D, He Z. Functional analysis of rice NPR1-like genes reveals that OsNPR1/NH1 is the rice orthologue conferring disease resistance with enhanced herbivore susceptibility. Plant Biotechnol J. 2007;5:313–324. doi: 10.1111/j.1467-7652.2007.00243.x. [DOI] [PubMed] [Google Scholar]
Associated Data
This section collects any data citations, data availability statements, or supplementary materials included in this article.





