Abstract
Superelectrophiles are reactive species that often carry multiple positive charges. They have been useful in numerous synthetic methods and they often exhibit highly unusual reactivities. Recent advances in superelectrophile chemistry are discussed in this review.
Keywords: superelectrophiles, superacid, trifluoromethanesulfonic acid, protonation, protosolvation, dications, C-H activation, anti-Markovnikov addition
1. Introduction
In 1964, Staskun published a report describing the acid-promoted cyclizations of β-ketoamides (the Knorr cyclization) [1]. During these studies, it was observed that the conversions were best performed with greater than one equivalent of H2SO4 or AlCl3. A mechanism was suggested involving double protonation—or double Lewis acid coordination—of the β-ketoamide, leading to highly electrophilic, dicationic intermediates. This concept was further expanded in the 1970s by Olah and coworkers when they observed a similar enhancement of electrophilic reactivities of onium salts in superacidic media [2]. For example, nitronium salts exhibit higher reactivities in stronger acids and this was interpreted by Olah as protosolvation of the nitronium cation (1) in the superacidic solutions (Scheme 1). While the nitronium ion (1) is recognized as a strong electrophile, an increasing degree of protonation leads to an ion with greater positive charge (i.e., 2 and 3), and consequently, higher electrophilic reactivity.
Scheme 1.
Superelectrophilic activation of the nitronium ion.
These types of activated species are known as superelectrophiles—ions capable of reacting with exceptionally weak nucleophiles [3,4]. In the case of nitronium ion superelectrophiles (2 or 3), these species have been shown to react with deactivated arenes and alkanes (including methane) [3,4]. Since Olah’s initial reports which formalized the concept of superelectrophilic activation, there has been extensive work done in this area. This includes numerous synthetic methodologies which utilize superelectrophiles, the direct spectroscopic characterization of these ions, and the study through computational and kinetic methods. The chemistry of superelectrophiles was thoroughly reviewed in 2008 [3], with several focused reviews being published since that time [5,6,7,8,9,10,11,12]. In the following manuscript, recent work in the chemistry of superelectrophiles will be summarized.
2. New Types of Superelectrophiles
Recent reports from Schindler et al. have described the activation of iron-based catalysts by a mechanism similar to superelectrophilic activation [13,14]. In carbonyl-olefin metathesis reactions, kinetic studies have suggested the formation of dimeric complexes of FeCl3, which enhance the electrophilic reactivity of the iron center and promotes this remarkable transformation (Scheme 2). Thus, binding of the dimeric iron complex leads to intermediate 4 which triggers the metathesis reactions. Similar types of homobimetallic activation of Lewis acids have also been previously suggested in studies by Negeshi, Brown, and Evans [15,16,17].
Scheme 2.
Dimeric iron (III) chloride and its activation of a carbonyl-olefin metathesis reaction.
In the study by Brown, a gallium chloride-promoted methylation of benzene was examined [16]. Kinetic studies also revealed a second-order rate dependence on the GaCl3 in the methylation of benzene with chloromethane. Gandon recently carried out computational studies at the M062X/6-311 + G(2d,2p) level of theory of this chemistry [18]. A modelled transition state utilizing the superelectrophilic gallium chloride dimer suggests a concerted electrophilic aromatic substitution mechanism, rather than formation of the Wheland-type σ-complex involving methylation of benzene. Another superelectrophilic gallium dimer has been suggest by Bour and co-workers in their development of a tandem carbonyl-olefin metathesis/transfer hydrogenation [19]. This study utilized a bimetallic superelectrophilic catalyst system to prepare a series of medium-sized carbocycles.
Although Olah’s concept of superelectrophilic activation focused on the interactions of Brønsted and Lewis acids to generate exceptionally strong cationic electrophiles, studies have recently shown that neutral and even anionic structures may possess this type of electrophilic reactivity. Edel and coworkers have succeeded in generating a remarkably powerful electrophile, 1,2-azaborine (5, Scheme 3) [20]. The silyl chloride derivative 6 was subjected to pyrolysis, eliminating TBDMS-Cl and generating compound 5. When the 1,2-azaborine is trapped in an Ar and Xe matrix, spectroscopic analysis indicates a bonding interaction between the superelectrophilic boron and Xe atom, a very weak nucleophile. Theoretical calculations show that the LUMO of 5 is located primarily on the boron center and the resulting adduct with Xe has an interaction energy of 3 kcal·mol−1.
Scheme 3.
Generation of 1,2-azaborine and its reaction with Xe.
Even more remarkable, a recent pair of reports describe the superelectrophilic chemistry of anionic species (Scheme 4) [21,22]. The percyano-dodecoborate dianion [B12(CN)12]2− (8) has been generated by cyanide displacement of the periodo dodecoborate dianion. Using mass spectrometry with electrospray ionization, the tetrabutylammonium salt of 8 was subjected to collisional activation and the target anion [B12(CN)11]− (9) could be isolated in the ion trap. Anion 9 was reacted with argon as a collision gas at 25 °C to provide the stable adduct 10 as an observable M + 40 ion. A similar study by the same research group demonstrated that the perchloro-dodecoborate dianion [B12(Cl)12]2− (11) could undergo conversion to anion 12 which then is capable of bonding to a Kr atom (i.e., 13) [22].
Scheme 4.
Generation and reactions of superelectrophilic carboranes.
Noble gas atoms are perhaps the weakest nucleophiles known in chemistry. Yet, anions 9 and 12 are shown to react with noble gases at 25 °C to form stable complexes, transformations consistent with superelectrophilic reactivity. While most anionic species are nucleophilic in character, these ions exhibit profound levels of electrophilic character. This can be understood by examining calculated electrostatic potentials near the reactive boron center in 9 and 12. In the case 12, an electrostatic potential of +2.7 V and the LUMO is found at the boron center. This is a new development in superelectrophilic chemistry—that ions or molecules may exhibit exceptionally high electrophilic reactivities if the electronic structure focuses positive charge at a particular site.
Ohwada and co-workers have developed a novel method of activating amino acids for use in Friedel-Crafts acylations and the chemistry is thought to involve phosphate ester superelectrophiles [23,24]. Acylation of arenes with amino acids has remained a challenge in Friedel-Crafts chemistry, as ionization of the amine group can impede the formation of the acylium cation center. As a means promoting this type of reaction, amino acids have been reacted with arenes in the presence of the ortho-methyl salicylate phosphate ester (14, Scheme 5).
Scheme 5.
Friedel-Crafts acylation with amino acids.
This methodology allows acylation to be accomplished under mild condition, for example the thiophene amino acid 15 gives the Friedel-Crafts product in 80% yield at 20 °C in less than 30 min. Computational studies were done on a related system—suggesting formation of the dicationic species 17. Cleavage of the acyl phosphate 17 is thought to provide 18 and the superelectrophilic acylium ion 19, which reacts rapidly with benzene. Compared to the direct ionization of substrates such as 15 to give the acylium dication 19, the phosphate ester route is estimated to lower the activation energy by about 16 kcal·mol−1.
In another study from the Ohwada group, a series of aryl carbamates were investigated for their abilities to provide aromatic amides by Friedel-Crafts chemistry [25]. For example, the phenolic carbamate (20) efficiently transfers the carbamoyl group to 1,2-dimethoxybenzene to providing amide 21 (Scheme 6). A mechanism is proposed involving formation of the diprotonated species 22, where elimination provides the isocyanate cation 23—the electrophile that gives the Friedel-Crafts product (21). Superelectrophiles have a characteristic reaction step which is seen in this process. These highly charged species have a tendency to cleave off or jettison positive charge—in this case, the dication 22 cleaves into a pair of monocationic fragments and this enables the Friedel-Crafts chemistry to occur.
Scheme 6.
Preparation of aryl carbamates.
Several recent studies have also examined the chemistry of superelectrophilic fluorenyl cations. The fluorenyl cation itself is expected to be a reactive cation due to its weak anti-aromatic character. Mills and coworkers examined the first dicationic fluorenyl cations and noted their instability [26,27,28]. Our group developed an efficient route to 9,9-diarylfluorenes through a superacid-promoted cyclization (Scheme 7) [29,30]. For example, the pyrazine derivative 24 undergoes reaction in superacid with benzene to give the 9,9-diarylfluorene product 28 in 91% yield. The cyclization step is thought to involve the tricationic carboxonium (25) as the intermediate leading to the new carbocycle. Dehydration through the oxonium ion 26 leads to the highly electrophilic fluorenyl ion 27. This tricationic species has been directly observed by low temperature NMR using stable ion conditions [31]. Reaction with benzene gives 28 as the final product. The condensation chemistry was also adapted to a polymer synthesis wherein the fluorene ring system is part of the polymer backbone [30].
Scheme 7.
Superelectrophilic fluorene synthesis.
In an effort to prepare thiophene-containing, shape-persistent macrocycles, a methodology was developed involving ionization of 11,12-dihydroindenop[2,1-a]fluoren-11,12-diol (29) and Friedel-Crafts reactions with thiophene derivatives (Scheme 8) [32]. Thus, reaction of substrate 29 leads to product 30 in 20% yield from reaction with HBF4·Et2O. Ionization of the substrate may go through the monocation intermediates or double ionization to give the superelectrophile 31, an ion benefitting from an aromatic, 18π-electron system.
Scheme 8.
Double substitution of a thiophene.
A novel series of spirocyclic diazafluorene products have been prepared from superelectrophilic reactions with phenols [33]. For example, the diazafluorenone undergoes condensation with 4-methylphenol to give the spirocyclic product 32 in excellent yield (Scheme 9). The mechanism involves a multiply protonated diazafluorenone, initially a superelectrophilic carboxonium ion (33). Our own experience with these types of systems has indicated that N-deprotonation can occur with highly charge structures such as superelectrophile 33 (giving a dicationic superelectrophile). Electrophilic aromatic substitution and elimination of water then leads to a charge-delocalized, superelectrophilic carbocation (34). As indicated by the resonance structure, the ion generates considerable positive charge on the phenol ring and this leads to nucleophilic attack at the phenol ring carbon to provide intermediate 35. Subsequent steps give dehydration and ring formation to give the final product. Control experiments demonstrated that formation of the biaryl ether structure does not occur by the condensation of two phenols, but rather this structure is formed sequentially at the aza-fluorene ring.
Scheme 9.
Preparation of spirocyclic aza-fluorenes.
Multiply protonated phenols, hydroxyquinolines, naphthols, and naphthalenediols are an interesting variety of superelectrophiles. The Koltunov group has published several studies examining this chemistry. In excess superacid or Lewis acids, a wide variety of superelectrophiles have been described (Table 1) [34,35,36,37,38]. Generally, these substrates are protonated at ring positions to yield reactive carboxonium ions. Carbocation centers are highly delocalized and stabilized by resonance interactions. Several protonated species are usually involved in each of these equilibria. The proposed superelectrophiles are often inferred from isolated products and through computational results. In a recent report, the chemistry of 2,3-naphthalenediol was described [39]. When this compound is reacted with benzene and excess AlCl3, the unusual bridged structure (37) is isolated in 60% yield (Scheme 10). This product arises from the reaction with two equivalents of benzene, presumably through the initial superelectrophile 38. Other related investigations include studies of superelectrophiles arising from 1,1-binaphthol and related substrates [40,41,42]. These starting materials also lead to electrophilic intermediates capable of reacting with cyclohexane or benzene.
Table 1.
Naphthols and related compounds with the resulting superelectrophiles.
| Substrate | Superelectrophile |
|---|---|
|
|
|
|
|
|
|
|
|
|
Scheme 10.
Chemistry of 2,3-naphthalenediol.
The Vasilyev group has developed several new synthetic methodologies that utilize superelectrophilic vinyl cations. For example, ionization of 4-hydroxybut-2-ynoates using triflic acid or zeolite catalysts provide dicationic intermediates that react efficiently with arene nucleophiles [43]. The reaction of substrate 39 with p-xylene provides the furanone 40 in good yield (Scheme 11). This product arises from ionization of 39 give superelectrophile 41. After the Friedel-Crafts reaction, protonation of an allene intermediate leads to the cyclization product.
Scheme 11.
Chemistry of superelectrophilic vinyl cations.
In another recent study, the chemistry of alkynyl tetrazoles was examined [44]. When substrate 42 is reacted with m-xylene in the presence of triflic acid, the hydroarylation product (43) is obtained in good yield. Ionization leads to the diprotonated species 44, which is another interesting example of a vinyl cation superelectrophile.
The chemistry of enynones has also been studied in superacid promoted conversions [45]. Aryl-substituted systems are shown to cyclize indanone products in up to 73% yield. A mechanism is proposed involving vinyl-carboxonium dications and other conjugated carbocations. Other work with superelectrophilic vinyl cations includes a study of 1,3-diarylpropynes and the superacid-promoted reactions of these compounds [46]. Among the products isolated, 1,3,3-triarylpropenones may be isolated in good yields from reactions with arene nucleophiles.
Our research group has studied a class of superelectrophiles in which very high levels of cationic charge are formed on the ion, including tri-, tetra-, penta-, and hexacationic structures [47,48,49]. Thus, compound 45 reacts in superacid with benzene to provide compound 46 in good yield, as a product from remote functionalization (Scheme 12) [48]. In the absence of benzene, the cyclization product 47 is obtained in 79% yield. These products are the result of ionization to superelectrophilic intermediates, such as the tetra- and tricationic species (48–49). The tetracationic superelectrophile 48 was directly observed using low temperature NMR and stable ion conditions. Thus, product 46 forms from the delocalization of charge to the para position of the phenyl ring and nucleophilic attack by benzene at that position. DFT calculations suggested that product 47 arises from the tricationic intermediate 49.
Scheme 12.
Tetracationic species and its chemistry.
3. Anti-Markovnikov-Type Addition Chemistry
Among the goals of synthetic organic chemistry, it is highly desirable to develop methodologies with unusual regioselectivities. In this regard, superelectrophiles have been shown to provide several types of products from anti-Markovnikov-type additions. Thibaudeau and coworkers have found several examples of superelectrophilic cyclizations that give products from apparent anti-Markovnikov addition [50]. For example, reaction of the allyl amine (50) with HF-SbF5 provides the heterocyclic product 51 in excellent yield (Scheme 13). A similar conversion was observed for p-nitroaniline derivatives, including double cyclizations to provide julolidine derivatives [51]. A mechanism was proposed for these transformations involving the unusual superelectrophile 52, which contains the non-classical carbocation (3-center-2-electron bonding). This allows nucleophilic attack to occur at the terminal carbon of the protonated C=C bond and formation of the tetrahydroquinoline ring.
Scheme 13.
Anti-Markovnikov addition involving a non-classical ion.
Our own studies have revealed an interesting dynamic in the chemistry of olefinic N-heterocycles. Depending on the position of the olefinic group, intramolecular hydroarylations were observed to occur via anti-Markovnikov or Markovnikov addition (Scheme 14) [52]. Thus, quinoxaline 53 provides cyclization product 54, while a Markovnikov-type of product (56) arises from substrate 55. These results were explained by consideration of the charges, or electron densities, at the different ring positions. The diprotonated quinoxaline ring is found to have a +0.16 NBO charge at the 2-position, while −0.06 NBO charge at the 6-position. This suggests a mechanism involving direct nucleophilic attack of the phenyl group at the olefinic group along with a rapid protonation step (57). Because of the sizable positive charge at the 2-position of the ring, the tricationic superelectrophile cannot form. However, with substrate 55, protonation of the olefin can occur and superelectrophile 58 is formed. This provides a basis for the Markovnikov addition and product 56 formation. These trends were observed in several types of N-heterocyclic ring systems, that is sites with sizable positive charges tended to undergo conjugate addition with aromatic nucleophiles (giving the anti-Markovnikov product).
Scheme 14.
Anti-Markovnikov addition involving doubly-protonated diazines.
This charge-assisted conjugate addition was observed with pyrazines, pyrimidines, quinoxalines, and quinazolines [53]. A rather striking example involves the styryl-substituted pyrazine (59), which forms the conjugate addition product 60 with benzene in 91% yield (Scheme 15) [54].
Scheme 15.
Anti-Markovnivov addition to pyrazine derivative.
Despite the potential for benzylic stabilization of the carbocation center, trication 61 is evidently not formed as a persistent ion. Moreover, the diprotonated pyrazine ring is capable of activating the styryl group for conjugate addition with the weak nucleophile benzene.
4. Superelectrophilic Pericyclic Reactions
In several important early studies, Shudo, Ohwada, and coworkers demonstrated that superelectrophilic species were key intermediates in superacid-promoted pericyclic reactions. For example, the hydroxyketone 62 reacts in triflic acid to provide the substituted fluorene 63 in 70% yield (Scheme 16) [55]. Other reports describe similar conversions to the functionalized fluorenes [56,57,58,59,60]. The 4π electrocyclization step was studied by computational methods and it was estimated that formation of the dication superelectrophile (64) lowers the transition state activation energy by about 16 kcal·mol−1, compared to the monocationic species (65). It was suggested that charge-charge repulsive effects lead to greater delocalization of the π-electrons and this facilitates the ring-forming step.
Scheme 16.
Fluorene ring formation.
A similar observation was made by this same research group in their study of a superelectrophilic Nazarov cyclization [61]. Thus, diprotonation of the propenone derivative 66 leads to the Nazarov product 67 (Scheme 17). Kinetic studies and theoretical calculations provided strong evidence for the involvement of superelectrophile 68, where double protonation at the carbonyl oxygen leads to this key intermediate.
Scheme 17.
Superelectrophilic Nazarov cyclization.
Among the other 4π electrocyclizations, several examples of superelectrophilic aza-Nazarov reactions have been reported. A series of N-acyliminium ion salts were prepared and treated with superacid to give products from the aza-Nazarov reaction [62]. For example, substrate 69 provides the unusual heterocyclic product 71 in 71% from triflic acid (Scheme 18). Weaker acids such as CF3CO2H did not promote the cyclization, so a mechanism was proposed involving the superelectrophilic species 70 or a similar partially protonated ion. DFT calculations indicate that protonation of the N-acyliminium ion—to from the superelectrophile (70)—lowers the barrier for cyclization by about 12 kcal·mol−1 and leads to an earlier transition state compared to the monocationic cyclization. A related transformation utilized N-acyliminium ion precursors, such as amidoacetal 72, to give aza-Nazarov products (i.e., 73) by a cyclization cascade [63]. Presumably, the protosolvated N-acyliminium ions were key reactive intermediates. Another example of the superelectrophilic aza-Nazarov reaction was described by Würthwein and coworkers [64]. Treatment of the 1-azapenta-1,4-dien-3-one 74 with excess triflic acid followed by acetic anhydride provides the highly functionalized pyrrole 75 in fair yield. It was observed that the conversion works best with 7 equivalents of superacid - suggesting the involvement of the dication superelectrophile.
Scheme 18.
Examples of aza-Nazarov reactions.
Several types of superelectrophilic cyclizations have also been reported with 6π electron systems. A recent report described the conversion of α-acyl N-arylcinnamamides to indeno[2,1-c]quinolin-6(7H)-ones promoted by polyphosphoric acid (Scheme 19) [65]. For example, the amide (76) leads to the heterocyclic product (78) in good yield. Although the exact sequence of bond forming steps is not completely known, the chemistry is initiated by the diprotonated species 77. In a related reaction, a novel synthesis of quinolin-2(1H)-ones has been reported in which penta-2,4-dienamides were used as precursors [66]. The H2SO4-mediated reaction of substrate 79 provides the heterocycle 80 in good yield. The authors suggest a mechanism involving formation of the dicationic superelectrophile 81 and cyclization. An unusual styrene elimination step from 82 then leads to the final product (80).
Scheme 19.
Cyclizations involving 6π-electron systems.
Other N-heterocycles have been prepared from 6π-electron cyclization reactions. For example, our group described a new method of preparing indolizidine products from the reactions of unsaturated amidoacetals (Scheme 20) [67]. The brominated substrate 83 provides the corresponding indolizidine 84 in quantitative yield from a reaction in superacid. This heterocycle was then converted into the natural product, ipalbidine, in subsequent steps. A mechanism for this unusual cyclization was proposed involving superelectrophile 85, which upon deprotonation, gives the key vinylogous enol intermediate 86. The indolizidine ring system is thought to arise from a 6π-electrocyclization of intermediate 86, followed by a deprotonation step. We also found the cyclization of urea substrates could provide access to nitrogen heterocycles by a reaction cascade [68]. Thus, urea 87 undergoes cyclization to provide compound 88 in excellent yield. DFT calculations suggested the need for protonation of the carbamoyl iminium ion 89, as only cyclization with the superelectrophile 90 was found to be energetically favorable.
Scheme 20.
6π-electron cyclizations leading to N-heterocycles.
Several studies have also reported that 1,2-ethane dications provide carbocycles from electrocyclizations. A study showed that ionization of the hydroxyketone could provide the phenanthrene product 92 in low yield (Scheme 21) [55]. A mechanism was proposed involving superelectrophile 91. It has also been demonstrated that tetraaryl-1,2-ethane dications give phenanthrene products in high yields [69,70]. Precursors 93-96 may all be ionized to the dication 97 by the action of acids or oxidants. This superelectrophile undergoes very efficient cyclization to give 9,10-diphenylphenanthrene 99. With unsymmetrical systems, it has been found that cyclization occurs through the most electron-rich aryl groups—an observation consistent with the need to stabilize the two cationic charges of intermediate 98.
Scheme 21.
Phenanthrene ring formation.
In addition to electrocyclizations, we have recently described the first superelectrophilic cycloaddition [71]. It is known that superelectrophiles often exhibit distorted molecular orbitals, including very low energy LUMOs and high coefficients at atomic centers—characteristics that could be useful in cycloaddition reactions [3]. Utilizing inverse electron demand Diels-Alder chemistry, superelectrophile chemistry allows low temperature cycloadditions to be done with ethylene—a notoriously unreactive dienophile. The imine 100 reacts in superacid to produce the tricationic iminium ion 101, which undergoes cycloaddition with ethylene to provide the tetrahydroquinoline 102 in 83% yield (Scheme 22). In contrast, the monocationic iminium ion 104 does not react with ethylene. When these two systems are examined by DFT calculations, the superelectrophilic iminium ion (101) is found to have a LUMO located at −15.3 eV, while iminium ion 104 has a LUMO at −6.0 eV. For comparison, ethylene has a HOMO level at −10.6 eV. The added charge on the superelectrophile also has significant effect on the energetics of the conversion. While reaction of 104 with ethylene has a barrier of more than 30 kcal·mol−1 to reach the Diels-Alder transition state, the superelectrophile 101 has a barrier of just 23 kcal·mol−1 to the transition state. Similarly, the superelectrophilic transformation is found to be for more exergonic.
Scheme 22.
Superelectrophilic Diels-Alder chemistry.
5. Carbonyl-Based Superelectrophiles
An extraordinary synthesis and structural study was accomplished recently by Loh and coworkers [72]. A stable dicationic urea derivative (107) was prepared and structurally characterized by X-ray crystallography (Scheme 23). Analysis of structures 105–107 reveals a decreasing carbonyl bond length with increasing charge—with respective bond lengths of 1.23 Å, 1.216 Å, and 1.204 Å. This structural property was also detected in the carbonyl stretch frequencies, as the neutral species 105 exhibited the C=O stretch at approximately 1574 cm−1 and dication 107 at 1752 cm−1. These observations are consistent with Olah’s concept of superelectrophilic activation. Superelectrophiles and other highly charged cationic structures can experience decreasing neighboring group participation or resonance interactions with functional groups.3 In this case, the carbonyl group receives less donation of electron density from the imine or urea nitrogen atoms as the charge increases.
Scheme 23.
Stable, protonated urea derivatives.
Our own studies with superelectrophilic urea and thiourea derivatives revealed a similar type of dynamic in synthetic reactions [73]. This superelectrophilic activation enabled us to develop the first ever Friedel-Crafts reactions with ureas—arguably the most unreactive of all carbonyl derivatives. For example, ureas 108 and 109 were compared (Scheme 23). While the phenyl- derivative is unreactive in superacid, the 2-nitrophenyl system provides the heterocyclic product in almost quantitative yield. DFT studies were done on the system and the results suggested an initial formation of the diprotonated species (111) (Scheme 24). It was proposed that nitro-group protonation deconjugated the carbonyl group—allowing for rotation around the carbonyl-nitrogen bond and protonation at the urea nitrogen (112). Calculations also suggested that the intramolecular Friedel-Crafts reaction does not occur directly with superelectrophiles 111 or 112, but rather this cleaves to a protonated isocyanate and protonated o-nitroaniline. Product 110 arises from cyclization of the protonated isocyanate.
Scheme 24.
Superelectrophilic chemistry of urea derivatives.
Interestingly, Ohwada and coworkers described a similar cyclization with carbamoyl salicylates [74]. For example, compound 113 reacts rapidly in triflic acid (10 equivalents) to provide the heterocyclic product 114 in excellent yield (Scheme 25). NMR studies of this system revealed that a diprotonated species (117) may be formed in superacid. However, kinetic studies showed that increasing media acidity was accompanied by lower reaction rates and increasing activation parameters. This suggested that cleavage to the protonated isocyanate intermediate116 occurs better through the monoprotonated species 115, as the dicationic species 117 is more stable towards cleavage. A companion study from the same group showed that methyl carbamates also provided the cyclization products (i.e., 114) in superacidic media [75]. In this case, kinetic studies showed increasing rates of cyclization with increasing superacid strength. Diprotonated, superlectrophilic intermediates were suggested for this cyclization.
Scheme 25.
Monocationic carbamate cyclization.
In another recent study, our group described a superelectrophilic reaction leading to aromatic imides (Scheme 26) [76]. Starting from benzoic acid derivatives or aryl acetic acids, aromatic imides are produced in a single step by reactions in superacid (32 examples, 29–80% yields). For example, phenylacetic acid is reacted with phenyl isocyanate and then treated with triflic acid to produce imide 118 in 62% yield. A mechanism is proposed involving formation of the carbamic acid anhydride (119) with subsequent protonations giving the mono- and dicationic intermediates (120–121). Superelectrophile 121 undergoes a cyclization step to provide the ortho-functionalized intermediates 122 and 123 while a dehydration step give 118.
Scheme 26.
Ortho-position functionalization via superelectrophiles.
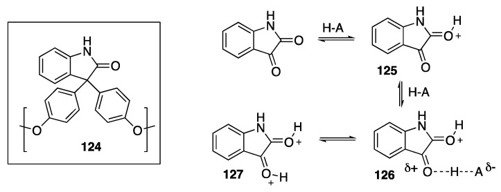
Superelectrophilic carbonyl chemistry has also been the basis for macromolecule synthesis. A hyperbranched poly(arylene oxindoles) has been prepared from an isatin derivative (an A2 monomer) and a tri-fold aryl ether (a B3 monomer) [77]. The chemistry involves a condensation reaction at the isatin ketone group and it is similar to the important isatin-based polymerizations developed by Zolotukhin [78,79,80], Colquhoun [81], and Smet [82]. In these transformations, the isatin monomers are reacted in strong or superacidic media to provide the reactive carboxonium ion electrophiles or superelectrophiles. These highly efficient polymerizations have a structure typified by the polymeric 3,3-diaryl-2-oxindole 124 (Scheme 27), although a variety of activated aryl groups have been utilized.
Scheme 27.
Isatin-based polymer and the electrophilic intermediates.
These polymerizations utilize the superelectrophilic chemistry initially reported by Klumpp and Olah [83]. This early report described the high yielding synthesis of condensation products from arenes and isatins in superacid. For example, isatin provides a condensation product (3,3-diphenyl-2-oxindole) with benzene in 99% yield at room temperature. A mechanism was proposed involving protonated species 125–127.
Other dicarbonyl compounds have been utilized in synthetic methods with superelectrophiles. For example, Ohwada and coworkers examined the superacid-promoted cyclizations of a series of β-ketoesters and related systems and superelectrophiles were proposed as intermediates (Scheme 28) [84]. Thus, compound 128 reacts in excess of triflic acid (10 equivalents) to provide the indene 129 in 88% yield as a mixture of ester and acid products (72:28 ratio; Scheme 28). NMR studies indicate that the β-ketoesters are diprotonated at the carbonyl groups (130) at an acid strength of Ho -11. In kinetic studies, it was observed that the cyclization rate increased linearly with acid strengths above Ho -11.
Scheme 28.
Superelectrophilic activation of the β-ketoester 128.
This was taken as evidence for further protosolvation and the involvement of a tricationic superelectrophile (i.e., 131 or 132). Theoretical calculations show a dramatic lowering of the LUMO with formation of the trication—an electronic effect that is likely to trigger cyclization.
The Prakash group has also examined condensation reactions involving arylglyoxamides in superacid [85]. The 1,2-dicarbonyl groups of these compounds are efficiently converted to condensation products via deprotonated superelectrophiles. Depending the substituents and reaction conditions, the chemistry can provide triarylacetamides or fluorenecarboxamides in good yields. The intermediates include superelectrophiles 133 and 134, which provide the condensation products (Figure 1).
Figure 1.
Superelectrophilic activation of arylglyoxamide.
6. Activation of sp3 C-H Bonds
Early studies demonstrated that superelectrophiles were capable of reacting at sp3 C-H σ-bonds. In 1973, Brouwer and Kiffen reported the reactions of acetyl cation salts with alkanes in Brønsted superacids [4,86]. Since acetyl cation salts did not react with alkanes in the absence of superacid, it was suggested that protosolvated species, such as CH3COH2+, were involved in the chemistry at sp3 C-H bonds. Likewise, superelectrophilic chemistry has been used to prepare gasoline oxygenates from carbon monoxide and isobutane [87]. Similar observations were made with nitronium salts. This included the synthesis of nitroalkanes by direct insertion into C-H bonds [60]. Vol’pin and coworkers demonstrated the utility of RCOCl·2AlX3 systems to catalytically crack saturated hydrocarbons and provide functionalized products [88].
The chemistry of sp3 C-H activation continues to be an important area of development and superelectrophiles are being used in some of these methodologies. For example in work by Akhrem and coworkers, a novel Lewis acid system has been used to carry out a series of functionalizations at inert C-H bonds [89]. The chemistry utilizes the CBr4-nAlBr3 system, a mixture described as an “aprotic superacid” [90]. This system can both crack n-alkanes at low temperatures and react at the C-H bonds of alkyl groups in functionalized organic molecules [90]. Although the active electrophile in the system is not known for certain, it has been suggested that the excess AlBr3 leads to an increasing degree of ionic intermediates—perhaps through formation of stabilized, noncoordinating anions, such as Al2Br7- [90]. An alternative explanation involves coordination of the tribromomethyl cation to AlBr3, generating the superelectrophilic species 135 (Scheme 29) [3]. Although computational studies have argued against the involvement of 135 [91], experimental work by Sommer and coworkers suggested that protosolvation of the trichloromethyl cation may be involved in the carbonylation of propane in superacid [92]. Computations have also shown that the protonated trichloromethyl dication (CCl3H2+) exhibits remarkably more exothermic hydride abstraction from propane compared to the trichloromethyl cation (CCl3+) [93]. The protonated tribromomethyl dication (CBr3H2+) is also calculated to be a stable minimum on the potential energy surface [93]. The question remains, however, if the CBr4-nAlBr3 system can be adequately understood by comparisons to the trichloromethyl or tribromomethyl cations in Brønsted superacids.
Scheme 29.
A carbon-based Lewis acid and its superelectrophilic chemistry.
A recent report described the conversion of fatty acid-chlorides to bifunctional products using the CBr4-nAlBr3 system [94]. When decanoyl chloride 136 is reacted with this Lewis acid system in the presence of carbon monoxide and thiophene, the diketone 137 is obtained in 52% yield. A mechanism is proposed involving initial ionization to the acylium ion followed by hydride abstraction—presumably by the activated tribromomethyl cation. In order to minimize charge-charge repulsive effects with the acylium ion center, the most distant 2° carbon undergoes ionization to produce dication 138. This structure isomerizes to the more stable 3° carbocation (139), which eventually leads to the product via the bis(acylium) dication. This dicationic electrophile may be captured with several types of nucleophiles. A similar approach has been used to achieve C-H activation with fluorinated alcohols [95].
Thibaudeau and coworkers recently reported the superelectrophilic fluorination at sp3 C-H bonds of aliphatic amines [96]. A series of aliphatic amines and related compounds were reacted with HF-SbF5-CCl4 to give products consistent with the formation of carbenium-ammonium superelectrophiles. The carbocation centers form by regioselective abstraction of hydride and products are generated by nucleophilic chemistry at the carbenium ion site.
Our work also demonstrated that hydrocarbons could be directly functionalized by carbon-based superelectrophiles [97]. When 4-pyridinecarboxaldehyde is reacted with adamantane and carbon monoxide in superacid, the adamantanoyl ester 140 is formed in 67% yield (Scheme 30). This conversion is thought to involve the dicationic superelectrophile 141, which abstracts hydride from adamantane. Subsequent reaction steps with carbon monoxide and 4-pyridyl methanol (the product from hydride abstraction) give the final product.
Scheme 30.
Adamantane functionalization with a superelectrophilic C-H activation.
7. Superelectrophiles Involving Nitro Groups
Early studies by Shudo and coworkers demonstrated that nitro-subsitituted arenes and olefins could form multiply protonated intermediates in superacid [98]. These superelectrophiles were shown to have high reactivities with arene nucleophiles. Protonation of the nitro group occurs readily in strong and superacidic media, so this can be the basis for highly reactive electrophiles. Our work with nitro-substituted urea activation is described in Scheme 24 (vide supra). We have also used this method of superelectrophilic activation to promote acyl transfer reactions with amides [99]. As in the case of ureas, amides are known as somewhat unreactive carbonyl derivatives. This functional group generally does not undergo acyl transfer reactions with weak nucleophiles. Using nitro-substituted anilides however, products from inter- and intramolecular Friedel-Crafts reactions may be accomplished in good yields. For example, the cinnamoyl derivative 142 was reacted with o-dichlorobenzene in superacid to provide the substituted indanone 143 in excellent yield (Scheme 31). Compound 143 is a pharmaceutical intermediate used in the preparation of the non-selective monoamine transport inhibitor, indatraline. The chemistry is thought to involve superelectrophiles 144 and 145, where the carbocation 144 is sufficiently reactive to attack o-dichlorobenzene. DFT calculations suggested that ring formation occurs through the N-protonated amide 145, wherein this species cleaves to the monocationic acylium ion. The acylium ion cyclization then occurs selectively at the phenyl ring to provide the indanone 143.
Scheme 31.
Friedel-Crafts acylation with a nitro-substituted aromatic amide.
Others have also developed synthetic methods used nitro group superelectrophiles. For example, the Thibaudeau group has utilized this chemistry in superacid-promoted trifluoromethylthiolation of arenes (Scheme 32) [100]. Using substrate 146, the trifluoromethylthiol group is effectively transferred to nucleophilic arenes. Superacid is thought to generate to nitro-protonated dication 147. In the case of estrone acetate, product 148 is obtained in 64% yield from the reaction in HF-SbF5. The chemistry works equally as well with aryl amides.
Scheme 32.
Trifluoromethylthiolation.
Koltunov and coworkers have explored the superelectrophilic reactions of 1-nitro-naphthalene [101,102]. Using excess AlCl3, a superelectrophilic species is formed from 1-nitronaphthalene and it is capable of reacting with benzene or cyclohexane. Computational studies suggest the most likely dicationic species to be superelectrophile 149, formed from protonation and AlCl3 coordination (the proton source is likely from trace amounts of moisture in the mixture). In its reaction with cyclohexane, 1-nitronaphthalene is reduced by hydride transfer (from cyclohexane) to give the tetralin derivative 150 in 90% yield (Figure 2). In addition to hydride delivery at the ring carbons, protonation steps lead to water elimination at the nitro group.
Figure 2.

Superelectrophilic activation of 1-nitronaphtalene.
8. Summary and Outlook
More than 40 years ago, Olah suggested the importance of highly ionized structures in superacid-promoted chemical transformations. Since this time, the chemistry of superelectrophiles has developed in many different areas. It has been shown to be a highly effective method of preparing functionalized aromatic compounds and diverse heterocycles. It can be used to activate relatively inert sp3 C-H bonds. It involves chemistry that occurs at the highest levels of electrophilic reactivity—to the point of observing chemical reactions with deactivated arenes, alkanes and cycloalkanes, and even more remarkable, noble gas atoms. In the years to come, new superelectrophilic chemistry is certain to be developed, as researchers utilize new acid systems and explore other functional groups and structures.
Author Contributions
Conceptualization, D.A.K. and M.V.A.; methodology, D.A.K. and M.V.A.; investigation, D.A.K. and M.V.A; resources, D.A.K. and M.V.A.; data curation, D.A.K. and M.V.A.; writing—original draft preparation, D.A.K. and M.V.A.; writing—review and editing, D.A.K. and M.V.A.; visualization, D.A.K. and M.V.A.; supervision, D.A.K.; project administration, D.A.K.; funding acquisition, D.A.K. All authors have read and agreed to the published version of the manuscript.
Funding
This research was funded by the NIGMS-NIH (1R15GM126498-01).
Conflicts of Interest
The authors declare no conflict of interest.
References
- 1.Staskun B. The Conversion of Benzoylacetanilides into 2- and 4-Hydroxyquinolines. J. Org. Chem. 1964;29:1153–1157. doi: 10.1021/jo01028a038. [DOI] [Google Scholar]
- 2.Olah G.A., Germain A., Lin H.C., Forsyth D. Electrophilic reactions at single bonds. XVIII. Indication of rrotosolvated de facto substituting agents in the reactions of alkanes with acetylium and nitronium ions in superacidic media. J. Am. Chem. Soc. 1975;97:2928–2929. doi: 10.1021/ja00843a067. [DOI] [Google Scholar]
- 3.Olah G.A., Klumpp D.A. Superelectrophiles and Their Chemistry. Wiley; New York, NY, USA: 2007. [Google Scholar]
- 4.Olah G.A. Superelectrophiles. Angew. Chem. Int. Ed. Engl. 1993;32:767–788. doi: 10.1002/anie.199307673. [DOI] [Google Scholar]
- 5.Klumpp D.A., Kennedy S. Superelectrophiles in ring-forming reactions. ARKIVOC. 2018:215–232. doi: 10.24820/ark.5550190.p010.270. [DOI] [Google Scholar]
- 6.Michelet B., Carreyre H., Lecornue F., Mingot A., Thibaudeau S. Superelectrophilic activation in superacid HF/SbF5: Expanding molecular diversity in nitrogen-containing compounds series by fluorination. J. Fluor. Chem. 2018;214:68–79. doi: 10.1016/j.jfluchem.2018.04.017. [DOI] [Google Scholar]
- 7.Irena S.A. Recent achievements in intermolecular sp3 C-H Bond Functionalization of Organic Compounds by Superelectrophilic Trihalomethyl Metal Complex. J. Organomet. Chem. 2015;793:54–77. [Google Scholar]
- 8.Klumpp D.A. molecular rearrangements of superelectrophiles. Beilstein J. Org. Chem. 2011;7:346–363. doi: 10.3762/bjoc.7.45. [DOI] [PMC free article] [PubMed] [Google Scholar]
- 9.Roithova J. Superelectrophilic chemistry in the gas phase. Pure Applied Chem. 2011;83:1499–1506. doi: 10.1351/PAC-CON-10-10-17. [DOI] [Google Scholar]
- 10.Klumpp D.A. Superelectrophiles in hetrocyclic ring-forming reactions. [(accessed on 17 July 2020)];ARKIVOC. 2009 :63–80. Available online: https://quod.lib.umich.edu/cgi/p/pod/dod-idx/superelectrophiles-in-heterocyclic-ring-forming-reactions.pdf?c=ark;idno=5550190.0010.102;format=pdf. [Google Scholar]
- 11.Klumpp D.A. Superelectrophiles: Charge-charge repulsive effects. Chem. Eur. J. 2008;14:2004–2015. doi: 10.1002/chem.200701470. [DOI] [PubMed] [Google Scholar]
- 12.Rusanov A.L., Chebotarev V.P., Lovkov S.S. Superelectrophiles in the synthesis of condensation monomers and polymers. Russ. Chem. Rev. 2008;77:547–553. doi: 10.1070/RC2008v077n06ABEH003777. [DOI] [Google Scholar]
- 13.Albright H., Riehl P.S., McAtee C.C., Reid J.P., Ludwig J.R., Karp L.A., Zimmerman P.M., Sigman M.S., Schindler C.S. Catalytic carbonyl-olefin metathesis of aliphatic ketones: Iron(III) homo-dimers as lewis acidic superelectrophiles. J. Am. Chem. Soc. 2019;141:1690–1700. doi: 10.1021/jacs.8b11840. [DOI] [PMC free article] [PubMed] [Google Scholar]
- 14.Albright H., Vonesh H.L., Schindler C.S. Superelectrophilic Fe(III)-ion pairs as stronger lewis acid catalysts for (E)-selective intermolecular carbonyl-olefin metathesis. Org. Lett. 2020;22:3155–3160. doi: 10.1021/acs.orglett.0c00917. [DOI] [PubMed] [Google Scholar]
- 15.Negishi E. Bimetallic catalytic systems containing Ti, Zr, Ni, and Pd. Their application to selective organic synthesis. Pure Appl. Chem. 1981;53:2333–2356. doi: 10.1351/pac198153122333. [DOI] [Google Scholar]
- 16.DeHaan F.P., Brown H.C. Catalytic halides. XXXI. Directive effect in aromatic substitutions. 59. Kinetic of gallium chloride catalyzed methylation of benzene in excess of methyl chloride. J. Am. Chem. Soc. 1969;91:4844–4850. doi: 10.1021/ja01045a044. [DOI] [Google Scholar]
- 17.Evans D.A., Chapman K.T., Bisaha J. Asymmetric Diels-A;der Cycloaddition Reaction with Chiral.Alpha beta.-unsaturated N-acyloxazolines. J. Am. Chem. Soc. 1988;110:1238–1256. doi: 10.1021/ja00212a037. [DOI] [Google Scholar]
- 18.Yang S., Bour C., Gandon V. Superelectrophilic gallium(III) homodimers in gallium chloride-mediated methylation of benzene: A theoretical study. Acs Catal. 2020;10:3027–3033. doi: 10.1021/acscatal.9b05509. [DOI] [Google Scholar]
- 19.Djurovic A., Vayer M., Li Z., Guillot R., Baltaze J.-P., Gandon V., Bour C. Synthesis of medium-sized carbocyles by gallium-catalyzed tandem carbonyl-olefin methatesis/transfer hydrogenation. Org. Lett. 2019;21:8132–8137. doi: 10.1021/acs.orglett.9b03240. [DOI] [PubMed] [Google Scholar]
- 20.Edel K., Ishibashi J.S.A., Liu S.-Y., Bettinger H.F. Superelectrophilicity of 1,2-azaborine: Formation of xenon and carbon monooxide adducts. Angew. Chem. Int. Ed. 2019;58:4061–4064. doi: 10.1002/anie.201813503. [DOI] [PMC free article] [PubMed] [Google Scholar]
- 21.Mayer M., van Lessen V., Rohdenburg M., Hou G.-L., Exner R.M., Apra E., Azov V.A., Grabowsky S., Xantheas S.S., Asmis K.R., et al. Rational design of an argon-binding superelectrophile. Proc. Natl. Acad. Sci. USA. 2019;116:8167–8172. doi: 10.1073/pnas.1820812116. [DOI] [PMC free article] [PubMed] [Google Scholar]
- 22.Rohdenburg M., Mayer M., Grellmann M., Jenne C., Borrmann T., Kleemiss F., Azov V.A., Asmis K.R., Grabowsky S., Warneke J. Superelectrophilic behavior of an anion demonstrated by the spontaneous binding of noble gases to [B12 Cl11 ]−. Angew. Chem. Int. Edit. 2017;56:7980–7985. doi: 10.1002/anie.201702237. [DOI] [PubMed] [Google Scholar]
- 23.Sumita A., Otani Y., Ohwada T. Electrophilic activation of aminocarboxylic acids by phosphate ester promotes Friedel-Crafts acylation by overcoming charge-charge repulsion. Org. Biomol. Chem. 2017;15:9398–9407. doi: 10.1039/C7OB02158E. [DOI] [PubMed] [Google Scholar]
- 24.Sumita A., Otani Y., Ohwada T. Chemoselective Generation of Acyl Phosphates, Acylium Ion Equivalents from Carboxylic Acids and an Organophosphate Ester in the Presence of a Brønsted Acid. Chem. Commun. 2017;53:1482–1485. doi: 10.1039/C6CC09618B. [DOI] [PubMed] [Google Scholar]
- 25.Sumita A., Otani Y., Ohwada T. Tandem buildup of complexity of aromatic molecules through multiple successive electrophile generation in one pot, controlled by varying the reaction temperature. Org. Biomol. Chem. 2016;14:1680–1693. doi: 10.1039/C5OB02240A. [DOI] [PubMed] [Google Scholar]
- 26.Mills N.S., McClintock S.P. Relationship of charge to antiaromaticity in bis-fluorenyl dications and fluorophenyl monocations: experimental support for theoretical calculations. Chem. Commun. 2012;48:8099–8101. doi: 10.1039/c2cc33799a. [DOI] [PubMed] [Google Scholar]
- 27.Mills N.S., Tirla C., Benish M.A., Rakowitz A.J., Bebell L.M., Hurd C.M.M., Bria A.L.M. Dications of fluorenylidenes. The relationship between redox potentials and antiaromaticity for meta – and para-substituted diphenylmethylidenefluorenes. J. Org. Chem. 2005;70:10709–10716. doi: 10.1021/jo051599u. [DOI] [PubMed] [Google Scholar]
- 28.McClintock S.P., Mils N.S. Magic acid free generation of antiaromatic dications at room temperature. J. Org. Chem. 2011;76:10254–10257. doi: 10.1021/jo201512n. [DOI] [PubMed] [Google Scholar]
- 29.Stentzel M.R., Klumpp D.A. Preparation of functionalized fluorenes using dicationic electrophiles. Tetrahedron Lett. 2019;60:1675–1677. doi: 10.1016/j.tetlet.2019.05.046. [DOI] [PMC free article] [PubMed] [Google Scholar]
- 30.Gasonoo M., Sumita A., Giuffre K., Boblak K., Ohwada T., Klumpp D.A. Synthesis of heterocycle-containing 9,9-diarylfluorenes using superelectrophiles. J. Org. Chem. 2017;82:6044–6053. doi: 10.1021/acs.joc.7b00311. [DOI] [PubMed] [Google Scholar]
- 31.Sumita A., Ohwada T., Boblak K., Gasonoo M., Klumpp D.A. Use of charge-charge repulsion to enhance π-electron delocalization into anti-aromatic and aromatic systems. Chem. Eur. J. 2017;23:2566–2570. doi: 10.1002/chem.201606036. [DOI] [PubMed] [Google Scholar]
- 32.Wei Y., Zheng X., Lin D., Yuan H., Yin Z., Yang L., Yu Y., Wang S., Xie L.-H., Huang W. Superelectrophilic-initiated C-H functionalization at the β-position of thiophenes: A one-pot synthesis of trans-stereospecific saddle-shaped cyclic compounds. J. Org. Chem. 2019;84:10701–10709. doi: 10.1021/acs.joc.9b01233. [DOI] [PubMed] [Google Scholar]
- 33.Lin D., Wei Y., Ou C., Huang H., Xie L., Tang L., Huang W. carbon cationic relay via superelectrophiles: synthesis of spiro-diazafluorenes. Org. Lett. 2016;18:6220–6223. doi: 10.1021/acs.orglett.6b02595. [DOI] [PubMed] [Google Scholar]
- 34.Koltunov K.Y. Condensation of naphthalenediols with benzene in the presence of aluminum bromide: an efficient synthesis of 5-, 6-, and 7-Hydroxy-4-phenyl-1- and 2-tetralones. Tetrahedron Lett. 2008;49:3891–3894. doi: 10.1016/j.tetlet.2008.04.062. [DOI] [Google Scholar]
- 35.Zhu Z., Koltunov K.Y. A convenient synthesis of 8-Hydroxy-1-tetralones from naphthalene-1,8-diol. Mendeleev Commun. 2016;26:79–80. doi: 10.1016/j.mencom.2016.01.031. [DOI] [Google Scholar]
- 36.Koltunov K.Y., Prakash G.K.S., Rasul G., Olah G.A. Superacid catalyzed reactions of 5-amino-1-napthol with benzene and cyclohexane. Tetrahedron. 2002;58:5423–5426. doi: 10.1016/S0040-4020(02)00512-4. [DOI] [Google Scholar]
- 37.Koltunov K.Y., Prakash G.K.S., Rasul G., Olah G.A. Reactions of 2-, 3-, and 4-quinolinols with cyclohexane and benzene in superacids. Heterocycles. 2004;62:757–772. [Google Scholar]
- 38.Koltunov K.Y., Chernov A.N., Prakash G.K.S., Olah G.A. Condensation of 2-naphthol and naphthalenediols with o-dichlorobenzene in the presence of aluminum halides. Chem. Pharm. Bull. 2012;60:722–727. doi: 10.1248/cpb.60.722. [DOI] [PubMed] [Google Scholar]
- 39.Zhu Z., Salnikov G.E., Koltunov K.Y. Cascade reaction of 2,3-naphalenediol with benzene in the presence of aluminum halides. Tetrtahedron Letters. 2019;60:857–859. doi: 10.1016/j.tetlet.2019.02.026. [DOI] [Google Scholar]
- 40.Zhu Z., Genaev A.M., Salnikov G.E., Koltunov K.Y. Mechanistic investigation of superelectrophilic activation of 1,1′-bi-2-naphtols in the presence of aluminum halides. Org. Biomol. Chem. 2019;17:3971–3977. doi: 10.1039/C9OB00640K. [DOI] [PubMed] [Google Scholar]
- 41.Genaev A.M., Salnikov G.E., Shernyukov A.V., Zhu Z., Koltunov K.Y. protonation behavior of 1,1′-bi-2-naphthol and insights into its acid-catalyzed atropisomerization. Org. Lett. 2017;19:532–535. doi: 10.1021/acs.orglett.6b03696. [DOI] [PubMed] [Google Scholar]
- 42.Genaev A.M., Shchegoleva L.N., Salnikov G.E., Shernyukov A.V., Shundrin L.A., Shundrin I.K., Zhu Z., Koltunov K.Y. Acid-catalyzed versus thermally induced C1–C1′ Bond cleavage in 1,1′-bi-2-naphthol: An experimental and theoretical study. J. Org. Chem. 2019;84:7238–7243. doi: 10.1021/acs.joc.9b00915. [DOI] [PubMed] [Google Scholar]
- 43.Devleshova N.A., Lozovskiy S.V., Vasilyev A.V. Reactions of alkyl 4-hydroxybut-2-ynoates with arenes under superelectrophilic activation with triflic acid or HUSY zeolite: Alternative propargylation or allenylation of arenes, and synthesis of furan-2-ones. Tetrahedron. 2019;75:130517–130529. doi: 10.1016/j.tet.2019.130517. [DOI] [Google Scholar]
- 44.Ryabukhin D.S., Lisakova A.D., Zalivatskaya A.S., Boyarskaya I.A., Starova G.L., Trifonov R.E., Ostrovskii V.A., Vasilyev A.V. Transformations of 5-(2-Arylethynyl)-2-methyl-2H-tetrazoles under superelectrophilic activation. Tetrahedron. 2018;74:1838–1849. doi: 10.1016/j.tet.2018.02.050. [DOI] [Google Scholar]
- 45.Saulnier S., Golovanov A.A., Vasilyev A.V. A controlled tandem transformation of conjugated enynones with arenes under superelectrophilic activation leading to aryl-substituted dienones and indenes. Rsc Adv. 2016;6:103546–103555. doi: 10.1039/C6RA21965A. [DOI] [Google Scholar]
- 46.Ryabukhin D.S., Fukin G.K., Vasilyev A.V. Multi-channel transformation of 1,3-Diarylpropynones under superelectrophilic activation conditions: Concurrence of intra- and itermolecular reactions. Experimental and theoretical study. Tetrahedron. 2014;70:7865–7873. doi: 10.1016/j.tet.2014.09.006. [DOI] [Google Scholar]
- 47.Naredla R.R., Zheng C., Nilsson L.S.O., Klumpp D.A. Charge delocalization and enhanced acidity in tricationic superelectrophiles. J. Am. Chem. Soc. 2011;133:13169–13175. doi: 10.1021/ja2046364. [DOI] [PMC free article] [PubMed] [Google Scholar]
- 48.Gasonoo M., Naredla R.R., Nilsson L.S.O., Klumpp D.A. Tetra- and pentacationic electrophiles and their chemistry. J. Org. Chem. 2016;81:11758–11765. doi: 10.1021/acs.joc.6b02220. [DOI] [PubMed] [Google Scholar]
- 49.Kennedy S.H., Gasonoo M., Klumpp D.A. Superelectrophilic carbocations: Preparation and reactions of a substrate with six ionizable groups. Beil. J. Org. Chem. 2019;15:1515–1520. doi: 10.3762/bjoc.15.153. [DOI] [PMC free article] [PubMed] [Google Scholar]
- 50.Compain G., Martin-Mingot A., Frapper G., Bachmann C., Jouannetaud M.-P., Thibaudeau S. Anti-Markovnikov additions to n-allylic derivatives involving ammonium–carbenium superelectrophiles. Chem. Commun. 2012;48:5877–5879. doi: 10.1039/c2cc32246c. [DOI] [PubMed] [Google Scholar]
- 51.Compain G., Bonneau C., Martin-Mingot A., Thibaudeau S. Selective anti-Markovnikov cyclization and hydrofluorination reaction in superacid HF/SbF5: A tool in the design of nitrogen-containing (fluorinated) polycyclic systems. J. Org. Chem. 2013;78:4463–4472. doi: 10.1021/jo400398y. [DOI] [PubMed] [Google Scholar]
- 52.Boblak K.N., Gasonoo M., Zhang Y., Klumpp D.A. Intramolecular conjugate addition with heterocylic olefins. J. Org. Chem. 2015;80:11948–11952. doi: 10.1021/acs.joc.5b01701. [DOI] [PubMed] [Google Scholar]
- 53.Zhang Y., Sheets M.R., Raja E., Boblak K., Klumpp D.A. Superacid-promoted additions involving vinyl-substituted pyrimidines, quinoxalines, and quinazolines: Mechanisms correlated to charges. J. Am. Chem. Soc. 2011;133:8467–8469. doi: 10.1021/ja202557z. [DOI] [PMC free article] [PubMed] [Google Scholar]
- 54.Zhang Y., Briski J., Zhang Y., Rendy R., Klumpp D.A. Superacid-catalyzed reactions of olefinic pyrazines: An example of anti-Markovnikov addition involving superelectrophiles. Org. Lett. 2005;7:2505–2508. doi: 10.1021/ol050900q. [DOI] [PMC free article] [PubMed] [Google Scholar]
- 55.Ohwada T., Suzuki T., Shudo K. Superacid-catalyzed electrocyclization of diphenylmethyl cations to fluorenes. kinetic and theoretical revisit supporting the involvement of ethylene dications. J. Am. Chem. Soc. 1998;120:4629–4637. doi: 10.1021/ja980090w. [DOI] [Google Scholar]
- 56.Ohwada T., Shudo K. Reaction of diphenylmethyl cations in a strong acid. participation of carbodications with positive charge substantially delocalized over the aromatic rings. J. Am. Chem. Soc. 1988;110:1862–1870. doi: 10.1021/ja00214a031. [DOI] [Google Scholar]
- 57.Levy A., Rakowitz A., Mills N.S. Dications of fluorenylidenes. The effect of substituent electronegativity and position on the antiaromaticity of substituted tetrabenzo[5.5]fulvalene dications. J. Org. Chem. 2003;68:3990–3998. doi: 10.1021/jo026924h. [DOI] [PubMed] [Google Scholar]
- 58.Sai K.K.S., Esteves P.M., Tanoue da Penha E.T., Klumpp D.A. Superacid-promoted reactions of α-keto amides and related systems. J. Org. Chem. 2008;73:6506–6512. doi: 10.1021/jo801208m. [DOI] [PubMed] [Google Scholar]
- 59.Yoshida N., Ohwada T. Regioselective superacid-catalyzed electrocyclization of diphenylmethyl cations to fluorenes, phenanthrols and benzofurans. Synthesis. 2001;10:1487–1494. doi: 10.1002/chin.200145053. [DOI] [Google Scholar]
- 60.Hoefnagel A.J., van Bekkum H. New zeolite-catalyzed ring-closure reaction of benzilic acid. Micropor. Mesopor. Mat. 2000;35–36:155–161. doi: 10.1016/S1387-1811(99)00216-4. [DOI] [Google Scholar]
- 61.Suzuki T., Ohwada T., Shudo K. Superacid-catalyzed electrocyclization of 1-Phenyl-2-propen-1-ones to 1-indanones. Kinetic and theoretical studies of electrocyclization of oxonium-carbenium dications. J. Am. Chem. Soc. 1997;119:6774–6780. doi: 10.1021/ja971100g. [DOI] [Google Scholar]
- 62.Klumpp D.A., Zhang Y., O’Connor M.J., Esteves P.M., de Almeida L.S. Aza-Nazarov reaction and the role of superelectrophiles. Org. Lett. 2007;9:3085–3088. doi: 10.1021/ol0711570. [DOI] [PubMed] [Google Scholar]
- 63.Sai K.K.S., O’Connor M.J., Klumpp D.A. Aza-Nazarov cyclization cascades. Tetrahedron Lett. 2011;52:2195–2198. doi: 10.1016/j.tetlet.2010.11.164. [DOI] [PMC free article] [PubMed] [Google Scholar]
- 64.Narayan R., Daniliuc C.-G., Würthwein E.-U. Preparation of NH-Pyrroles under superelectrophilic conditions by an Aza-Nazarov reaction cascade with indole as neutral leaving group: Experiment and theory. Eur. J. Org. Chem. 2012;2012:6021–6032. doi: 10.1002/ejoc.201200913. [DOI] [Google Scholar]
- 65.Liu X., Zhang Q., Zhang D., Xin X., Zhang R., Zhou F., Dong D. PPA-mediated C-C-C bond formation: A synthetic route to substituted indeno[2,1-c]quinoline-6(7h)-ones. Org. Lett. 2013;15:776–779. doi: 10.1021/ol303423f. [DOI] [PubMed] [Google Scholar]
- 66.Liu X., Xin X., Xiang D., Zhang R., Kumar S., Zhou F., Dong D. Facile and efficient synthesis of quinolin-2(1H)-ones via cyclization of Penta-2,4-Dienamides mediated by H2SO4. Org. Biomol. Chem. 2012;10:5643–5646. doi: 10.1039/c2ob25767j. [DOI] [PubMed] [Google Scholar]
- 67.Kennedy S.H., Qurah A., Kethe A., Klumpp D.A. Superacid-promoted synthesis of indolizidine derivatives. Tetrahedron Lett. 2018;59:1932–1935. doi: 10.1016/j.tetlet.2018.03.094. [DOI] [Google Scholar]
- 68.Qurah A., Klumpp D.A. Cyclizations of N-carbamoyl and N-thiocarbamoyl iminium ions leading to ring-fused heterocycles. Tetrahedron Lett. 2016;57:4788–4790. doi: 10.1016/j.tetlet.2016.09.026. [DOI] [Google Scholar]
- 69.Hart H., Sulzberg T., Rafos R.R. dicarbonium ions of the triarylmethyl type. ions from o-, m- and p-xylene glycols. J. Am. Chem. Soc. 1963;85:1800–1806. doi: 10.1021/ja00895a024. [DOI] [Google Scholar]
- 70.Klumpp D.A., Baek D.N., Prakash G.K.S., Olah G.A. The preparation of condensed aromatics by the superacidic dehydration cyclization of aryl pinacols and epoxides. J. Org. Chem. 1997;62:6666–6671. doi: 10.1021/jo970293n. [DOI] [Google Scholar]
- 71.Vuong H., Dash B.P., Nilsson L.S.O., Klumpp D.A. Diels-Alder reactions with ethylene and superelectrophiles. Org. Lett. 2018;20:1849–1852. doi: 10.1021/acs.orglett.8b00367. [DOI] [PubMed] [Google Scholar]
- 72.Loh Y.K., Fuentes M.A., Vasko P., Aldridge S. Successive protonation of an N-Heteroyclic imine derived carbonyl: superrelectrophilic dication versus nasked acylium ion. Angew. Chem. Int. Edit. 2018;57:16559–16563. doi: 10.1002/anie.201810709. [DOI] [PubMed] [Google Scholar]
- 73.Raja E.K., Nilsson L.S.O., Klumpp D.A. Friedel-Crafts-type reactions with ureas and thioureas. Chem. Commun. 2012;48:8141–8143. doi: 10.1039/c2cc34062c. [DOI] [PubMed] [Google Scholar]
- 74.Kurouchi H., Sumita A., Otani Y., Ohwada T. Protonation swithcing to the least-basic heteroatom of carbamate trough cationic hydrogen bonding promotes the formation of isocyanate cations. Chem. Eur. J. 2014;20:8682–8690. doi: 10.1002/chem.201402447. [DOI] [PubMed] [Google Scholar]
- 75.Kurouchi H., Kawamoto K., Sugimoto H., Nakamura S., Otani Y., Ohwada T. activation of electrophility of stable Y-delocalized carbamate cations in intramolecular aromatic substitution reaction: evidence for formation of diprotonated carbamates leading to generation of isocyanates. J. Org. Chem. 2012;77:9313–9328. doi: 10.1021/jo3020566. [DOI] [PubMed] [Google Scholar]
- 76.Kennedy S.H., Schaeff M.N., Klumpp D.A. Superelectrophiles in synthesis: Preparation of aromatic imides. J. Org. Chem. 2019;84:14133–14140. doi: 10.1021/acs.joc.9b01437. [DOI] [PMC free article] [PubMed] [Google Scholar]
- 77.Soultan A.H., Verheyen T., Smet M., de Borggraeve W.M., Patterson J. Synthesis of functionalization of hyperbranched poly(arylene oxindole) towards versatile biomaterials. Polym. Chem. 2018;9:2775–2784. doi: 10.1039/C8PY00139A. [DOI] [Google Scholar]
- 78.Mancilla E.C., Hernández-Martínez H., Zolotukhin M.G., Ruiz-Treviño A.F., Gonzaález-Díaz M.O., Cardenas J., Scherf U. POXINAR membrane family for gas separation. Ind. Eng. Chem. Res. 2019;58:15280–15287. doi: 10.1021/acs.iecr.9b02656. [DOI] [Google Scholar]
- 79.Hernandez M.C.G., Zolotukhin M.G., Fomine S., Cedillo G., Morales S.L., Fröhlich N., Preis E., Scherf U., Salmon M., Chavez M.I., et al. Novel, metal-free, superacid-catalyzed “click” reactions of isatins with linear, nonactivated, multiring aromatic hydrocarbons. Macromolecules. 2010;43:6968–6979. doi: 10.1021/ma101048z. [DOI] [Google Scholar]
- 80.Zolotukhin M.G., Fomina L., Salcedo R., Sansores L.E., Colquhoun H.M., Khalilov L.M. Superelectrophiles in polymer chemistry. A novel, one-pot synthesis of high-Tg, high-temperature polymers. Macromolecules. 2004;37:5140–5141. doi: 10.1021/ma0495902. [DOI] [Google Scholar]
- 81.Colquhoun H.M., Zolotukhin M.G., Khalilov L.M., Dzhemilev U.M. Superelectrophiles in aromatic polymer chemistry. Macromolecules. 2001;34:1122–1124. doi: 10.1021/ma001579o. [DOI] [Google Scholar]
- 82.Smet M., Fu Y., Zhang X., Schacht E.H., Dehaen W. A convenient A2 + B3 approach to hyperbranched poly(arylene oxindoles) Macromol. Rapid Commun. 2005;26:1458–1463. doi: 10.1002/marc.200500386. [DOI] [Google Scholar]
- 83.Klumpp D.A., Yeung K.Y., Prakash G.K.S., Olah G.A. Preparation of 3,3-Diaryloxindoles by superacid-induced condensations of isatins and aromatics with a combinatorial approach. J. Org. Chem. 1998;63:4481–4484. doi: 10.1021/jo980588g. [DOI] [Google Scholar]
- 84.Kuouchi H., Sugimoto H., Otani Y., Ohwada T. Cyclization of arylacetoacetates to indene and duhydronaphtalene derivatives in strong acid. evidence for involment of further protonation of O,O-Diprotonated β-Ketoester, leading to enhancement. J. Am. Chem. Soc. 2010;132:807–815. doi: 10.1021/ja908749u. [DOI] [PubMed] [Google Scholar]
- 85.Narayanan A., Nirmalchandar A., Pakina F., Rasul G., Mathew T., Prakash G.K.S. Superelectrophilic activation of phenylglyoxamides: Efficient synthesis of triarylacetamides and fruorenecarboxamides by superacid catalysis. Top. Catal. 2018;61:652–663. doi: 10.1007/s11244-018-0962-x. [DOI] [Google Scholar]
- 86.Brouwer D.M., Kiffen A.A. Hydride transfer reactions III: Rates of hydride transfer from isobutane to hydroxycarbonium ions. Recl. Trav. Chim. Pays-Bas. 1973;92:809–813. doi: 10.1002/recl.19730920716. [DOI] [Google Scholar]
- 87.Olah G.A., Mathew T., Marinez E.R., Esteves P.M., Etzkorn M., Rasul G., Prakash G.K.S. Acid-catalyzed isomerization of pivalaldehyde to methyl isopropyl ketone via a reactive protosolvated ion intermediate. J. Am. Chem. Soc. 2001;123:11556–11561. doi: 10.1021/ja011253a. [DOI] [PubMed] [Google Scholar]
- 88.Olah G.A., Ramaiah P., Prakash G.K.S. electrophilic nitration of alkanes with nitronium hexafluorophosphate. Proc. Natl. Acad. Sci. USA. 1997;94:11783–11785. doi: 10.1073/pnas.94.22.11783. [DOI] [PMC free article] [PubMed] [Google Scholar]
- 89.Vol’pin M., Akhrem I., Orlinkov A. Aprotic organic superacids—Efficient reagents and catalysts for transformations of alkanes and cycloalkanes under mild conditions. New J. Chem. 1989;13:771–789. doi: 10.1002/chin.199015341. [DOI] [Google Scholar]
- 90.Akhrem I., Orlinkov A. Polyhalomethanes combined with lewis acids in alkane chemistry. Chem. Rev. 2007;107:2037–2079. doi: 10.1021/cr970005n. [DOI] [PubMed] [Google Scholar]
- 91.Akhrem I.S., Christyakov A.L., Gambaryan N.P., Stankevich I.V., Vol’pin M.E. Polyhalomethanes combined with aluminum halides as generators of superelectrophiles of a novel type. J. Organomet. Chem. 1997;536–537:489–495. doi: 10.1016/S0022-328X(96)06871-4. [DOI] [Google Scholar]
- 92.Sommer J., Bukala J. Selective electrophilic activation of alkanes. Acc. Chem. Res. 1993;26:370–376. doi: 10.1021/ar00031a003. [DOI] [Google Scholar]
- 93.Olah G.A., Rasul G.A., Yudin A.K., Burrichter A., Prakash G.K.S., Christyakov A.L., Stankevich I.V., Akhrem I.S., Gambaryan N.P., Vol’pin M.E.J. Trihalomethyl Cations and Their Superelectrophilic Activation. Am. Chem. Soc. 1996;118:1446–1451. doi: 10.1021/ja952408f. [DOI] [Google Scholar]
- 94.Akhrem I.S., Avetisyan D.V., Afanas’eva L.V., Artushin O.I., Kargamanov N.D., Sigan A.L. A new method for one-pot synthesis of dicarboxylic acids derivatives and diketones containing quaternary carbon atom and remote functional groups from linear and cyclic halides. Tetrahedron Lett. 2017;58:4014–4019. doi: 10.1016/j.tetlet.2017.09.019. [DOI] [Google Scholar]
- 95.Akhrem I.S., Avetisyan D.V., Afanas’eva L.V., Tyutyunov A.A., Artyushin O.I., Kagramanov N.D. Regioselective functionalization of gem-bis(trifluoromethylated) alkanols. Mendeleev Commun. 2018;28:651–652. doi: 10.1016/j.mencom.2018.11.030. [DOI] [Google Scholar]
- 96.Artault M., Mokhtari N., Cantin T., Martin-Mingot A., Thibaudeau S. Superelectrophilic Csp 3 –H bond fluorination of aliphatic amines in superacid: the striking role of ammonium–carbenium dications. Commun. 2020;56:5905–5908. doi: 10.1039/d0cc02081h. [DOI] [PubMed] [Google Scholar]
- 97.Klumpp D.A., Zhang Y., Kindelin P.J., Lau S. Superacid-catalyzed reactions of pyridinecarboxaldehydes. Tetrahedron. 2006;62:5915–5921. doi: 10.1016/j.tet.2006.04.022. [DOI] [Google Scholar]
- 98.Shudo K., Ohwada T. In: Stable Carbocation Chemistry. Prakash G.K.S., Schleyer P.V.R., editors. Wiley; New York, NY, USA: 1997. pp. 529–531. [Google Scholar]
- 99.Raja E.K., DeSchepper D.J., Nilsson L.S.O., Klumpp D.A. Friedel-Crafts acylation with amides. J. Org. Chem. 2012;77:5788–5793. doi: 10.1021/jo300922p. [DOI] [PMC free article] [PubMed] [Google Scholar]
- 100.Milandou L.J.C.B., Carreyre H., Alazet S., Greco G., Martin-Mingot A., Loumpangou C.N., Ouamba J.-M., Bouazza F., Billard T., Thibaudeau S. Superacid-catalyzed trifluoromethylation of aromatic amines. Angew. Chem. Int. Ed. 2017;56:169–172. doi: 10.1002/anie.201609574. [DOI] [PubMed] [Google Scholar]
- 101.Zhu Z., Genaev A.M., Salnikov G.E., Koltunov K.Y. Superelectrophilic activation of 1-nitronaphthalene in the presence of aluminum chloride. Reactions with benzene and cyclohexane. Org. Biomol. Chem. 2018;16:9129–9132. doi: 10.1039/C8OB02653J. [DOI] [PubMed] [Google Scholar]
- 102.Ohta T., Shudo K., Okamoto T. Pheylation of Nitroso-, Azo-, Azosy-, and Nitrobenzene, A Variety of Onium-Benzenium Ions. Tetrahedron Lett. 1977:101–104. doi: 10.1016/S0040-4039(01)92561-4. [DOI] [Google Scholar]

































