Abstract
Polyacetylenic natural products are a substantial class of often unstable compounds containing a unique carbon-carbon triple bond functionality, that are intriguing for their wide variety of biochemical and ecological functions, economic potential, and surprising mode of biosynthesis. Isotopic tracer experiments between 1960 and 1990 demonstrated that the majority of these compounds are derived from fatty acid and polyketide precursors. During the past decade, research into the metabolism of polyacetylenes has swiftly advanced, driven by the cloning of the first genes responsible for polyacetylene biosynthesis in plants, moss, fungi, and actinomycetes, and the initial characterization of the gene products.
The current state of knowledge of the biochemistry and molecular genetics of polyacetylenic secondary metabolic pathways will be presented together with an up-to-date survey of new terrestrial and marine natural products, their known biological activities, and a discussion of their likely metabolic origins.
Keywords: Acetylenes, Polyacetylenes, Secondary Metabolism, Desaturases, Lipids, Polyketides
1. Introduction to Acetylenic Natural Products
Acetylenic natural products include all compounds with a carbon-carbon triple bond or alkynyl functional group. While not always technically accurate, the term “polyacetylenes” is often used interchangeably to describe this class of natural products, although they are not polymers and many precursors and metabolites contain only a single acetylenic bond. Acetylenic natural products are widely distributed, occurring in plants, moss and lichens, fungi, marine algae, sponges, tunicates, insects, frogs and, in traces quantities, humans. The compounds themselves tend to be unstable, succumbing either to oxidative, photolytic, or pH-dependent decomposition, which originally provided substantial challenges for their isolation and characterization.
The earliest isolated alkyne-bearing natural product was dehydromatricaria ester (1A), which was isolated, but not fully characterized, in 1826 (Fig. 1). No compound was characterized as being acetylenic until 1892 (tariric acid, 5T) [1, 2], after which only a handful of compounds were isolated before 1952 (Fig. 1). A lecture by N. A. Sörensen to the Royal Chemical Society in Glasgow describes the early history of polyacetylenic natural product chemistry [3]. From the 1960s to the late 1980s, natural products began to yield to the increasing powers of separation and analysis, bolstered by the ability of organic chemists to synthesize highly unsaturated natural products and putative biosynthetic intermediates and cope with their fragility. It was during this 25-year growth spurt that the exploration into the synthesis, isolation, and biogenesis of naturally occurring acetylenes was dominated by the groups of Sir Ewart H. R. Jones (1911–2002) and Prof. Ferdinand Bohlmann (1921–1991) [4, 5]. While Jones was at Manchester carrying out a research program that included the use of acetylenic chemistry toward the synthesis of polyenes and vitamin A, John D. Bu’lock became an assistant lecturer in 1951 at the same institution and began studying polyacetylenic compounds from fungi [6]. The first secondary metabolite that they reported was fatty acid-derived agrocybin (1B) [7] (n.b. an antifungal peptide from Agrocybe cylindracea has been confusingly given the same name [8]) and together they communicated the first biosynthetic studies of polyacetylenes [9]. Jones departed to chair the chemistry department at Oxford in 1955, but not before Bu’lock’s enthusiasm for exploring fungal secondary metabolism drew Jones into a programmatic study of polyacetylenes that blossomed over 30 years. From the early days at Oxford, Viktor Thaller (with Jones) was involved in developing syntheses of isotopically labeled polyacetylene intermediates, a research area he maintained until 1989. Independently, Bohlmann, starting in 1953 at Braunschweig and then the Technical University of Berlin in 1959 with his assistant C. Zdero, investigated primarily plant-derived polyacetylenes from Asteraceae (Compositae) [10]. Card files from their extensive studies have been made freely available in a searchable online database that currently covers 6258 plants, mostly from Asteraceae, and 20,000 compounds of which 1223 are acetylenic [11]. Working independently at common purposes, the two groups’ extensive and methodical natural product isolations and tracer studies expanded the compendium of known acetylenic natural products to ca. 1000 compounds and provided the underpinnings of polyacetylene biosynthetic pathways. As analytical methods have improved, many initial reports of the prevalence of acetylenic metabolites in plant families have been revised consistently upward.
Fig. 1.

Historically and biosynthetically important acetylenic natural products.
During the past 25 years, substantial changes, both in growth and direction, have been occurring in the area of acetylenic natural products biosynthesis. The expansive screening effort spearheaded by the National Cancer Institute reinvigorated the discovery of new compounds. This has had the effect of disproportionately increasing the number of new polyacetylenes from marine organisms. More than 2000 polyacetylenes are known, with more than 1100 in the plant family Asteraceae. The molecular biology revolution has allowed the biochemical processes involved in polyacetylene biosynthesis to be probed with significant progress being made in the cloning of acetylene biosynthetic genes and the characterization of their protein products. As such, the goals of this review are to provide the state of knowledge in polyacetylene biosynthesis framed around progress made during the past 10 years and to review the new natural products isolated from 1997 to date. In doing this, an effort was made to highlight the biosynthetic parallels between terrestrial and marine pathways that, to our knowledge, have not been reviewed previously. Coverage of selected areas that have not seen recent progress are included to provide a fair overview of the expanse of acetylenic natural products chemistry.
There are a number of reviews that the reader should consider that examine earlier efforts in the area. A book by Bohlmann provides a golden resource, covering the synthesis, isolation, and chemotaxonomy of acetylenic natural products through 1972 [12]. Reviews focusing on the systematic relationships of polyacetylenes within specific plant families and tribes have been published [13–18]. Unusual fatty acids in seed oils were cataloged in 1981 by Badami and Patil, whose concentration on acetylenic acids updated portions of the Bohlmann monograph [19]. New structures of fatty acids and derivatives, their synthesis and biotechnological aspects in the period preceding the current article have been reviewed [20, 21]. A recent and extensive review of the anticancer activity of natural and synthetic acetylenic lipids was written by Dembitsky [22]. A review of advances in the synthesis of acetylenic natural products has also recently appeared [23].
2. Biochemistry and Molecular Genetics
2.1 Biosynthesis of Fatty-Acid Derived Metabolites
As initial points of departure from primary metabolism, three fatty acids comprise the roots of most acetylenic natural products: crepenynic acid (2E), stearolic acid (5A) and tariric acid (5T) (Fig. 1). In this section, we will provide a brief overview of their biosynthetic pathways, the major types of metabolic transformations modifying the basic acids and, finally, consider the latest developments in the genetics and biochemistry of plant and fungal acetylenic natural product biosynthesis. Standard lipid nomenclature is used periodically to denote chain lengths (l) and the number of sites of desaturation, (d) as l:d, with the locations of acetylenic (a) bonds and the stereochemistry of alkenes (c, cis or Z- and t, trans or E-) indicated in the superscripts.
2.1.1 Models for the Biosynthesis of an Acetylenic Bond
During the early 1960s, two models put forward for the biosynthesis of polyacetylenes, the oxidative dehydrogenation (desaturation) mechanism and a decarboxylative enol elimination mechanism, used divergent approaches to the formation of the second π-bond (Fig. 2). The desaturation model, supported by the landmark work of Bloch on unsaturated fatty acid formation [24], was first tested by Bu’Lock in 1967 [25, 26]. The enol elimination hypothesis was based upon the premise of Wakil [27] that acylmalonate derivatives were involved in poly(acetate) biosynthesis and was advanced prior to the entrenchment of Bloch’s work. While at this time it seems improbable that enol eliminations play a large role in plant acetylenic secondary metabolism, the concept provided a facile means of introducing acetylenic bonds during the elongation of an acyl chain. As a proof-of-concept, Fleming tested the hypothesis and showed that phosphates and sulfates of 3-hydroxy-2-alkene carboxylates eliminated to acetylenes under mild conditions [28, 29]. Further examples have been recently reported [30].
Fig. 2.

Two distinct proposals for the biogenesis of acetylenic bonds. A. Desaturation of existing alkene functionality through an iron-catalyzed dehydrogenation with molecular oxygen [26]. Electrons are provided by either NADH or NADPH. B. The elimination of an activated enol carboxylate intermediate is thermodynamically driven by CO2 formation, which may be coupled to the hydrolysis of pyrophosphate [28]. In the original hypotheses, path A would be operative with full-length acyl lipids and path B would install acetylenic groups during de novo fatty acid biosynthesis. Although current paradigm and all experiments dealing with fatty acid biosynthesis are consistent with the desaturase pathway, the elimination hypothesis remains valid for PK-derived acetylenic natural products.
2.1.2 Primary Substrates for Acetylenic Fatty Acid Biosynthesis
Saturated fatty acids are synthesized de novo by multifunctional fatty acid synthase complexes, which append in a head-to-tail fashion malonyl units to a growing acyl chain. In most eukaryotes, this chemistry occurs in the cytosol; the major exception is green plants, where saturated fatty acids originate from the stroma of plastids (Fig. 3). The well established series of four reactions begin from acetyl-CoA: Claisen-like condensation of a malonyl group that elongates the acyl chain by two carbons to a β-ketoacyl-ACP, reduction to β-hydroxyacyl-ACP, dehydration leading to the α,β-unsaturated acyl-ACP and, finally, reduction to the C2-homologated acyl chain. A complex of soluble enzyme subunits catalyzes these reactions. In plants, the condensing activities involved are dependent upon the length of the nascent chain: β-ketoacyl synthase III (KASIII) carries out the first condensation to butyryl-ACP, KASI elongates the lipid chain to C16, and KASII completes the formation of stearoyl-ACP. In fungi, animals, and certain bacteria, multifunctional polypeptides termed Type I fatty acid syntheses carry out analogous reactions in the cytosol. In plants, the soluble stearoyl-ACP desaturase (FAB2) desaturates the majority (commonly >75%) of the C16 and C18 chains regiospecifically at C-9. In lower eukaryotes, acyl-CoA desaturases perform the analogous chemistry, whereas in bacteria both anaerobic desaturation and oxygen-dependent desaturation with acyl-lipid substrates are operative [31]. Aerobic desaturation, prevalent in eukaryotes, is catalyzed by non-heme-diiron desaturases that use molecular oxygen and an electron transport system to excise two vicinal C-H bonds on the alkyl chain of a fatty acid derivative regiochemically generating the π-bonds of an alkene. As a result of its relative stability and ease of overexpression, X-ray crystallography, supplemented with other spectroscopic techniques, has provided a high-resolution picture of stearoyl-ACP desaturase [32, 33]. Additional efforts to dissect structural attributes controlling the regio- and chemoselectivity for the soluble desaturases are yielding new insight into the enzymology of this key enzyme [34–36]. The fate of oleate produced by FAB2 is ruled by compartmentalization in plants, with a portion released to the cytosolic compartment as 18:1-CoA for the synthesis of eukaryotic glycerolipids (PC, PE, PI) and the remainder incorporated into chloroplast membranes. Solid reviews of fatty acid biosynthesis in plants and yeast may be found elsewhere [37, 38]. At this point, it appears that the chief reservoir of fatty acids involved in acetylene biosynthesis is PC in the ER membranes.
Fig. 3.

An overview of the reactions modifying the lipidome and their cellular localization during lipid metabolism. The known processes that synthesize acetylenic bonds and many other oxidatively modified lipids occur at the endoplasmic reticulum, where substrate conjugation to PC appears to be required. In plants, unusual fatty acids are strongly biased to accumulate as TAG in oilbodies. While acyl redistribution is known to occur through the interplay of pathways shown, identification of the specific factors controling unusual fatty acid accumulation is an area of active investigation. Each type of lipid conjugate can provides a specific entry point for the elaboration of C8–C18 acetylenic natural products. Both fatty acid and PK-derived secondary metabolism appear to be active in marine organisms.
Desaturation at the ER occurs on a nominally full-length C16–C18 acyl chain, which can also undergo chain elongation and oxidative cleavage processes. Elongation pathways, which synthesize acyl chains C20 and longer, are reviewed elsewhere [39]. Desaturation occurring in plastids and on the endoplasmic reticulum leads to distinct lipid products in part because the lipid conjugates (e.g., acyl-CoA, acyl-ACP, and PC derivatives) act both as specific substrates and temporary repositories. As will be discussed in more detail later, numerous gene sequences for “diverged” desaturases have been published beginning in 1995 that are related to the microsomal oleate Δ12-desaturase (named FAD2 in plants) but that have an atypical chemical function (e.g., hydroxylation rather than alkane dehydrogenation) [40]. While it is not without ambiguity, trends are becoming apparent among diverged desaturases with peculiar regio- or chemoselectivity allowing the discernment of function based upon primary sequence.
2.1.3 The Crepenynate Pathway
The crepenynate pathway for acetylenic natural product biosynthesis has been examined repeatedly in plants and fungi over the past 50 years (Fig. 4). The pathway is fed with acetate-derived acyl lipids provided from primary metabolism and diverges with the conversion of linoleic acid (2C) to crepenynic acid (2E) with the installation of the initial acetylenic bond between C-12 and C-13. Desaturation of 2E to (14Z)-dehydrocrepenynic acid (2G) has been demonstrated in fungi but, with a couple of exceptions, 2G does not accumulate in plants [41, 42]. Three H2 equivalents are excised from 2G by a series of uncharacterized transformations leading to the triynoic acid 2M. At each dehydrogenation level in the crepenynate pathway, fatty acids can be diverted and chain-shortened resulting in a metabolic web with chain lengths between C8 and C18. Certain diversions from the main dehydrogenation series appear to lead to large groups of polyacetylenes, such as the multistep shunt to (ene)-diyne-diene 2O, which is a precursor of the non-alkamide-related C14 metabolites in Heliantheae [14]. Major chemical distinctions have been drawn between plant families. A significant example of taxonomic variation is the contrast between natural products in the Asteraceae family, in which the fatty acid carboxyl group is metabolized to a vinyl terminus, and the umbels (Apiaceae), where the same atoms are reduced to an alkane. Widespread transformations and specific enzymes that lead to many of the acetylenic metabolites are described in Section 2.3 and representative new plant metabolites are outlined in Section 3. (Place Fig. 4)
Fig. 4.

Acetylenic fatty acids derived from the crepenynate pathway. Primary metabolism provides the pool of fatty acid precursors for 2E. Fatty acids central to the crepenynate pathway and their most commonly employed acyl conjugates for enzymatic conversions to subsequent products are shown connected by heavy arrows. Pathways to products from other diverged desaturase activities and branches from the crepenynate pathway are shown with light arrows.
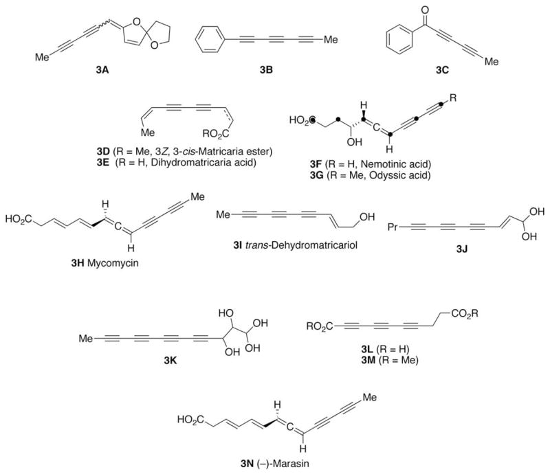
Crepenynic acid (2E) rarely accumulates in plant tissue but has been found in several seed oils, including those from Crepis spp. [43], Saussurea candicans [44], and Afzelia cuanzensis [45]. The earliest in vitro study of the biosynthesis of crepenynate-derived polyacetylenes examined a Chrysanthemum flosculosum (Asteraceae) cell-free preparation that incorporated low levels of [1-14C]oleate (2A) into 3A (Fig. 5) [46]. Haigh carried out seminal biosynthetic studies of 2E, where time courses of crepenynic acid production showed that accumulation begins several days after flowering and reaches its maximum 14–28 days later [47]. Radiochemical tracer studies supported 2A as the precursor and were consistent with a model in which acetylenic groups were formed by the modification of fatty acids with prevailing chain lengths of C16 and C18 [47]. Subsequently, Bohlmann et al. showed that long-chain fatty acids were necessary for the initial stages of polyacetylene biosynthesis; 14:15c and 16:17c were poorly incorporated into three plant polyacetylenes 3A, 3B, and 3C) [48].
Fig. 5.

Natural products produced through the crepenynate pathway.
Falcarinol (4B) is distributed through many Apiaceae and Araliaceae species (Fig. 6A) [49]. It was shown by Barley and coworkers that [9-14C] and [10-3H]crepenynate (2E) were incorporated at 0.08–0.1% levels into 4B in carrot tissue culture [50]. The identification of certain Dendropax trifidus metabolites, like C18 acid 4A, has been used as support for the formation of (–)-4B through decarboxylation. Aldehyde 4D, known from the Apiaceae species Pastinaca sativa, has been proposed as a precursor to falcarinone (4E) [51]. It is probable that a single pathway, likely initiated by 2-hydroxylation of 4A, links the conversions resulting in 4B–4E. In this hypothesis, decarboxylation of 2-hydroxyacid 4A leads to the C17 aldehyde homolog of 4D that is sequentially reduced through an alcohol to an alkane. Metabolites with a primary hydroxy group that would result from alcohol dehydrogenase activities (e.g., 4F, 8C–D) are infrequently observed, implying that the subsequent elimination/reduction conversions are efficient.
Fig. 6.

Falcarinol and related metabolites are widespread amongst Apiaceae and Araliaceae species. A. The metabolic web to falcarindiol and falcarinone commences from crepenynic acid, where favored metabolic pathways are depicted with solid arrows. The ubiquitous enzymatic transformations that provide alterative routes to many of the natural products remain largely unexplored (one subset described in the text is marked with dashed lines). B. Accessing polyacetylenic metabolites with unsaturation patterns rarely encountered in other fatty acids occurs through combinations of novel desaturation and hydrogenation processes. Hydroxylation/dehydration processes remain viable hypotheses for many unsaturated metabolite pairs. C. Species from fatty acid catabolism, such as 3-hydroxyoleic acid, have been found to be metabolic precursors to falcarinol derivatives [54].
A number of polyacetylenic natural products are known that occur with their dihydro derivatives suggesting a biogenetic relationship. Reduction of the 8,9-π bond in a dienyl system has been used to rationalize several metabolite pairs, including 4G and 4H from Oenanthe crocata (Fig. 6B). Two diene-forming pathways may be involved in the conversion of a methylene-skipped ene-diyne, such as 2I or a derivative, to the conjugated diene 4G. First, a functionally diverged desaturase can accommodate the expansion of the C-9 alkene to the 8,10-polyene. Conjugases are now known that provide examples of this activity by elaborating upon Δ9-unsaturation to produce 1,3-dienyl fatty acids (e.g., parinaric, α-eleostearic, and calendic acids) [52, 53]. Second, lipoxygenase/peroxireductase activities may hydroxylate an acetylenic intermediate providing the putative substrate for a 1,4-dehydrative elimination to 4G (see Sections 2.3.1.2 and 2.3.1.3). If either case is operative, a Δ8-alkene reductase activity yielding 4H should be detectable.
β-Hydroxyoleic acid (4I) has been shown to incorporate into allylic acetate 4J in Oenanthe pimpinelloides and dehydrofalcarinone 4K in Artemisia atrata and has been proposed as a general crepenynate pathway precursor to the C17 Araliaceae polyacetylenes, whereby expulsion of CO2 leads to a terminal alkene that may be further reduced (Fig. 6C) [54]. Alternatively, the general fatty acid catabolic enzymes could dehydrate and reduce 4I to a saturated fatty acid and α-oxidation, as proposed in Section 2.3.1.2, would effect the chain-shortening. Introduction of the terminal acetoxy group, while likely an enzymatic process, is a facile acid-catalyzed reaction known to occur chemically with falcarinol and falcarinone endgroups [12].
In macrofungi, the incorporation of oleic, linoleic, crepenynic, and dehydrocrepenynate into polyacetylenes is well established. Circa 1960, Polyporus anthracophilus feeding experiments with [1-14C]acetate showed labeling of the odd-numbered carbons in matricaria ester 3D (Fig. 5) [55]. A related experiment demonstrated the alternating [1-14C]acetate labeling of nemotinic and odyssic acids (3F, 3G) from basidiomycete B. 841 (Poria sp.) [56], compounds related to the potent, but unstable, tuberculosis treatment mycomycin 3H [57]. [2-14C]Malonate labels the even-numbered carbons in dehydromatricariol 3I, while C-9 and C-10 specifically originated from acetate [9]. [10-14C]Oleate was transformed to linoleate, crepenynate, dehydrocrepenynate and 3I by the basidiomycete Melanoleuca (Tricoloma) grammopodicum [26]. In contrast to plants, it is relatively common to observe the accumulation of acetylenic fatty acids in fungi.
M. grammopodium, Poria sinuosa, Serpula (Merulius) lacrymans, Coprinus quadrifidus, and Basidiomycete A67 generally incorporated [10-3H, 9-14C]crepenynate into fungal acetylenes with variable levels of tritium loss [58]. Fistulina hepatica and Fistulina pallida appear to also have non-crepenynate polyacetylene biosynthesis pathways available, as an incompletely characterized triynenediol was labeled at 200X that of tetrayne 3K by [14C]2E. This tetrayne and diol 3J retained only 0.01% of the 14C-label of crepenynate but showed 10-fold higher incorporations of acetate consistent with their formation through an alternate route [58]. Incorporation levels into polyacetylenic metabolites, such as 3L, when the preferred (14Z)-isomer of dehydrocrepenynate was fed were 30–300X that of the (14E)-isomer in the fungi M. grammopodium, Lepista diemii, C. quadrifidus, and S. lacrymans [59]. In Marasmius ramealis, incorporation of esters 1A and 3M into (–)-marasin 3N (0.8 and 2.0%, respectively) occurred without scrambling of the carboxyl groups [60]. In their analysis of this study, Davies et al. clearly stated that the order of four modifications – oxidation of the methyl group of 1A to the carboxyl group and 10-decarboxylation, reduction of the 1-carboxyl group to an alcohol, and hydrogenation – was unresolved, as the substrate specificities are not known for any of the likely activities. For S. lacrymans, it is remains unclear whether 1A is a direct metabolic precursor to 3L, the free acid of 3M. Two studies presenting [14C]1A to S. lacrymans by the same research group showed very disparate labeling of 3L, 11% and 0.45% [61]. It is quite conceivable that the S. lacrymans secondary metabolic grid contains multiple, distinct sequences of functional group interconversions beginning with distinct building blocks leading to individual metabolites (e.g., 3L). The flux of intermediates through this grid may be linked to culture conditions and metered through a myriad of regulatory factors, which determine the final polyacetylene distributions visible in most plants and fungi.
2.1.3 Steariolic and Tariric Acid Related Pathways
The production of the stearolic acid series of acetylenic fatty acids (5A–5G), where the initial alkynyl group is installed at C-9, requires a distinct set of acetylenase activities versus the crepenynate pathway (Fig. 7A). The monoacetylene 5A had been isolated from a single Pyrularia species (Santalaceae) during a survey of the genus [62], as well as Exocarpos cupressiformis [63], and Stericulia foetida [64]. Recent reports have shown it to be more widely distributed at low levels in members of the families Santalaceae (Jodina rhombifolia) [65] and Olacaceae (Ochanostachys amentacea [66]). A preponderance of trans-alkenes is peculiar to compounds derived from 5A, including 5B-K. Leaves of Nanodea muscosa, a Patigonian herb used in folk medicine, contained the atypical acetylenic fatty acids 5L and (13E)-octadecen-11-yneoic acid (5M), with known ene-diynoic acid 5D [67]. El-Jaber and coworkers proposed that 5M forms from cis-vaccenic acid (18:111c) by a Δ11-acetylenase followed by a cationic allylic isomerization (Fig. 7B). Compounds resulting from analogous rearrangements are widespread and their formation may be catalyzed by a lipoxygenase-like species. Soybean lipoxygenase contains a high oxidation potential pentacoordinate ferric hydroxide that initiates a proton-coupled electron transfer prior to oxygen binding [68]. It is plausible that a variant enzyme, deficient in peroxyl radical formation, may be capable of a proton rebound reaction catalyzing the formation of enynes such as 5M. This is shown figuratively in Fig. 7B, although other hydrogen atom donor/acceptor pairs may be involved including tyrosyl radicals or iron-oxo species. In each of three more recent studies, a variety of more highly unsaturated metabolites presumably derived from stearolate were quantified (e.g., 5J and 5K from J. rhombifolia and 5H, 5I, and 5M from Heisteria sylvanii) [65, 69, 70].
Fig. 7.


Acetylenic fatty acids derived from the stearolic and tariric acid pathways. A. Stearolic acid metabolites relies on a Δ9-acetylenase activity and their structures are distinguished by the presences of uniformly trans-alkenes. B. The formation of the (E)-alkenes has been proposed by El-Jaber to pass through an allylic cationic rearrangement [67], although other dehydration or trans-desaturation routes are plausible. C. Cyclopropenyl fatty acids, originally postulated to rise from acetylenic fatty acids, are created stepwise by an sn-1-selective cyclopropane synthase followed by an uncharacterized desaturation activity (X = PC). The coexistence of cyclopropenyl and acetylenic fatty acids may indicate a common mode of desaturation. D. A plant Δ6-acetylenase is believed to catalyze the formation of tariric acid and related compounds.
Stericulic acid (5O), the 9,10-cyclopropenyl derivative of stearic acid, accumulates to 55–78% of the total seed lipids in S. foetida (Fig. 7C). The C17 homolog malvalic acid (5Q) occurs at approximately 10% of the level of 5O. Both compounds have been isolated with and chemically synthesized from stearolic acid (5A) [71], but it has been known for some time that 5O and 5Q biochemically arise from oleic acid rather than 5A. Because of the recent isolation of genes involved in 5O and the co-existence of 5O and 5A, stericulic acid formation will be described here. Yano showed that [14CH3]methionine, [1–14C]oleate and [1–14C]dihydrostericulate were converted to [14C]stericulate in a number of Malva species [72]. These experiments suggested that formation of the double bond after the generation of the three-membered ring in dihydrostericulate (5N) completed the biosynthesis of the cyclopropenyl fatty acids. The timing of chain shortening, presumably by α-oxidation, was not determined but free fatty acids were the proposed substrate. Bao and coworkers isolated the cyclopropyl fatty acid synthase (SfCPA-FAS) from S. foetida using an EST screening approach, where 0.4% of the sequenced plasmids from a library of developing S. foetida seed DNA contained a gene related to bacterial cyclopropyl fatty acid synthase [64, 73]. The carboxy-terminal portion of the 864-aa SfCPA-FAS showed 32% identity (122 of 376 residues) with the bacterial synthase. The 438-aa N-terminal domain of SfCPA-FAS contained a hypothetical flavin-binding site (GXGXGXXXA) and was most similar to Arabidopsis tryptophan 2-monoxygenase; the function of this domain has not been determined. In Mycobacterium tuberculosis and Agrobacterium tumefaciens, related flavin-binding proteins appear to be encoded 200 and 802-nt, respectively, upstream of the cyclopropyl fatty acid synthase genes [73]. The SfCPA-FAS activity was localized to the S. foetida seed microsomal pellet and, with this membrane fraction, S-[14CH3]methionine and [1-14C]oleic acid were shown to be substrates [64, 73]. The product 5N was almost exclusively found in the PC fraction of microsomal assays, and in a subsequent investigation, it was shown the oleoyl groups in the sn-1 position of PC are likely the direct substrate for cyclopropane formation, a position unprecedented for ER-localized lipid modification reactions in plants [73]. Expression of SfCPA-FAS in tobacco cells did not result in the formation of C17 cyclopropanes or any cyclopropenyl fatty acids. The enzymes responsible for desaturation of 5N to a cyclopropene and the chain-length-modifying activity remain to be discovered.
Given the formation of the acetylenic and cyclopropenyl fatty acids in S. foetida, it would be interesting to know if the compounds are related by a common diverged desaturase that can carry out both dehydrogenations. In any case, whether the desaturation occurs at the sn-1 or sn-2 position of PC, or whether it is linked to a different acyl carrier is not yet clear. While 91% of 5N was found at the sn-1 position of PC in developing S. foetida seeds, 5O was equally distributed between the sn-1 and sn-2 positions. As a result of these acyl preferences and differences observed in the location of the cyclopropanated fatty acids between mono- and di-CFA-containing TAG, the authors noted that multiple acyl transfers appear to occur during the journey to TAG [73]. The apparently anomalous features of this pathway suggest that substrates or chain specificities rare in normal fatty acid metabolism might be central to the formation of unusual fatty acids, including the acetylenic fatty acids.
In plants, the soluble Δ9-acyl-ACP desaturase, AAD1, normally introduces an initial 9:10-double bond into saturated acyl-ACP in the plastid and variants of AAD1 catalyze front-end dehydrogenations (dehydrogenation occurring between C-9 and the carboxyl group). Petroselenic acid 5R, the Δ6-isomer of oleic acid, is widely distributed and occurs notably in members of the Apiaceae, Araliaceae, and Simarubiaceae families (Fig. 7D). A Δ6-palmitoyl-ACP variant desaturase from the endosperm of Thunbergia alata is known [74]. Details of the Δ4-desaturation of palmitoyl-ACP by a coriander enzyme related to AAD1 and elongation of the product by a 16:14c-specific KASA condensing enzyme to 5R-ACP have been reported [75–77]. Structure-function studies have shown that within a series of Δ9-18:0, Δ6-16:0, and Δ9-16:0 desaturases, 2–5 residue substitutions can shift the regiochemistry or substrate preference to that of a different isozyme [34]. Additionally, two genes from burning bush Bassia scoparia (Amaranthaceae) were reported with 79.8 and 85.5% similarity to castor 18:0-ACP desaturase, the first of which is believed to be a variant with Δ5 regiospecificity [78]. The identification of a novel acetylenase that accepts a monounsaturated fatty acid substrate, such as 5R-ACP, as the direct precursor to tariric acid (5T) would extend the current paradigm for acetylenic fatty acid biosynthesis. Plant genera Alvaradoa and Picramnia belong to the newly formed family Picramniaceae and may provide a source of such a diverged ACP-desaturase, since petroselenic acid 5R and the unusual fatty acids 5T (58%), 5S (1.4%), 5U (trace), and 5V (15%) have been reported from Alvaradoa amorphoides [79, 80]. The formation of 5U likely occurs by the action of a Δ6-acetylenase on eicosenoic acid 5S. A Δ6-acyl-ACP desaturase for Picramnia pentandra has been reported [81], although the action of an elongase and a Δ4-18:1 desaturase paired with either a Δ4- or Δ6-acetylenase remains conceivable.
Distinct from the higher plants, moss, ferns and liverwort produce arachidonic acid and acetylenic fatty acids by front-end desaturation (Fig. 8). Ricca spp. contain 18:26a,9c, 6B, and 6C in their lipid fractions [82]. The most studied organism, Ceratodon purpureus, stores polyacetylenic triglycerides in protonemata. [1-14C]18:39c,12c,15c (2P) and [U-14C]18:46c,9c,12c,15c (6D) were converted to 18:46a,9c,12c,15c (6C) and EPA (6E) showing that the acetylenic bond is formed in a discrete step [83]. The sequence of desaturation events in moss was explored by Kohn [84]. When C. purpureus protonemata were incubated with radiolabeled precursors, it was demonstrated that γ-linolenate (6A) was converted to acetylenic fatty acid 6C and dehydrogenation of 6D led to 6C and tetraenoic acid 6E. The presence of Δ6-acetylenic fatty acids among the bryophytes has been put forth as support for the evolution of the moss genus Fontinalis and certain liverworts in the orders Monocleales and Marchantiales from a common ancestor linked through a Δ6-acetylenase progenitor [85].
Fig. 8.

Acetylenic fatty acid biosynthesis in moss. Conversions of common bryophyte precursors are shown and the favored pathway in C. purpureus is marked with heavy arrows.
Acetylenic groups were distributed primarily among TAG, DGDG in Ricca duplex, and a small amount of 18:16a,9c was present in MGDG [85]. Triple-bond containing acyl groups were completely excluded from the phospholipids [85]. Although acetylenic acid 6C is probably accumulated in TAG as an energy reserve for the C. purpureus, it is not a precursor for polyalkenyl fatty acids as fed [14C]6C is disassembled and reincorporated as acetate into common fatty acids [83]. The effect of environmental factors upon lipid metabolism has been explored in the moss Dicranum scoparium [86]. Growth in light increased the production of 6C in TAG and the acetylenic TAG reserves were preferentially diminished when culture conditions were switched to darkness. Pb(II) and, to a lesser degree, Cu(II) reduced the accumulation of acetylenic lipids. The results were consistent with increased desaturation/acetylenation when reducing equivalents are provided through photosynthesis and the potential inhibition of desaturases by heavy metals. Finally, the authors noted that unlike C. purpureus, no 6B was accumulated and hypothesized that 18:36c,9c,12c was the substrate for the acetylenase in D. scoparium and certain other mosses.
While research has focused on Δ6-acetylenic lipids in moss, several monoacetylenic regioisomers 18:16a, 18:19a, and 18:112a are now known, as are a range of acetylenation sites in polyenoic acids (18:26a,9c, 18:29a,12c, 18:29c,12a; 18:36a,9c,12c, 20:38a,11c,14c, 20:45a,8c,11c,14c) [87]. The regiochemistry of desaturation and acetylenation in aquatic liverworts Calliergon cordifolium, Drepanocladus lycopodioides, Fontinalis antipyretica and aquatic mosses Riccia fluitans and Pellia neesiana appears to follow a x+3 pattern.
2.1.4 Other Desaturation Pathways
Certain lepidopteran moths produce acetylene-containing sex pheromones (Fig. 9) [88]. For example, a vineyard pest, the grape leaffolder (Desmia funeralis), produces a mixture of 11-hexadecynal (7C), (Z,Z)-11,13-hexadecadienal (7D), and (Z)-11-hexadecenal (7E) and only the three-component blend is effective as a female sex pheromone [89]. The same acetylenic aldehyde has also been found as a pheromone component for Heterocampa guttivitta [90]. In the most studied genus, Thaumetopoea, the ability to form the acetylenic compounds 7A and 7B is not universal. The pheromone pathway is regulated by the Pheromone Biosynthesis Activating Neuropeptide (PBAN), whose presence allows the conversion of the enynoic acid to the acetylated pheromone [91]. While labeling experiments have shown that Thaumetopoea pityocampa Δ11-desaturates 16:0, installs the acetylenic bond, and then dehydrogenates C-13:14 in strict sequence prior to the modifications at the carboxylate group, Thaumetopoea processionea was found to produce only the corresponding 11,13-dienyl esters [92, 93]. Formation of the dienyl acetate in T. processionea also required hormonal activation by PBAN. The key differences between the pathways were interpreted to be the absence of a Δ11-acetylenase in T. processionea and the presence of an enynoic acid-specific reductase in T. pityocampa. It remains to be explored whether distinct proteins catalyze the Δ11-desaturase and acetylenase steps or if a bifunctional enzyme is involved. In either case, the gain/loss of acetylenase activity is a critical factor in the species-selective pheromone signaling for both of these forest pests.
Fig. 9.

Acetylenic pheromone biosynthesis in insects. In T. pityocampa, the transformation of the acetylenic fatty acid to the pheromone 7B is blocked in the absence of the hormone PBAN [91].
The wealth of diversity found among the microsomal diverged Δ12- or FAD2 desaturases has placed them in the spotlight over the past decade. Yet, it is quite possible that front-end acyl-CoA desaturase or acyl-ACP desaturase variants are required enzymes in a number of unsaturated natural product biosyntheses. A sizeable number of acyl-CoA desaturases sans the Cytb5 fusion are known from insects with Δ11-regiospecificity (albeit yielding both (E)- and (Z)-FA isomers) [94, 95]. Expression of one of the 13 Cytb5-desaturases from microalgae Thalassiosira pseudonana, TpDESN, in Saccharomyces cerevisiae showed a strict substrate specificity for the conversion of 16:0 to 16:111c [96]. Consequently, the microalgal desaturase allows one to wonder how many other organisms and enzymatic families beyond the known diverged AAD1, FAD2, and Δn (n≤9) desaturases might carry out atypical oxidative modifications to fatty acid derivatives. Given the number of novel fatty acid substrates encountered in secondary metabolism and continued detection of new desaturase isozymes, the possibilities for new regiochemical variations on desaturation-like reactions and functional diversity are still vast.
In passing, it is notable that there is a (single) example of an acetylenic fatty acid detected in a mammal. The urine of healthy adults contains 5-decynedioic acid and traces of the 4-isomer [97]. There have been no experiments reported that address the source of these compounds, but it is presumed that they have dietary origins.
2.2 Genetics of Acetylenic Bond Formation in Terrestrial Plants
Several major advances have been made in the cloning and characterization of acetylene biosynthesis genes. Because of the wealth of knowledge concerning lipid metabolism in higher plants, these organisms have been the initial access to the biochemistry of acetylenic natural products. It had been long noted that desaturases were the most probable general enzymatic system for alkyne bond formation. Initially, the application of T-DNA tagging to A. thaliana allowed the cloning of FAD2, the endoplasmic reticulum (ER)-localized oleoylphosphatidylcholine Δ12-desaturase [98]. The Stymne group made the decisive leap by employing a cloning strategy that targeted Δ12-desaturase-like genes from developing seeds of the flower Crepis alpina, which accumulates in excess of 60% crepenynic acid as triacylglycerol. In 1998, they isolated a gene encoding a Δ12-acetylenase and, in doing so, confirmed the desaturase hypothesis [99]. Further design of cloning experiments has regularly used the existing knowledge of lipid metabolism, aerobic desaturation and conserved amino acid sequence data for the plant microsomal desaturases to screen for gene candidates.
2.2.1 Cloning and Expression of the Lipid-Desaturating Components of Polyacetylene Biosynthesis
The Asteraceae species C. alpina and Crepis palaestina contain approximately 70% crepenynic acid (2E) and 60% vernoleic acid (2Q), respectively. Microsomal preparations of seeds from the Crepis sp. were capable of the NADP(H)-dependent formation of the corresponding [14C] unusual fatty acids from [14C]oleate [99].
Acetylene- and epoxide-forming reactions were expected to involve similar chemistry to desaturation. The Stymne lab used polymerase-chain reaction to clone gene fragments from C. alpina and C. palaestina seeds that were similar to other plant membrane-bound desaturases [99]. The full-length variant desaturase gene from C. alpina encoded a 375-amino acid protein, dubbed Crep1, with 56% identity to A. thaliana microsomal oleate desaturase FAD2. Crep1 contained at least four hydrophobic domains, which in the model of FAD2 enzymes function as transmembrane segments and three histidine (His) box motifs (GHECGHHAFS, SHRXHH, THVXHHLF). It had been previously shown by mutagenesis that the His box domains were absolutely required for the function of stearoyl-CoA desaturase [100]. When expressed in S. cerevisiae with exogenous linoleic acid, Crep1 produced crepenynate that was detected at ≤ 0.3% of TFA. Even at this low abundance, the identity of the crepenynate was detectable as the diethylamide derivative. In yeast, which are only capable of providing saturated and monounsaturated glycerolipids as substrate, an octadecadienoic acid was produced demonstrating the bifunctional desaturase/acetylenase activity of Crep1. The fact that the 18:2 in the transgenic yeast was not a substrate for Crep1 acetylenase activity was mysterious; it was possible that cellular localization impeded access to the linoleate, the 18:2 may have been present in an acyl derivative that was unsatisfactory as an acetylenase substrate, or the level of 18:2 was simply insufficient to produce detectable amounts of 2E.
Transient de novo biosynthesis of unsaturated fatty acids at extramicrosomal sites, such as the plastid, may be relevant during fungal infection and is apparently linked to polyacetylene biosynthesis. In Petroselinum crispum, the fungal elicitor peptide Pep25 has been shown to stimulate rapid 18:39c,12c,15c (α-linolenate, 2P) production and, concomitantly, decrease 18:2 levels over a 2-hour period in cultured cells, protoplasts, and plant leaves [101]. α-Linolenate is a necessary lipid for the biosynthesis of the octadecanoid jasmonate in plants, a signaling component involved in defensive response and development, while polyunsaturated fatty acids generally provide an oxidative sink to consume reactive oxygen species [102]. The induction of ω-3 desaturation upon fungal infection may correlate with the production of increasingly desaturated metabolites, particularly late in the polyacetylene pathways, and serve as a responsive mechanism that integrates polyacetylene biosynthesis throughout a plant.
One functionally uncharacterized gene from P. crispum, ELI12, is upregulated by Pep25 [103]. The predicted translation of the gene sequence revealed that ELI12 contained the hallmarks of a FAD2 desaturase: two pairs of transmembrane domains separated by two histidine box motifs with a third histidine box in the final carboxy terminal segment. However, unlike most oleate desaturases ELI12 displayed no function during yeast expression. Cahoon and coworkers expressed ELI12 in developing soybean seed embryos, which accumulated crepenynate and (14Z)-dehydrocrepenynate and thus uncovering a role for ELI12 in the formation of acetylenic fatty acids from endogenous linoleate [104]. The source of the apparent Δ14-desaturase activity was not defined, but recent studies from our lab indicate that an endogenous FAD2 activity may be involved (R.E. Minto, unpublished results).
One of the major advances during the past decade has been the exponential expansion of DNA sequence data through cost-reductions and improved technologies. With this, there has been change in mind-set that valuable information can be efficiently gleaned from judiciously selected EST and large-scale sequencing endeavors. Within the study functionally assigning ELI12 as an acetylenase, the comparison of two EST sequences and five genomic PCR products with published nucleotide sequences made evident three evolutionarily distinct groups of diverged desaturases: the desaturase/hydroxylases, the Asteraceae epoxygenases and acetylenases, and the acetylenases from Apiaceae and Araliaceae [104]. The schism between the acetylenases is clear; at the protein level, Apiaceae/Araliaceae sequences showed <60% identity with their Asteraceae counterparts while maintaining 88–94% identity within each group. The regulation of acetylenase expression appears to correlate with fungal defensive response through a range of species. In addition to ELI12, a functionally characterized acetylenase from Sclerotinia sclerotiorum-challenged Helianthus annuus (sunflower) flower heads was cloned and other instances of viral-induced diverged FAD2s are known from Solanaceae species [104, 105]. Other pathogen-responsive P. crispum genes likely to be acetylenases have a novel cis-regulatory element and are not upregulated in response to wounding, jasmonate, ultraviolet light, or ethylene [106]. How acetylenic secondary metabolism is integrated into pathogen response and understanding the selectivity of the defensive mechanism still poses many interesting questions.
The factors that affect the levels of unusual fatty acids accumulated by the expression of acetylenases and epoxygenases have been examined. When real-time RT-PCR was used to quantitate transcription of several FAD2 isoforms, FAD3, and acetylenases in C. alpina and Helianthus annuus, it was observed that while the Crep1 gene is expressed in flowers, the level of gene expression is 104-fold lower than in developing seeds and that competition with 2P-producing FAD3 for 18:2 substrate may limit the biosynthetic activity of the acetylenase in the flower (refer to Fig. 4) [107]. A higher demand for 2D as the substrate for any diverged FAD2 desaturase would, on first view, be expected to result in the coordinate depletion of linoleate levels. In a separate study, modest seed-specific expression of the C. palaestina Δ12-epoxygenase (Cpal2) gene in Arabidopsis seeds led to the accumulation of 2Q (4.2–7% of TFA), greatly reduced amounts of 18:2 and surprisingly higher levels of 18:1 versus wild-type seeds [108]. Two potential factors considered for the increase in oleate, the substrate for FAD2, were homology-dependent gene silencing of endogenous Atfad2 and homology-based protein-protein interaction. However, no significant changes in Atfad2 transcript levels were noted. In an attempt to raise 2Q yields, co-expression of C. palaestina Δ12-desaturase (Cpdes) with Cpal2 in A. thaliana increased 18:2 levels above that of the wild-type line. In seeds homozygous for Cpdes and Cpal2, 2Q levels rose to maximally 9–10% of TFA highlighting substrate availability as one factor controlling diverged desaturase activity [108, 109]. A second potential mechanism for the reduced levels of 18:2 in Cpal2 seeds may be translational or post-translational interactions between the epoxygenase and FAD2 desaturase. Limiting levels of 18:2 were concluded not to be the primary cause of the lower levels of accumulation of 2Q in transgenic Arabidopsis versus levels observed in C. palaestina.
In both C. alpina and H. annuus, accumulation of acetylenic fatty acids was not observed in flower tissue even though gene expression was detected [107]. Specific breakdown of unusual fatty acids in vegetative tissue has been advanced as the reason for the absence of expected novel fatty acids in transgenic plants and may be relevant in limiting the presence of atypical fatty acids, including acetylenic species, particularly outside of developing seeds [110, 111]. Phospholipid acyl hydrolases may direct acetylenic fatty acids to either degradation or productive natural product anabolism [112]. Apparently, four levels of control situationally affect detectable acetylenase activity: transcript numbers for acetylenases, unsaturated substrate availability, product degradation, and targeting by lipid speciation. Identifying the functions and control mechanisms of so-called “cryptic” acetylenase expression, those pathways that do not seem to produce any acetylenic or acetylene-derived products, is an essential, yet poorly explored, aspect of acetylenic secondary metabolism.
The chemoselectivity of the diverged desaturases is amazing; each member of the class produces either a methylene-skipped alkene, conjugated polyen(yne), alkyne, epoxide, or alcohol as its chief enzymatic product. Unfortunately, unlike the soluble Δ9-stearoyl-ACP desaturase [32, 33, 36], no crystallographic data has been reported for the membrane-bound desaturases. Consequently, models of the microsomal enzymes are based solely upon primary sequence data, mutagenesis studies, and immunochemical experiments. In the absence of crystallographic data, identifying specific determinants of the chemical path has been difficult. For A. thaliana FAD2, residues 148 and 324 were shown to modulate hydroxylase and desaturase activity [113]. While tempting, drawing analogies about the composition of the diiron active site, reaction intermediates, and mechanistic details of microsomal desaturase from the plastidal desaturases should be made with trepidation. Some fundamental differences exist between the soluble and microsomal enzymes. For example, the cryptoregiochemistry of the hydrogen abstraction in the soluble Δ9-desaturase family, which favors abstraction of the pro-(R) hydrogen distal to the carbonyl group (e.g., H-10R in castor desaturases) independent of regiochemistry [114], is opposite to the membrane desaturases, which remove the pro-(R) hydrogen proximal to the carbonyl group. The model currently used for the active site is that of a compound Q-like oxidant based on the more developed enzymology of soluble methane monooxygenase [115]. Recommended overviews of desaturation systems and the current mechanistic models have been written by Shanklin & Cahoon [116] and Buist [117], respectively.
While it is a conversion that initially seems unlikely, the known enzymatic formation of acetylenic bonds occur by the direct net dehydrogenation of cis-alkenes (Fig. 2A). Desaturative acetylenic bond synthesis cleaves two strong 107 kcal/mol (448 kJ/mol) vinyl C-H bonds with the formation of a strikingly weaker 64 kcal/mol (268 kJ/mol) C-C π bond [118]. The 150 kcal/mol (628 kJ/mol) enthalpic deficit of alkyne formation is well offset by net 4 e- reduction of oxygen to water, which includes the consumption of one equivalent of NADPH. The electrons provided by NADPH oxidation are routed through the auxiliary proteins NADPH-cytochrome b5 oxidoreductase and cytochrome b5.
The kinetic isotope effects (KIE) for the abstraction of H-12 and H-13 during the C. alpina acetylenase catalyzed desaturation of linoleate have been recently measured. A kH/kD ratio of 14.6 ± 3.0 was found at C-12 consistent with a primary KIE and a smaller secondary KIE of 1.25 ± 0.08 was measured at C-13 [119]. Several conclusions can be made from this data: alkyne formation involves asynchronous C-H bond cleavage and the bond breakage is initiated at the carboxyl-proximate carbon C-12. Following the initial abstraction, either cationic and radical species may be involved in the dehydrogenation but experimental evidence characterizing the intermediate is lacking. Cleavage of the C-13-H bond should be rapid, as it is weakened by the neighboring electron-deficient center. For a radical-like intermediate, the reduction of the C-H bond strength at C-13 has been calculated to be approximately 71 kcal/mol (297 kJ/mol) [118]. The large primary KIE exceeds the nominal values predicted by transition state theory (kH/kD 6.9–7.5) suggesting the involvement of quantum mechanical tunneling. This effect had been reported by Abad and coworkers for an Δ9,11-acyl-CoA conjugase, but many microsomal desaturases exhibit tunneling-free values, so the significance and generality of this effect is not known [120].
Perhaps one of the most striking aspects of the acetylenic bond formation in crepenynate is the absence of epoxidation activity. Epoxidizing reagents commonly initiate reactions through the interaction of π-electrons with an electrophilic oxygen. The ring strain inherent in the conversion of an alkene to an epoxide is handily offset by the sacrifice of a weaker C=C π bond for stronger C-O bonds. Strict positioning of the alkene π and C-H bonds at the desaturation site may limit the approach trajectory of the active oxygen species to the exposed hydrogens, as is implied in Fig. 10. Alternatively, changes to the electronic states of the iron centers or the involvement of a distinct activated oxygen intermediate may cause a shift in the balance toward hydrogen abstraction from epoxidation. These general factors have been used to explain in the control of cytochrome P450 reaction outcomes [121].
Fig. 10.

Stereochemistry of acetylenase/desaturase activities. An acetylenase, such as Crep1, forms both (9Z,12E)- and (9Z,12Z)-isomers of linoleate. A. For the normal (12Z)-isomer, an alkyl chain eclipsed to the carboxylate-bearing chain allows the abstraction of the pro-(R) hydrogens from C-12 and C-13. B. During the formation of the (12E)-isomer, a diastereomeric conformation with eclipsing alkyl-hydrogen interactions is proposed to place the alkyl chain in a broadened, or second distinct, binding pocket. In this model, the binding pockets for acetylenases and trans-desaturases are similar and allow for the linearization of the nascent acetylenic lipid. For the bifunctional Δ11/Δ10,12-desaturase from the insect Spodoptera littoralis, a two binding pocket model has been developed to accommodate the observed stereoselectivity [124]. RS is a smaller ethyl segment in tetradecenoyl substrates and RL is a longer butyl projection for hexadecenoyl substrates. C. For (11Z)-hexadecenoate, only the binding conformation leading to (10E,12Z)-hexadecadienoate is sterically allowed. D. In the case of (11Z)-tetradecenoate, both conformations shown in figure panels C and D are possible resulting in a mixture of (10E,12E)- and (10E,12Z)-tetradecadienoate. The stereochemical outcomes with myristate and palmitate are modeled by a similar sterically limiting binding pocket model where a large pocket produces the (11Z)-C14 and C16 isomers and a smaller pocket produces solely (11E)-tetradecenoate.
The production of trans fatty acids has emerged as a common attribute of the acetylenases. When Crep1 was expressed in S. cerevisiae in the absence of exogenous 18:2, a diastereomeric mixture of (9Z,12Z)- and (9Z,12E)-18:2 isomers was produced (0.18 – 0.47% of TFA) [122]. Production of 18:29c,12t was observed when Crep1 was expressed under a seed-specific promoter in A. thaliana wild-type and fad2 mutant lines (2.3 and 3.5% of TFA, respectively). A higher level of 18:1 in the fad2 A. thaliana seeds expressing Crep1 correlated with the higher 18:29c,12t load suggested that Crep1 had trans-desaturase activity with 18:1. A fungal acetylenase recently expressed in our lab has exclusively trans- Δ12-desaturase activity when expressed in the absence of linoleate (B.J. Blacklock and R.E. Minto, unpublished data). In all examined cases, lipid conformations allowing syn-abstraction of the two hydrogens by desaturases appear to be active (Fig. 10A) [123]. We propose that the stereochemical flexibility apparent through the trans-desaturase chemistry results from the changes to the binding pocket for an acetylenase necessary to accommodate the sp2 to sp linearization as 18:2 is converted to crepenynate (Fig. 10B). In Spodoptera littoralis, a mixture of alkene stereoisomers is observed for Δ11-desaturase and Δ10,12-conjugase activities with myristate and (11Z)-tetradecenoate, but not with the corresponding C16 substrates [124]. The model proposed by Serra et al. involves two distinct binding pockets for the desaturase activity, where C14 substrates can bind in two modes resulting in the diastereomeric products and the longer substrate homologs can be accommodated only in the large pocket (Fig. 10C, D) [124]. The exposure of the reactive carboxyl-proximate hydrogen is expected to align the C-H σ orbital with the approaching oxygen electrophile. For Crep1, the methyl terminus of bound oleate may partition between two distinct binding modes, which rationalizes the production of both 18:2 isomers. As 18:29c,12c is converted to crepenynate, in the absence of a conformational twisting of the alkyl chain, a binding arc of nearly 60° is required to allow the repositioning of the ω-end of the acyl groups. In contrast to the desaturases and hydroxylases, a smaller glycine replaces alanine at the amino acid immediately preceding the first His box (His box Ia) in the known acetylenases. This residue may relieve steric hindrance in the ensuing acetylenase chemistry.
In 2000, Sperling and coworkers cloned, sequenced and heterologously expressed a bifunctional Δ6-desaturase/acetylenase and a Δ6-desaturase from C. purpureus [125]. Degenerate primers based upon Δ5- and Δ6-acyl lipid desaturases and Δ8-sphingolipid desaturases were used in PCR reactions to clone prospective gene fragments. Full length CPDes6 and CPAcet6 genes coded for 520 and 483-aa proteins, respectively. One of the most striking features of the acetylenase domain of CPAcet6 is its low similarity to any other moss, fungal, plant, worm or mammalian Δ6-acyl desaturases. Comparision with known front-end desaturases showed the presence of an amino-terminal cytochrome b5 domain in both C. purpureus polypeptides, including the diagnostic HPGG heme-binding motif. The three histidine box regions in the desaturase domain contain seven conserved histidines and the last motif starts with an invariant glutamate, QXXHHLFP. A functional difference between CPAcet6 and the Δ12-acetylenases is the ability of the moss acetylenase to produce its own Δ6c-unsaturated substrate, rather than the non-viable trans-fatty acids that are produced by acetylenases from other organisms.
In summary, the model for the formation of crepenynate fits within the existing paradigm for alkene-producing desaturases. Substrate binding favors cisoid conformations, either through the stereochemistry of the (Z)-alkene or the arrangement of two methylene groups in an eclipsed conformation, and the chemistry proceeds via an asynchronous oxidative dehydrogenation. As a consequence of the growing family of fatty acids produced through pairings of desaturase and acetylenase reactions, it is reasonable to assume that additional acetylenase variants will be found.
2.2.2 Roles of Acyl Conjugation in the Secondary Metabolism of Acetylenes
A conundrum emanating from the studies of the Crepis acetylenase, the related FAD2-like hydroxylase and MCFA-related fatty acid biosynthetic genes is the biological mechanism that restrictively targets unusual fatty acids to TAG while maintaining the integrity of membrane compositions (i.e., “normal” glycerolipids derived from 16:0, 18:0, 16:1, 18:1, 18:2, and 18:3). By what means do plants, fungi, and mosses (in particular, as these organisms can accumulate high concentrations of acetylenic lipids) channel atypical fatty acids and avoid catastrophic changes to the vital structures and functions of membranes and associated polypeptides? Within the glycerol-3-phosphate pathways, enzymatic specificities in the thioesterases [126], acyltransferases, cytidine diphosphocholine-diacylglycerol choline phosphotransferase (CDP-CPT) and phospholipases (PLs) each have been shown to have potential for exerting control on acyl chain flux (Fig. 3). Mechanistic insight provided by pathways seemingly peripheral to alkyne biosynthesis, those at the heart of primary lipid metabolism, may foreshadow studies of secondary metabolic flux for the polyacetylenes. The following enzymes provide mechanisms for targetting and speciation of acetylenic lipids.
Lysophosphatidic Acid Acyltransferase (LPAAT)
For an LPAAT in Cuphea, it has been observed that the sn-1 group on the phosphatidic acid acceptor strongly influences acyl selectivity at the sn-2 position, with the bias in this case favoring the incorporation from CoA derivatives with similar fatty acyl chain lengths. For example, isoforms of LPAAT selectively generate 10:0/10:0- and long-chain phosphatidic acids [127]. With the decanoyl lipids segregated, the action of a 10:0/10:0-specific DAGAT completes the channeling of these medium-chain lipids to tricaproin.
CDP-CPT
As the enzyme that controls the levels of DAG and PC via a reversible transfer of phosphocholine, CDP-CPT could mediate the conversion of PC containing unusual acyl groups, including acetylenic fatty acids, to DAG. This would, in turn, promote the channeling of these atypical fatty acids to TAG, particularly in plants, such as Crepis sp., and fungi, such as Cantharellus sp., that accumulate acetylenic TAGs. While CDP-CPT is an appealing branch point for acyl lipids, in vitro studies for VLCFA, MCFA, and hydroxy fatty acid-producing plants indicate that CDP-CPT is of minor importance as it has little acyl group selectivity [128].
Phospholipases
Phospholipase A2 (PLA2) activities in plants that produce unusual fatty acids are often high for the uncommon acid. In organisms that do not routinely produce oxygenated acyl groups, hydroxy fatty acids seem to be cleaved from PC by PLA2 through a housekeeping mechanism associated with the elimination of unselectively oxidized and peroxidation-degraded acyl groups from membranes [129].
Transacylation
Transacylation, catalyzed by enzymes that are outside of the standard glycerol-3-phosphate pathway, have been shown to have potential for the direct transfer of unusual acyl groups to TAG. Phospholipid diacylglycerol acyltransferase (PDAT), mediates the transfer of acyl groups from PC to DAG with the net result of producing TAG and lysoPC. Selective transfer was shown for 18:1-OH (2R) over 18:1 from the sn-2 position of PC with PDAT isolated from Ricinus communis [130]. The elimination of the 18:1-OH from PC without returning it to DAG is an attractive mechanism for accomplishing the observed ricinoleate exclusion from membrane lipids in castor bean. A cloned and functionally characterized Arabidopsis thaliana PDAT (AtPDAT) was found to use both PE and PC, to prefer transferring groups from the sn-2 position over sn-1, and to favor shuttling short chain, oxygenated, and unsaturated acyl groups [131]. AtPDAT transferred acetylenic groups from crepenynoyl PC at approximately half the rate of 18:2 [131]. Balancing the metabolite flux between the cytoplasmic acyl-CoA pool and glycerolipids is crucial in very long chain (VLC)-PUFA biosynthesis in transgenic linseed, as Δ6-elongation occurs on CoA [132]. PDAT and diacylglycerol acyltransferase (DGAT) occlude substrates from the pool of desaturable lipids through TAG incorporation, while equilibration by lysophosphatidylcholine acyltransferase (LPCAT) and the action of LPAAT have the potential to increase the available polyunsaturated glycerophospholipid substrates [133]. The exact role of AtPDAT remains an open question; it may control the distribution of oxygenated acyl groups formed during membrane repair or it may gate the production of lysophospholipid in signaling pathways [131]. For secondary metabolism, it is quite probable that the enzymes that regulate the lipid pool composition (PC, CoA, free FA) will be found to strongly control the extent and/or regiochemistry of acetylenation/desaturation processes leading to polyacetylenes and be at the heart of issues faced in acetylenic lipid/natural product metabolism in transgenic plants.
Beyond these central glycerolipid metabolic enzymes, thioesterases, the segregation of pathway components, and metabolite catabolism may provide the control elements that direct the flow of unusual lipids. For early steps in linoleate-derived polyacetylene biosynthesis, it seems unlikely that thioesterases limit pathway flux, as microsomal desaturation and acetylenation occur on PC. However, the extent of chain-shortening for C9–C16 polyacetylenes (see below) may be partially coupled to the thioesterase releasing acetylenic β-oxidation intermediates.
For terminal products of the polyacetylene biosynthetic pathways, levels of polyacetylenes are often transient and tissue specific. For most instances, it remains to be determined if specialized vesicles act as repositories for the potentially toxic natural products, if polyacetylene precursors are locally retained and converted to mobile species upon appropriate stimuli, and if a passive, systemic transport of the molecules is tied to efficient degradation of the polyacetylenes after their usefulness has been exhausted. For example, futile cycling of ricinoleate and vernoleate has been proposed as a mechanism for disposing of acyl chains excluded from membranes, reducing the lipids to polyhydroxyalkanoates [134]. β-Oxidation may catabolize the unusual fatty acids impacting attempts to design of transgenic plants for renewable sources of new seed oils and polyacetylene secondary metabolism alike, when acetylenic fatty acids or thioesters are not efficiently targeted for storage in TAG or converted to more refractory metabolites (e.g., fatty alcohols or alkanes).
2.3 Elaboration of Acetylenic Natural Products
Distinctive polyacetylenes that result from the elaboration of the monoacetylenic compounds are found throughout the kingdoms, but are most prevalent in higher plants. Sorensen has reviewed the fatty-acid derived polyacetylenes of Asteraceae and highlighted several trends [135]. Composite flowers are nearly the exclusive source of cyclic polyacetylenes, both of the aromatic types – benzene, furan, thiophene, and coumarin ring systems – and the non-aromatic forms – pyrans and spiroketals. Certain Asteraceae species produce compounds that contain no acetylenic bonds, such as simple thiophenes, but almost certainly have the enzymatic machinery for acetylenic bond formation because the thiophenes have been established to originate from alkynes. With rare exceptions, all other families of plants and the Basidiomycete fungi produce linear polyacetylenes. Chemotaxonomic analysis has been used as confirmation of phylogenetic relationships and to construct models for the chemical genesis of metabolites; a series of papers by Christensen and coworkers cover the most recent systematic efforts in this regard [13–17, 136]. For example, most of the screened Asteraceae in Heliantheae, Cynareae, Astereae and Anthemideae produce acetylenic natural products (9200 species and 524 genera are known; 15% and 41% of the species and assigned genera, respectively, have been investigated). The tribe Heliantheae produces enepentayne, dienetetrayne, and enetetrayne conjugation patterns that serve as precursors to the thienyl metabolites, but Anthemideae and Astereae make shorter conjugation patterns and no thiophenes. The thiophenes may correlate with acetylenase activities in Heliantheae that lead to longer extended π-systems. Additionally, enzymatic systems for sulfur addition may be limiting; Astereae has not been found to make thioether, sulfoxide or sulfone metabolites. In a second case, Anthemideae and Heliantheae are the only two tribes within the family that make alkamides, suggesting that one or more element of alkamide biosynthesis is absent in the remainder of Asteraceae. Molecular genetic studies can be expected to uncover the origins of the Composite polyacetylenes, a research area with good potential given the breath of distribution and number of biosynthetic trends in this plant family.
It has been previously noted that many of the specialized reactions that occur during plant lipid secondary metabolism are subtle variations upon primary metabolic transformations, resulting in products that are capable of integration into the existent biochemical framework [137]. For example, the ability to catalyze chemically similar transformations in taxonomically distant organisms, such as Δ12-acetylenation in Asteraceae and Apiaceae (described above), suggests that evolutionary pressures have led organisms to acquire this trait independently. In the case of the acetylene biosynthesis, the enlistment of unsaturated glycerolipids in the crepenynate pathway together with a primary metabolic Δ12-desaturase as the likely acetylenase progenitor comprise a possible example of biochemical symbiosis. In this Section, the intermingling, or potential for it, between fatty-acid derived polyacetylene biosynthesis and established biochemical transformations from other pathways will be examined. In sharp contrast, prokaryotes exchange, through horizontal transfer, gene clusters, cassettes with ready-made multi-gene biosynthetic pathways that often provide the recipient with a suite of unusual biogenetic capacities. Cases involving such genetic modules in the biosynthesis of acetylenic natural products will be explored in Section 2.4.
2.3.1 Chain Length Adjustment
For the most part, it appears that the desaturative chemistry to the acetylenic derivatives precedes the reduction of fatty acyl chain lengths since shorter homologs of oleic acid possessing fewer methylene groups between the alkene and carboxyl group were not incorporated into C9–C15 acetylenic natural products [48]. Chain length adjustment may proceed by α, β, and ω-oxidation.
2.3.1.1 β-Oxidation
β-Oxidation has been invoked for the chain-shortening of virtually all polyacetylenes with backbones C16 and shorter. Methyltriynoic fatty acids are presumed to be shortened to C14 and C13 fatty acid and alcohols (8A–8D) via either two β-oxidation steps or two β-oxidations combined with an α-oxidation (Fig. 11A) [12]. However, in no case has the metabolic course of these two-carbon chain adjustments been experimentally shown for an acetylenic natural product. Peroxisomal β-oxidation is involved in indole-3-acetic acid and jasmonate plant hormone biosyntheses [138–140]. Bohlmann has proposed that 3-hydroxyoleic acid (4I), normally a β-oxidation intermediate, is connected to the falcarinol and dehydrofalcarinol pathway in Araliaceae via a β-elimination process (Fig. 6C) [54, 141].
Fig. 11.

Carboxy-terminal chain-shortening pathways for fatty acids. A. Important C13 and C14 fatty acids and alcohols result from apparent combinations of α- and β-oxidation pathways. B. Aldehyde, alkene, and methyl ketone chain termini are directly formed through α-oxidation chemistry, although the latter two are proposed to arise through fragmentation of β-oxidation intermediates 8K and 8M, respectively. X’ is an undefined group, such as phosphate or pyrophosphate, that may assist in elimination.
2.3.1.2 α-Oxidation
While α-oxidation has not been directly shown with acetylenic substrates, substantial progress has been made recently in plants and algae in identifying the enzymatic players. Likely scenarios include direct α-oxidation of fatty acids and deviations from normal β-oxidation reactions prior the retro-Claisen fragmentation (Fig. 11B). Acyl decarbonylation and reduction pathways from plant cuticular wax formation are included here as they are rational alternatives leading to C1-shortened alkanes, fatty aldehydes and alcohols. The pathways outlined below are expected to encompass the C1 loss mechanisms for many of the odd-chain acetylenic fatty acids.
In the first case, direct stereoselective α-oxidation of fatty acids leads to (R)-2-hydroperoxy acids that spontaneously collapse to aldehydes with the expulsion of CO2. Originally shown with the diatom Thalassiosira rotula, the (R)-stereochemistry of the 14:0 to 16:0 2-hydroperoxides (≥99 %ee) have been shown in vitro for extracts of Ulva pertusa, Ulva conglobata, and several red and brown algal species [142, 143]. Enzymes related to prostaglandin endoperoxide synthase-1 and -2 have been implicated in the α-oxidation of linolenic acid (2P) and (13S)-hydroxylinoleic acid [144]. These α-dioxygenases initially produce (2R)-hydroperoxy acids (8E), which can undergo non-enzymatically reductive fragmentation to a fatty aldehyde chain-shortened by one carbon (83%, 8I) and (2R)-hydroxy fatty acid (15%, 8G), respectively, as well as a small amount of the C17 fatty acid homolog. In tobacco leaves, the products are 2-hydroxy C17 fatty acid (90–95%), 8,11,14-heptadecatrienoic acid (5–10%), with the aldehyde being undetectable. In plants, several α-dioxygenases are present which have distinct expression patterns linked to either biotic or abiotic stress. For a concise survey of plant α-dioxygenases, a current review by Hamberg is available [145].
Pea α-dioxygenase has been demonstrated to be bifunctional, possessing peroxidase activity dependent upon the availability of a suitable reductant [146]. Additionally, both peroxiredoxins and peroxygenase have wide substrate specificities that are capable of reducing hydrogen peroxide, alkylhydroperoxides, and oxidized amino groups. In plants, four peroxiredoxin classes are dispersed among the nucleus, chloroplasts, and probably the peroxisomes [147]. While their normal physiological function may be to protect biological macromolecules and to protect cells from hydrogen peroxide that escapes the action of catalase, concurrent function of the α-dioxygenases and their reducing partners has the potential to produce the lower polyacetylenic homologs [148]. It is not clear at this time in what organelle(s) reduction occurs nor which molecular species are the preferred substrates.
Developments in the area of plant cuticular wax biosynthesis have been reviewed recently, and include good metabolic alternatives to the chemistry discussed above [149]. Fatty acyl-CoA reductases (FARs) enzymatically produce, without carbon loss, fatty alcohols and/or fatty aldehydes (8M-N), which are functional group modifications commonly seen in lipid-derived acetylenic natural products, from acyl-CoAs. A. thaliana cer4 mutants lack the ability to produce C24 to C28 fatty alcohol, and the cloned FAR gene led to the production of C24 and C26 VLC alcohols when expressed in yeast [150]. From pea, 28-kDa and 58-kDa enzymes were isolated by size-exclusion and affinity chromatography that showed FAR activity capable of generating aldehydes and alcohols, respectively [151]. A potential congener of the pea enzyme, WAX2 from A. thaliana, has a sterol/fatty acid desaturase-like domain at its amino-terminus and bears similarity to the SDR family of dehydrogenases (NAD(P)H oxidoreductases) toward the carboxy end [152]. wax2 mutants produce greatly minimized levels of hydrocarbons and aldehydes in the stem and leaf cuticular waxes. As one of its activities, WAX2 may produce intermediates for the synthesis of alkanes (8J). Finally, reduced methyl termini are common in many polyacetylenes, including the falcarinol derivatives (Fig. 6). It is not yet clear whether they form through decarboxylation followed by alkene reduction or directly. The FAR-produced aldehyde intermediates could be chain-shortened by a process distinct from α-oxidation. As an activity that could support a direct decarbonylative reaction, CER1 has been suggested to be an aldehyde decarbonylase in Arabidopsis, however, the assignment of this activity is far from clear [149, 153]. Biochemical activities for aldehyde decarbonylation have been clearly observed in preparations from P. sativa leaves and the green algae Botryococcus braunii [154, 155]. The plant enzyme appears to require Cu(II), while the algal form needs Co(II) and porphyrin or corrin. In both cases, provided [14C]octadecanal led to heptadecane and 14CO being released without the need of a nicotinamide cofactor.
The loss of C1 units from fatty acid thioesters also occurs, but the scope of this chemistry outside of plant wax biosynthesis is not yet clear. In one instance, a methylketone synthase found in the wild tomato Lycopersicon hirsutum is responsible for the decarboxylation of β-ketoacyl-CoA species (8L) central to the ubiquitous acetyl-CoA liberating β-oxidation process to the carbonyl derivative 8H. [156]. Decarboxylation of β-hydroxyacyl derivatives 8K, confusingly refered to as α-oxidation in the literature [15, 17], has been repeatedly suggested for C1 loss from polyacetylenic intermediates presumably leading to alkenes (8F), yet no biochemical proof has been provided beyond experimental incorporation of 4I into polyacetylenes [12].
2.3.1.3 Intra-chain oxidation
A second distinct pathway in macroalgae and plants is critical to the formation of fatty aldehydes. Intrachain oxidation yields hydroperoxide derivatives capable of cleavage to short chain aldehydes. Hydroperoxide lyase has also been solubilized from brown algae, which cleaves (9Z,11E,12S)-12-hydroperoxy-9,11-octadecadienoic acid to hexanal, in a manner analogous to higher plant wounding and pest responses [157, 158]. Cell lysates from the green alga U. conglobata produce midchain (9R)-hydroperoxides from 2C and 2P [159], but cleave arachidonic acid via a (11R)-hydroperoxy intermediate to (2E,4Z) and (2E,4E)-decadienal [160]. Control of the cleavage reactions is exerted by strict substrate specificity, as shown by the action of partially purified Laminaria angustata hydroperoxide lyase on (13S)-hydroperoxy and (15S)-hydroperoxides of linoleate and arachidonate, respectively [157]. Other activities, such as a heme-c containing protein, may be involved in the production of racemic 9- and 13-hydroperoxides in certain algae [161]. In silica-less diatoms, such as Phaeodactylum tricornutum, 9- and 12-lipoxygenases and a hydroperoxide lyase convert primary metabolic arachidonic acid, EPA and C16 PUFAs in TAG to toxic aldehydes and alkenes in response to herbivores (examples described in [162]). Although speculative, it is through these processes that certain short-chain acetylenic fatty aldehydes may originate from TAG, independent of α- and β-oxidation.
Mid-chain cleavage of nascent polyacetylenes has been proposed to occur by a Bayer-Villiger like oxygen-insertion reaction (Fig. 12A). It has been attributed to Jones that chain-shortening to the C9- and C10-methyltriynes (e.g., 1A) may be formed from 9-desaturated lipids by oxidation of a keto intermediate 9A to 9B [12]. Sequential 9-lipoxygenase, dehydrogenase, and Bayer-Villigerase activities may account for the formation of a optically active glycerol triester 9C in Euphorbiaceae seed oils from the invasive Chinese tallow tree Sapium sebiferum [163], Sebastiani liguistrina [164], and recently Sebastiana commersoniana [165]. The allene, which is found in the sn-3 position, could be formed by the isomeration of a Δ6-acetylenic bond. While rare, other polyacetylenes have previously been detected in this plant family [166].
Fig. 12.

Intra-chain cleavage pathways. Two processes may be relevant to the insertion of oxygen into an acetylenic fatty acid chain: A. Bayer-Villiger oxidation to C10 polyacetylenes [12]and B. Hock rearrangement of a bis-allylic hydroperoxide leading to maracin A (9D) and maracen A (9E) [167]. The labeling pattern for 9D is shown in the lower right.
Rare vinyl ether metabolites maracin A (9D) and maracen A (9E) that exhibited activity against the non-pathogenic indicator species Mycobacterium phlei were isolated from Sorangium cellulosum strains So ce880 and So ce1128 (Fig. 12B) [167]. Labeling studies with [1,2-13C2]acetate showed a contiguous series of nine intact acetate units terminated by a methyl-derived acetate carbon at C-1 of 9D. A Hock rearrangement similar to that involved in divinyl ether synthesis [168], has been proposed that is initiated from a 6-hydroperoxide species and followed by an allene-acetylene isomerization cumulatively attaching the oxygen atom to the acetylenic ether and fracturing the unsaturated chain.
2.3.2 ω-Modification of acetylenic fatty acids
Compounds found ubiquitously in plant families are strong indicators of the interrelationships between species and have been used extensively for chemotaxonomy [12, 169, 170]. One trend, the presence of a 3-hydroxy or 3-oxohept-1-ene-4,6-diyne ω subunit, is characteristic for all compounds from Araliaceae (Fig. 13). The metabolic order of the reactions leading to these ω-modifications is not yet certain; even the mere existence of the enzymatic components remains obscure. The action of a terminal desaturase may directly provide acetylenic compounds such as 5J–K, 10H–I, and a number of marine natural products to be described later. A recently reported Δ12/Δ15-desaturase from Acanthamoeba castellanii produced a n-1 fatty acid 16:39c,12c,15c [171], which heightens the likelyhood that that falcarinol derivatives remain as glycerolipids (10A–I) until the chain-end desaturation occurs in final stages of biosynthesis (Fig. 13). With modern approaches like T-DNA insertions, gene knockdowns and metabolomics, the identification of the genetic loci and enzymatic activities that underlie taxonometric correlations has now become an attainable target.
Fig. 13.

Modifications to acetylenic fatty acids distal to the carboxyl group. A metabolic grid is presumed to generate a variety of ω-oxidized polyacetylenes, and the functionalization is necessary for their biological functions. For falcarinol, accumulated incorporation data and the recent identification of a terminal desaturation activity support the outlined proposal that many of the metabolic steps occur as acylglycerolipids; however, many details of these reactions remain to be ascertained.
ω-Oxidation of fatty acids by cytochrome-P450 enzymes occurs widely and has major relevance in cutin and suberin biosynthesis [172, 173], protection against postgenital organ fusion [174], and other aspects of plant development. Related CYP450s with specific reductant requirements have been found in Fusarium oxysporum [175]. NADPH is the required reductant for a terminal hydroxylase from wheat microsomes, whereas an NADH-requiring CYP450 that favors ω-1 to ω-3 hydroxylation of medium-chain fatty acids is known from etoliated wheat shoots and Helianthus tuberosus [176, 177]. Organisms generally harbor many P450 isozymes, some promiscuous and others that appear to have restricted functions. For example, in Petunia hybrida, CYP76B9 expressed in flowers and leaves catalyzed ω-oxidation of capric and lauric acids [178]. From the same plant, CYP92B1 is transcribed in early flower development and converted lauric, linoleic and linolenic acids to primary alcohol-bearing fatty acids, which seem to be important to fertilization [179]. Specific CYP450 homologs are expected to mediate the corresponding chemistry in acetylenic natural product metabolism. In contrast to pathways where allylic and propargylic alcohols may spontaneously eliminate water, elimination of either a primary or secondary alcohol would presumably necessitate a specific dehydratase to provide a thermodynamically less favored monosubstituted alkene. In a case potentially relevant to the formation of terminal acetylenic C9-alkamides in Heliantheae, CYP94A5 from tobacco catalyzed the ω-hydroxylation of C12–C18 saturated and unsaturated fatty acids, with a preference for 9,10-epoxystearate, and the expressed enzyme was capable of oxidizing the terminal methyl group to a carboxylic acid in yeast microsomes [180]. α, β-Acetylenic carboxylic acids are well known to readily decarboxylate non-enzymatically leading to terminal acetylenes and this process is believed to occur in numerous instances (e.g., oxidative conversion of 3G to 3F in Fig. 5 and terminal acetylenic alkamides). Cytochrome P450-dependent fatty acid hydroxylases from plants has been recently reviewed [181].
Other mechanisms for the introduction of oxidative functionalities in acetylenic fatty acids include C-H activation at allylic or propargylic positions catalyzed by enzymes other than lipoxygenases and diverged desaturases, singlet-oxygen-mediated ene reactions, alkene/allene epoxidations, and (reversible) alkene/alkyne hydration [12]. In the carotenoids, allene oxidase appears to be critical, although this conversion is not known outside of algae. The accessibility of fast, low-cost genome sequencing and gene-chip transcript analysis hold promise for fettering out these specialized activities, particularly as the arrays of C16–C18 dehydrogenative modifications become established.
2.3.3 Sulfur Addition
Sulfur, a heteroatom commonly introduced into polyacetylenes, is found in ecologically significant thiophenes and dithienes. Naturally occurring sulfur-containing heterocycles and thioethers, first identified in the 1940s, are produced by Asteraceae and fungi [3, 12]. For the >150 reported thiophene derivatives, marigolds (Tagetes spp.) are one of the major producers. Structure variation lies in the number of rings (1–3) and the degree of unsaturation of the side chains (ene/yne) (Fig. 14A).
Fig. 14.

Sulfur addition to polyacetylenes. A. Sulfur addition to a diyne unit leads to a thiophene through a stepwise process. Formal addition of H2S produces vinyl thiols that are intercepted in certain Asteraceae species to produce thioethers (11A). Ring closure results in thiophenes (11B) and bithienes (11C) and oxidative formation of disulfide linkages produces dithienes (11D). Combinations of substituent R1 and R2 described in the text are tabulated and designated by a suffix. B. Acetate incorporation patterns for dithienyl 11Ca and its precursors tridecenepentayne (11E) and octadecenetriynoic acid (2M) determined through [13C]glucose feedings of T. patula [189]. C. The summarized incorporation experiments indicate that methyl cleavage reactions occur prior to the formation of the second heterocycle creating two distinct reaction manifolds [190].
Marigolds were initially flagged for their invulnerability to root-knot nemotodes and, as early as 1956, it was recognized that interplanting or rotation of marigolds with selected crops provides an environmentally sound protection against soil nematodes [182]. Field testing has shown that tobacco plants benefited from two years of protection in plots that had grown Tagetes patula (French marigold) or Tagetes erecta (African marigold) cultivars [183]. One of the most active antinematodal agents was identified as α-terthienyl (α-T, 11Ch) [184]. A hydrogenated derivative of the thiophene BBT 11Ca, 5-butyl-2,2′-bithienyl, was also found to control these nematodes. A survey of 175 Asteraceae species showing that 67 organisms completely suppress the lesion nematode Pratylenchus penetrans; the number of nemotode-resistant organisms positively determined to contain sulfur heterocycles was 15, 15, and 12, when analyzed for thiophenes 11Ca and 11Ch and thiorubrine 11Dj, respectively. Toxicity requires soil irradiation indicating that the heterocycles are protoxins. Additional naturally occurring and synthetic linear acetylenes tested for nematotoxicity have been described by Chitwood [185]. Compounds that tend to be most active are conjugated, often bearing photoactivating carbonyl and aryl groups.
Thiophene derivatives are found in all tissues of marigolds. The complexities of investigating the biosynthetic spectrum of marigold thiophenes in plant tissue culture have been commented upon in several instances. The differences between differentiated tissue cultures and callus were investigated in T. patula [186]. The major source of bithenyls 11Ca, 11Ce, 11Cg, and 11Ch is root tissue, irrespective of whether the root is cultured or part of an intact plant. The total thiophene production is substantial in root culture and intact plant roots, however only traces of 11Ca and 11Ce are found in callus. Throughout the plants, the proportions of thiophenes differ widely. In achenes, no thiophenes are found and in the shoots, the major compounds are 11Cc and 11Ce with only traces of 11Ca present. α-T, which is present in the root but not detectable in shoots, accumulates in flowers. Despite many experiments, it remains to be shown whether the thiophene metabolites originate exclusively in the roots and specific species are preferentially accumulated among different plant parts, or whether enzymatic components of the thiophene pathway are expressed in a tissue-specific manner.
Reaction stoichiometry suggests that an equivalent of H2S is incorporated through addition reactions to produce the thiophenes. Cysteine may be the proximate sulfur carrier. In marigold, sulfide is not directly integrated into 11Ch, however sulfur derived from both Na235SO4 and [35S]methionine are added [187]. The slow response of root cultures when the sulfate level is raised in low sulfur medium has been used as support for the molecular rather than metabolic regulation of thiophene production [188].
Labeled oleate and acetate sources result in low isotope incorporation in marigold. To circumvent these difficulties, the biosynthesis of 5-(3-buten-1-ynyl)-2,2′-bithiophene 11Ca was examined through [U-13C]- and [1-13C]glucose feeding experiments with root cultures of T. patula. High glucose incorporation allowed retrobiosynthetic analysis, a method that accurately tracks label distributions within primary metabolites. These experiments confirmed the involvement of acetate or a related 2-carbon homologating unit culminating in the biosynthetic scheme shown in Fig. 14B [189]. The demethylation of bithienyl derivatives has been explored by feeding [35S]-labeled 11F, 11Ca, 11Cb, and 11Cl and it was found that methyl cleavage occurs prior to the formation of the second thiophene ring (Fig. 14C) [190]. Additionally, 11F was not incorporated into α-T (11Ch), bringing into question the order of sulfur additions leading to this important metabolite.
2.3.4 Alkamides
Alkamides are fatty acid amides that are usually unsaturated and frequently contain acetylenic bonds. The nearly 200 reported alkamides result from the apparent combinatorial ligation of alkyl amines apparently derived from amino acids with short- and medium-chain fatty acids [191]. The acetylenic fatty acyl groups vary in length from C9 to C18. Extracts of the purple coneflower (Echinacea purpurea) have insecticidal, immune-system-stimulating, and anti-inflammatory properties that are attributed to the acylamides [192]. Alkamides have been shown to affect root growth and morphology in Arabidopsis indicating a potential role in development [193].
Very limited studies exist on the biosynthesis of alkamide metabolites but, in the case of E. purpurea, it was shown by Bohlmann et al. that crepenynate pathway metabolites [10-14C]2A and [16-14C]2I could be incorporated into 12B at 0.05% efficiency and that anacyclin (12A) is a likely precursor to the 12B (0.1% incorporation of [12-14C]12A) (Fig. 15) [194]. In vitro germinated seedlings metabolized [15N]valine as detected by enrichment of alkamides in E. purpurea [195].
Fig. 15.

Proposed biosynthesis of alkamides. The ligation of an alkyl or aryl amine with a polyalkenyl or acetylenic fatty acid produces the alkamides. The progression from 2A to 12B has been verified in Echinaceae pupurea by radiotracer studies with [10-14C] methyl oleate, [16-14-C] methyl enediynoate, and [12-14C]anacyclin, however, the enzymatic participants have not been identified [194].
2.4 Acetylenic Polyketide and Non-Ribosomal Peptide Biosynthesis
A large number of microbial and marine polyacetylenes are polyketides or peptidic in origin. Over the past 15 years, there has been an explosion of studies examining the molecular biochemistry of PK biosynthesis; a recent splendidly written review was penned by Hill [196]. The modification of PKs through module shuffling and chimeragenesis has the potential for the production of a wide array of bioactive PKs. While marine-derived polyacetylenes are distributed through a range of organisms, most are concentrated in certain red and green algae and the marine sponges. It appears that a number of the isolated polyacetylenes are actually produced by symbionts or are consumed in diet. The genetic and biochemical organization of alkyne-yielding PK and NRPS pathways will be delineated below.
2.4.1 Enediyne Antibiotics
2.4.1.1 Structural Subtypes
The enediyne natural products are a class of PKs which can thermally cyclize to biradical intermediates when they are actively triggered or uninhibited. These reactive intermediates, when appropriately intercalated in the minor groove of ds-DNA through a glycoaromatic recognition element, aggressively cleave DNA with sequence specificity by hydrogen atom abstraction and subsequent reaction of the DNA-derived radicals with dissolved oxygen [197]. Although the lack of tissue specificity and high toxicities of the enediyne natural products has precluded their direct use as pharmaceuticals, the development of calicheamicin-monoclonal antibody conjugates and polymer-bound neocarzinostatin derivatives has led to marketed antitumor agents [198, 199].
A variety of cyclization triggers are present within the enediyne antibiotics, varying from strained epoxy and aziridino groups to labile trisulfide linkages. When an appropriate triggering reaction occurs, access to a cyclizable intermediate is allowed. For example, nucleophilic attack upon labile substituents of certain C9 cycloenediynes generates a reactive allene-ene-yne functionality that can be cyclized via a Myers–Saito cyclization to a σ, π-toluene diradical species (Fig. 16A). Stabilizing apoproteins that non-covalently bind the chromophores prevent premature cyclization and have been found with each of the nine-membered cycloenediynes [200]. For neocarzinostatin (13A) and related structures, conversion of the natural product to the enyne allene intermediate increases the ring strain for the triggered species to 15 kcal/mol above the σ, π-diradical energy [201]. Cycloaromatization can occur to a 2,6- or 2,7-diradical; the latter regioselectivity is believed to be favored for systems with a small, fused cyclopentane ring [202]. In the case of the C10 enediynes, cleavage of the trisulfide linkage with a reductant, such as glutathione, causes a Michael addition to a constraining cyclohexenone ring (Fig. 17A) [203]. The bridged system transduces ring strain to the enediyne via the σ-bonding framework, often decreasing the distance between the acetylenic termini. While disagreement remains as to the exact structural change that initiates the Bergman cycloaromatization that forms the para-benzyne 1,4-diradical (Fig. 17A), calculations generally support ground-state destabilization as the controlling factor [204].
Fig. 16.

Nine-membered ring cycloenediynes. A. Cyclization commonly occurs by nucleophilic attack on a diacetylenic chromophore yielding a strained cumulene-ene-yne (shown) or by perturbing a moiety stabilizing an enediyne. B. Structures of C9 cycloenediyne natural products.
Fig. 17.

Ten-membered ring cycloenediynes. A. The calicheamicin-like metabolites cyclize through a thiol-activated Michael addition activating the subsequent Bergman cyclization. B. Structures of the C10 cycloenediyne natural products.
Five discrete enediyne 9-membered cores (chromophores) (13A–E) and an equal number of 10-membered cores (14A–G) have been identified, each of which are diversified through complex polysaccharide and aromatic targeting domains (Figs. 16 and 17). Both terrestrial microbial and marine invertebrate sources have been identified for enediynes with identical chromophores. Namenamicin 14C [205] and shishijimicins A–C (14D–F) [206], isolated from the ascidians Polysyncraton lithostrotum and Didemnum proliferum, respectively, and calicheamicin 14A, procured from the actinomycete Micromonospora echinospora [207], differ only in the level of glycosylation and the presence of the aromatic orsellinic thioester (R3, Fig. 17B).
The biosyntheses of neocarzinostatin (13A), dynemicin A (14G), and esperamicin A1 (14B) were probed between 1989 and 1993 (Fig. 18A) [208–210]. The head-to-tail connectivity provided grounding for either PK or fatty acid biosynthetic hypotheses. Cultures of Streptomyces carzinostaticus grown with [13C]-labeled acetates and radiolabeled bicarbonate, [C3H3]methionine and acetate provided the incorporation patterns for 13A [208]. Of the three labeling patterns considered, the acetate labeling supported only connectivity that results from the cleavage of two acetate units with the loss of a methyl and carboxyl groups. Through the feeding of [13C]-labeled acetates, [15N,2-13C]glycine and [13CH3]methionine to Micromonospora chersina cultures, 14G was shown to potentially arise from the coupling of two heptaketides – the anthraquinone and the enediyne-bearing moieties [209]. The O-Me group was labeled by both methionine and glycine. As a result of the isotopic incorporation pattern, it was hypothesized that two heptaketides were connected between C-8 and C-9 via a Friedel-Crafts-like acylation [209]. A common progenitor hypothesis to 13A, 14B and 14G was initially suggested where scission of a C2 unit from an octaketide would occur (or C4 from 2E) (Fig. 18B) [209]. For 13A and 14G, atypical desaturation between C-8 and C-13 of “crepenynate” would be required to gain the contiguous enediyne carbons. The effects of cerulenin inhibition on the production of 13A were not ameliorated by added oleate as might be expected for a 2E-derived enediyne. Finally, the carbons of the diyne units in 14G were found to be derived from two acetates, whereas in 13A they each arose from an intact acetate pointing toward two distinct intermediates leading to the 14 enediynes and a separate precursor to 13A. Recent experiments seem to have resolved this incongruency through the identification of PK enediyne-producing gene clusters.
Fig. 18.

Biosynthesis of the enediynes. A. Incorporation patterns have been ascertained for three of the enediyne natural products [208–210]. B. Crepenynate was originally suggested as a progenitor, which was cleaved to a C14 species. In this model, the ab fragment leads to 13A; either ac or b fragments provide the labeling pattern for 14A–F [209]. C. The organization of SgcE, the PKS for C-1027 biosynthesis, is consistent with an iterative PKS enzyme and includes an ORF for a specialized PPTE domain and several ORFs of unknown function [214]. PKS subdomains are: ACP, acyl carrier protein; AT, acyltransferase; DH, dehydratase; KR, β-ketoacyl reductase; KS, β-ketoacyl synthase; PPTE, phosphopantetheinyl thioesterase; and UNK, domain of unknown function.
In contrast to the lack of evidence for plant polyacetylene biosynthetic gene organization, secondary metabolic pathways are typically clustered in microorganisms. Consequently, gene walking that begins at a confirmed gene locus has been used to clone a number of enediyne biosynthetic gene megaclusters. The means of identifying gene clusters has evolved as the knowledge of the biosynthetic origins of enediynes has increased. Initially, without a clearly defined target FAS or PKS for the enediyne antibiotics, transformations central to the production of the unusual deoxyhexoses found in these metabolites were used to gain entry to the gene clusters. Primers targeting conserved regions within the dNDP-glucose 4,6-dehydratases, enzymes shown by Bechthold to be readily cloned by virtue of their high primary sequence homology [211], have been used for PCR amplification of enediyne antibiotic clusters. Locating the nearly 100-kb, 74 ORF calicheamicin gene cluster (cal) was one of the successes of this approach [212].
Type I PKSs, those proteins where the enzymatic functions occurring during one round of chain elongation are carried by a single polypeptide, have two distinct architectures – iterative and modular. Iterative PKS enzymes found in actinomycetes are responsible for the 9- and 10-membered scaffolding rings that form the chromophoric cores of the enediyne antibiotics [213], and combinations of modular PKS domains with NRPS modules are responsible for compounds described in Sections 2.4.2 and 2.4.3.
The genetics and biochemistry of the nine-membered ring enediyne C-1027 (13E), a characteristic example of this group of natural products, will be outlined here. For 13E, as with all known enediynes, the initially formed enediyne cores have been hypothesized to form by the homologation of an acetyl-CoA starter unit to seven malonyl-CoA precursors. The C-1027 gene cluster from Streptomyces globisporus possesses 67 ORFs extending over 85 kb and includes a single iterative PKS (SgcE) comprised of four domains (KS, AT, KR, DH) (Fig. 18C) [214]. Disruption and complementation experiments show necessity of SgcE for the formation of 13E [214]. Enediyne PKSs do not possess enoyl reductase (ER) activities within their modules, which is consistent with the synthesis of a polyunsaturated PK. While the ACP domain is less clearly defined than in other PKSs and several functionally unassigned domains lie within the polypeptide, general structural conservation is found within the enediyne PKSs. The final PKS domain in SgcE is a 4′-phosphopantetheinyl transferase (PPTE) that may specifically activate the secondary metabolic ACP domain. To complete 13E, the benzoxazolinate, β-amino acid, and deoxyamino sugar are proposed to be synthesized via their respective biosynthetic precursors anthranilate, tyrosine, and glucose-1-phosphate and convergently assembled to the acetylenic core [214]. The functional need for several other genes at the sgcAB locus have been verified (sgcA, sgcC1, sgcD6) and sgcC has been shown to be an aryl hydroxylase, as its disruption results in the accumulation of deshydroxy metabolite 13F.
For the calicheamicin biosynthetic cluster, 16 ORFs are associated with orsellinic and enediyne PKSs, 18 are involved in carbohydrate chemistry, 9 are regulatory, and 22 have functions that have not yet been discerned [212]. CalE8, the 1919-aa enediyne PKS involved in 14A biosynthesis, directly aligns with SgcE and the two gene translations are 56% identical and 67% homologous [212]. By comparing the known enediyne PKS genes, two genetically distinct groups were found based upon ring size, but on the whole, the conservation at both the sequence and gene structure levels point to divergent evolution of all the PKSs from one ancient gene. This analysis was developed into a predictive model that was applied to the analysis of 12 unknown PKS sequences found in the genomes of cultured actinomycetes that were not known to produce enediynes. Seven of the organisms contained sequences that bore homology to the C10-chromophore-producing PKSs and the remaining five possessed sequences that were related to the C9-enediyne-yielding PKSs [215]. At this point, it appears that unassigned coding sequences in the gene cluster are responsible for the acetylenic bond formation in the enediynes.
CalE8 is also remarkably similar to the PUFA PKSs. The prokaryotic marine bacterium Shewanella produces eicosapentaenoic (EPA, 20:55,8,11,14,17) and docosahexenoic (22:64,7,10,13,16,19) acids and the eukaryotic microflora Schizochytrium accumulates EPA and docosapentenoic acid (22:52,5,8,11,14), both by anaerobic PK pathways. Four Shewanella open-reading frames contain KS, KSα, KSβ, AT(A), AT, ER, multiple ACPs, and DH domains; similar domains are organized into three ORFs in Schizochytrium [216]. The “standard” methylene-skipped polyene arrangement in these FAs results from the action of 2,2- and 2,3-isomerase activities associated with the DH segments. This unexpected commonality between PUFA biosynthesis in these disparate prokaryotic and eukaryotic organisms could be attributed to horizontal gene transfer. Whether PKS-driven polyacetylene formation in marine bacteria and invertebrates originates from analogous genetic processes should be explored. The scope of the chemistry and the interrelationships among organisms merits further study, as will be clear from the examples in Section 3.1.4.
2.4.2 Sporolides
During the past 600 million years, metazoans have formed a symbiotic relationship with marine bacteria and many sponges are sources of polyacetylenic natural products. Straight-chain polyacetylenes were characterized by HPLC in primary cultures of the sponge Xestospongia muta that had structurally differentiated in a manner consistent with the native organism [217]. The polyacetylenes were ascribed to the presence of heterotrophic bacteria. Through the analysis of the KS domains of 19 sponge species, Fiesler and coworkers identified PKSs found in culture-independent sponge metagenomes that were attributed to symbiotic sponge bacteria [218]. In their study, 88% of the PKS sequences identified formed a class of sponge-related genes distinct from all previously reported PKS and FAS genes. To date, no similarity has been found between sponge metagenome PKSs and the calicheamicin iterative type I PKS [218].
Genomics, coupled with progress in culture of marine organisms, has unveiled the large diversity of secondary metabolic pathways in marine actinomycetes. The biosynthesis of the PK sporolides is a case in point. Salinispora tropica CNB-440 was found by Udwary, Moore, and co-workers to devote 9.9% of its 5.18-Mbp circular genome to major PKS, mixed PKS/NRPS, NRPS and siderophore-producing natural product gene clusters [219]. Most of the clusters are localized within a single quadrant of the genome, which also contains a high proportion of mobile genetic elements. Both 9- and a 10-membered-ring-producing enediyne PKS gene clusters (spo and pks1, respectively) were identified in the S. tropica sequence that were not found in the prolific antibiotic soil actinomycete, Streptomyces coelicolor A3(2). The assignment of the genus Salinispora to the family Micromonosporaceae, from whose species 14A, 13A, and other enediyne natural products originate, is worth noting. The 50-kb spo cluster contains 39 ORFs hypothetically responsible for the synthesis of sporolides A and B (15B–C), aromatic hybrid natural products with origins in the PK and shikimate pathways (Fig. 19A). The function of the pks1 cluster remains to be determined, although the absence of genes required for deoxyhexose biosynthesis and attachment to the chromophore points is consistent with a yet-to-be determined cyclized enediyne metabolite. The similarity of the spo PKS (Stro2697) to maduropeptin PKS is consistent with a cyclization pathway involving prosporolide (15A). It has been shown that halides can attack 1,4-dehydrobenzene leading to haloaromatic products 15B and 15C [220] and it was earlier shown that cyanosporasides A and B (15D–E) from Salinispora pacifica CNS103 can originate via a similar halo enediyne cyclization (Fig. 19B) [221]. Consequently, it is proposed that following the synthesis of 15A, the enediyne is non-enzymatically cyclized to form a p-benzyne intermediate that is trapped sequentially by Cl− and a proton. The observation that the chemistry of the 9-membered enediynes can be subdivided into metabolites that undergo Bergman cyclizations (maduropeptin 13C and kedarcidin 13D) and those that proceed by the allene-enyne closure is interesting. The Myers-Saito closure has long been recognized to have substantial polar character, whereby the mode of reactivity is solvent-dependent [201, 222]. As a result, it is anticipated that polycyclic natural products from actinomyctes will be found that are formed by ionic Myers-Saito cyclizations of PKs.
Fig. 19.

Metabolites produced via haloenediyne cyclizations. A. 15B and 15C originate from the mixed PK enediyne presporolide, which undergoes a haloenediyne cyclization to produce the aromatic core [220]. B. Halide accelerations of enediyne cycloaromatization had been recently shown with for the cyanosporasides 15D–E [221].
2.4.3 Jamaicamides
Jamaicamides A–C (16A–C, Fig. 20A) natural products of mixed PK-NRPS origin, were isolated from Lyngbya majuscula strain JHB in a brine shrimp toxicity screen [223]. These compounds had LC50’s of 15 μM for cytotoxicity against human lung and mouse neuroblastoma cell lines, as well as possessing sodium channel-blocking activities. Gerwick and coworkers contributed structure elucidations, isotopic feeding studies, and the sequencing of the Jam gene cluster in 2004. The structures of these natural products contain a series of unusual features: a pyrrolinone, a vinyl chloride, and, in 16A, a 1-bromoalkyne. [1-13C], [2-13C], and [1,2-13C2]acetate, S-[13CH3]methionine, L-[1-13C] and L-[3-13C]alanine, and [13C3,15N] β-alanine were provided to the cyanobacteria in a feeding study to build a biogenetic framework and yielded the labeling pattern shown in Fig. 20B. The 58-kb gene cluster is comprised of 17 ORFs and is flanked by several likely transposase coding sequences (Fig. 20C). Each of the ORFs is transcribed colinearly, except jamQ. Based upon preliminary annotation, the cluster contains 6 distinct PKS modules; jamE, jamJ, jamK, part of jamL, jamM with jamN, and jamP; and 2 NRPS modules; part of jamL and jamO (Fig. 20C). ATP-PPi exchange rates for purified His6-tagged acyl-ACP synthetase JamA were assayed in the presence of a series of C4–C8 and aromatic fatty acids. It was found that 5-hexenoic (75% r.a.) and 5-hexynoic acid (100% r.a.) exchanged most efficiently supporting desaturation and/or acetylenation prior the PKS/NRPS reactions.
Fig. 20.

Jamaicamides and their biosynthesis [223]. A. Structures of jamaicamides A-C (16A–C). B. Analysis of isotopic incorporation studies for jamaicamide B. ωAcetylenic fatty acids, which have been previously reported and may be formed through acetylenase action (e.g., 16D to 16E), are potential starter units for these PKS-NRPS metabolites. C. The jamaicamide biosynthetic gene cluster. JamB bears resemblence to a fatty acid desaturase. A portion of JamE is of unknown function, possessing weak similarity to the Fe2+/α-ketoglutarate-dependent dioxygenases. Open-reading frames are shown as arrows. The color of an arrow indicates its assigned pathway: blue, NRPS; red, PKS; yellow, other assigned function; black, function not annotated. Boxes provide the order of the subdomains for the multifunctional polypeptides: A, adenylation domain; ACP, acyl carrier protein; AS, acyl-ACP synthetase; AT, acyltransferase; C, condensation domain; CM, C-methyltransferase; CYC, cyclase; DC, decarboxylase; DH, dehydratase; ECH, enoyl-CoA hydratase/isomerase; ER, enoyl reductase; HMG, 3-hydroxy-3-methylglutaryl-CoA synthase; KR, β-ketoacyl reductase; KS, β-ketoacyl synthase; KSD, β-ketoacyl synthase/dehydratase; OM, O-methyltransferase; PCP, peptidyl carrier protein; and TE thioesterase.
Potentially impacting the biosynthesis of the alkynoic fatty acid segment, JamB encodes a 321-aa polypeptide with 48% amino acid similarity to the Saccharomyces cerevisiae Ole1p Δ9-desaturase, but there are three surprising aspects to its function. Related Δ5-desaturases are known from plants, fungi, and humans, however the primary structure of JamB is distinct from each of these. The third His box domain in JamB aligns with the Δ5-/Δ6-desaturases, where the consensus sequence is QXXHH [224]. The functional significance of variations in this signature domain is not known. There is no evidence for a Cyt-b5 domain in JamB, implying that JamB relies upon “free” Cyt-b5 for the influx of the 2 electrons. This is distinct from Ole1p, as free cytochrome-b5 was not sufficient to restore function to a yeast expressing an amino-terminal truncation of Ole1p [225]. While there is no direct evidence, JamB appears to be a terminal desaturase. Finally, the apparent use of a free fatty acid or ligation of a C6 starter to ACP prior to dehydrogenation is unexpected as desaturases most frequently accept CoA or glycerolipid substrates. Irregardless of the lipid speciation, clear examples of terminal desaturation are sparce. A recent study by Napier identified a terminal desaturation product [171], in addition to an earlier report of a terminal monoacetylenic acid 16E that is presumed to form by dehydrogenation of co-occurring 10-undecenoic acid 16D [226].
The potential terminal desaturase/acetylenase activity encoded by jamB may have direct relevance to the biosynthesis of the cyclodepsipeptides and many of the Pellosia-like long-chain acetylenic alcohols. Each of these compounds appear to be formed from a short-chain terminal acetylenic acid or could be assembled by a PKS using an acetylenic starter unit. JamB is the first example of a likely desaturase intertwined with a microbial PKS pathway. Probing for the colocalization of desaturase and PKS genes may lead to the identification of new acetylenic natural product gene clusters. An unexpected observation, given the numerous examples of self-resistance and transport genes associated with highly toxic PKS products, was that no gene(s) appeared to encode protection for L. majuscula against the effects of the jamaicamides. It has been suggested that jamaicamides may act specifically upon eukaryotic cellular functions of predators or competitors and the prokaryotic cyanobacterium is resistant through the absence of the jamaicamides’ molecular target. An offshoot to this observation is that screening for the presence of self-resistance genes may not be generally useful in locating marine prokaryotic gene clusters.
Although gene disruption/complementation studies are not yet possible in L. majuscula, the sequential biological activities in the gene cluster could be assembled with the feeding data and two biochemical studies resulting in a compelling sequence of chemical steps. In the current proposal for the biosynthesis of 16A, either 5-hexenoic or 5-hexynoic acid is activated with ATP by acyl-ACP synthetase homolog JamA, modified by JamB, and transferred to the acyl carrier protein JamC. By homology, JamD is weakly related to a cyanobacterial flavoprotein (21% identity over 250 of 683 residues); its activity remains to be determined. jamE, jamF, jamG, jamH, jamI, and possibly a portion of jamJ form a β-keto modifying gene cassette, which is responsible for the vinyl chloride side-chain. Claisen condensation of acetate or malonate with the growing PK chain produces a 3-hydroxythioester similar to mevalonate formation. Hydrolysis and decarboxylation coupled with dehydration, and potentially alkene isomerization, leads to the alkylidene side chain. A series of three consecutive acyl carrier protein domains may provide a conduit of way stations through which side-chain modification intermediates are shuttled. This ACP cluster is an arrangement previously observed in gene clusters for pksX, mupirocin, and leinamycin [227–229]. The timing and mechanism of both the alkene chlorination and alkyne bromination steps have not yet been defined. A good candidate for the chlorinating agent is JamE, whose sequence homology to the phytanoyl-CoA dioxygenase family aligns it with related enzymes involved in marine halogenated NRPS and PK-NRPS products (barbamide and syringomycin) [230, 231]. Extension of the linear precursor continues during modules 2–8 with C- and O-methyltransferases located in modules 2 and 6, respectively. The high selectivity of the adenylation subunit in JamO for L-alanine, as predicted from the labeling study and by its similarity to an analogous adenylation subdomain in bleomycin [232], was demonstrated by an ATP-PPi exchange assay. A thioesterase in PKS-like module 8, which is most related to a NRPS TE domains from Bacillus subtilis, may offload the acid product to be acted upon by JamQ during the final cyclization to the pyrrolinone. Alternatively, JamQ (or JamP and JamQ in concert) acts to close the heterocycle and release the finished natural product.
2.5 Biosynthesis of Acetylenic Terpenoids
Green algae from the single-genus Caulerpaceae family are causing ecological damage by displacing other plants and animals over large swaths of the Mediterranean Ocean and along the southern California coast. Their incursion is, in part, due to the ichthyotoxic effects of acetylenic terpene dienolesters, such as caulerpenyne 17B. In addition to triacetoxy 17B, Caulerpa prolifera from Greece has yielded a broad assortment of fatty esters 17C comprised of the C14–C20 saturated acyl groups and unsaturated acyl chains to 5,8,11,14,17-eicosapentenoate (Fig. 21A). In 17C, the alkene has isomerized between the 2- and 3(3′)-positions of the C-1 dihydro derivative of 17B.
Fig. 21.

Marine terpenoids. A. Incorporation studies of caulerpenyne have clearly shown this metabolite to arise from the MEP pathway [233]. A diverse set of acylated metabolites has been identified. B. The order of lipase reactions leading to the highly toxic secretion oxytoxin-2 are believed to follow the upper path in vivo [236]. Other cyclized species, such as 17F–H, are known in this metabolic family.
The biosynthesis of 17B has been investigated in intact macroalgae [233]. Unialgal Caulerpa taxifolia isolates grown in artificial seawater cultures were presented sodium [1-13C]acetate and 13CO2 while segregated in plastic tubes. While acetate was installed exclusively into the ester appendages, the 13CO2 was uniformly incorporated the terpene backbone consistent with carbon dioxide fixation. This data corroborates isoprenoid biosynthesis via the mevalonate-independent MEP (17A) pathway (Fig. 21A) and the role of cytosolic acetate in the late-pathway tailoring reactions. There is now substantial evidence that all isoprenoids, both cytosolic (e.g., sterols) and plastidal (e.g., phytols) origins, found in members of the Chlorophyta class of green algae are formed exclusively by the MEP route [234]. The cytosolic mevalonate-mediated pathway appears to have been lost in Chlorophyta, while retained by ancestral flagellate green algae that are more closely allied to terrestrial higher plants. No experimental evidence exists for the formal dehydrogenative conversion of the farnesyl chain to the acetylene. Natural products with an alkene at the site corresponding to the acetylenic carbons in 17B are known, suggesting a subsequent 2e− oxidation [235].
Molluscs benefit by modifying dietary secondary metabolites to defensive allomones; analysis of certain lipids found in Oxynoe olivacea have shown them to be pure oxytoxin-2 (17E). The action of two lipases, LIP-1 and LIP-2, from O. olivacea on caulerpenyne 17B have been investigated in vitro (Fig. 21B) [236]. LIP-1 concertedly hydrolyzes the enol ester and eliminates acetate and LIP-2 hydrolyzes the isolated enol acetate. The order of action is believed to be LIP-2 followed by LIP-1 in vivo leading to 17E, although preoxytoxin-2 17D can be generated in cell-free extracts. Volvatellin (17F), found in the mantle and white mucus of the mollusc Volvatella sp. has been used to corroborate the metabolic processing of secondary metabolites by gastropods [237]. A pair of lactones 17G–H that resemble Caulerpa metabolites were purified from a Caribbean sacoglossan during an ecological study [238].
The gelliusterols A-D (18A–B, 18D–E), C23 acetylenic cholesterol derivatives with variable oxidation states at C-7 and C-25, were isolated by Scheuer’s lab (Fig. 22A) [239]. Earlier Steiner and coworkers had isolated a series of acetylenic (18C, 18F) and C23 alkenyl sterols from the sponge Calyx nacaaensis [240]. The cyclopropene calysterol (18G) that may be formed through an alternate dehydrogenation channel was found with the isopropyl-bearing acetylenic sterols. A mechanism for acetylenic sterol biosynthesis has been proposed that invokes a formal retro-carbene addition reaction modeled on biosynthetic studies by Djerassi (Fig. 22B) [241]. The precursor 24H-isocalysterol provides the backbone for the formation of both methyl and isopropylacetylenic derivatives. Acetylenic sterols have also been reported from the terrestrial plant Gynostemma pentaphyllum (Curcurbitaceae) [242]. It was proposed that dehydrogenation at C-22 leads to these plant sterols which possess longer side-chains.
Fig. 22.

A. Structures of acetylenic sterols from marine sources. B. Biosynthesis of C23-alkynyl steroids from 24-methylenecholesterol [241].
A striking group of acetylenic quinones and hydroquinones 19A–O bearing isopentenyl-derived side-chains are distributed between ascomycetes, hymenomycetes, and both marine and terrestrial Basidiomycetes (Fig. 23). Functional group diversity is scant, consisting of alkoxy and C1 modifications to the aryl ring and, rarely, modification of the sesquiterpene unit. Representative compounds include eutypine (19A), eulatinol (19E), culpin (19H) from the ascomycete Preussia sp., and Stereum hirsutum metabolites 19G–K [243–245]. The grapevine-attacking ascomycete Eutypa lata, the causative pathogen for “dying-arm disease”, produces a strain-dependant mixture of acetylenic phenols, chromenes and benzofurans [246, 247]. Aldehyde 19A, originally purported to be the major virulence factor for the disease, is carried though the plant sap from fungally infected trunks and has been found to uncouple mitochondrial oxidative phosphorylation and causes proton leakage act as a cyclic protonophore [248, 249]. Eutypine reductase rapidly detoxifies the acetylenic aldehyde leading to the alcohol eutypinol (19B) [250]. Vitis vinifera leaves from Eutypa-resistant vines were more proficient at reducing 19A. From these leaves, eulatachromene (19L) has emerged as a new, potentially more phytotoxic metabolite [247]. Also, through the examination of product mixtures and grape leaf chlorophyll loss assays, it is mixtures of 19A, 19B, 19E, 19L, and 2-isopropenyl-5-formylbenzofuran (19M) that seem to most contribute to pathogenicity. Siccayne (19D), the only antibiotic isolated thus far from a marine basidiomycete Halocyphina villosa, is also found in E. lata and the hymenomycete Helminthosporium siccans [251]. It is structurally similar to the bacteriostatic compound frustulosin (19F) from the terrestrial basidiomycete Stereum frustulosum [252–254]. Siccayne has cytotoxic activity which appears to derive from the blockage of nucleoside precursor uptake and it inhibits mitochondrial respiration in yeast [252, 255]. Further information on the biological activities and synthesis of Eutypa metabolites can be found in a review by Jiménez-Teja [256].
Fig. 23.

Structures of quinoid natural products with acetylenic substituents and related aromatic heterocycles.
The origins of aromatic eutypine skeleton, its derivatives and the chromene and benzofuran natural products have not been directly investigated in E. lata; however studies that may have bearing on the biosynthesis have been reported from other organisms. [257–259]. Feeding of [14C]- and L-[2-14C]phenylalanine and the use of phenylalanine ammonia lyase inhibitors with the flowering plant Ageratum houstonianum demonstrates that benzofuran 19M likely originates from cinnamic acid via the shikimate pathway [260].
2.6 Biosynthesis of Acetylenes Originating from the Shikimate Pathway
Acetylenic natural products derived exclusively from the shikimate pathway are rare (Fig. 24). Diaryl metabolites 20A–C are produced by Asparagus officinalis (Liliaceae) [261, 262]. Analysis of “No Nuclear Overhauser Effect” (NNE) 13C NMR and mass spectra for 20A and 20B derived from [d5-Ar], [1-13C], and [3-13C]phenylalanine metabolism in suspension-cultured cells led to the illustrated labeling pattern. Collectively, labeling studies support an intermediate structurally consistent with 20D derived from a single phenylalanine unit as the source of the C3–O–C6(B-ring) portion. Phenylalanine decarboxylation provides the acetylenic C6–C2 unit. There have been no studies investigating whether a specific short-chain aryl acetylenase, or a series of specialized oxidative dehydrogenative processes are involved. Optically active acetylenic norlignan virgatyne (22A, Fig. 26), a potential shikimate-derived natural product, was identified with tannins and flavonoid sulfonates from Phyllanthus virgatus [263].
Fig. 24.

Biosynthesis of polyacetylenes via the shikimate pathway. While it is rare that acetylenic metabolites result from only shikimate intermediates, the aryl ethers 20A–C have been proposed to arise from two such fragments via the hypothetical cyclic ether 20D [261, 262].
Fig. 26.

Acetylenic secondary metabolites from the Campanulaceae family.
2.7 Acetylenic Alkaloids
While uncommon, acetylenic compounds are found among the myriad of azaspiro[5.5]undecane and decahydroquinolines alkaloids that stand as a formidable chemical defense in certain dentrobatid and mantelline amphibians [264]. A dietary hypothesis for the origin of poison-dart frog toxins was strengthened during the past decade by identifying the link between myrmicine ants and the accumulation of decahydroquinoline alkaloids in the amphibian’s skin [265]. These heterocycles are related to frog-accumulated histrionicotoxin (21A) and gephyrotoxin (21B), which are high-affinity noncompetitive inhibitors of nicotinic acetylcholine receptors (Fig. 25A). The metabolic origins of 21A and 21B have been difficult to pinpoint [266]. Compounds 21D and 21E were found in both dendrobatid frogs and virgin queens of Solenopsis azteca collected from a Puerto Rican hillside, while captive frogs are known not to accumulate the alkaloid toxins. The sequestration of groups of alkaloids in skin glands that mirror ant secondary metabolites suggests that frog alkaloids may not be chemically modified by the frogs [267]; an observation which has found few exceptions [268]. The formation of the bicyclic 2,5-disubstituted decahydroquinoline (e.g, 21G and 21H) and histrionicotoxin (THX) ring systems is presumed to occur from enamine 21F via electrophilic catalysis (Fig. 25B). C19 trans-pyrrolidines, commonly found in the venom of myrmicine ants within the Western hemisphere, are considered the precursors to the acetylenic alkaloid lehmizidine 21I via dihydro metabolite 21J but to date, no lehmizidines or acetylenic pyrrolidines have been detected in ants (Fig. 25B) [269]. Even though the C19 precursors to the bicyclic metabolites appear to be related, Dendrobates histrionicus and Dendrobates lehmanni only produce either THX or lehmizidines, respectively. This is puzzling given that each species is distinct and lives at non-overlapping elevations so, if a single ant provides the alkaloid precursors, the consumed organism would need a much broader range. Whether acetylenic bond formation occurs in the amphibians or arthropods is unknown. The recent observation of defensive alkaloids from Mantella sp. poison frogs and Tetramorium electrum ants from southeastern Madagascar, including acetylenic 5,8-disubstituted indolizidine 21C, has been used to support convergent evolution of defensive alkaloid acquisition and/or biosynthetic pathways between Malagasy ant species and Neotropical ants [268]. Given the local distributions of the frog/ant ecosystems, it is tempting to consider that the acetylenic compound may be produced by an ant symbiont or local flora and acquired by the ants for their benefit.
Fig. 25.

Acetylenic alkaloids from amphibians. A. Structures of well known acetylenic polycyclic amines isolated from ants and/or frogs and their precursors. B. Enamine cyclizations are believed to expand the ring systems, and subsequent dehydrogenations occur to form acetylenic and allenic derivatives.
2.8 Use of Higher Plant Cell Cultures to Study Polyacetylene Biosynthesis
Agrobacterium rhizogenes-transformed hairy root plant cultures have been investigated on a number of occasions for the production of acetylenic natural products. While comprehensive coverage is not provided here, these systems have promise for the enhanced production of acetylenic metabolites useful in biosynthetic studies. Several examples briefly show the benefits of and experimental variables for hairy root culture.
Hairy root cultures of goldenrod (Solidago altissima L.) produced 45–93 μg/g fresh weight cis-dehydromatricaria ester (1A, Fig. 1) under dark conditions, which was 2–3 times the production from untransformed roots [270]. While the greenish roots cultured under illumination grew more rapidly, which was presumed to be due to hemiautotrophy, the production of the polyacetylenes was consistently lower. Light regulation can have either a positive or negative effect on polyacetylene production; hairy roots for Acmella oppositifolia, have enhanced growth and polyacetylene production when cultured with light [271]. Naturally grown S. altissima roots produced 303 μg/g fresh weight of 1A; however, in vitro plants produced only 0.2–1.2 μg/g fresh weight 1A, whether grown from axenic seed or regenerated hairy roots. It follows that other stimuli, as experienced by the wild-grown roots, may be required for maximal polyacetylene production. It had previously been observed that Bidens sulphureus, an Asteraceae species, mycelial extracts of Pythium aphanidermatum stimulated polyacetylene production [272].
A number of Campanulaceae metabolites have been produced using A. rhizogenes-transformed tissue (Fig. 26) [273–276]. Platycodon grandiflorum hairy root was found to produce ca. 19 times greater levels of lobetyol (22B) and 39-fold increase yields of lobetyolin (22C) with lobetyolinin (22D) when compared to the roots of intact plants [277]. Callus and hairy root cultures of Pratia nummularia produced the rutinoside pratialin-A (22E) and glycoside pratialin-B (22F), respectively [278].
For hairy root cultures of Ambrosia maritima, the production of thiarubrine A (11Dj) and two derivatives was increased by methyl jasmonate [279]. In the presence of methyl jasmonate, cell suspension cultures only produced the biosynthetic precursor pentaynene 11E and at a level 9.6-fold lower than hairy roots.
3. New Natural Products
3.1 Acetate-Derived Structural Subtypes
3.1.1 Plant Fatty Acids
From higher plants, the isolation and characterization of new acetylenic compounds regularly appear in print. As mentioned in the Introduction, hard work from many labs during the extended period from 1890 to 1985 provided an extensive library of acetylenic plant metabolites. Below, an attempt has been made to give comprehensive coverage of the novel and important structures reported since 1997. Compounds are organized by structure type or host plant taxonomy.
A diacetylenic 1,6-dioxaspiro[4.5]decane gymnasterkoreayne G (23A) was isolated from the aerial parts of Matricaria aurea (Asteraceae) and, along with four known gymnasterkoreaynes, was active in a transcription factor inhibitory screen of Gymnaster koraiensis leaf extract [280, 281]. Elevated levels of the NFAT transcription factor has been linked to autoimmune responses and inflammation. While 23B showed lower NFAT inhibition than the threo-diol-containing gymnasterkoreayne E (23C), the differential activities of 23B, 23C, and the epoxydiyne gymnasterkoreayne B (23D) illuminate the importance of the stereochemical arrangement of the oxygen functionalities in maximizing this inhibitory effect. Several of the gymnasterkoreaynes A-F exhibit anticancer activity (Fig. 27) [282]. The gymnasterkoreaynes are found with polyacetylenes 23F and 23E, the latter being their likely direct precursor (Fig. 27). Three new diacetylenic spiroketals (23G–I) were isolated from Plagius flosculosus and examined for cytotoxicity [283]. They were found to be less active against Jurat T and HL-60 leukemia cells than known compounds that contained two unsaturated rings. Reduced sensitivity of Bcl-2-overexpressing cells to these natural products suggested a mechanism of action involving the mitochondrial apoptotic pathway.
Fig. 27.
Proposed biosynthesis of acetylenic spiroketals found in Asteraceae species.
Acetylenic thiophenes are of interest for their insecticidal activities. Three new thienylacetylenes xanthopappins A–C (24A, 24C, 24F, Fig. 28) were purified from Xanthopappus subacaulis (Asteraceae) that have LC50 values of 0.53–0.95 μg/ml when UV-activated against 4th-instar larvae of the Asian tiger mosquito [284]. Known thiophenes 24B and 24D–E were found in the same species.
Fig. 28.

Acetylenic natural products from the Asteraceae species include thiophenes, polyols, glycosides, and coumarins.
Feeding experiments have indicated that C13 acid 8A, produced through several α- and β-oxidation chain cleavages, is the precursor to acetylenic coumarins in Asteraceae [12]. A series of carbanionic cyclization steps reminiscent of PK chemistry close the aromatic ring. Coumarins 24G–L have been isolated from Artemisia dracunculus and Chamaemelum mixtum [285].
A number of new acetylenic glucosides have been identified and it appears that such complexly modified fatty alcohols are appearing in the literature at higher frequency, possibly as a result of advances in compound isolation and structure elucidation (Fig. 28). Carthamosides A1 (24M) and A2 (24N) were found with 24O at low abundances in dried Carthamus tinctorius petals [286]. The simple glucosides bidenosides C and D (24O, 24P) were purified from the aerial parts of Bidens bipinnata [287]. Both Atractylodes lancea (so-jutsu) and Atractylodes ovata (byaku-jutsu) are important medicinal plants from Japan, China, and Korea and are often prescribed without distinction. The 1-O-β-D-glucopyranoside of (2E,8E)-2,8-decadiene-4,6-diyne-1,10-diol (24Q) was extracted from rhizomes of A. lancea [288]. In contrast, A. ovata produces an unusual β-D-apiofuranosyl-(1 6)- β-D-glucopyranoside linked at the alternate 8-hydroxyl site 24R, which together with the identified terpene natural products and phylogenic analysis supports the assignment of A. ovata as a unique species. Additionally, a number of esterified diacetylenic alcohols have been isolated from a related species. Atractyloyne (24S) and its 1-(3-methylbutanoyl) isomer 24T have been extracted in copious quantities from Atractylodes chinensis, a traditional digestive aid and diuretic [289]. The (R,R)-enantiomer of dehydrofalcarinol (24U) was reported for the first time, isolated from Artemisia monosperma, with the related C10 triol in free and β-glucopyranosyl forms (24V–W) [290, 291].
New compounds continue to be identified from Araliaceae species, particularly the ginsengs (Panax sp.) (Fig. 29). From the dried roots Panax quinquefolium, PQ-1 (25A) and 3-oxo-PQ-1 (25B), which possess uniformly R stereocenters, were uncovered [292]. Through the analyses of 25A, 25B, PQ-3 (25C), PQ-8 (25D), panaxytriol, panaxydol, acetylpanaxydol, and panaxydiol and synthetic stereoisomers, the growth inhibitory effectiveness of these metabolites was linked to the presence of a (3S)-chiral center. This unnatural configuration at C-3 decreased IC50 values by 10-fold. An indole-3-acetyl ester of (3R,8S)-falcarindiol 25E was purified with trienediyne 25F from flower bud extracts of Hedera rhombea [293]. Ester 25E inhibited the growth of dicotyledonous plants with effective concentrations (EC50) values in the range of 3 × 10−5 to 9 × 10−8 M; falcarindiol and 25F were ineffective. A dextrorotatory triol (25G) from Cussonia barteri related to antimycotic 25H was active against Gram-positive bacteria [294]. Three new polyols with immunosuppressive activity were located in fractions from Hydrocotyle leucocephala (Apiaceae) [295]. The saponin polyacetyleneginsenoside-Ro (25J) inhibited the replication of HIV-1 cells [296]. Falcarindiol (4C) was the most active constituent assayed in Angelica pubescens, a Chinese traditional treatment for arthritis, inhibiting 5-lipoxygenase with an IC50 of 0.4 μM [297]. The (3S,8S) and (3R,8S)-isomers of 4C were shown to have antimycobacterial activity and to be active against multi-drug resistant strains of S. aureus [298, 299]. Acetoxy modifications found in the known Apiaceae acetate 25I and oplopandiol acetate (25H) from Oplopanax horridus increase selectivity towards Mycobacterium spp.. Falcarindiol ethers with furanocoumarins, named japoangelols A–D (25J–M), are novel structures with the potential for enhanced contact toxicity [300]; both polyacetylenes and furanocoumarins in Apiaceae species are known to cause dermatitis. Among these metabolites, falcarindiol had greater in vitro inhibitory activity against human gastric adenocarcinoma cells than any of the ethers 25J–M [301].
Fig. 29.

Polyacetylenes from the plant families Apiaceae and Araliaceae.
Among the higher plants, an increasing number of novel structures have been reported from families other than Asteraceae, Apiaceae and Araliaceae. Two unusual long-chain tetraynoic acids (26A–B) with a pattern of unsaturation reminiscent of the stearolic acid pathway were found in the fruits and stems of Mkilua fragrans (Annonaceae) (Fig. 30) [302]. From the same family, Mitrephora celebica produces 26D and oropheic acid (26C), which are more saturated C18 acids that seem to be biosynthetically related to 26A–B [303]. Acid 26C has been isolated once previously [304]. The furan-containing very long-chain acids, hydrocarbons and esters 26E–H were separated from air-dried roots of Polyalthia evicata [305]. The methyl esters of 26E and 26F showed cytotoxicity against Plasmodium falciparum and M. tuberculosis, respectively.
Fig. 30.

Acetylenic secondary metabolites from the families Annonaceae and Lauraceae.
Pentagonia gigantifolia roots contained 5T (Fig. 7D) and 9-nonadecynoic acid [306]. Both compounds were effective in antifungal assays surveying fluconazole-susceptible and resistant Candida albicans strains (IC50 0.25–0.90 μg/ml; amphotericin B 0.23 μg/ml). Dihydrosphingosine out-competed the inhibitory effects of the acetylenic acids in a sphingolipid reversal assay, suggesting that interference with sphingolipid biosynthesis may be the mode of action of these simple acetylenic acids.
Minquartynoic acid (26I), of interest for its toxicity to the protozoans P. falciparum and Leishmania major [307], anti-HIV [308], and antitumor properties, was purified from O. amentacea with two related C18 acids (26J–K) (Fig. 30) [309]. Acid 26I has also been identified in two related Lauraceae species [310, 311]. Enediynoic acids with C-8,10 acetylenic bonds, and a triynoic acid with the additional triple bond at C-12 (26M–O) and 6-acetylenic acid (26L) were found in Heisteria acuminata bark cyclooxygenase bioassay-guided purification [312]. These compounds may be related through α- and β-oxidation chain-shortening, although 26L appears to be derived from a C17 precursor. Scurrula atropurpurea, a plant used in folk medicine as a cancer treatment, provided the known triynoic acid 26M with the more saturated C-10 analogs 26N–O [313].
There have been several reports of Lauraceae metabolites possessing terminal acetylenic groups. Ketone 26P was found with acids 26Q–R in the bark of Litsea rotundifolia (Lauraceae) [314]. Unripe avocado (Persea americana) fruit were found to contain the antimycotic 1,2,4-trihydroxyheptadec-16-yne (26S) with the corresponding saturated and 16-alkenyl triols [315]. Acetylene 26S has an (R,R)-configuration deduced from an acetonide derivative and showed activity as mosquitocide in excess of rotenone. Litsealactone B (26T) was extracted from leaves of the evergreen Litsea japonica [316].
3.1.2 Acetylenic Fatty Acids of the Bryophytes
The first brominated fatty acids from a terrestrial organism were reported in 1999 (Fig. 31A) [317]. The lichen Acorospora gobiensis grows in salt-laden soil surrounding brackish Lake Issyk-Kul in the Tian Shan mountains produces two compounds, 18-Br-18:25t,15a,17t (27A) and 18-Br-18:05a,7a,17a (27C). A further six unusual brominated acids (27B, 27D–H) were later identified from a mixture of lichens at the same locality [318]. Haloperoxidases, such as those operative in the lichen Xanthoria sp., may mediate these brominations. Electrophilic bromination and trapping by hydroxide (or water) is a reasonable, but untested, proposition that has been made to account for two bromoallenes 27I–J that occur in A. gobiensis (Fig. 31B) [319]. This idea may be extended as a route for halogen introduction into the previously reported set of terminal bromoacetylenic compounds and may be important for the production of many brominated marine polyacetylenes (see Section 3.1.4).
Fig. 31.

A. Brominated acetylenic and allenic fatty acids from lichen. B. Hypothetical biosynthetic pathway to 1-haloacetylenic fatty acids in these organisms [319].
3.1.3 Fungal Fatty Acids and Polyketides
Few fatty acid derived acetylenes are known from Ascomycota, but in recent years they have been the source of several unique pharmacophores (Fig. 32). Phomallenic acids A–C (28A–C) were identified from a Phoma sp. (Ascomycota) by a novel whole-cell differential screening assay with Staphylococcus aureus for cell-permeable FabF/H fatty acid synthase inhibitors [320]. Of these promising allenic antibiotics, C18 28C was the most active compound with 20-fold higher potency than thiolactomycin or cerulenin [321]. While the biosynthetic origins of 28A–C have not been investigated, stereospecific formation of the (R)-allene is expected to be enzymatic.
Fig. 32.

Polyacetylenes including the phomallenic acids, 07F275 and the xerulins have been recently identified from fungi.
The 3,4,5,6-tetrahydro-6-hydroxy derivative of mycomycin, antibiotic 07F275 (28D) was purified from submerged cultures of a filamentous fungus originating on a Panamanian tree bark [322]. As had been observed with nemotinic acid and mycomycin, this antibacterial and antifungal compound was too unstable to isolate in a pure form.
Three of the yellow pigment components 28E–G from the basidiomycete Xerula melanotricha cultures have been investigated as 3-hydroxy-3-methylglutarylCoA (HMGCoA) synthase inhibitors. Xerulin (28E) and dihydroxerulin (28F) synergistically inhibit the synthase in vitro and reduce cholesterol biosynthesis in human cervical cancer cells HeLa S3 [323]. A definite mechanism of action is not known; other γ-alkylidenebutenolide natural products with long hydrocarbon chains have been observed to have similar activities [324].
An unusual C10 2,3-dihydroxyacid acetylenic acid (28H) was purified from Laetiporus sulphureus var. miniatus (Basidiomycota) [325]. Media broth for Clitocybe catinus yielded three new acetylenic alcohols 28I–K including a very-short chain C6 acetylenic diol [326].
3.1.4 Marine Fatty Acids and Polyketides
Sponges, in the phylum Porifera have yielded a diverse array of oxygenated and halogenated lipids with likely PK or fatty acid origins. Potently bioactive acetylenic acids with high molecular weights have been found in many members of the genera Petrosia and Xestospongia. Characteristic of these molecules are chain lengths ranging from C44 to C47 that are decorated with a large number of hydroxy, keto, acetylenic and non-conjugated cis-/trans-alkenes. Most Petrosia polyacetylenes are highly cytotoxic against a range of tumor cell lines and have been observed to possess RNA-cleaving ability and to inhibit PLA2, Na+/K+-ATPase, reverse transcriptase and DNA replication. Interference with DNA synthesis has been mentioned to be a likely cause of their cytotoxicity [327].
Atlantic and Mediterranean Petrosia sp. grow in illuminated water with the symbiotic alga Aphanocapsa feldmannii and solitary in dark caves where they are preyed upon by the nudibranch Peltodoris atromaculata [328]. Regardless of the presence of the alga, similar types of polyacetylenes are detected, the majority of which are very-long chain C46 unbranched polyols, although the distributions of specific metabolites are variable. Petroformynes 1–8 and isopetroformynes (29A–T) have been isolated from geographically distant colonies of Petrosia sponges (Fig. 33) [328–333]. In individuals isolated from the North Atlantic Ocean, all hydroxy-bearing stereocenters examined possessed the (S) configuration (not shown on structures). When subjected to a brine shrimp assay, these compounds had intense toxicity with LD50 values of 0.002–0.12 μg/ml [330]. C31 Petroformynic acid (29U) was isolated from white Petrosia ficiformis [333] and was similar to a compound previously reported with an additional six methylene groups and two double bonds in the central undefined segment [328]. The petrocortynes A–F (30A–C, 30I, 30K–L, Fig. 34) from the Korean South Sea are distinguished from the petroformynes by the presence of a 1,4-dialkyn-3-ol functionality in mid-chain and, with the exception of 30B, bear (R)-configurations at all assigned asymmetric centers [334, 335]. The identification of the dideoxypetrosynols, petrotetrynols (30H, 30R–U, 30W), petrotriyndiol (30V), and the homologous and epimeric petrocortynes (30D–G, 30J, 30M, 30O, 30Q) greatly expanded the number of observed alcohol configurations, chain lengths, and levels of desaturation (Fig. 34) [327, 336–338], suggesting that this class of metabolites may be assembled from available unsaturated fatty acid or PK precursors and subjected to environmentally controlled or subspecies-dependent hydroxylation. It was proposed by Shin that hydroxide attack on the C-21 or C-27 alkenes followed by hydride abstraction was the origin of petrocortynes E-H (30I, 30L, 30N, 30P) [327]. A chemically more facile hypothesis is that a lipoxygenase or heme-based oxygenase activity, analogous to that described earlier from algae (Section 2.3.1.3), is involved. Corticatic acids A–C (31A–C) were reported in 1994 from Petrosia corticata (Fig. 35) [339]. 31A and the related acids D and E (31D–E) have potential as selective antifungal agents as they were found to inhibit yeast geranylgeranyltransferase type 1, which has only 30% sequence homology to the human enzyme [340]. Acids 31A–C bear great resemblance to the petrocortynes when compared at the C1-ends, but differ in the locations of the internal unsaturation (C-17 to C-20). The 1,4-diene is a potential site of reactivity in 31E, which is a hypothetical substrate for acetylenase and allylic hydroxylation reactions leading to the other corticatic acids. Aztèquynols A and B (31F–G) were found to possess an 18-methyl branch and a fully saturated central region [341]. Callyspongynic acid (31H), a specific inhibitor of α-glycosidase (IC50 0.25 μg/ml), contained the α, β-acetylenic acid and a 4-en-1-yn-3-ol termini as was observed in 31A–B and 31D–E. However, the stereochemistry of the alcohol was inverted [342].
Fig. 33.
The petroformyne family of sponge secondary metabolites.
Fig. 34.

The petrocortynes family of sponge natural products and other Petrosia ssp. polyacetylenic alcohols.
Fig. 35.

Very long-chain acetylenic acids, including the corticatic acids (31A–E) and nepheliosyne A (31I), have structural similarities suggesting the involvement of common biochemical activities, including terminal oxidases. The size and symmetrical nature of di- and tetrahydroxyacetylenes 31Q and 31R support the involvement of hypothetical condensation reactions of long-chain fatty acid precursors.
A series of C45 to C47 compounds were purified from a Korean Petrosia sp. [327, 343]. With its C47 linear chain, nepheliosyne A (31I), isolated from the marine sponge Xestospongia sp., is one of the longest marine acetylenic acids to date (Fig. 35). It had much weaker in vitro cytotoxicity against L-1210 lymphoma and human epidermal carcinoma KB cells (IC50 >20 μg/mL) than other Petrosia polyacetylenes [344]. Structurally related, highly oxygenated compounds haliclonyne 31J extracted from a Haliclona sp. sponge [345] and osirisynes A–F (31K–P) from Haliclona osiris have been reported [346]. The α-acetylenic carboxylic acid functionality, only seen previously in the corticaric acids [339], indicates a distinctive biogenetic route.
Reniera fulva, a related species to the Petrosia sp. based on ribosomal RNA analysis [347], produces the C2 symmetric metabolite fulvinol (31Q, Fig. 35). This structure is strongly suggestive of a dimerization of two identical lipids that have the same half-chain length as the unoxygenated segments of petrocortynes A and B. Petrosynol (31R), which also a symmetric metabolite, and petrosolic acid (31S) have been isolated from a Red Sea Petrosia sp. [348]. Petrosolic acid is notable because C44 carboxylic acids are relatively rare and it inhibited DNA polymerase activity of HIV reverse transcriptase. The relatively short-chain polyol 31R is an inhibitor of sea urchin cell division and does not contain the dominant 1,4-diyn-3-ol core but, like 31Q, is intriguingly symmetric.
The biogenesis of the petrosynes and related polyacetylenic polyols has not been deduced, but portions of the mycolic acid biosynthetic pathway may provide hints toward their genesis (Fig. 36). Mycolic acids are very long-chain fatty acids produced by specialized elongation and condensation reactions of common long-chain lipids, formed by a Type I FAS, in mycobacteria. Unfortunately, experiments to date have given contradictory results impeding the development of a consensus model for their biosynthesis [349]. Early studies showed the inhibition of corynomycolic acid production by avidin in cell-free extracts of Corynebacterium diphtheriae, which the authors suggested supported the involvement of a biotin-dependent carboxylation of palmitate [350]. For dehydrocorynomycolate (32B), a Claisen condensation of the α-anion of the activated C16 thioester with a second palmitate moiety by a 3-ketoacyl synthetase creates the (2R)-C32 ketone 32A (Fig. 36A). Enzymatic reduction to the (3R)-alcohol 32B subsequently occurs in vivo, although C. diphtheriae extract was incapable of this transformation. Later studies of Bacterionema matruchotii that did not show avidin inhibition cast doubt on the universality of the carboxylation hypothesis [351]. Deuterium labeling studies with 2,2-dideuteropalmitate resulted in the isolation of [2,4,4-d3]corynomycolate that is unlikely to be formed by a carboxylative process unless deuterium can be returned to the alkyl chain at C-2. Most recently, gene deletion studies in Cornyebacterium glutamicum showed that gene clusters accD2 and accD3 are involved in 26:0 carboxylation [352]. Two homologous proteins AccD4 and AccD5 from M. tuberculosis involved in α-mycolic acid formation are known to mediate the carboxylation of 26:0-CoA, which occurs in advance of β-carboxylated acyl transfer to the PPB domain of the specialized polyketide synthase pks13 [353]. While it lies to others to resolve the differences between the individual organisms, it is undeniable that carboxylative activation of acyl chains leads to fatty acid coupling in certain species.
Fig. 36.

A. Mycolic acid biosynthesis involves a specialized condensing enzyme system initially furnishes a 2-alkyl-3-ketoacid [350, 352, 353]. B. Expanding upon the Fleming-Harley-Mason hypothesis, the carboxylation of a C16–C18 acetylenic fatty acid may be coupled with an acceptor acyl derivative to assemble the marine PKs.
In the case of the Petrosia polyacetylenes and related marine PKs, a ketoacid analogous to those proposed in the C. diphtheriae study would be expected to be in equilibrium with the enol tautomer 32C (Fig. 36B). Conversion of the enol intermediate to a species with a good leaving group, perhaps through phosphorylation (e.g., 32D), provides a mechanistically viable path to an acetylenic bond. Species analogous to 32D has been shown through model compounds by Fleming and Harley-Mason to eliminate to an acetylenic acid (see also Section 2.2.1) [28, 354]. We propose that an extension of the Fleming hypothesis uses condensing units produced by standard intermediary metabolism and allows the installation of acetylenic bonds within the very long-chain metabolites.
Triangulynes A–H (33A–H) and triangulynic acid 33I were characterized from the marine sponge Pellina triangulata (Fig. 37) [355]. A differential cytotoxicity profile for the triangulynes was similar to the C43 bis-enynol vasculyne from Cribrochalina vasculum, but not the C20–C23 enynols from an earlier collection of the same organism. Lembehyne A 33J, derived from an Indonesian Haliclona sp. sponge, has a structure suggestive of PK origins. This linear C36 diacetylenic alcohol induces neuritogenesis in Neuro 2A neuroblastoma cells resulting in bipolar neuritis [356]. A photoaffinity probe based on 33J, [125I]-azido-LB-18, specifically labeled in vivo a 30-kDa protein in Neuro 2A cells that is anticipated to be the target of 33J [357]. The presence of a (3R)-propargylic alcohol on a minimally C18 alkyl chain were necessary for strong neuritogenic activity [358].
Fig. 37.

Other very-long chain marine polyacetylenic alcohols and acids.
Shorter chain metabolites that have been subsequently uncovered may provide insight into the biosynthetic course. Durissimols A and B (34A–B, Fig. 38) were isolated from Strongylophora durissima (a genus recommended for amalgamation with Petrosia [359]), the second compound showing cytotoxicity against human gastric tumor cells at concentrations of 10 μM [360]. Hydroxylation at the 6-position in a compound related to 34A may yield the strongylodiols A–J (34C–L), which were isolated from an Okinawan Petrosia (Strongylophora) sp. as enantiomeric (6R:6S) mixtures ranging from 97:3 to 69:31 for 34L and 34G, respectively [361, 362]. It is uncommon to isolate natural products as enantiomeric mixtures; in this case, it is not yet known whether the mixture is an isolation artifact or reflective of the enzymatic activities. The flux of strongylodiol metabolites may be regulated by diastereomeric interactions of epimeric compounds with subsequent enzymes. Strongylodiol E (34G) is likely desaturated to related diols 34I (60 %ee) and 34H (92 %ee), the latter appearing to be selectively formed by oxidation of the (R)-epimer. The timing of methyl branching is not obvious.
Fig. 38.
Marine organisms occasionally accumulate relatively short-chain acetylenic metabolites. The strongylodiols are novel, as they are produced as epimeric mixtures at C-6, and the peroxyacarnoic acids contain a distinctive 1,2-dioxane.
Peroxyacarnoic acids A and B (34M–N) were isolated from the Red Sea sponge Acarnus cf. bergquistae found in Eritrea (Fig. 38) [363]. Based on the direction of the specific rotation, an absolute configuration of (3S,6R) has been assigned to 34M–N. The unusual 1,2-dioxane rings of these chiral structures may be formed by a cyclooxygenase-like reaction, where closure of the peroxide occurs at a ketone. Examples of COX-1 and COX-2 have been cloned and heterologously expressed from the corals Gersemia fruticosa and Plexaura homomalla [364, 365]. Amazingly, a pair of R- and S-stereospecific P. homomalla COX-2 isozymes showed 97% identity at the amino acid level and had seven highly conserved residues when compared to known cyclooxygenases; a single substitution of Ile-349 for Val in the substrate binding channel switched the stereochemistry from 15R to 15S for 70% of the prostaglandin produced [366].
Halogenated C9–C18 fatty acids have been isolated from geographically isolated Xestospongia species found in Australia and the Red Sea (Fig. 39). The C18-bromodiacetylenic acid 35A was characterized in isolates of Xestospongia testudinaria from Australia and Mayotte (Comoros Is.) and a Xestospongia sp. from the Red Sea [367–369]. Additionally, X. testudinaria yielded four additional C16–C18 bromofatty acids 35B–E and C9 fatty acid 35F, which is a possible degradation product of 35C. The diacetylene-containing fatty acid 35G has been co-isolated with the structurally related trans-enyne 35A [368]. A later study found a series of brominated fatty acids with acetylenic groups at the 5, 7, 13, 15, and 17 positions (35D, 35H–K, 35N–O) [370]. In contrast to plant lipids, these brominated natural products contained exclusively trans-alkenes. While the close associations of marine bacteria and animals often leave the origins of marine secondary metabolites undefined, the localization of the internally brominated C24–C26 fatty acid esters 35P–R in sponge cells has been ascertained in the sponge Amphimedon terpenensis by Ficoll density gradient fractionation [371, 372]. These compounds may, nevertheless, originate from bacteria ingested by the animals since their hydrophobic nature would make bacterial excretion and reabsorption by the sponge unlikely. In either case, these unusual brominated Δ5,9-diunsaturated fatty acid derivatives may be formed through alkene bromination or alkyne hydrobromination reactions. It can be envisioned that elongation of C20 and C21 fatty acids may be followed by chain-length specific Δ5-desaturation to provide the precursors. Oceanapia, a genus closely related to Xestospongia, has yielded a C14 fatty acid containing an ene-yne-ene-yne conjugated system [373]. A sponge isolated in the Philippines Diplastrella sp. produced a collection of brominated acetylenic diols that are similar in many regards to both the Xestospongia bromoacids and Callyspongia sp. polyacetylenic diols and triols (vide infra). Diplynes A–E (35W–X, 35Z, 35AB, 35AD) were located by an HIV-1 integrase inhibition assay and purified with diplyne A 1-sulfate (35Y), diplyne C 1-sulfate (35AA), and deoxydiplyne D sulfate (35AC), although the non-sulfated compounds were later found to be inactive [374].
Fig. 39.

A wide array of bromoacetylenic acids have be uncovered in marine sponges.
A distinct group of chlorinated dienetriynes alcohols and esters 36A–J have been isolated from the Pacific sponge Haliclona lunisimilis (Fig. 40) [375]. These compounds appear to be fatty acid derivatives that result from β-oxidation of cis Δ9-alkene-bearing C18 unsaturated fatty acids. The variations in chlorodiene stereochemistry are consistent with long-lived resonance-stabilized cations present during electrophilic chlorination at the terminal position. Acetylenes 36A–B, 36D–F, and 36I–J together with ketones 36K and 36L had been earlier found in a nudibranch Diaulula sandiegensis, collected in the same vicinity, that feeds on the sponge. The consumption and likely oxidation of the secondary alcohols to ketones, which are absent in the sponge, fits with the oxidation of foraged metabolites by the nudibranch to yield more potent defensive excretions.
Fig. 40.

Chlorinated polyacetylenic acids produced by Haliclona lunisimilis may be consumed and modified by the nudibranch D. sandiegensis to augment defensive secretions.
A series of C12–C17 diacetylenes, named montiporic acids and esters (37A–O), have been procured from the methanolic extract of scleractinian coral with the montiporynes A–F (37P–U) [376, 377]. The network of 2,4-diynes from the Montipora sp. coelenterate is suggestive of allied biogenetic origins involving α-oxidation and ω chain-oxidation outlined in Fig. 41A. During reproduction, these hermaphroditic corals release convoluted bundles of sperm and eggs, the latter release polyacetylenic alcohols that are chemoattractants for sperm.
Fig. 41.

A. The diacetylenic montiporic acids appear to be formed by a series of α- and ω-oxidations analogous to terrestrial plants and fungi. The timing of the chain modifications is indeterminate.
The acetylenic 3-alkylpyridines hachijodines F and G (38A, 38C), xestamine A (38B), niphatyne A (38D), and bear long alkyl chains terminated by N-methoxy-N-methylamino or N-methylhydroxylamino substituents and are found in the Xestospongia and Amphimedon sponges (Fig. 42A) [378–380]; niphatesine H 38E was subsequently isolated from Niphates sp. [381]. The 3-alkylpyridines contain isolated acetylenic and cis-enyne groups distributed along the alkyl chain and have been found with the corresponding oximes. While not directly examined in sponges, the hydroxylamines are expected to be precursors to the corresponding oximes, based upon analogies to cyanogenic glucoside, glycosinolate, and camalexin biosyntheses in plants [382–384]. Cytochrome P-450 isozymes CYP71, CYP79, CYP83 oxidatively decarboxylate amino acids to oximes, as exemplified by linamarin and lotaustralin in cassava [385]. The hachijodines were found to have substantial cytotoxicity against P388 murine leukemia cells (1.0 μg/mL). Recently, three acetylenic 3-alkylpyridine glycosides and an alkene-containing variation, coined the amphimedosides (38F–I), were extracted from Amphimedon sp. [386]. β-Glycosylation has little effect on the cytotoxicity of the 38F–I when compared to their aglycons. A biogenetic proposal exists for pyridine derivatives in sponges from the order Haplosclerida, in which the 3-alkylpyridine is formed by the condensation of an α, γ-alkanedial, acrolein, and ammonia [387]. We feel that an alternate cyclization proposal, shown in Fig. 42B, involving the addition of a formaldehyde-derived iminium ion with the tethered enol equally accounts for the formation of the 3-alkylpyridines. The involved intermediate could originate either as a PK or by the oxidation of an unsaturated fatty acid. A mixture of the unusual diamine alkaloids clathculins A–B (38J–K) was isolated from the brittle pink Indo-Pacific sponge Clathrina aff. reticulum [388].
Fig. 42.

A. Alkaloids from the genera Xestospongia, Amphimedon, Niphates, and Clathrina. B. The biosynthesis of the acetylenic 3-alkylpyridines can be rationalized by a Mannich reaction involving a formaldehyde-derived iminium ion. The hydroxylamino termini are presumed to have origins similar to plant glycosinolates.
Apparently formed by α-oxidation, (2S)-methoxy fatty acids (Fig. 43A) have previously been isolated from the sponge Higginsia tethyoides [389]. Members of the genus Stelletta have produced interesting methyl-branched acetylenic monoglycerides (39A), lysophosphatidylcholines (39B), and free fatty acids (39C–F) [390, 391]. Since acetylenic fatty acids have not been observed to accumulate in membrane lipids in plants, it is perhaps not surprising that 39A–B were very minor sponge metabolites.
Fig. 43.

A. α-Methoxy fatty acids found in sponge species. B. Acetylenic 1-alkenylglycerols are likely furnished either by the exchange of acetylenic alcohols into 1-acyl DHAPs by alkyl dihydroxyacetonephosphate synthase or the direct desaturation of ether lipids. C. In terrestrial organisms, the desaturation to 2-acyl-1-alkylphosphatidylethanolamines involves the action of a Δ1-desaturase [396]. An analogous dehydrogenating system is expected in marine sponges. It has been demonstrated that 1-alkylglycerol derivatives can be cleaved by triplet oxygen producing toxic α, β-acetylenic aldehydes [394].
Distinct from the acylglycerolipids, acetylenic plasmenylglycerolipids are occasionally major lipid components distributed through several orders of marine animals (Fig. 43B). In the New Zealand marine sponge Petrosia hebes, diacetylenic 1-alkenylglycerols 39G–H comprise up to 7% of the membrane lipids [392]. These compounds, which unlike the C30–C55 acetylenic alcohols from other Petrosia sp. (order Haplosclerida) are inactive against leukemia cells, are related to the 1,5-dien-3-yne ether lipid raspailynes from Raspailia pumila and Raspailia ramosa (order Axinellida) [393]. In Raspailia spp., (1Z,5Z)-, (1E,5Z)-, and (1Z,5E)-dienynes are readily degraded by triplet oxygen to 1-formylglycerol and the 4-en-2-ynyl aldehydes (Fig. 43C) [394], which are reminiscent of the toxic, reactive Caulerpa terpene dialdehydes (Fig. 21). A subsequent report expands the substitution patterns for Petrosia sp. to include linear and methyl-branched (Z,Z)-1,5-dien-3-ynes (39I–K) and (Z)-1-en-3-ynes (39L–N) [395]. Biosynthetic details for these intriguing compounds are scarce. In mammals, a mixed function Δ1-desaturase has been reported which uses NADPH, Mg2+, ATP, and free cytochrome-b5 to oxidize 2-acyl-1-alkylglyceroethanolamine to acylplasmenylethanolamine (Fig. 43C) [396]. Whether a divergent set of front-end desaturase and acetylenase enzymes that act specifically on O-linked glycerolipids are operative or an alkyldihydroxyacetone phosphate synthase incorporates acetylenic fatty alcohols into 39O during the synthesis of acetylenic ether lipids 39G–N remains to be determined.
Other sponges from the order Haplosclerida, exemplified by the Japanese sponge Callyspongia truncata, are rich sources of polyacetylenic alcohols that have core structures distinct from the 1,4-pentadiyn-3-ols (and their derivatives) found in Petrosia spp. (Fig. 44). Callyspongynes A and B (40A–B), as major (C33) and minor (C35) components, were purified from Australian sponges and found to have an absolute configuration of (3R) [397]. Callypentayne (40C), callyberyne B (40D), and callytetrayne (40E) are simple hydrocarbons, which is unusual for marine polyacetylenes [398, 399]. The hypothesis has been put forward that these Callyspongia sp. C21 enynes are produced by the decarboxylation of C22 carboxylic acids [398]. Callydiyne (40F), a symmetric C16-bis(enyne), had been reported earlier [400]. The first acetylenic lipids found in the phylum Chordata (40G–J) are structurally related to 35V [401]. Tsukamoto et al. identified five pentaacetylenic triols (40K–O) which both disrupted settlement of barnacle larvae and induced metamorphosis of larvae for the ascidian Halocynthia roretzi [399]. Such secondary metabolites with antifouling characteristics may provide an alternative to the persistent organotin toxins. A series of C22 alcohols, callyspongenols A–C (40P–R) were identified by a P388 cytotoxicity screen [402]. Sulfated acetylenic alcohols (35Y, 35AB, 35AC) have been isolated both from Diplastrella spp. and C. truncata (Fig. 39) [403]. Callyspongins A and B (35U–V) specifically interfered with oocyte fertilization membrane formation at concentrations of 6.3 and 50 μM (MIC), respectively, without affecting embryo and egg development [403]. The stereochemistry of 35U matched that of the known non-sulfonated metabolite siphonodiol 35T [404]. The more highly saturated C24 enyne callysponginol sulfate A (40S) was found to be a membrane type 1 matrix metalloproteinase inhibitor (Fig. 44) [405]. A second α-hydroxylated carboxylic acid, aikupikanyne F (40T), alcohols (40U–V) and hydrocarbons (40W–Z) were isolated from a Red Sea Callyspongia sp [406].
Fig. 44.

Callyspongia and Diplastrella spp. produce acetylenic alcohols and sulfates absent the 1,4-pentadiyn-3-ol core of the petroformyne and petrocortyne metabolites.
A range of linear and branched C16 to C33 metabolites containing a 2,4-diyn-1-ol moiety that suggests common biogenetic origins have been isolated from a range of sponges (Fig. 45). Durissimol B (41A) was detected in a screen for cytotoxicity to human gastric tumor cells [360]. The small branched metabolite durissimol A (41C) occurred in the same organism, S. durissima with the earlier reported compounds reneirin-2 (41D) and 18-hydroxyreneirin-2 (41E) [360, 407]. Pellynol F (41B) was isolated with pellynols G and H (41F–G) [408]. Ketone 41G is formed by the ready oxidation of petrocortynes F–H and 41F [335, 408].
Fig. 45.

Marine diacetylenic propargyl alcohols and alkamides.
Alkamides, while widespread in plants, are relatively uncommon from oceanic species. Callyspongamide A (41H) was found in the MeOH/CH2Cl2 extracts of Callyspongia fistularis (Fig. 45) [409]. The C17 enediynoic segment of 41H is surprisingly consistent with other Callyspongia metabolites. In the cases of the malyngamides A–D [410, 411] and I [412] and hermitamides A–B [413], a group of 7(S)-methoxytetradec-4(E)-enoic acid and 7-methoxy-9-methylhexadec-4(E)-enoic acid amides, it has been proposed that the compounds originate from the consumption of L. majuscula, or epiphytic cyanobacteria associated with algae, by specialist sea hares. It would be interesting to determine whether C. fistularis has a NRPS or amide synthetase activity that produces the amide de novo or whether the sponge sequesters metabolites produced by a cyanobacterial partner. The simplicity of the phenethylamide in 41H is quite different from the generally non-aromatic and halogenated amine moieties in marine cyanobacterial amides [414]. Taurospongin A (41I) is, to our knowledge, a unique acetylenic lipid containing a taurine amide, a methyl-branched trihydroxydecanoic acid, and C25 dimethylene-interrupted acetylenic acid. Isolated from a Hippospongia sp. sponge, 41I was found to be a potent inhibitor of DNA polymerase β and HIV reverse transcriptase [415].
Trichloromethyl groups are found in a number of cyanobacterial natural products, where they are the apparent result of free-radical chlorination of the pro-(S) methyl group of leucine and its derivatives. Four simple perchlorinated acetylenic acetamides (42A–D) isolated from Microcoleus lyngbyaceus are remarkable due to their lack of branching (Fig. 46) [416]. It remains to be determined whether these compounds are produced using isopropyl halogenation chemistry common to barbamide [230] and herbacic acid [417] followed by demethylation or, alternatively, through repetitive chlorination of methyl termini on linear alkanes. A putative precursor to these compounds, 6-acetamidotridecane, was purified in the same study. Unsaturated acetamides with chlorovinyl and dichlorovinyl groups known as the taveuniamides A–K (42E–O) were isolated from a mixture of blue-green algae including Schizothrix spp. and L. majuscula collected in Fiji [418]. Given the two similar groups of compounds, haloalkenyl termini for 42E–O and the jamaicamides are hypothesized to form by the dehydrohalogenation of the 1,1,1-trichloroethyl groups.
Fig. 46.

Certain chlorinated natural products result from the free-radical halogenation of methyl groups. The acetylenic acetamides are presumed to arise by a similar path followed by the elimination of HCl.
Acetylenic glycosides are not exclusively plant-derived; several glycosylated marine PKs have been reported (Fig. 47). Powerfully icthyotoxic and hemolytic toxins prymnesin 1 and 2 (43A–B) were isolated from the red-tide algae Prymnesium parvum [419, 420]. These exceedingly complex PKs contained one to three glycosylation sites. Even though 43A–B are presumably enzymatically cyclized, very recent experiments addressed a long-standing problem concerning the biosynthesis of such polyether ladders [421]. The solvent water was found to be critical in guiding ring size selectivity for the tandem epoxide ring openings initiated from a single tetrahydropyran template. Callipeltosides A–C (43C–E) are chlorocyclopropanated 14-membered macrolides appended to highly oxygenated sugars and aminosugars through α-O-glycosidic bonds [422, 423]. Methyl-branched sugars are often microbial in origin; O-methylevalose, the sugar portion of 43D is similar to sugar from Micromonospora carbonaceae. 43C–E may be secondary algal or bacterial products accumulated by the host sponge. The 13-membered peptidomacrolide spongidepsin (43F) was characterized from the Vanuatu sponge Spongia sp. that has 0.42–0.66 μM IC50 values in a cancer cell cytotoxicity assay [424].
Fig. 47.

Structurally novel marine PKs (43A–E) expand the distribution of glycosylated acetylenic metabolites from terrestrial to marine organisms. Other PK motifs, shown in 43F–G appear to be rare [425].
Aromatic PKs are not common from cyanobacteria (Fig 47). Nostocyclyne A (43G), an aromatic cyclophane was procured from an algal growth on the floor of an Israeli greenhouse [425]. The suggested folding pattern for this likely PK is shown (43H). The acetogenins from Laurencia spp. and related red algae contain an abundance of acetylenic and other unsaturated groups. While not covered here, Erickson has described research in this area, including biosynthetic aspects [426], and updates on recent isolates have been made in a series of reviews on marine natural products [427–433].
3.2 Acetylenic Lipopeptides and Cyclodepsipeptides
L. majuscula, a marine blue-green alga, is the most prodigious cyanobacterial source of bioactive natural products currently known. This ubiquitous organism is found in a variety of habitats and morphologies, and the distribution of natural products can vary markedly depending upon its source. A recent report noted that 75% of the 110 known fatty acid, alkaloid and pyrrole metabolites from this organism have a detectable biochemical activity [434].
Lipopeptides and cyclodepsipeptides have mixed PK/FA and NRPS origins. Apramides A–B (44A–B) and D–E contained variably methylated 7-octanoic acid termini and had negligible bioactivity [435]. The related planar metabolites dragomabin (44C) [436], carmabin (44D) [437], and dragonamides A–B (44E–F) [436, 438] are also known; 44A–C were isolated with 7-alkenoate and 42-keto lipid modifications, respectively. α-Methylation of the fatty amide group was (S) in each case (the original assignment for 44E was corrected by total synthesis). Amides 44C–E inhibited the W2 chloroquine-resistant strain of P. falciparum but 44F was inactive, which suggested that an aromatic amino acid was required for antimalarial activity [436].
Of particular note, a family of cyclodepsipeptides has been identified from L. majuscula that contain residues derived from short-chain acetylenic fatty acids incorporated in a framework constructed with interesting N-methyl- and D-α-amino acids, β-hydroxy- and β-amino acids, and α-hydroxyacids. These compounds are produced by NRPS gene clusters and undergo an intramolecular cyclization controlled by the last functional domain, a thioesterase [439]. Palau’amide (44G) contains a complex 5,7-dihydroxy-2,6-dimethyldodec-2-en-11-ynoic acid residue, which is likely of PK origins [440]. This complex acid chemically appears to be derived from a 5-hexynoic acid starter unit that is elongated by three acetyl-CoAs (or an admixture with propionyl-CoA). The terminal acetylenic fatty acid is a potential biochemical link between palau’amide and ulongapeptin (44H) [441], which both originate from a Palau Lyngba strain, and other L. majuscula metabolites. The progression of fatty acid oxidation states from alkyne to alkane in the trungapeptins A–C (44I–K) [442] and antanapeptins A–D (44L–O) [443], as well as the alkene/alkyne metabolite pairing in pitipeptolides A–B (44P–Q) [444] suggest that L. majuscula produces hexanoic acid which is elongated by a PKS, desaturated and acetylenated, although the sequence of these steps is not clear.
Components, such as 2,2-dimethyl-3-hydroxy-7-octynoic (Dhoya) and 2,2-dimethyl-3-hydroxy-7-octenoic acid (Dhoea), are distinct and pervasive among marine natural products originating from cyanobacteria; consequently, these unusual acetylenic acids have been proposed as ecological markers [445]. Burja et al. authored a good review of cyanobacterial sources of bioactive metabolites and perspectives on biotechnology [414].
While the non-acetylenic cyclodepsipeptides often appear in marine sponges, the large C2-symmetric cyclodecapeptide onchidin (44R), containing two 3-amino-2-methyloct-7-ynoic acid residues, was extracted from a pulmonate mollusk Onchidium sp. highlighting the pervasive qualities of compounds produced by cyanobacteria [446]. Georgiamide (44S) was found to contain the 2,2-dimethylated acid Dhoa [447], as do yanucamides A and B (44T–U) [444], kulolide-1 (44V) [448] and kulokainalide-1 (44W) [449]. The latter two compounds were sequestered by the bubble-shell mollusc Philinopsis speciosa, which consumes the sea hare Stylocheilus longicauda that, in turn, eats blue-green algae and presents a vivid molecular picture of a marine food chain. Sea hares collected in Papua New Guinea contained dolastatin-17 (44X), an acetylenic “dolayne” β-amino acid-possessing member of a pharmacologically important group of antineoplastic agents [450]. Guineamide C (44Y) contains the β-aminoacid 2-methyl-3-aminooct-7-ynoic acid (Maoya) [451]. The unexpected presence of both L-N,O-dimethyltyrosine in 44Y and its D-enantiomer in guineamide D is notable. The large 14-residue cyclic lipopeptide malevamide C (44Z), purified from Symploca laete-viridis, was constructed from 3-amino-2-methyl-7-octynoic acid [452]. Lyngbya semiplena was found to contain the acetylenic wewakpeptins A–D. One of the most promising of these, wewakpeptin A (44AA) was very active against human lung cancer cells (LC50 0.4 μM) [453].
3.3 Acetylenic terpenoids
Acetylenic terpenoids are found both in terrestrial fungi and marine organisms. Freelingyne (45A) is an example of a small group of furanosesquiterpenes of plant origin containing a γ-alkylidenebutenolide moiety (e.g., xerulin, Fig. 32). The furan ring is likely produced by the reduction/dehydration of a lactone precursor. While two metabolites supporting this biosynthetic progression are known, the origin of the acetylenic bonds in this unique group of sesquiterpenes remains an open problem (Fig. 49) [454]. Hemiquinone 45B was isolated from the culture broth of SDEF 678, an ectotrophic fungus associated with the roots of an Australian grass [455]. This hemiquinone had antifungal activity and incompletely characterized cyclohexene-1,4-diols presumed to be structurally related to 45B that were extracted from the SDEF 678 cultures promoted the growth of barley seedlings. Generally, isopentenynyl quinoids have low antifungal activity. Weakly phytopathogenic serialynic acid (19N, Fig. 23) has been extracted from the culture agar of an Antrodia serialis, a terrestrial basidiomycete [456]. The trichloroquinone mycenon 19O was purified from the culture broth of Mycena sp. TA 87202 and identified by X-ray crystallography (Fig. 23) [457]. This compound is a specific competitive inhibitor of isocitrate lyase. While uncommon in metabolites of Basidiomycete origin, 19O contains a chlorovinylidene unit. Structurally, this haloalkene functionality is more prevalent in marine compounds (e.g., jamaicamide) [223]. Compound 19O selectively inhibits isocitrate lyase in castor seeds (Km 5.2–11.2 μM).
Fig. 49.

Acetylenic modification of the terpenoids appears to occur on assembled metabolites. Acetylenases acting upon this class of substrates remain to be discovered.
A large number of marine carotenoids are known to be accumulated by both freshwater and oceanic shellfish [458]. Acetylenic carotenoids are broadly distributed among Bacillariophyceae, Cryptophyceae, Dinophyceae, Euglenophyceae, Haptophyceae, and Xanthophyceae species [459] and those with biological activity have been reviewed separately by Dembitsky [22].
4. Functional significance of polyacetylenes and related compounds
Acetylenic compounds are produced by many species that are deemed ethnopharmacologically important. Species such as E. purpurea have been used by Native Americans as treatments for a variety of maladies since the early 17th century [460]. For often more sinister purposes, water dropwort (O. crocata), which contains the polyacetylene oenanthotoxin that targets the central nervous system, has been recognized since the 12th century to be useful as a poison for fish and others [461]! Few studies have been published that precisely define the biological functions and ecological significance of the acetylenic natural products, individually or as a group. The majority of reports on polyacetylene bioactivities are derived from antibiotic assay data and anthropocentric screens for anticancer agents. In most cases, survival-based roles for the natural products, either as toxic or unpalatable antifeedants, allelochemicals, phytoalexins, or basally produced antibiotics seems likely. A review focusing on the biological activities of naturally occurring acetylenes as insect divertants, fungicides, allelopathic species, insecticides, and pharmaceuticals has appeared [462]. While evidence supports that acetylenic (and acetylene-derived) thiophenes function as sensitizers for the production of singlet oxygen, most polyacetylenes have light-independent functions. Studies on enzymatic targets relevant to the native biological function of the polyacetylenes are rare. Certain recent or well established studies are described below to frame the potential roles of acetylenic compounds.
The localization of plant polyacetylenes in specific tissues is consistent with the characteristics of secondary metabolites. In the case of plant roots, a number of recent studies have spectroscopically investigated the distribution of falcarinol (4B) and falcarindiol (4C) and found that polyacetylenes in both carrot and P. quinquefolium (American ginseng) are, in part, concentrated in oil-filled channels within the periderm/pericyclic parenchyma tissue running parallel to the length of the root [463–465]. In cultivated carrots, higher levels of polyacetylenes are found in high-carotene (HCM) varieties, with the higher concentrations of 4C present in the upper portion of the root and the periderm and phloem, while 4B was more uniformly distributed [466]. Young secondary phloem tissue in HCM carrots contained 4B, detected by Raman absorption, but the wild carrot Daucus carota ssp. maritimus had predominantly 4C. Falcarindiol was distributed uniformly through the phloem [467, 468]. HPLC analysis of P. quinquefolium root showed that the total content of panaxydol and falcarinol is inversely correlated with root diameter [469]. The localization of polyacetylenes in exterior layers of tissue is consistent with their role in providing an antifungal shield for young roots.
Epidemiological studies often tout the cancer-protective attributes of foods and vegetables; in this regard, many studies support the cytotoxic effects of 4B and related polyacetylenes from carrot and ginseng [136, 470, 471]. The source-dependent chemoprotective behavior of carotene (i.e., whether it was ingested in carrots or as a pure compound used as food additive) has been a paradox that may be resolved by the recognition of potentially chemoprotective polyacetylenes in the root crop. Recent investigations have focused on 4B illuminating its potential as an anticancer agent. It was suggested that a delay in large tumor formation may be linked to the sensitization or induction of apoptosis by (−)-4B, presented as a pure compound or within carrots [472]. In these studies, the bioavailability of 4B from carrot juice was shown by persistent plasma levels approaching 3 ng . mL−1. A recent study showed that the impact of 4B is biphasic with respect to concentration in human colon carcinoma CaCo-2 cells [473]. When exposed to low concentrations of 4B, a pro-proliferative effect was observed. At >20 μM 4B, cellular markers of apoptosis and cellular detachment increased while the intermediate concentration regime exhibited increased DNA single-strand breakage with minimal effect on cellular viability. The 4B content of carrots was reduced by 70% when carrot pieces were boiled 12 minutes [474], however 4B, 4C and falcarindiol-2-acetate increased significantly over 4 months of storage at 1°C [475]. Consequently the nutritional effects of carrots or other Apiaceae species are dependent on food preparation. Chemoprotective behavior is not expected to be a general characteristic of polyacetylenes; nevertheless, these studies highlight the nutraceutical potential for certain polyacetylenes. A wide range of factors, including bioavailability, interactions between polyacetylenic species and other natural products, compound stability, concentration effects and context of dietary uptake need to be considered before the antiproliferative effects can become well-established. An experimentally established biological mechanism for the mammalian impact of 4B as an anticancer agent remains unknown.
Falcarinol (4B) is a noted allergen [136, 476]. One hypothesis for the sensitization by 4B is that it undergoes an SN1-like substitution reaction via a resonance-stabilized carbocation allowing the formation of protein-4B antigenic conjugates through cysteine and amine-containing biomolecules. Other common acetylenic natural products, such as 4C, have diminished lipophilicity that reduces their antigenicity.
Antifungal activity for 4C has been proposed to stem from alteration of the plasma membrane or other membrane functions [477]. Chlamydospores of Mycocentrospora acerina incubated with 4C accumulated the polyacetylene and underwent rapid electrolyte loss. Hyphal tips for M. acerina were seen to burst at 75 μg/ml 4C and synthetic micelles at lower concentrations. Many polyacetylenes are formally oxylipins, but their potential roles in plant-fungal and fungal-fungal communication are uninvestigated. In a leading example, Bowers had previously recognized that a soil basidiomycete released the oxylipin 8-hydroxylinoleate, which symbiotically protects crop roots from the pathogenic fungus Pythium ultimum [478].
Slight variations in polyacetylene structure result in extreme variations in biological activities. Low toxicity cicutol (46A), 4B and 4C can be contrasted with lethal K+-current blocker cicutoxin from water hemlock (46B) [479]. The toxicity of 46B was found to have three structural requirements: an allylic alcohol, a long-conjugated (E)-polyene, and a terminal hydroxy group [480]. Derivatives with terminal carbonyl derivatives had lower lethal doses and were stronger inhibitors of GABAA receptors in rat brains suggesting that the pharmacology of 46B results from its conversion to an oxidized derivative.
Acetylenes, phenylpropanoids and isoprenoids are recognized to be phytoalexins, low molecular weight compounds produced by plants to respond to microbial attack, disease state, or abiotic stress (e.g., UV irradiation, metal salts, detergents) [481]. Polyacetylenes have been found in organisms, such as the solanaceous plants, that do not appear to produce basal levels of the compounds. The nonspecific elicitors RNase A and nigeran released 46C (0.5 mg/L), 4C (0.1 mg/L) and an incompletely described polyacetylene into the media of an eggplant (Solanum melongena) cell suspension culture [482]. Accumulation of suspected polyacetylenic phytoalexins, including 4B and 46D, was similarly observed in tomato fruits and leaves induced with Cladosporium fulvum, Verticillium albo-atrum, and F. oxysporum [483, 484]. Sufficient aqueous solubility to allow metabolites to be exuded from healthy cells into necrotic tissue may be a precondition for bioactivity. Colonization of tomato by compatible strains of C. fulvum may result from cellular localization of 4C in the tomato that renders 4C ineffective and the rapid catabolism of 4C by both tomato and the fungus that allows delayed but continual fungal growth [485]. Fungal stimulation of polyacetylene accumulation has been seen in the other plant families (46E, C. tinctorius Asteraceae [486–488]; 46F, Vicia faba Leguminosae [489]; 4B–C, D. carota Apiaceae [490]). Elicitor-stimulated upregulation of acetylenase genes in parsley and sunflower together with the above metabolite observations supports acetylenic natural products functioning as phytoalexins [104, 491]. Still, many of the genes necessary for the formation of the putative antifungal polyacetylenes need to be discovered, their in vivo functions remain to be directly established, and their regulation deciphered.
Polyacetylenes have been shown in a number of cases to be allelochemicals, compounds that affect the metabolism and growth of plants subacutely. Thiophene 11Bk (Fig. 14) is exuded from Russian knapweed (Centaurea repens) roots leading to soil levels of 4–5 ppm that are sufficient to prevent root elongation and establishment of competing species [492]. Through this action, C. repens is an invasive weed in North America. A recent EST study of the related invasive species Centaurea maculosa highlighted a series of acetylenase-like genes [493]. Other compounds are more acutely toxic; agrocybin (1B) strongly inhibits the growth of wheat, soybean and Lemna minor and may be the agent responsible for grass death by fairy rings [494]. Dehydrofalcarinol was identified as one of the seed germination inhibitory components from Artemisia capillaris [495]. The allelopathic activity of the common Asteraceae ester 1A has been investigated many times but, in a recent study, the effectiveness of 1A released from S. altissima was concluded to be small in most soils, as even light clay soil bound the metabolite tightly [496].
While several examples of plant-derived polyacetylenes involved in antiherbivory have been reported, the importance of this function seems under investigated. Insecticidal activities of structural subtypes found in Rudbeckia hirta were studied while varying the light flux [497]. Under dark conditions thiarubrine 11Di was toxic to mosquito larvae (Aedes atropalpus, LC50 0.09 μg/ml) and tobacco hornworm Manduca sexta (larval mortality 62% at 50 μg/ml). Under near-UV irradiation, the toxicity of thiophene 11Bi to the A. atropalpus larvae became apparent and polyacetylene 11E was lethal under all conditions. The variable photoactivities are indicative of a range of mechanisms of actions. The level of 11E in R. hirta increases with mineral stress consistent with stress activation of secondary metabolism [498]. The concentration of the new acetylenic alkamide 46G, which was co-isolated with known alkamides (46H–I), in Chrysanthemum morifolium varieties tracked with the plant’s resistance to the greenhouse pest western flower thrip (Frankliniella occidentalis) [499].
In a limited number of cases, acetylenic natural products from plants have been shown to act as allomones (i.e., trans-specific chemical signals that induce a behavioral change in another species beneficial to the producer). The soldier beetle (Chauliognathus sp.) accumulates dihydromatricaria acid (3E) in its hemolymph, which it can exude from segmental glands [500]. This compound has been proposed to act as an antifeedent, and may be the root of the beetle’s avoidance by jays, mice and ants. While the accumulation of lipophilic natural products may be expected for phytophagous insects, as they maintain high lipid/water ratios, have large guts, and consume many times their body weight of food, the mechanism of localization is not known. Charge transfer complexes between polyacetylenes and unidentified partners have been suggested as a sequestration mechanism [501]. Coupled with strong methoxyalkylpyrazine odorants and bitter 3-phenylpropanamide and 1-methyl-2-quinoline, 1,8-cineole and polyacetylenes are thought to provide a 3rd line of antifeedant defense for the beetle Metriorrhynchus rhipidius [502]. The interaction of plants with insects, whether by herbivores, pollinators, or co-inhabitants, should be considered reciprocally in terms of evolution. Plants in evolutionarily distant phylogenies may have chemical traits, such as acetylenic secondary metabolism, reinforced through colonization by insects [461].
5. Future Directions
In this review, we have taken a broad perspective and examined both the recently identified acetylenic metabolites and the current understanding of the reactions relevant to polyacetylene biosynthesis in terrestrial and marine organisms. This has pointed to a number of areas that promise to be fruitful in future investigations: 1) the symbiotic relationships between marine animals and microorganisms extending to polyacetylene biosynthesis, 2) the possibility that marine organisms may largely use the same strategies in polyacetylene biosynthesis as terrestrial organisms, and 3) the potential for engineering value-added crops using the plethora of new and as yet to be discovered genes involved in polyacetylene production.
We are intrigued by the growing recognition of the mutualistic relationships between marine animals and microorganisms. In terrestrial species, a relatively small number of prokaryotic species have been found to produce polyacetylenes, whereas marine bacteria appear to provide the alkynyl precursors to their hosts. The relative ease of collecting species that are in close association with invertebrates or that can be detected through their pathogenic traits has led to the bulk of recent marine fungal compounds being isolated from the ascomycetes and oomycetes. It is clear, however, that a more complete survey of marine basidiomycetes will require continuing improvements in screening and culturing techniques. Seemingly, the land-loving organisms (ca. 13000 land and 11 aquatic species), basidiomycete mushrooms, appear to have evolved through several land-water migrations. A phylogenetic tree of terrestrial, freshwater and marine homobasidiomycetes, including the acetylene-producing organisms wood-degrading Fistulina hepatica and marine-derived fungus Halocyphina villosa, demonstrates that these organisms are remarkably interrelated [503]. The collection of halotolerant Physalacria maipoensis from both upland and salt-water inundated mangroves highlights that these swamps are a type (and endangered) environment for habitat evolution, and the crossover of secondary metabolic pathways. It is expected that these fertile relationships will become increasingly apparent as natural product isolation and genomics provide a fuller vision of microbial and marine secondary metabolic pathways.
Recent studies of plant and marine acetylenic secondary metabolism have suggested that less distinction should be made between the biosynthetic potential of marine and terrestrial organisms as the involved reactions are, for the most part, quite similar. Other than the larger proportion of halogenated compounds, the marine compound diversity might be largely ascribed to the peculiar symbiotic relationships between bacteria, fungi, algae and sponges in salt-water environments and the apparently large ecological advantage that metabolite accumulation has engendered.
From the preceding observations, a likely PK biogenesis of the highly oxygenated marine polyacetylenes can be proposed. The dominance of polycistronic operons in microbial PK biosynthesis should lead to the cloning of entire pathways for bacterially produced marine polyacetylenes and the heterologous production of phamacologically useful compounds in pure bacterial cultures. This is a direction with shining prospects as marine organisms have been noted to be one of the most important sources of new drug targets, including the polyacetylenes, however the diversity of isolated strains, rarity of individual species, and intractability of the host organisms continue to present monumental challenges to their commercialization.
Ultimately, the production of acetylenic lipids in genetically-engineered crop plants may provide protection from disease or pests directly to the plant and allow for the synthesis of novel compounds. Heterologous expression of fungal polyacetylene biosynthetic genes and complete marine invertebrate secondary metabolic pathways face difficulties, as eukaryotic genes are not typically clustered. Identifying the specific attributes of the diverged desaturases that turn their chemoselectivity to acetylenation would be greatly accelerated by the structural characterization of the microsomal desaturases, a goal that would have a wide-ranging impact on lipid metabolic research.
Further knowledge of the intermediate structures in these natural product pathways, such as the acyl conjugation of highly unsaturated lipids and the effects of metabolic channeling by metabolite oxidation and chain cleavage upon the distributions of the polyacetylenes, are the initial challenges to exploring the biotechnological future of acetylenic natural products. Plants in the families Asteraceae, Apiaceae and Solanaceae, such as sunflower, carrot, and tomato, are likely to possess substantial portions of the metabolic framework that could lead to the enhanced production of native polyacetylenes that confer disease or pest resistance. Transfer of selected secondary metabolic genes into these organisms could cause large perturbations on the accumulated polyacetylenes and the augmentation of input traits, those beneficial to the crop producer [133]. Substantial accumulation of acetylenic lipids may provide material for the semi-synthetic production of economically valuable compounds. Genetically engineering actinomycetes and other microorganisms, particularly in instances where gene clusters bear self-resistance mechanisms, provide attractive starting points for the commercialization of bioactive compounds from novel organisms.
Fig. 48.


A wide array of lipopeptides and cyclodepsipeptides containing terminal acetylenic branches are known. The acetylenic units and their more saturated congeners may arise from fatty acyl starter units that undergo stepwise desaturation. It remains to be determined which marine invertebrates accomplish aspects of acetylene biosynthesis and which compounds may be dietarily acquired from cyanobacteria.
Fig. 50.

Selected acetylenic compounds for which ecological and ethnopharmacological roles have been described.
Fig. 51. Legend for Biosynthesis.

Key to the experimentally determined isotopic labeling patterns that are superimposed on structures found in Figures (e.g., Fig. 5, 12, etc.). (Place unnumbered Figure, “Legend for Biosynthesis”)
Acknowledgments
Acetylenic natural product research in our group is supported by the National Institutes of Health (GM069493-02) and startup funds from the School of Science, IUPUI. R.E.M. is grateful for the enthusiasm and contributions of all past and present lab members.
List of Abbreviations
- ACP
acyl carrier protein
- AT
acyltransferase
- CoA
Coenzyme A
- CDP-CPT
cytidine diphosphocholine diacylglycerol choline phosphotransferase
- CFA
cyclopropanyl fatty acid
- COX
cyclooxygenase
- CYP450
cytochrome P450
- DAG
diacylglycerol
- DGAT, diacylglycerol
acyl-CoA acyltransferase
- DGDG
digalactosyldiacylglycerol
- DH
β-hydroxyacyl dehydratase
- DHAP
dihydroxyacetone phosphate
- Dhoea
2,2-dimethyl-3-hydroxy-7-octenoic acid
- Dhoya
2,2-dimethyl-3-hydroxy-7-octynoic acid
- dNDP
deoxynucleotide diphosphate
- %ee
percent enantiomeric excess
- EPA
eicosapentenoic acid
- ER
endoplasmic reticulum
- FAR
fatty acyl-CoA reductases
- FAS
fatty acid synthase
- Hmpa
2-hydroxy-3-methylpentanoic acid
- LIP
lipase
- LPAAT
lysophosphatidic acid acyltransferase
- KASA
ketoacyl synthase A
- KIE
kinetic isotope effect
- KR
β-ketoacyl reductase
- KS
β-ketoacyl synthase
- MCFA
medium-chain fatty acid
- Me
methyl
- MEP
methylerythritol-4-phosphate
- MGDG
monogalactosyldiacylglycerol
- N-MeVal
N-methylvaline
- NADH
nicotinamide adenine dinucleotide, reduced form
- NADPH
nicotinamide adenine dinucleotide phosphate, reduced form
- NRPS
non-ribosomal peptide synthase
- nt
nucleotide
- OPP
pyrophosphate
- ORF
open-reading frame
- PA
phosphatidic acid
- PBAN
pheromone biosynthesis activating neuropeptide
- PC
phosphatidylcholine
- PCR
polymerase chain reaction
- PE
phosphatidylethanolamine
- PI
phosphatidylinositol
- PKS
polyketide synthase
- PK
polyketide
- PL
phospholipase
- PPTE
4′-phosphopantetheinyl thioesterase
- r.a
relative activity
- TAG
triacylglycerol
- TFA
total fatty acids
- VLCFA
very long-chain fatty acids
Footnotes
Publisher's Disclaimer: This is a PDF file of an unedited manuscript that has been accepted for publication. As a service to our customers we are providing this early version of the manuscript. The manuscript will undergo copyediting, typesetting, and review of the resulting proof before it is published in its final citable form. Please note that during the production process errors may be discovered which could affect the content, and all legal disclaimers that apply to the journal pertain.
References
- 1.Arnaud MA. Sur la constitution de l’acide taririque. Bull Soc Chim France. 1902:489–496. [Google Scholar]
- 2.Arnaud A. Sur un nouvel acide gras non saturé de la série CnH2n−4O2. Bull Soc Chim France. 1892:233–234. [Google Scholar]
- 3.Sörensen NA. Some naturally occurring acetylenic compounds. Proc Chem Soc. 1961:98–110. [Google Scholar]
- 4.Jones JH. Sir Ewart Ray Herbert Jones 16 March 1911 –– 7 May 2002. Biogr Mems Fell R Soc Long. 2003;49:263–282. [Google Scholar]
- 5.Winterfeldt E. Ferdinand Bohlmann (1921–1991) und sein wissenschaftliches Werk. Liebigs Ann Chem. 1994:I–XXXIV. [Google Scholar]
- 6.Anonymous. Obituary; J. D. Bu’Lock (1928–1996) Biotechnol Tech. 1996;10:381–384. [Google Scholar]
- 7.Bu’Lock JD, Jones EHR, Mansfield GH, Thompson JW, Whiting MC. Structures of two polyacetylenic antibiotics. Chem Ind. 1954:990–991. [Google Scholar]
- 8.Ngai PH, Zhao Z, Ng TB. Agrocybin, an antifungal peptide from the edible mushroom Agrocybe cylindracea. Peptides. 2005;26:191–196. doi: 10.1016/j.peptides.2004.09.011. [DOI] [PubMed] [Google Scholar]
- 9.Bu’Lock JD, Smalley HM. The biosynthesis of polyacetylenes. Part V. The role of malonate derivatives, and the common origin of fatty acids, polyacetylenes, and “acetate-derived” phenols. J Chem Soc. 1962:4662–4664. [Google Scholar]
- 10.Knobloch E. The Shoulders on which We Stand - Wegbereiter Der Wissenschaft: 125 Jahre Technische Universität Berlin. Berlin: Springer; 2004. [Google Scholar]
- 11.Berendsohn W, Jakupovic J, Zdero C. Bohlmann Files. Botanic Garden and Botanical Museum Berlin-Dahlem. 2007 Sept; http://www.bgbm.org/BioDivInf/projects/bohlmannfiles/BohlmannFiles.htm.
- 12.Bohlmann F, Burkhardt T, Zdero C. Naturally Occurring Acetylenes. London: Academic Press; 1973. [Google Scholar]
- 13.Christensen LP, Lam J. Acetylenes and related compounds in Cynareae. Phytochemistry. 1990;29:2753–2785. [Google Scholar]
- 14.Christensen LP, Lam J. Acetylenes and related compounds in Heliantheae. Phytochemistry. 1991;30:11–49. [Google Scholar]
- 15.Christensen LP, Lam J. Acetylenes and related compounds in Astereae. Phytochemistry. 1991;30:2453–2476. [Google Scholar]
- 16.Christensen LP, Lam J. Acetylenes and other constituents from Centaurea species. Phytochemistry. 1991;30:3289–3292. [Google Scholar]
- 17.Christensen LP. Acetylenes and related compounds in Anthemideae. Phytochemistry. 1992;31:7–49. [Google Scholar]
- 18.Crowden RK, Harborne JB, Heywood VH. Chemosystematics of the Umbelliferae – a general survey. Phytochemistry. 1969;8:1963–1984. [Google Scholar]
- 19.Badami R, Patil KB. Structure and occurrence of unusual fatty acids in minor seed oils. Prog Lipid Res. 1981;19:119–153. doi: 10.1016/0163-7827(80)90002-8. [DOI] [PubMed] [Google Scholar]
- 20.Lie Ken Jie MSF, Pasha MK, Syed-Rahmatullah MSK. Fatty acids, fatty acid analogues and their derivatives. Nat Prod Rep. 1996:163–189. [Google Scholar]
- 21.Lie Ken Jie MSF, Pasha MK. Fatty acids, fatty acid analogues and their derivatives. Nat Prod Rep. 1998;15:607–629. [Google Scholar]
- 22.Dembitsky V. Anticancer activity of natural and synthetic acetylenic lipids. Lipids. 2006;41:883–924. doi: 10.1007/s11745-006-5044-3. [DOI] [PubMed] [Google Scholar]
- 23.Shi Shun ALK, Tykwinski RR. Syntheis of naturally occurring polyynes. Angew Chem Int Ed Engl. 2006;45:1034–1057. doi: 10.1002/anie.200502071. [DOI] [PubMed] [Google Scholar]
- 24.Schroepfer GJ, Bloch K. The stereospecific conversion of stearic acid to oleic acid. J Biol Chem. 1965;240:54–63. [PubMed] [Google Scholar]
- 25.Bloomfield DK, Bloch K. Formation of Δ9-unsaturated fatty acids. J Biol Chem. 1960;235:337–345. [PubMed] [Google Scholar]
- 26.Bu’Lock JD, Smith GN. The origin of naturally-occurring acetylenes. J Chem Soc (C) 1967:332–336. [Google Scholar]
- 27.Wakil SJ. Mechanism of fatty acid synthesis. J Lipid Res. 1961;2:1–24. [Google Scholar]
- 28.Fleming I, Harley-Mason J. Enol elimination reactions. Part I. A new synthesis of acetylenic acids. J Chem Soc. 1963:4771–4777. [Google Scholar]
- 29.Fleming I, Owen CR. Enol elimination reactions. Part V. A study of the mechanism of the decarboxylative elimination reactions of some enol sulphonates. J Chem Soc B. 1971:1293–1299. [Google Scholar]
- 30.Fleming I, Ramarao C. Decarboxylative elimination of enol triflates as a general synthesis of acetylenes. Org Biomol Chem. 2004;2:1504–1510. doi: 10.1039/b401435a. [DOI] [PubMed] [Google Scholar]
- 31.Uttaro AD. Biosynthesis of polyunsaturated fatty acids in lower eukaryotes. IUBMB Life. 2006;58:563–571. doi: 10.1080/15216540600920899. [DOI] [PubMed] [Google Scholar]
- 32.Lindqvist Y, Huang W, Schneider G, Shanklin J. Crystal structure of Δ9-stearoyl-acyl carrier protein desaturase from castor seed and its relationship to other di-iron proteins. EMBO J. 1996;15:4081–4092. [PMC free article] [PubMed] [Google Scholar]
- 33.Moche M, Shanklin J, Ghoshal A, Lindqvist Y. Azide and acetate complexes plus two iron-depleted crystal structures of the di-iron enzyme Δ9 stearoyl-acyl carrier protein desaturase. Implications for oxygen activation and catalytic intermediates. J Biol Chem. 2003;278:25072–25080. doi: 10.1074/jbc.M301662200. [DOI] [PubMed] [Google Scholar]
- 34.Cahoon EB, Lindqvist Y, Schneider G, Shanklin J. Redesign of soluble fatty acid desaturases from plants for altered substrate specificity and double bond position. Proc Natl Acad Sci USA. 1997;94:4872–4877. doi: 10.1073/pnas.94.10.4872. [DOI] [PMC free article] [PubMed] [Google Scholar]
- 35.Guy JE, Abreu IA, Moche M, Lindqvist Y, Whittle E, Shanklin J. A single mutation in the castor Δ9-18:0-desaturase changes reaction partitioning from desaturation to oxidase chemistry. Proc Natl Acad Sci USA. 2006;103:17220–17224. doi: 10.1073/pnas.0607165103. [DOI] [PMC free article] [PubMed] [Google Scholar]
- 36.Guy JE, Whittle E, Kumaran D, Lindqvist Y, Shanklin J. The crystal structure of the ivy Δ4-16:0-ACP desaturase reveals structural details of the oxidized active site and potential determinants of regioselectivity. J Biol Chem. 2007;282:19863–19871. doi: 10.1074/jbc.M702520200. [DOI] [PubMed] [Google Scholar]
- 37.Browse J, Ohlrogge J. Lipid biosynthesis. Plant Cell. 1995;7:957–970. doi: 10.1105/tpc.7.7.957. [DOI] [PMC free article] [PubMed] [Google Scholar]
- 38.Tehlivets O, Scheuringer K, Kohlwein SD. Fatty acid synthesis and elongation in yeast. Biochim Biophys Acta. 2007;1771:255–270. doi: 10.1016/j.bbalip.2006.07.004. [DOI] [PubMed] [Google Scholar]
- 39.Leonard AE, Pereira SL, Sprecher HW, Huang Y-S. Elongation of long-chain fatty acids. Prog Lipid Res. 2004;43:36–54. doi: 10.1016/s0163-7827(03)00040-7. [DOI] [PubMed] [Google Scholar]
- 40.van de Loo FJ, Broun P, Turner S, Somerville C. An oleate 12-hydroxylase from Ricinus communis L is a fatty acyl desaturase homolog. Proc Natl Acad Sci USA. 1995;92:6743–6747. doi: 10.1073/pnas.92.15.6743. [DOI] [PMC free article] [PubMed] [Google Scholar]
- 41.Gunstone FD, Steward SR, Cornelius JA, Hammonds TW. New tropical seed oils. IV—Component acids of leguminous and other seed oils including useful sources of crepenynic and dehydrocrepenynic acid. J Sci Food Agric. 1972;23:53–60. doi: 10.1002/jsfa.2740230108. [DOI] [PubMed] [Google Scholar]
- 42.Kazadi M, Chifundera K. Acetylenic fatty acids from Afzelia pachyloba. Fitoterapia. 1993;64:280. [Google Scholar]
- 43.Mikolajczak KL, Smith CR, Jr, Bagby MO, Wolff IA. A new type of naturally occurring polyunsaturated fatty acid. J Org Chem. 1964;29:318–322. [Google Scholar]
- 44.Smith CRJ. Saussurea candicans seed oil—alternative source of crepenynic acid. Lipids. 1974;9:640–641. [Google Scholar]
- 45.Gunstone FD, Kilgast D, Powell RG, Taylor GM. Afzelia cuanzensis seed oil: a source of crepenynic and 14,15-dehydrocrepenynic acid. Chem Commun. 1967:295–296. [Google Scholar]
- 46.Bohlmann F, Schulz H. Über die bildung von Polyinen mit zellfreien homogenaten. Tetrahedron Lett. 1968:4795–4798. [Google Scholar]
- 47.Haigh WG, Morris LJ, James AT. Acetylenic acid biosynthesis in Crepis rubra. Lipids. 1968;3:307–312. doi: 10.1007/BF02530929. [DOI] [PubMed] [Google Scholar]
- 48.Bohlmann F, Jente R, Reinecke R. Über die Biogenese der natürlichen C13- und C14-Acetylenverbindungen. Chem Ber. 1969;102:3283–3292. [Google Scholar]
- 49.Boll PM, Hansen L. On the presence of falcarinol in Araliaceae. Phytochemistry. 1987;26:2955–2956. [Google Scholar]
- 50.Barley GC, Jones EHR, Thaller V. Crepenynate as a precursor of falcarinol in carrot tissue culture. In: Lam J, et al., editors. Chemistry and Biology of Naturally-Occurring Acetylenes and Related Compounds. Amsterdam: Elsevier; 1988. pp. 85–91. [Google Scholar]
- 51.Jones ERH, Safe S, Thaller V. Natural acetylenes. Part XXIII. A C18 polyacetylenic keto-aldehyde related to falcarinone from an umbellifer (Pastinaca sativa L.) J Chem Soc (C) 1966:1220–1221. [Google Scholar]
- 52.Cahoon EB, Carlson TJ, Ripp KG, Schweiger BJ, Cook GA, Hall SE, et al. Biosynthetic origin of conjugated double bonds: Production of fatty acid components of high-value drying oils in transgenic soybean embryos. Proc Natl Acad Sci USA. 1999;96:12935–12940. doi: 10.1073/pnas.96.22.12935. [DOI] [PMC free article] [PubMed] [Google Scholar]
- 53.Cahoon EB, Ripp KG, Hall SE, Kinney AJ. Formation of conjugated Δ8, Δ10-double bonds by Δ12-oleic-acid desaturase-related enzymes: biosynthetic origin of calendic acid. J Biol Chem. 2001;276:2637–2643. doi: 10.1074/jbc.M009188200. [DOI] [PubMed] [Google Scholar]
- 54.Bohlmann F, Burkhardt T. Polyacetylene compounds. 166 On the biogenesis of C-17-polyines. Chem Ber. 1969;102:1702–1706. doi: 10.1002/cber.19691020537. [DOI] [PubMed] [Google Scholar]
- 55.Bu’Lock JD, Allport DC, Turner WB. The biosynthesis of polyacetylenes. Part III. Polyacetylenes and triterpenes in Polyporus anthracophilus. J Chem Soc. 1961:1654–1659. [Google Scholar]
- 56.Bu’Lock JD, Gregory H. The biosynthesis of polyacetylenes. 2 Origin of the carbon atoms. Biochem J. 1959;72:322–325. doi: 10.1042/bj0720322. [DOI] [PMC free article] [PubMed] [Google Scholar]
- 57.Celmer WD, Solomons IA. The structure of the antibiotic mycomycin. J Am Chem Soc. 1952;74:1870–1871. [Google Scholar]
- 58.Barley GC, Graf U, Higham CA, Jarrah MY, Jones ERH, O’Neill I, et al. Natural acetylenes. Part 61. Fungal polyacetylenes and the crepenynate pathway: the biosynthesis of some C9-C14 polyacetylenes in fungal cultures. Journal of Chemical Research, Synopses. 1987:232–3. [Google Scholar]
- 59.Farrell IW, Higham CA, Jones ERH, Thaller V. Natural acetylenes. Part 62 Fungal polyacetylenes and the crepenynate pathway: experiments relevant to the biogenesis of the acetylene bond. J Chem Research (S) 1987;1987:234–235. [Google Scholar]
- 60.Davies DG, Hodge P. Biosynthesis of the allene (−)-marasin in Marasmius ramealis. Org Biomol Chem. 2005;3:1690–1693. doi: 10.1039/b502785n. [DOI] [PubMed] [Google Scholar]
- 61.Hodge P, Jones ERH, Lowe G. Natural acetylenes. Part XXII. trans-Dehydromatricaria ester as a biosynthetic precursor of some fungal polyacetylenes. J Chem Soc (C) 1966:1216–1219. doi: 10.1039/j39660001216. [DOI] [PubMed] [Google Scholar]
- 62.Hopkins CY, Chisholm MJ. Occurrence of stearolic acid in a seed oil. Tetrahedron Lett. 1964;5:3011–3013. [Google Scholar]
- 63.Morris LJ, Marshall MO. Occurrence of stearolic acid in Santalaceae seed oils. Chem Ind. 1966;12:460–461. [PubMed] [Google Scholar]
- 64.Bao X, Katz S, Pollard M, Ohlrogge J. Carbocyclic fatty acids in plants: biochemical and molecular genetic characterization of cyclopropane fatty acid synthesis of Sterculia foetida. Proc Natl Acad Sci USA. 2002;99:7172–7177. doi: 10.1073/pnas.092152999. [DOI] [PMC free article] [PubMed] [Google Scholar]
- 65.Spitzer V, de L. Bordignon SA, Schenkel EP, Marx F. Identification of nine acetylenic fatty acids, 9-hydroxystearic acid and 9,10-epoxystearic acid in the seed oil of Jodina rhombifolia Hook et Arn (Santalaceae) J Am Oil Chem Soc. 1994;71:1343–1348. [Google Scholar]
- 66.Federal Research Centre for Nutrition and Food - Institute for Lipid Research. SOFA: The Seed Oil Fatty Acid Database. 2007 Sept; http://sofa.bfel.de/
- 67.El-Jaber N, Estevez-Braun A, Ravelo AG, Munoz-Munoz O, Rodriguez-Afonso A, Murguia JR. Acetylenic acids from the aerial parts of Nanodea muscosa. J Nat Prod. 2003;66:722–724. doi: 10.1021/np020513e. [DOI] [PubMed] [Google Scholar]
- 68.McGinley CM, van der Donk WA. Enzymatic hydrogen atom abstraction from polyunsaturated fatty acids. Chem Commun. 2003:2843–2846. doi: 10.1039/b311008g. [DOI] [PubMed] [Google Scholar]
- 69.Hopkins CY, Jevans AW, Chisholm MJ. Acetylenic fatty acids of Pyrularia pubera seed oil. J Chem Soc (C) 1968:2462–2465. [Google Scholar]
- 70.Spitzer V, Tomberg W, Hartmann R, Aichholz R. Analysis of the seed oil of Heisteria silvanii (Olacaceae)—A rich source of a novel C18 acetylenic fatty acid. Lipids. 1997;32:1189–1200. doi: 10.1007/s11745-997-0153-6. [DOI] [PubMed] [Google Scholar]
- 71.Smith GN, Bu’Lock JD. Concurrence of acetylenes and cyclopropenes. Chem Ind. 1965:1838–1839. [Google Scholar]
- 72.Yano I, Morris LJ, Nichols BW, James AT. The biosynthesis of cyclopropane and cyclopropene fatty acids in higher plants (Malvaceae) Lipids. 1972;7:35–45. [Google Scholar]
- 73.Bao X, Thelen JJ, Bonaventure G, Ohlrogge JB. Characterization of cyclopropane fatty-acid synthase from Sterculia foetida. J Biol Chem. 2003;278:12846–12853. doi: 10.1074/jbc.M212464200. [DOI] [PubMed] [Google Scholar]
- 74.Cahoon EB, Cranmer AM, Shanklin J, Ohlrogge JB. Δ6 Hexadecenoic acid is synthesized by the activity of a soluble Δ6 palmitoyl-acyl carrier protein desaturase in Thunbergia alata endosperm. J Biol Chem. 1994;269:27519–27526. [PubMed] [Google Scholar]
- 75.Cahoon EB, Becker CK, Shanklin J, Ohlrogge JB. cDNAs for isoforms of the delta 9-stearoyl-acyl carrier protein desaturase from Thunbergia alata endosperm. Plant Physiol. 1994;106:807–808. doi: 10.1104/pp.106.2.807. [DOI] [PMC free article] [PubMed] [Google Scholar]
- 76.Cahoon EB, Ohlrogge JB. Metabolic evidence for the involvement of a delta 4-palmitoyl-acyl carrier protein desaturase in the synthesis of petroselinic acid in coriander endosperm and transgenic tobacco cells. Plant Physiol. 1994;104:827–838. doi: 10.1104/pp.104.3.827. [DOI] [PMC free article] [PubMed] [Google Scholar]
- 77.Cahoon EB, Shanklin J, Ohlrogge JB. Expression of a coriander desaturase results in petroselinic acid production in transgenic tobacco. Proc Natl Acad Sci USA. 1992;89:11184–11188. doi: 10.1073/pnas.89.23.11184. [DOI] [PMC free article] [PubMed] [Google Scholar]
- 78.Whitney HM, Sayanova O, Pickett JA, Napier JA. Isolation and expression pattern of two putative acyl-ACP desaturase cDNAs from Bassia scoparia. J Exp Biol. 2004;55:787–789. doi: 10.1093/jxb/erh072. [DOI] [PubMed] [Google Scholar]
- 79.Pearl MB, Kleiman R, Earle FR. Acetylenic acids of Alvaradoa amorphoides seed oil. Lipids. 1973;8:627–630. doi: 10.1007/BF02533146. [DOI] [PubMed] [Google Scholar]
- 80.Jacobs H. Comparative phytochemistry of Picramnia and Alvaradoa, genera of the newly established family Picramniaceae. Biochem Syst Ecol. 2003;31:773–783. [Google Scholar]
- 81.Cahoon EB, Cahoon RE, Hitz WD, Kinney AJ. Polynucleotides (cDNA) and polypeptides of Picramnia pentandra Δ6 desaturase and sphingolipid desaturase homologs, sequences and biological uses thereof. PCT Int Appl WO 00 32,790. 2000 [Google Scholar]
- 82.Kohn G, Vierengel A, Vandekerkhove O, Hartmann E. 9-Octadecen-6-ynoic acid from Riccia fluitans. Phytochem. 1987;26:2101–2102. [Google Scholar]
- 83.Gellerman JL, Anderson WH, Schlenk H. Synthesis and function of 9,12,,15-octadecatrien-6-ynoic acid in the moss Ceratodon purpureus. Biochemistry. 1977;16:1977. doi: 10.1021/bi00626a002. [DOI] [PubMed] [Google Scholar]
- 84.Kohn G, Hartmann E, Stymne S, Beutelmann P. Biosynthesis of acetylenic fatty acids in the moss Ceratodon purpureus (Hedw) Brid. J Plant Physiol. 1994;144:265–271. [Google Scholar]
- 85.Kohn G, Vandekerkhove O, Hartmann E, Beutelmann P. Acetylenic fatty acids in the Ricciaceae (Hepaticae) Phytochem. 1988;27:1049–1051. [Google Scholar]
- 86.Guschina IA, Dobson G, Harwood JL. Lipid metabolism in the moss Dicranum scoparium: effect of light conditions and heavy metals on the accumulation of acetylenic triacylglycerols. Physiol Plant. 2002;116:441–450. [Google Scholar]
- 87.Dembitsky VM, Rezanka T. Distribution of acetylenic acids and polar lipids in some aquatic bryophytes. Phytochemistry. 1995;40:93–97. [Google Scholar]
- 88.Guerrero A, Camps F, Coll J, Riba M, Einhorn J, Descoins C, et al. Identification of a potential sex pheromone of the processionary moth, Thaumetopea pityocampa (Lepidoptera, Notodontidae) Tetrahedron Lett. 1981;22:2013–2016. [Google Scholar]
- 89.Millar J, McElfresh JS, Marques FDA. Unusual acetylenic sex pheromone of grape leaffolder (Lepidoptera: Pyralidae) J Econ Entomol. 2002;95:692–698. doi: 10.1603/0022-0493-95.4.692. [DOI] [PubMed] [Google Scholar]
- 90.Silk PJ, Lonergan GC, Allen DC, Spear-O’Mara J. Potential sex pheromone components of the saddled prominent (Lepidoptera: Notodontidae) Can Entomol. 2000;132:681–684. [Google Scholar]
- 91.Fabriàs G, Barrot M, Camps F. Control of the sex pheromone biosynthetic pathway in Thametopoea pityocampa by the Pheromone Biosynthetic Activating Neuropeptide. Insect Biochem Mol Biol. 1995;25:655–660. [Google Scholar]
- 92.Barrot M, Fabriàs G, Camps F. Synthesis of [16,16,16-3H3]11-hexadecynoic acid and [15,15,16,16,16-3H5] (Z, Z)-11,13-hexadecadienoic acid and their use as tracers in a key step of the sex pheromone biosynthesis of the processionary moth. Tetrahedron. 1994;50:9789–9796. [Google Scholar]
- 93.Villorbina G, Rodríguez S, Camps F, Fabrias G. Comparative sex pheromone biosynthesis in Thaumetopoea pityocampa and T. processionea: a rationale for the phenotypic variation in the sex pheromone within the Genus Thaumetopoea. Insect Biochem Mol Biol. 2003;33:155–161. doi: 10.1016/s0965-1748(02)00186-8. [DOI] [PubMed] [Google Scholar]
- 94.Roelofs WL, Liu W, Hao G, Jiao H, Rooney AP, Linn CEJ. Evolution of moth sex pheromones via ancestral genes. Proc Natl Acad Sci USA. 2002;99:13621–13626. doi: 10.1073/pnas.152445399. [DOI] [PMC free article] [PubMed] [Google Scholar]
- 95.Knipple DC, Rosenfield C-L, Nielsen R, You KM, Jeong SE. Evolution of the integral membrane desaturase gene family in moths and flies. Genetics. 2002;162:1737–1752. doi: 10.1093/genetics/162.4.1737. [DOI] [PMC free article] [PubMed] [Google Scholar]
- 96.Tonon T, Harvey D, Qing R, Li Y, Larson TR, Graham IA. Identification of a fatty acid Δ11-desaturase from the microalga Thalassiosira pseudonana. FEBS Lett. 2004;563:28–34. doi: 10.1016/S0014-5793(04)00241-8. [DOI] [PubMed] [Google Scholar]
- 97.Lindstedt S, Steen G. 5-Decynedioic acid, an acetylenic compound in human urine. Clin Chem. 1975;21:1964–1969. [PubMed] [Google Scholar]
- 98.Okuley J, Lightner J, Feldmann K, Yadav N, Lark E, Browse J. Arabidopsis FAD2 gene encodes the enzyme that is essential for polyunsaturated lipid biosynthesis. Plant Cell. 1994;6:957–970. doi: 10.1105/tpc.6.1.147. [DOI] [PMC free article] [PubMed] [Google Scholar]
- 99.Lee M, Lenman M, Banas A, Bafor M, Singh S, Schweizer M, et al. Identification of non-heme diiron proteins that catalyze triple bond and epoxy group formation. Science. 1998;280:915–918. doi: 10.1126/science.280.5365.915. [DOI] [PubMed] [Google Scholar]
- 100.Shanklin J, Whittle E, Fox BG. Eight histidine residues are catalytically essential in a membrane-associated iron enzyme, stearoyl-CoA desaturase, and are conserved in alkane hydroxylase and xylene monooxygenase. Biochemistry. 1994;33:12787–12794. doi: 10.1021/bi00209a009. [DOI] [PubMed] [Google Scholar]
- 101.Kirsch C, Takamiya-Wik M, Reinold S, Hahlbrock K, Somssich IE. Rapid, transient, and highly localized induction of plastidial ω-3 fatty acid desaturase mRNA at fungal infection sites in Petroselinum crispum. Proc Natl Acad Sci USA. 1997;94:2079–2084. doi: 10.1073/pnas.94.5.2079. [DOI] [PMC free article] [PubMed] [Google Scholar]
- 102.Thoma I, Krishchke M, Loeffler C, Mueller MJ. The isoprostanoid pathway in plants. Chem Phys Lipids. 2004;128:135–148. doi: 10.1016/j.chemphyslip.2003.10.002. [DOI] [PubMed] [Google Scholar]
- 103.Somssich IE, Bollman J, Hahlbrock K, Kombrink E, Schulz W. Differential early activation of defense-related genes in elicitor-treated parsley cells. Plant Mol Biol Rep. 1989;12:227–234. doi: 10.1007/BF00020507. [DOI] [PubMed] [Google Scholar]
- 104.Cahoon EB, Schnurr JA, Huffman EA, Minto RE. Fungal resonsive fatty acid acetylenases occur widely in evolutionarily distant plant families. Plant J. 2002;34:671–683. doi: 10.1046/j.1365-313x.2003.01757.x. [DOI] [PubMed] [Google Scholar]
- 105.Gadea J, Mayda ME, Conejero V, Vera P. Characterization of defense-related genes ectopically in viroid-infected tomato plants. Mol Plant-Microbe Interact. 1996;9:409–415. doi: 10.1094/mpmi-9-0409. [DOI] [PubMed] [Google Scholar]
- 106.Kirsch C, Takamiya-Wik M, Schmelzer E, Hahlbrock K, Somssich IE. A novel regulatory element involved in rapid activation of parsley ELI7 gene family members by fungal elicitor or pathogen infection. Molecular Plant Pathology. 2000;1:243–251. doi: 10.1046/j.1364-3703.2000.00029.x. [DOI] [PubMed] [Google Scholar]
- 107.Nam J-W, Kappock TJ. Cloning and transcriptional analysis of Crepis alpina fatty acid desaturases affecting the biosynthesis of crepenynic acid. J Exp Bot. 2007;58:1421–1432. doi: 10.1093/jxb/erm005. [DOI] [PubMed] [Google Scholar]
- 108.Singh S, Thomaeus S, Lee M, Stymne S, Green A. Transgenic expression of a Δ12-epoxygenase gene in Arabidopsis seeds inhibits accumulation of linoleic acid. Planta. 2001;212:872–879. doi: 10.1007/s004250000456. [DOI] [PubMed] [Google Scholar]
- 109.Singh S, Thomaeus S, Lee M, Green A, Stymne S. Inhibition of polyunsaturated fatty acid accumulation in plants expressing a fatty acid epoxygenase. Biochem Soc Trans. 2000;28:940–942. [PubMed] [Google Scholar]
- 110.Broun P, Boddupalli S, Somerville C. A bifunctional oleate 12-hydroxylase:desaturase from Lesquerella fendleri. Plant J. 1998;13:201–210. doi: 10.1046/j.1365-313x.1998.00023.x. [DOI] [PubMed] [Google Scholar]
- 111.Eccleston VS, Ohlrogge JB. Expression of lauroyl-acyl carrier protein thioesterase in Brassica napus seeds induces pathways for both fatty acid oxidation and biosynthesis and implies a set point for triacylglycerol accumulation. Plant Cell. 1998;10:613–622. doi: 10.1105/tpc.10.4.613. [DOI] [PMC free article] [PubMed] [Google Scholar]
- 112.Stahl U, Banas A, Stymne S. Plant microsomal phospholipid acyl hydrolases have selectivities for uncommon fatty acids. Plant Physiol. 1995;107:953–962. doi: 10.1104/pp.107.3.953. [DOI] [PMC free article] [PubMed] [Google Scholar]
- 113.Broadwater JA, Whittle E, Shanklin J. Desaturation and hydroxylation: residues 148 and 324 of Arabidopsis FAD2, in addition to substrate chain length, exert a major influence in partitioning of catalytic specificity. J Biol Chem. 2002;277:15613–15620. doi: 10.1074/jbc.M200231200. [DOI] [PubMed] [Google Scholar]
- 114.Tremblay AE, Whittle E, Buist PH, Shanklin J. Stereochemistry of Δ4 dehydrogenation catalyzed by an ivy (Hedera helix) Δ9 desaturase homolog. Org Biomol Chem. 2007;5:1270–1275. doi: 10.1039/b617942h. [DOI] [PubMed] [Google Scholar]
- 115.Merkx M, Kopp DA, Sazinsky MH, Blazyk JL, Müller J, Lippard SJ. Dioxygen activation and methane hydroxylation by soluble methane monooxygenase: a tale of two irons and three proteins. Angew Chem Int Ed. 2001;40:2782–2807. doi: 10.1002/1521-3773(20010803)40:15<2782::AID-ANIE2782>3.0.CO;2-P. [DOI] [PubMed] [Google Scholar]
- 116.Shanklin J, Cahoon EB. Desaturation and related modifications of fatty acids. Annu Rev Plant Physiol Plant Mol Biol. 1998;49:611–641. doi: 10.1146/annurev.arplant.49.1.611. [DOI] [PubMed] [Google Scholar]
- 117.Buist PH. Fatty acid desaturases: selecting the dehydrogenation channel. Nat Prod Rep. 2004;21:249–262. doi: 10.1039/b302094k. [DOI] [PubMed] [Google Scholar]
- 118.Zhang X-M. Homolytic bond dissociation enthalpies of the C-H bonds adjacent to radical centers. J Org Chem. 1998;63:1872–1877. doi: 10.1021/jo981129i. [DOI] [PubMed] [Google Scholar]
- 119.Reed DW, Polichuk DR, Buist PH, Ambrose SJ, Sasata RJ, Savile CK, et al. Mechanistic study of an improbable reaction: alkene dehydrogenation by the 12 acetylenase of Crepis alpina. J Am Chem Soc. 2003;125:10635–10640. doi: 10.1021/ja036489o. [DOI] [PubMed] [Google Scholar]
- 120.Abad JL, Camps F, Fabriàs G. Is hydrogen tunneling involved in acylCoA desaturase reactions? The case of a Δ9 desaturase that transforms (E)-11-tetradecenoic acid into (Z, E)-9,11-tetradecadienoic acid. Angew Chem Int Ed. 2000;39:3279–3281. doi: 10.1002/1521-3773(20000915)39:18<3279::aid-anie3279>3.0.co;2-g. [DOI] [PubMed] [Google Scholar]
- 121.Ortiz de Montellano PR, de Voss JJ. Oxidizing species in the mechanism of cytochrome P450. Nat Prod Rep. 2002;19:477–493. doi: 10.1039/b101297p. [DOI] [PubMed] [Google Scholar]
- 122.Carlsson AS, Thomaeus S, Hamberg M, Stymne S. Properties of two multifunctional plant fatty acid acetylenase/desaturase enzymes. Eur J Biochem. 2004;271:2911–2997. doi: 10.1111/j.1432-1033.2004.04231.x. [DOI] [PubMed] [Google Scholar]
- 123.Behrouzian B, Buist PH. Fatty acid desaturation: variations on an oxidative theme. Curr Opin Chem Biol. 2002;6:577–582. doi: 10.1016/s1367-5931(02)00365-4. [DOI] [PubMed] [Google Scholar]
- 124.Serra M, Piña B, Bujons J, Camps F, Fabrias G. Biosynthesis of 10,12-dienoic fatty acids by a bifunctional Δ11 desaturase in Spodoptera littoralis. Insect Biochem Mol Biol. 2006;36:634–641. doi: 10.1016/j.ibmb.2006.05.005. [DOI] [PubMed] [Google Scholar]
- 125.Sperling P, Lee M, Girke T, Zahringer U, Stymne S, Heinz E. A bifunctional Δ6-fatty acyl acetylenase/desaturase from the moss Ceratodon purpureus. A new member of the cytochrome b5 superfamily. Eur J Biochem. 2000;267:3801–3811. doi: 10.1046/j.1432-1327.2000.01418.x. [DOI] [PubMed] [Google Scholar]
- 126.Voelker TA, Worrell AC, Anderson L, Bleibaum J, Fan C, Hawkins DJ, et al. Fatty acid biosynthesis redirected to medium chains in transgenic oilseed plants. Science. 1992;257:72–74. doi: 10.1126/science.1621095. [DOI] [PubMed] [Google Scholar]
- 127.Bafor M, Jonsson L, Stobart AK, Stymne S. Regulation of tracylglycerol biosynthesis in embryos and microsomal preparations from the developing seeds of Cuphea lanceolata. Biochem J. 1990:272. doi: 10.1042/bj2720031. [DOI] [PMC free article] [PubMed] [Google Scholar]
- 128.Vogel G, Browse JA. Cholinephosphotransferase and diacylglycerol acyltransferase – substrate specificities at a key branch point in seed lipid metabolism. Plant Physiol. 1996;110:923–931. doi: 10.1104/pp.110.3.923. [DOI] [PMC free article] [PubMed] [Google Scholar]
- 129.van Kuijk FJGM, Sevanian A, Handelman GJ, Dratz EA. A new role for phospholipase A2: protection of membranes from lipid peroxidation damage. Trends Biochem Soc. 1987;12:31–34. [Google Scholar]
- 130.Dahlqvist A, Ståhl U, Lenman M, Banas A, Lee M, Sandager L, et al. Phospholipid:diacylglycerol acyltransferase: an enzyme that catalyzes the acyl-CoA-independent formation of triacylglycerol in yeast and plants. Proc Natl Acad Sci USA. 2000;97:6487–6492. doi: 10.1073/pnas.120067297. [DOI] [PMC free article] [PubMed] [Google Scholar]
- 131.Ståhl U, Carlsson AS, Lenman M, Dahlqvist A, Huang B, Bana W, et al. Cloning and functional characterization of a phospholipid:diacylglycerol acyltransferase from Arabidopsis. Plant Physiol. 2004;135:1324–1335. doi: 10.1104/pp.104.044354. [DOI] [PMC free article] [PubMed] [Google Scholar]
- 132.Abbadi A, Domergue F, Bauer J, Napier JA, Welti R, Zahringer U, et al. Biosynthesis of very-long-chain polyunsaturated fatty acids in transgenic oilseeds: constraints on their accumulation. Plant Cell. 2004;16:2734–2748. doi: 10.1105/tpc.104.026070. [DOI] [PMC free article] [PubMed] [Google Scholar]
- 133.Napier JA, Haslam R, Caleron MV, Michaelson LV, Beaudoin F, Sayanova O. Progress towards the production of very long-chain polyunsaturated fatty acid in transgenic plants: plant metabolic engineering comes of age. Physiol Plantarum. 2006;126:398–406. [Google Scholar]
- 134.Moire L, Rezzonico E, Goepfert S, Poirier Y. Impact of unusual fatty acid synthesis on futile cycling through β-oxidation and on gene expression in transgenic plants. Plant Physiol. 2004;134:432–442. doi: 10.1104/pp.103.032938. [DOI] [PMC free article] [PubMed] [Google Scholar]
- 135.Sörensen NA. Polyacetylenes and conservatism of chemical characters in the Compositae. In: Heywood VH, Harborne JB, Turner BL, editors. The Biology and Chemistry of the Compositae. London: Academic Press; 1977. pp. 385–409. [Google Scholar]
- 136.Christensen LP, Brandt K. Bioactive polyacetylenes in food plants of the Apiaceae family: occurrence, bioactivity and analysis. J Pharmaceut Biomed Anal. 2006;41:683–693. doi: 10.1016/j.jpba.2006.01.057. [DOI] [PubMed] [Google Scholar]
- 137.Millar AA, Smith MA, Kunst L. All fatty acids are not equal: discrimination in plant membrane lipids. Trends Plant Sci. 2000;5:95–101. doi: 10.1016/s1360-1385(00)01566-1. [DOI] [PubMed] [Google Scholar]
- 138.Bartel B, LeClere S, Magidin M, Zolman BK. Inputs to the active indole-3-acetic acid pool: de novo synthesis, conjugate hydrolysis, and indole-3-butyric acid β-oxidation. J Plant Growth Regul. 2001;20:198–216. [Google Scholar]
- 139.Hayashi M, Toriyama K, Kondo M, Nishimura M. 2,4-Dichlorophenoxybutyric acid-resistant mutants of Arabidopsis have defects in glyoxysomal fatty acid beta-oxidation. Plant Cell. 1998;10:183–95. doi: 10.1105/tpc.10.2.183. [DOI] [PMC free article] [PubMed] [Google Scholar]
- 140.Hayashi H, De Bellis L, Ciurli A, Kondo M, Hayashi M, Nishimura M. A novel acyl-CoA oxidase that can oxidize short-chain acyl-CoA in plant peroxisomes. J Biol Chem. 1999;274:12715–12721. doi: 10.1074/jbc.274.18.12715. [DOI] [PubMed] [Google Scholar]
- 141.Bohlmann F. Biogenetische Beziehungen der natürlichen Acetylenverbindungen. Forts Chem Org Nat. 1967:1–62. [PubMed] [Google Scholar]
- 142.Akakabe Y, Matsui K, Kajiwara T. Enantioselective α-hydroperoxylation of long-chain fatty acids with crude enzyme of marine green alga Ulva pertusa. Tetrahedron Lett. 1999;40:1137–1140. [Google Scholar]
- 143.Akakabe Y, Matsui K, Kajiwara T. Enantioselective 2-hydroperoxylation of long-chain fatty acids in marine algae. Fisheries Sci. 2001;67:328–332. [Google Scholar]
- 144.Hamberg M, Sanz A, Rodriguez MJ, Calvo AP, Castresana C. Activation of the fatty acid α-dioxygenase pathway during bacterial infection of tobacco leaves. J Biol Chem. 2003;278:51796–51805. doi: 10.1074/jbc.M310514200. [DOI] [PubMed] [Google Scholar]
- 145.Hamberg M, de Leon I, Rodriguez MJ, Castresana C. α-Dioxygenases. Biochem Biophys Res Commun. 2005;338:169–174. doi: 10.1016/j.bbrc.2005.08.117. [DOI] [PubMed] [Google Scholar]
- 146.Saffert A, Hartmann-Schreier J, Schön A, Schreier P. A dual function α-dioxygenase-peroxidase and NAD+ oxidoreductase active enzyme from germinating pea rationalizing α-oxidation of fatty acids in plants. Plant Physiol. 2000;123:1545–1551. doi: 10.1104/pp.123.4.1545. [DOI] [PMC free article] [PubMed] [Google Scholar]
- 147.Dietz K-J, Jacob S, Oeize M-L, Laxa M, Tognetti V, Mariana S, et al. The function of peroxiredoxins in plant organelle redox metabolism. J Exp Biol. 2006;57:1697–1709. doi: 10.1093/jxb/erj160. [DOI] [PubMed] [Google Scholar]
- 148.Dietz KJ, Horling F, König J, Baier M. The function of the chloroplast 2-cysteine peroxiredoxin in peroxide detoxification and its regulation. J Exp Biol. 2002;53:1321–1329. [PubMed] [Google Scholar]
- 149.Kunst L, Samuels AL. Biosynthesis and secretion of plant cuticular wax. Prog Lipid Res. 2003;42:51–80. doi: 10.1016/s0163-7827(02)00045-0. [DOI] [PubMed] [Google Scholar]
- 150.Rowland O, Zheng H, Hepworth SR, Lam P, Jetter R, Kunst L. CER4 encodes an alcohol-forming fatty acyl-Coenzyme A reductase involved in cuticular wax production in Arabidopsis. Plant Physiol. 2006;142:866–877. doi: 10.1104/pp.106.086785. [DOI] [PMC free article] [PubMed] [Google Scholar]
- 151.Vioque J, Kolattukudy PE. Resolution and purification of an aldehyde-generating and an alcohol-generating fatty acyl-CoA reductase from pea leaves (Pisum sativum L) Arch Biochem Biophys. 1997;340:64–72. doi: 10.1006/abbi.1997.9932. [DOI] [PubMed] [Google Scholar]
- 152.Chen X, Goodwin SM, Boroff VL, Liu X, Jenks MA. Cloning and characterization of the WAX2 gene of Arabidopsis involved in cuticle membrane and wax production. Plant Cell. 2003;15:1170–1185. doi: 10.1105/tpc.010926. [DOI] [PMC free article] [PubMed] [Google Scholar]
- 153.Costagliolia P, Joubès J, Garcia C, Stef M, Arveiler B, Lessire R, et al. Profiling candidate genes involved in wax biosynthesis in Arabidopsis thaliana by microarray analysis. Biochimica et Biophysica Acta. 2005;1734:247–258. doi: 10.1016/j.bbalip.2005.04.002. [DOI] [PubMed] [Google Scholar]
- 154.Schneider-Belhaddad F, Kolattukudy P. Solubilization, partial purification, and characterization of a fatty aldehyde decarbonylase from a higher plant, Pisum sativum. Arch Biochem Biophys. 2000;377:341–349. doi: 10.1006/abbi.2000.1798. [DOI] [PubMed] [Google Scholar]
- 155.Dennis M, Kolattukudy PE. A cobalt-porphyrin enzyme converts a fatty aldehyde to a hydrocarbon and CO. Proc Natl Acad Sci USA. 1992;89:5306–5310. doi: 10.1073/pnas.89.12.5306. [DOI] [PMC free article] [PubMed] [Google Scholar]
- 156.Fridman E, Wang J, Iijima Y, Froehlich JE, Gang DR, Ohlrogge J, et al. Metabolic, genomic, and biochemical analyses of glandular trichomes from the wild tomato species Lycopersicon hirsutum identify a key enzyme in the biosynthesis of methylketones. Plant Cell. 2005;17:1252–1267. doi: 10.1105/tpc.104.029736. [DOI] [PMC free article] [PubMed] [Google Scholar]
- 157.Boonprab K, Matsui K, Yoshida M, Akakabe Y, Chirapart A, Kajiwara T. C6-aldehyde formation by fatty acid hydroperoxide lyase in the brown alga Laminaria angustata. Z Naturforsch, C: Biosci. 2003;58:2007–2014. doi: 10.1515/znc-2003-3-412. [DOI] [PubMed] [Google Scholar]
- 158.Blée E. Phytooxylipins and plant defense reactions. Prog Lipid Res. 1998;37:33–72. doi: 10.1016/s0163-7827(98)00004-6. [DOI] [PubMed] [Google Scholar]
- 159.Akakabe Y, Matsui K, Kajiwara T. Enantioselective formation of (R)-9-HPODE and (R)-9-HPOTrE in marine green alga Ulva conglobata. Bioorg Med Chem. 2002;10:3171–3173. doi: 10.1016/s0968-0896(02)00212-2. [DOI] [PubMed] [Google Scholar]
- 160.Akakabe Y, Matsui K, Kajiwara T. 2,4-Decadienals are produced via (R)-11-HPITE from arachidonic acid in marine green alga Ulva conglobata. Bioorg Med Chem. 2003;11:36073609. doi: 10.1016/s0968-0896(03)00364-x. [DOI] [PubMed] [Google Scholar]
- 161.Kajiwara T, Matsui K, Akakabe Y, Okajima K, Chirapart A. Fatty acid oxidizing activity in a red marine alga, Porphyra sp. Z Naturforsch, C: Biosci. 2000:55. doi: 10.1515/znc-2000-11-1210. [DOI] [PubMed] [Google Scholar]
- 162.Moore BS. Biosynthesis of marine natural products: microorganisms (Part A) Nat Prod Rep. 2005;22:580–593. doi: 10.1039/b404737k. [DOI] [PubMed] [Google Scholar]
- 163.Sprecher HW, Maier R, Barber M, Holman RT. Structure of an optically active allene-containing tetraester triglyceride isolated from the seed oil of Sapium sebiferum. Biochemistry. 1965;4:1856–1863. [Google Scholar]
- 164.Heimermann WH, Holman RT. Highly optically active triglycerides of Sebastiana ligustrina and related species. Phytochemistry. 1972;11:799–802. [Google Scholar]
- 165.Spitzer V, Tomberg W, Pohlentz G. Structure analysis of an allene-containing estolide tetraester triglyceride in the seed oil of Sebastiana commersoniana (Euphorbiaceae) Lipids. 1997;32:549–557. doi: 10.1007/s11745-997-0070-8. [DOI] [PubMed] [Google Scholar]
- 166.Schulte KE, Reisch J, Bornfleth H. The presence of trans-dehydromatricaric acid methyl ester and 1-tridecene-3,5,7,9,11-pentayne in Ricinus communis L. Arch Pharm (Weinheim) 1964;296:443–446. doi: 10.1002/ardp.19642970707. [DOI] [PubMed] [Google Scholar]
- 167.Herrmann M, Böhlendorf B, Irschik H, Reichenbach H, Höfle G. Maracin and maracen: new types of ethynyl vinyl ether and α-chloro divinyl ether antibiotics from Sorangium cellulosum with specific activity against mycobacteria. Angew Chem Int Ed Engl. 1998;37:1253–1255. doi: 10.1002/(SICI)1521-3773(19980518)37:9<1253::AID-ANIE1253>3.0.CO;2-T. [DOI] [PubMed] [Google Scholar]
- 168.Galliard T, Phillips DR. The enzymic conversion of linoleic acid into 9-(nona-1′,3′-dienoxy)non-8-enoic acid, a novel unsaturated ether derivative isolated from homogenates of Solanum tuberosum tubers. Biochem J. 1972;129:743–753. doi: 10.1042/bj1290743. [DOI] [PMC free article] [PubMed] [Google Scholar]
- 169.Sörensen NA. Taxonomic significance of acetylenic compounds in plants. Recent Adv Phytochem. 1968;1:187–227. [Google Scholar]
- 170.Hansen L, Boll PM. Polyacetylenes in Araliaceae: their chemistry, biosynthesis and biological synthesis. Phytochemistry. 1986;25:285–293. [Google Scholar]
- 171.Sayanova O, Haslam R, Guschina I, Lloyd D, Christie WW, Harwood JL, et al. A bi-functional Δ12, Δ15 desaturase from Acanthamoeba castellanii directs the synthesis of highly unusual N-1 series unsaturated fatty acids. J Biol Chem. 2006;281:36533–36541. doi: 10.1074/jbc.M605158200. [DOI] [PubMed] [Google Scholar]
- 172.Soliday CL, Kolattukudy PE. Biosynthesis of cutin. Hydroxylation of fatty acids by a microsomal preparation from germinating Vicia faba. Plant Physiol. 1977;59:1116–1121. doi: 10.1104/pp.59.6.1116. [DOI] [PMC free article] [PubMed] [Google Scholar]
- 173.Benveniste I, Salaün J-P, Simon A, Reichhart D, Durst F. Cytochrome P-450-dependent ω-hydroxylation of lauric acid by microsomes from pea seedlings. Plant Physiol. 1982;70:122–126. doi: 10.1104/pp.70.1.122. [DOI] [PMC free article] [PubMed] [Google Scholar]
- 174.Wellesen K, Durst F, Pinot F, Benveniste I, Nettesheim K, Wisman E, et al. Functional analysis of the LACERATA gene of Arabidopsis provides evidence for different roles of fatty acid ω-hydroxylation in development. Proc Natl Acad Sci USA. 2001;98:9694–9699. doi: 10.1073/pnas.171285998. [DOI] [PMC free article] [PubMed] [Google Scholar]
- 175.Nakayama N, Takemae A, Shoun H. Cytochrome P450foxy, a catalytically self-sufficient fatty acid hydroxylase of the fungus Fusarium oxysporum. J Biochem. 1996;119:435–439. doi: 10.1093/oxfordjournals.jbchem.a021260. [DOI] [PubMed] [Google Scholar]
- 176.Zimmerlin A, Salaün J-P, Durst F, Mioskowski C. Cytochrome P-450-dependent hydroxylation of lauric acid at the subterminal position and oxidation of unsaturated analogs in wheat microsomes. Plant Physiol. 1992;100:868–873. doi: 10.1104/pp.100.2.868. [DOI] [PMC free article] [PubMed] [Google Scholar]
- 177.Cabello-Hurtado F, Batard Y, Salaün J-P, Durst F, Pinot F, Werck-Reichharti D. Cloning, expression in yeast, and functional characterization of CYP81B1, a plant cytochrome P450 that catalyzes in-chain hydroxylation of fatty acids. J Biol Chem. 1998;273:7260–7267. doi: 10.1074/jbc.273.13.7260. [DOI] [PubMed] [Google Scholar]
- 178.Imaishi H, Petkova-Andonova M. Molecular cloning of CYP76B9, a cytochrome P450 from Petunia hybrida, catalyzing the ω-hydroxylation of capric acid and lauric acid. Biosci Biotechnol Biochem. 2007;71:104–113. doi: 10.1271/bbb.60396. [DOI] [PubMed] [Google Scholar]
- 179.Petkova-Andonova M, Imaishi H, Ohkawa H. CYP92B1, a cytochrome P450, expressed in Petunia flower buds, that catalyzes monooxidation of long-chain fatty acids. Biosci Biotechnol Biochem. 2002;66:1819–1828. doi: 10.1271/bbb.66.1819. [DOI] [PubMed] [Google Scholar]
- 180.Le Bouquin R, Skrabs M, Kahn R, Benveniste I, Salaun J-P, Schreiber L, et al. CYP94A5, a new cytochrome P450 from Nicotiana tabacum is able to catalyze the oxidation of fatty acids to the ω-alcohol and to the corresponding diacid. Eur J Biochem. 2001;268:3083–3090. doi: 10.1046/j.1432-1327.2001.02207.x. [DOI] [PubMed] [Google Scholar]
- 181.Kandel S, Sauveplane V, Olry A, Diss L, Benveniste I, Pinot F. Cytochrome P450-dependent fatty acid hydroxylases in plants. Phytochem Rev. 2006;5:359–372. [Google Scholar]
- 182.Slootweg AFG. Rootrot of bulbs caused by Pratylenchus and Hoplolaimus sp. Nematologica. 1956;1:192–201. [Google Scholar]
- 183.Reynolds LB, Potter JW, Ball-Coelho BR. Crop rotation with Tagetes sp is an alternative to chemical fumigation for control of root-lesion nematodes. Agron J. 2000;92:957–966. [Google Scholar]
- 184.Uhlenbroek JH, Bijloo JD. Investigations on nematicides. I Isolation and structure of a nematicidal principle occurring in Tagetes roots. Rec Trav Chim Pays-Bas. 1958;77:1004–1009. [Google Scholar]
- 185.Chitwood DJ. Phytochemical based strategies for nematode control. Ann Rev Phytopathol. 2002;40:221–249. doi: 10.1146/annurev.phyto.40.032602.130045. [DOI] [PubMed] [Google Scholar]
- 186.Margl L, Tei A, Gyurján I, Wink M. GLC and GLC-MS analysis of thiophene derivatives in plants and in in vitro cultures of Tagetes patula L (Asteraceae) Z Naturforsch C. 2002;57:63–71. doi: 10.1515/znc-2002-1-211. [DOI] [PubMed] [Google Scholar]
- 187.Schuetz RD, Waggoner TB, Byerrum RU. Biosynthesis of 2,2′;5′2″-terthienyl in the common marigold. Biochemistry. 1965;4:436–440. doi: 10.1021/bi00879a009. [DOI] [PubMed] [Google Scholar]
- 188.Croes AF, Jacobs JJMR, Arroo RRJ, Wullems GJ. Thiophene biosynthesis in Tagetes roots: molecular versus metabolic regulation. Plant Cell Tiss Organ Cult. 1994;38:159–165. [Google Scholar]
- 189.Margl L, Eisenreich W, Adam P, Bacher A, Zenk MH. Biosynthesis of thiophenes in Tagetes patula. Phytochemistry. 2001;58:875–881. doi: 10.1016/s0031-9422(01)00360-0. [DOI] [PubMed] [Google Scholar]
- 190.Arroo RRJ, Jacobs JJMR, de Koning EAH, de Waard M, van de Westerlo E, van Galen PM, et al. Thiophene interconversions in Tagetes patula hairy-root cultures. Phytochemistry. 1995;38:1193–1197. [Google Scholar]
- 191.Christensen LP, Lam J. Flavones and other constituents from Centaurea species. Phytochemistry. 1991;30:2663–2665. [Google Scholar]
- 192.Gertsch J, Schoop R, Kuenzle U, Suter A. Echinacea alkylamides modulate TNF-alpha gene expression via cannabinoid receptor CB2 and multiple signal transduction pathways. FEBS Lett. 2004;577:563–9. doi: 10.1016/j.febslet.2004.10.064. [DOI] [PubMed] [Google Scholar]
- 193.Ramirez-Chavez E, Lopez-Bucio J, Herrera-Estrella L, Molina-Torres J. Alkamides isolated from plants promote growth and alter root development in Arabidopsis. Plant Physiol. 2004;134:1058–68. doi: 10.1104/pp.103.034553. [DOI] [PMC free article] [PubMed] [Google Scholar]
- 194.Bohlmann F, Dallwitz E. Notiz über die Biogenese von polyinamiden. Chem Ber. 1974;107:2120–2122. [Google Scholar]
- 195.Mhaske V, Perera A, Upton B, Nikolau B. Alkamide biosynthesis in Echinacea. International Symposium on Plant Lipids; East Lansing, MI. 2006. [Google Scholar]
- 196.Hill AM. The biosynthesis, molecular genetics and enzymology of the polyketide-derived metabolites. Nat Prod Rep. 2006;23:256–320. doi: 10.1039/b301028g. [DOI] [PubMed] [Google Scholar]
- 197.DeVoss JJ, Hangeland JJ, Townsend CA. Characterization of the in vitro cyclization chemistry of calicheamicin and its relation to DNA cleavage. J Am Chem Soc. 1990;112:4554–4556. [Google Scholar]
- 198.Sievers EL, Linenberger M. Mylotarg: antibody-targeted chemotherapy comes of age. Curr Opin Oncol. 2001;13:522–527. doi: 10.1097/00001622-200111000-00016. [DOI] [PubMed] [Google Scholar]
- 199.Wu AM, Senter PD. Arming antibodies: prospects and challenges for immunoconjugates. Nat Biotechnol. 2005;23:1137–1146. doi: 10.1038/nbt1141. [DOI] [PubMed] [Google Scholar]
- 200.Galm U, Hager MH, Van Lanen SG, Ju J, Thorson JS, Shen B. Antitumor antibiotics: bleomycin, enediynes, and mitomycin. Chem Rev. 2005;105:739–758. doi: 10.1021/cr030117g. [DOI] [PubMed] [Google Scholar]
- 201.Myers AG, Dragovich PS, Kuo EY. Studies on the thermal generation and reactivity of a class of (σ,π)-1,4-biradicals. J Am Chem Soc. 1992;114:9369–9386. [Google Scholar]
- 202.Schmittel M, Steffena JP, Maywalda M, Engels B, Helten H, Musch P. Ring size effects in the C2–C6 biradical cyclisation of enyne–allenes and the relevance for neocarzinostatin. J Chem Soc, Perkin Trans 2. 2001:1331–1339. [Google Scholar]
- 203.Nicolaou KC. The enediyne antibiotics. In: Stang PJ, Diederich F, editors. Modern Acetylene Chemistry. Weinheim: VCH; 1995. pp. 203–283. [Google Scholar]
- 204.Schreiner PR. Cyclic enediynes: relationship between ring size, alkyne carbon distance, and cyclizatiion barrier. Chem Commun. 1998:483–484. [Google Scholar]
- 205.McDonald LA, Capson TL, Krishnamurthy G, Ding WD, Ellestad GA, Bernan VS, et al. Namenamicin, a new enediyne antitumor antibiotic from the marine ascidian Polysyncraton lithostrotum. J Am Chem Soc. 1996;118:10898–10899. [Google Scholar]
- 206.Oku N, Matsunaga S, Fusetani N. Shishijimicins A-C, novel enediyne antitumor antibiotics from the ascidian Didemnum proliferum. J Am Chem Soc. 2003;125:2044–2045. doi: 10.1021/ja0296780. [DOI] [PubMed] [Google Scholar]
- 207.Borders DB, Doyle TW. Enediyne Antibiotics as Antitumor Agents. New York: Marcel Dekker; 1995. [Google Scholar]
- 208.Hensens OD, Giner J-L, Goldberg IH. Biosynthesis of NCS Chrom A, the chromophore of the antitumor antibiotic neocarzinostatin. J Am Chem Soc. 1989;111:3295–3299. [Google Scholar]
- 209.Tokiwa Y, Miyoshi-Saitoh M, Kobayashi H, Sunaga R, Konishi M, Oki T, et al. Biosynthesis of dynemicin A, a 3-ene-1,5-diyne antitumor antibiotic. J Am Chem Soc. 1992;114:4107–4110. [Google Scholar]
- 210.Lam KS, Veitch JA, Golik J, Krishnan B, Klohr SE, Volk KJ, et al. Biosynthesis of esperamicin A1, an enediyne antitumor antibiotic. J Am Chem Soc. 1993;115:12340–12345. [Google Scholar]
- 211.Decker H, Gaisser S, Pelzer S, Schneider P, Westrich L, Wohlleben W, et al. A general approach for cloning and characterizaing dNDP-glucose dehydratase genes from actinomycetes. FEMS Microbiol Lett. 1996;141:195–201. doi: 10.1111/j.1574-6968.1996.tb08384.x. [DOI] [PubMed] [Google Scholar]
- 212.Ahlert J, Shepard E, Lomovskaya N, Zazopoulos E, Staffa A, Bachmann BO, et al. The calicheamicin gene cluster and its iterative type I enediyne PKS. Science. 2002;297:1173–1176. doi: 10.1126/science.1072105. [DOI] [PubMed] [Google Scholar]
- 213.Shen B. Polyketide biosynthesis beyond the type I, II and III polyketide synthase paradigms. Curr Opin Chem Biol. 2003;7:285–295. doi: 10.1016/s1367-5931(03)00020-6. [DOI] [PubMed] [Google Scholar]
- 214.Liu W, Christenson SD, Standage S, Shen B. Biosynthesis of the enediyne antitumor antibiotic C-1027. Science. 2002;297:1170–1173. doi: 10.1126/science.1072110. [DOI] [PubMed] [Google Scholar]
- 215.Liu W, Ahlert J, Gao Q, Wendt-Pienkowski E, Shen B, Thorson JS. Rapid PCR amplification of minimal enediyne polyketide synthase cassettes leads to a predictive familial classification model. Proc Natl Acad Sci USA. 2003;100:11959–11963. doi: 10.1073/pnas.2034291100. [DOI] [PMC free article] [PubMed] [Google Scholar]
- 216.Metz JG, Roessler P, Facciotti D, Levering C, Dittrich F, Lassner M, et al. Production of polyunsaturated fatty acids by polyketide synthases in both prokaryotes and eukaryotes. Science. 2001;293:290–293. doi: 10.1126/science.1059593. [DOI] [PubMed] [Google Scholar]
- 217.Richelle-Maurer E, Gomez R, Braekman J-C, Van de Vyver G, Van Soest RWM, Devijver C. Primary cultures from the marine sponge Xestospongia muta (Petrosiidae, Haplosclerida) J Biotechnol. 2003;100:169–176. doi: 10.1016/s0168-1656(02)00251-1. [DOI] [PubMed] [Google Scholar]
- 218.Fieseler L, Hentschel U, Grozdanov L, Schirmer A, Wen G, Platzer M, et al. Widespread occurrence and genomic context of unusually small polyketide synthase genes in microbial consortia associated with marine sponges. Appl Envir Microbiol. 2007;73:2144–2155. doi: 10.1128/AEM.02260-06. [DOI] [PMC free article] [PubMed] [Google Scholar]
- 219.Udwary DW, Zeigler L, Asolkar RN, Singan V, Lapidus A, Fenical W, et al. Genome sequencing reveals complex secondary metabolome in the marine actinomycete Salinispora tropica. Proc Natl Acad Sci USA. 2007;104:10376–10381. doi: 10.1073/pnas.0700962104. [DOI] [PMC free article] [PubMed] [Google Scholar]
- 220.Buchanan GO, Williams PG, Feling RH, Kauffman CA, Jensen PR, Fenical W. Sporolides A and B: structurally unprecedented halogenated macrolides from the marine actinomycete Salinispora tropica. Org Lett. 2005;7:2731–2739. doi: 10.1021/ol050901i. [DOI] [PubMed] [Google Scholar]
- 221.Oh D-C, Williams PG, Kauffman CA, Jensen PR, Fenical W. Cyanosporasides A and B, chloro- and cyano-cyclopenta [a]indene glycosides from the marine actinomycete Salinispora pacifica. Org Lett. 2007;8:1021–1024. doi: 10.1021/ol052686b. [DOI] [PubMed] [Google Scholar]
- 222.Cramer CJ, Kormos BL, Seierstad M, Sherer EC, Winget P. Biradical and zwitterionic cyclizations of oxy-substituted enyne-allenes. Org Lett. 2001;3:1881–1884. doi: 10.1021/ol015935e. [DOI] [PubMed] [Google Scholar]
- 223.Edwards DJ, Marquez BL, Nogle LM, McPhail K, Goeger DE, Roberts MA, et al. Structure and biosynthesis of the jamaicamides, new mixed polyketide-peptide neurotoxins from the marine cyanobacterium Lyngbya majuscula. Chem Biol. 2004;11:817–833. doi: 10.1016/j.chembiol.2004.03.030. [DOI] [PubMed] [Google Scholar]
- 224.Knutzon DS, Thurmond JM, Huang YS, Chaudhary S, Bobik EG, Jr, Chan GM, et al. Identification of Δ5-desaturase from Mortierella alpina by heterologous expression in Bakers’ yeast and canola. J Biol Chem. 1998;273:29360–29366. doi: 10.1074/jbc.273.45.29360. [DOI] [PubMed] [Google Scholar]
- 225.Mitchell AG, Martin CE. A novel cytochrome b5-like domain is linked to the carboxyl terminus of the Saccharomyces cerevisiae Δ9-fatty acid desaturase. J Biol Chem. 1995;270:29766–29772. doi: 10.1074/jbc.270.50.29766. [DOI] [PubMed] [Google Scholar]
- 226.Prista LN. Contribuição para o estudo químico da Rhodotorula glutinis var lusitanica. Anais Fac Farm Porto. 1954;14:19–36. [Google Scholar]
- 227.Albertini AM, Caramori T, Scoffone F, Scotti C, Galizzi A. Sequence around the 159 degree region of the Bacillus subtilis genome: the pksX locus spans 33.6 kb. Microbiology. 1995;141:299–309. doi: 10.1099/13500872-141-2-299. [DOI] [PubMed] [Google Scholar]
- 228.El-Sayed AK, Hothersall J, Cooper SM, Stephens E, Simpson TJ, Thomas CM. Characterization of the mupirocin biosynthesis gene cluster from Pseudomonas fluorescens NCIMB 10586. Chem Biol. 2003;10:419–430. doi: 10.1016/s1074-5521(03)00091-7. [DOI] [PubMed] [Google Scholar]
- 229.Cheng YQ, Tang GL, Shen B. Identification and localization of the gene cluster encoding biosynthesis of the antitumor macrolactam leinamycin in Streptomyces atroolivaceus S-140. J Bacteriol. 2002;184:7013–7024. doi: 10.1128/JB.184.24.7013-7024.2002. [DOI] [PMC free article] [PubMed] [Google Scholar]
- 230.Chang Z, Flatt P, Gerwick WH, Nguyen V, Willis C, Sherman D. The barbamide biosynthetic gene cluster: a novel marine cyanobacterial system of mixed polyketide synthase (PKS)-non-ribosomal peptide synthetase (NRPS) origin involving an unusual trichloroleucyl starter unit. Gene. 2002;296:235–247. doi: 10.1016/s0378-1119(02)00860-0. [DOI] [PubMed] [Google Scholar]
- 231.Guenzi E, Galli G, Grgurina I, Gross DC, Grandi G. Characterization of the syringomycin synthetase gene cluster – A link between prokaryotic and eukaryotic peptide synthetases. J Biol Chem. 1998;273:32857–32863. doi: 10.1074/jbc.273.49.32857. [DOI] [PubMed] [Google Scholar]
- 232.Du L, Sanchez C, Chen M, Edwards DJ, Shen B. The biosynthetic gene cluster for the antitumor drug bleomycin from Streptomyces verticillus ATCC 15003 supporting fuctional interactions between nonribosomal peptide synthetases and a polyketide synthase. Chem Biol. 2000;7:623–642. doi: 10.1016/s1074-5521(00)00011-9. [DOI] [PubMed] [Google Scholar]
- 233.Pohnert G, Jung V. Intracellular compartmentation in the biosynthesis of caulerpenyne: study on intact macroalgae using stable-isotope-labeled precursors. Org Lett. 2003;5:5091–5093. doi: 10.1021/ol036163k. [DOI] [PubMed] [Google Scholar]
- 234.Schwender J, Gemünden C, Lichtenthaler HK. Chlorophyta exclusively use the 1-deoxyxylulose 5-phosphate/2-C-methylerythritol 4-phosphate pathway for the biosynthesis of isoprenoids. Planta. 2001;212:416–423. doi: 10.1007/s004250000409. [DOI] [PubMed] [Google Scholar]
- 235.Sun HH, Fenical W. Rhipocephalin and rhipocephenal; toxic feeding deterrents from the tropical marine alga Rhipocephalus phoenix. Tetrahedron Lett. 1979:685–688. [Google Scholar]
- 236.Cutignano A, Naotti V, d’Ippolito G, Coll AD, Cimino G, Fontana A. Lipase-mediated production of defensive toxins in the marine mollusc Oxynoe olivacea. Org Biomol Chem. 2004;2:3167–3171. doi: 10.1039/B410454D. [DOI] [PubMed] [Google Scholar]
- 237.Fontana A, Ciavatta ML, Mollo E, Naik CG, Wahidulla S, D’Souza L, et al. Volvatellin, caulerpenyne-related product from the sacoglossan Volvatella sp. J Nat Prod. 1999;62:931–933. doi: 10.1021/np990011+. [DOI] [PubMed] [Google Scholar]
- 238.Gavagnin M, Mollo E, Montanaro D, Ortea J, Cimono G. Chemical studies of Caribbean sacoglossans: dietary relationships with green algae and ecological implications. J Chem Ecol. 2000;26:1563–1578. [Google Scholar]
- 239.Gallimore WA, Kelly M, Scheuer PJ. Gelliusterols A-D, new acetylenic sterols from a sponge, Gellius species. J Nat Prod. 2001;64:741–744. doi: 10.1021/np000585a. [DOI] [PubMed] [Google Scholar]
- 240.Steiner E, Djerassi C, Fattorusso D, Magno S, Mayol L, Santacroce C, et al. 52 Isolation, structure determination and synthesis of new acetylenic steroids from the sponge Calyx nicaaensis. Helv Chim Acta. 1977;60:475–481. [Google Scholar]
- 241.Giner J-L, Djerassi C. Biosynthetic studies of marine lipids. 31 Evidence for a protonated cyclopropyl intermediate in the biosynthesis of 24-propylidenecholesterol. J Am Chem Soc. 1991;113:1386–1393. [Google Scholar]
- 242.Akihisa T, Tamura T, Matsumoto T, Kokke WCMC, Yokota T. Isolation of acetylenic sterols from a higher plant. Further evidence that marine sterols are not unique. J Org Chem. 1989;54:606–610. [Google Scholar]
- 243.Renaud JM, Tsoupras G, Tabacchi R. Biologically active natural acetylenic compounds from Eutypa lata (Pers:F) Helv Chim Acta. 1989;72:929–932. [Google Scholar]
- 244.Johnson JH, Meyers E, O’Sullivan J, Phillipson DW, Robinson G, Trejo WH, et al. Culpin, a novel hydroquinone antibiotic of fungal origin. J Antibiot. 1989;42:1515–1517. doi: 10.7164/antibiotics.42.1515. [DOI] [PubMed] [Google Scholar]
- 245.Dubin GM, Flyerat A, Tabacchi R. Acetylenic aromatic compounds from Stereum hirsutum. Phytochemistry. 2000;53:571–574. doi: 10.1016/s0031-9422(99)00565-8. [DOI] [PubMed] [Google Scholar]
- 246.Molyneux RJ, Mahoney N, Bayman P, Wong RY, Meyer K, Irelan N. Eutypa dieback in grapevines: differential production of acetylenic phenol metabolites by strains of Eutypa lata. J Agric Food Chem. 2002;50:1393–1399. doi: 10.1021/jf011215a. [DOI] [PubMed] [Google Scholar]
- 247.Smith LR, Mahoney N, Molyneux RJ. Synthesis and structure-phytotoxicity relationships of acetylenic phenols and chromene metabolites, and their analogues, from the grapevine pathogen Eutypa lata. J Nat Prod. 2003;66:169–176. doi: 10.1021/np020415t. [DOI] [PubMed] [Google Scholar]
- 248.Deswarte C, Canut H, Klaebe A, Roustan JP, Fallot J. Transport, cytoplasmic accumulation and mechanism of action of the toxin eutypine in Vitis vinifera cells. J Plant Pathol. 1996;149:336–342. [Google Scholar]
- 249.Fallot J, Deswarte C, Dalmayrac S, Colrat S, Roustan JP. Eutypa dieback of grapevine: isolation of a molecule synthesized by Eutypa lata and toxic for grapevine. Compt Rend Acad Sci, Ser III. 1997;320:149–158. [Google Scholar]
- 250.Afifi M, Monje MC, Legrand V, Roustan JP. Metabolisation of eutypine by plant tissues: an HPLC determination. Anal Chim Acta. 2004;513:21–27. [Google Scholar]
- 251.Ishibashi K, Nose K, Shindo T, Arai M, Mishima H. Siccayne: a novel acetylenic metabolite of Helminthosporium siccans. Ann Sankyo Res Lab. 1968;20:76–79. [Google Scholar]
- 252.Kupka J, Anke T, Steglich W, Zechlin L. Antibiotics from basidiomycetes. XI. The biological activity of siccayne, isolated from the marine fungus Halocyphina villosa J. & E Kohlmeyer. J Antibiot. 1981;34:298–304. doi: 10.7164/antibiotics.34.298. [DOI] [PubMed] [Google Scholar]
- 253.Nair MSR, Anchel M. Frustulosin, an antibiotic metabolite of Stereum frustulosum. Tetrahedron Lett. 1975;16:2641–2. [Google Scholar]
- 254.Nair MSR, Anchel M. Frustulosinol, an antibiotic metabolite of Stereum frustulosum: revised structure of frustulosin. Phytochemistry. 1977;16:390–392. [Google Scholar]
- 255.Kim JH, Mahoney N, Chan KL, Molyneux RJ, Campbell BC. Secondary metabolites of the grapevine pathogen Eutypa lata inhibit mitochondrial respiration based on a model bioassay using the yeast Saccharomyces cerevisiae. Curr Microbiol. 2004;49:282–287. doi: 10.1007/s00284-004-4349-9. [DOI] [PubMed] [Google Scholar]
- 256.Jiménez-Teja D, Hernández-Galán R, Collado IG. Metabolites from Eutypa species that are pathogens on grapes. Nat Prod Rep. 2006;23:108–116. doi: 10.1039/b514891j. [DOI] [PubMed] [Google Scholar]
- 257.Cho H, Beale JM, Graff G, Mocek U, Nakagawa A, Omura S, et al. Studies on the biosynthesis of the antibiotic reductiomycin in Streptomyces xanthochromogenus. J Am Chem Soc. 1993;115:12296–12304. [Google Scholar]
- 258.Lomascolo A, Asther M, Navarro D, Antona C, Delattre M, Lesage-Meessen L. Shifting the biotransformation pathways of L-phenylalanine into benzaldehyde by Trametes suaveolens CBS 334.85 using HP20 resin. Lett Appl Microbiol. 2001;32:262–267. doi: 10.1046/j.1472-765x.2001.0873a.x. [DOI] [PubMed] [Google Scholar]
- 259.Silk PJ, Macaulay JB. Stereoselective biosynthesis of chloroarylpropane diols by the basidiomycete Bjerkandera adusta. Chemosphere. 2003;52:503–512. doi: 10.1016/S0045-6535(03)00203-0. [DOI] [PubMed] [Google Scholar]
- 260.Siebertz R, Proksch P, Witte L. Accumulation and biosynthesis of the chromenes precocene I and II in Ageratum houstonianum. Phytochemistry. 1990;29:2135–3138. [Google Scholar]
- 261.Terada K, Honda C, Takeyama S, Suwa K, Kamisako W. Biosynthesis of acetylenic compounds in cultured cells of Asparagus officinalis from [1-13C]- and [U-13C] glucose. Biol Pharm Bull. 1995;18:1472–5. doi: 10.1248/bpb.18.1472. [DOI] [PubMed] [Google Scholar]
- 262.Terada K, Suwa K, Takeyama S, Honda C, Kamisako W. Biosynthesis of the acetylenic compounds in cultured cells of Asparagus officinalis from D- and 13C-labelled phenylalanines. Biol Pharm Bull. 1996;19:748–751. doi: 10.1248/bpb.19.748. [DOI] [PubMed] [Google Scholar]
- 263.Huang YL, Chen CC, Hsu FL, Chen CF. Tannins, flavonol sulfonates, and a norlignan from Phyllanthus virgatus. J Nat Prod. 1998;61:1194–1197. doi: 10.1021/np970336v. [DOI] [PubMed] [Google Scholar]
- 264.Daly JW, Garraffo HM, Spande TF. Amphibian alkaloids. In: Cordell GA, editor. The Alkaloids. San Diego: Academic Press; 1993. pp. 185–288. [Google Scholar]
- 265.Spande TF, Jain P, Garraffo HM, Pannell LK, Yeh HJC, Daly JW, et al. Occurrence and significance of decahydroquinolines from Dendrobatid poison frogs and a myrmicine ant: use of 1H and 13C NMR in their conformational analysis. J Nat Prod. 1999;62:5–21. doi: 10.1021/np980298v. [DOI] [PubMed] [Google Scholar]
- 266.Daly JW, Garraffo HM, Spande TF, Decker MW, Sullivan JP, Williams M. Alkaloids from frog skin: the discovery of epibatidine and the potential for developing novel non-opioid analgesics. Nat Prod Rep. 2000;17:131–135. doi: 10.1039/a900728h. [DOI] [PubMed] [Google Scholar]
- 267.Jones TH, Gorman JST, Snelling RR, Delabie JHC, Blum MS, Garraffo HM, et al. Further alkaloids common to ants and frogs: decahydroquinolines and a quinolizidine. J Chem Ecol. 1999;25:1179–1193. [Google Scholar]
- 268.Clark VC, Raxworthy CJ, Rakotomalala V, Sierwald P, Fisher BL. Convergent evolution of chemical defense in poison frogs and arthropod prey between Madagascar and the Neotropics. Proc Natl Acad Sci USA. 2005;102:11617–11622. doi: 10.1073/pnas.0503502102. [DOI] [PMC free article] [PubMed] [Google Scholar]
- 269.Garraffo HM, Jain P, Spande TF, Daly JW, Jones TH, Smith LJ, et al. Structure of alkaloid 275A, a novel 1-azabicyclo [5.3.0]decane from a Dendrobatid frog, Dendrobates lehmanni: synthesis of the tetrahydrodiastereomers. J Nat Prod. 2001;64:421–427. doi: 10.1021/np0005098. [DOI] [PubMed] [Google Scholar]
- 270.Inoguchi M, Ogawa S, Furukawa S, Kondo H. Production of an allelopathic polyacetylene in hairy root cultures of goldenrod (Solidago altissima L) Biosci Biotechnol Biochem. 2003;67:863–868. doi: 10.1271/bbb.67.863. [DOI] [PubMed] [Google Scholar]
- 271.Flores HE, Dai YR, Cuello JL, Maldonado-Mendoza IE, Loyola-Vargas VM. Green roots: photosynthesis and photoautotrophy in an underground plant organ. Plant Physiol. 1993;101:367–371. doi: 10.1104/pp.101.2.363. [DOI] [PMC free article] [PubMed] [Google Scholar]
- 272.Flores HE, Pickard JJ, Hoy MW. Production of polyacetylenes and thiophenes in heterotropic and photosynthetic root cultures of Asteraceae. In: Lam J, et al., editors. Chemistry and Biology of Naturally Occurring Acetylenes and Related Compounds. Amsterdam: Elsevier; 1988. pp. 233–254. [Google Scholar]
- 273.Ando M, Shimomura K, Yamakawa T, Ishimaru K. Polyacetylene production in hairy root cultures of Wahlenbergia marginata. J Plant Physiol. 1997;151:759–762. [Google Scholar]
- 274.Murakami Y, Shimomura K, Yoshihira K, Ishimaru K. Polyacetylenes in hairy root cultures of Trachelium caeruleum L. J Plant Physiol. 1998;152:574–576. [Google Scholar]
- 275.Ishimaru K, Ando M, Yamakawa T, Touno K, Shimomura K. Polyacetylene production in transformed root cultures of Campanula lactiflora. Nat Med. 1998;52:448–451. [Google Scholar]
- 276.Ishimaru K, Tasaki S, Tanaka N, Shimomura K, Yamakawa T, Yoshihira K. Polyacetylenes in hairy root cultures of Lobelia siphilitica. Jap J Food Chem. 1997;4:85–88. [Google Scholar]
- 277.Jun CA, Baik H, Tada H, Ishimaru K, Sasaki K, Shimomura K. Polyacetylenes in hairy roots of Platycodon grandiflorum. Phytochemistry. 1996;42:69–72. [Google Scholar]
- 278.Ishimaru K, Osabe M, Yan L, Fujioka T, Mihashi K, Tanaka N. Polyacetylene glycosides from Pratia nummularia cultures. Phytochemistry. 2003;62:643–646. doi: 10.1016/s0031-9422(02)00669-6. [DOI] [PubMed] [Google Scholar]
- 279.Zid SA, Orihara Y. Polyacetylenes accumulation in Ambrosia maritima hairy root and cell cultures after elicitation with methyl jasmonate. Plant Cell Tiss Organ Cult. 2005;81:65–75. [Google Scholar]
- 280.Ahmed AA, Elela MAA. Highly oxygenated bisabolenes and an acetylene from Matricaria aurea. Phytochemistry. 2000;2000:825. doi: 10.1016/s0031-9422(99)00020-5. [DOI] [PubMed] [Google Scholar]
- 281.Dat NT, Cai XF, Shen Q, Lee IS, Lee EJ, Park YK, et al. Gymnasterkoreayne G, a new inhibitory polyacetylene against NFAT transcription factor from Gymnaster koraiensis. Chem Pharm Bull. 2005;53:1194–1196. doi: 10.1248/cpb.53.1194. [DOI] [PubMed] [Google Scholar]
- 282.Jung HJ, Min BS, Park JY, Kim YH, Lee HK, Bae KH. Gymnasterkoreaynes A-F, cytotoxic polyacetylenes from Gymnaster koraiensis. J Nat Prod. 2002;65:897–901. doi: 10.1021/np0104018. [DOI] [PubMed] [Google Scholar]
- 283.Casu L, Bonsignore L, Pinna M, Casu M, Floris C, Gertsch J, et al. Cytotoxic diacetylenic spiroketal enol ethers from Plagius losculosus. J Nat Prod. 2006;69:295–298. doi: 10.1021/np0504513. [DOI] [PubMed] [Google Scholar]
- 284.Tian Y, Wei X, Xu H. Photoactivated insecticidal thiophene derivatives from Xanthopappus subacaulis. J Nat Prod. 2006;69:1241–1244. doi: 10.1021/np060209b. [DOI] [PubMed] [Google Scholar]
- 285.Engelmeier D, Hadacek F, Hofer O, Lutz-Kutschera G, Nagl M, Wurz G, et al. Antifungal 3-butylisocoumarins from Asteraceae-Anthemideae. J Nat Prod. 2004;67:19–25. doi: 10.1021/np0301339. [DOI] [PubMed] [Google Scholar]
- 286.Zhou Y-Z, Ma H-Y, Chen H, Qiao L, Yao Y, Cao J-Q, et al. New acetylenic glucosides from Carthamus tinctorius. Chem Pharm Bull. 2006;54:1455–1456. doi: 10.1248/cpb.54.1455. [DOI] [PubMed] [Google Scholar]
- 287.Li S, Kuang H-X, Okada Y, Okuyama T. New acetylenic glucosides from Bidens bipinnata Linne. Chem Pharm Bull. 2004;52:439–440. doi: 10.1248/cpb.52.439. [DOI] [PubMed] [Google Scholar]
- 288.Kitajima J, Kamoshita A, Ishikawa T, Takano A, Fukuda T, Isoda S, et al. Glycosides of Atractylodes lancea. Chem Pharm Bull. 2003;51:673–678. doi: 10.1248/cpb.51.673. [DOI] [PubMed] [Google Scholar]
- 289.Nakai Y, Sakakibara I, Hirakura K, Terabayashi S, Takeda S. A new acetylenic compound from the rhizomes of Atractylodes chinensis and its absolute configuration. Chem Pharm Bull. 2005;53:1580–1581. doi: 10.1248/cpb.53.1580. [DOI] [PubMed] [Google Scholar]
- 290.Stavri M, Mathew KT, Gibson T, Williamson RT, Gibbons S. New constituents of Artemisia monosperma. J Nat Prod. 2004;67:892–894. doi: 10.1021/np030558v. [DOI] [PubMed] [Google Scholar]
- 291.Stavri M, Ford CHJ, Bucar F, Streit B, Hall ML, Williamson RT, et al. Bioactive constituents of Artemisia monosperma. Phytochemistry. 2005;66:233–239. doi: 10.1016/j.phytochem.2004.11.010. [DOI] [PubMed] [Google Scholar]
- 292.Satoh Y, Satoh M, Isobe K, Mohri K, Yoshida Y, Fujimoto Y. Studies on Panax acetylenes: absolute structure of a new Panax acetylene, and inhibitory effects of related acetylenes on the growth of L-1210 cells. Chem Pharm Bull. 2007;55:561–564. doi: 10.1248/cpb.55.561. [DOI] [PubMed] [Google Scholar]
- 293.Yamazoe S, Hasegawa K, Shigemori H. Growth inhibitory indole acetic acid polyacetylenic ester from Japanese ivy (Hedera rhombea Bean) Phytochemistry. 2007;68:1706–1711. doi: 10.1016/j.phytochem.2007.03.036. [DOI] [PubMed] [Google Scholar]
- 294.Papajewski S, Guse J-H, Klaiber I, Roos G, Sübmuth R, Vogler B, et al. Bioassay guided isolation of a new C18-polyacetylene, (+)-9(Z),17-octadecadiene-12,14- diyne-1,11,16-triol, from Cussonia barteri. Planta Med. 1998;64:479–481. doi: 10.1055/s-2006-957492. [DOI] [PubMed] [Google Scholar]
- 295.Ramos F, Takaishi Y, Kawazoe K, Osorio C, Duque C, Acuña R, et al. Immunosuppressive diacetylenes, ceramides and cerebrosides from Hydrocotyle leucocephala. Phytochemistry. 2006;67:1143–1150. doi: 10.1016/j.phytochem.2006.03.004. [DOI] [PubMed] [Google Scholar]
- 296.Zhang H, Lu Z, Tan GT, Qiu S, Farnsworth NR, Pezzuto JM, et al. Polyacetyleneginsenoside-Ro, a novel triterpene saponin from Panax ginseng. Tetrahedron Lett. 2002;43:973–977. [Google Scholar]
- 297.Liu JH, Zschocke S, Reininger E, Bauer R. Inhibitory effects of Angelica pubescens fbiserrata on 5-lipoxygenase and cyclooxygenase. Planta Med. 1998;64:525–529. doi: 10.1055/s-2006-957507. [DOI] [PubMed] [Google Scholar]
- 298.Kobaisy M, Abramowski Z, Lermer L, Saxena G, Hancock REW, Towers GHN, et al. Antimycobacterial polyynes of Devil’s Club (Oplopanax horridus), a North American native medicinal plant. J Nat Prod. 1997;60:1210–1213. doi: 10.1021/np970182j. [DOI] [PubMed] [Google Scholar]
- 299.Lechner D, Stavri M, Oluwatuyi M, Pereda-Miranda R, Gibbons S. The anti-staphylococcal activity of Angelica dahurica (Bai Zhi) Phytochemistry. 2004;65:331–335. doi: 10.1016/j.phytochem.2003.11.010. [DOI] [PubMed] [Google Scholar]
- 300.Fujioka T, Furumi K, Fujii H, Okabe H, Mihashi K, Nakano Y, et al. Antiproliferative constituents from Umbelliferae plants. V A new furanocoumarin and falcarindiol furanocoumarin ethers from the root of Angelica japonica. Chem Pharm Bull. 1999;47:96–100. doi: 10.1248/cpb.47.96. [DOI] [PubMed] [Google Scholar]
- 301.Furumi K, Fujioka T, Fujii H, Okabe H, Nakano Y, Matsunaga H, et al. Novel antiproliferative falcarindiol furanocoumarin ethers from the root of Angelica japonica. Bioorg Med Chem Lett. 1998;8:93–96. doi: 10.1016/s0960-894x(97)10193-7. [DOI] [PubMed] [Google Scholar]
- 302.Baraza LD, Nkunya MHH, Jonker SA, Juma SR, Waibel R. C18 tetraynoic fatty acids and essential oil composition of Mkilua fragrans. Nat Prod Res. 2006;20:187–193. doi: 10.1080/14786410500045960. [DOI] [PubMed] [Google Scholar]
- 303.Zgoda JR, Freyer AJ, Killmer LB, Porter JR. Polyacetylene carboxylic acids from Mitrephora celebica. J Nat Prod. 2001;64:1348–1349. doi: 10.1021/np0102509. [DOI] [PubMed] [Google Scholar]
- 304.Cavin A, Potterat O, Wolfender JL, Hostettmann K, Dyatmyko W. Use of onflow LC/1H NMR for the study of an antioxidant fraction from Orophea enneandra and isolation of a polyacetylene, lignans, and a tocopherol Derivative. J Nat Prod. 1998;61:1497–1501. doi: 10.1021/np980203p. [DOI] [PubMed] [Google Scholar]
- 305.Kanokmedhakul S, Kanokmedhakul K, Kantikeaw I, Phonkerd N. 2-Substituted furans from the roots of Polyalthia evecta. J Nat Prod. 2006;69:68–72. doi: 10.1021/np0503202. [DOI] [PubMed] [Google Scholar]
- 306.Li X-C, Jacob MR, ElSohly HN, Nagle DG, Smillie TJ, Walker LA, et al. Acetylenic acids inhibiting azole-resistant Candida albicans from Pentagonia gigantifolia. J Nat Prod. 2003;66:1132–1135. doi: 10.1021/np030196r. [DOI] [PubMed] [Google Scholar]
- 307.Rasmussen HB, Christensen SB, Kvist LP, Kharazami A, Huansi AG. Absolute configuration and antiprotozoal activity of minquartynoic acid. J Nat Prod. 2000;63:1295–1296. doi: 10.1021/np990604k. [DOI] [PubMed] [Google Scholar]
- 308.Rashid MA, Gustafson KR, Cardellina JHI, Boyd MR. Absolute stereochemistry and anti-HIV activity of minquartynoic acid, a polyacetylene from Ochanostachys amentacea. Nat Prod Lett. 2001;15:21–26. doi: 10.1080/10575630108041253. [DOI] [PubMed] [Google Scholar]
- 309.Ito A, Cui B, Chavez D, Chai HB, Shin YG, Kawanishi K, et al. Cytotoxic polyacetylenes from the twigs of Ochanostachys amentacea. J Nat Prod. 2001;64:246–248. doi: 10.1021/np000484c. [DOI] [PubMed] [Google Scholar]
- 310.Marles RJ, Farnsworth NR, Neill DA. Isolation of a novel cytotoxic polyacetylene from a traditional anthelmintic medicinal plant, Minquartia guianensis. J Nat Prod. 1989;52:261–266. [Google Scholar]
- 311.Fort DM, King SR, Carlson TJ, Nelson ST. Minquartynoic acid from Coula edulis. Biochem Syst Ecol. 2000;28:489–490. doi: 10.1016/s0305-1978(99)00079-4. [DOI] [PubMed] [Google Scholar]
- 312.Kraus CM, Neszmelyi A, Holly S, Wiedemann B, Nenninger A, Torssell KBG, et al. New acetylenes isolated from the bark of Heisteria acuminata. J Nat Prod. 1998;61:422–427. doi: 10.1021/np970357p. [DOI] [PubMed] [Google Scholar]
- 313.Ohashi K, Winaro H, Mukai M, Inoue M, Prana MS, Simanjuntak P, et al. Indonesian medicinal plants. XXV Cancer cell invasion inhibitory effects of chemical constituents in the parasitic plant Scurrula atropurpurea (Loranthaceae) Chem Pharm Bull. 2003;51:343–345. doi: 10.1248/cpb.51.343. [DOI] [PubMed] [Google Scholar]
- 314.Zhao Y, Song G-Q, Guo Y-W. A new acetylenic ketone from the bark of Litsea rotundifolia var oblongifolia. J Asian Nat Prod Res. 2005;7:75–79. doi: 10.1080/10286020310001596006. [DOI] [PubMed] [Google Scholar]
- 315.Oberlies NH, Rogers LL, Martin JM, McLaughlin JL. Cytotoxic and insecticidal constituents of the unripe fruit of Persea americana. J Nat Prod. 1998;61:781–785. doi: 10.1021/np9800304. [DOI] [PubMed] [Google Scholar]
- 316.Min BS, Lee SY, Kim JH, Kwon OK, Park BY, An RB, et al. Lactones from the leaves of Litsea japonica and their anti-complement activity. J Nat Prod. 2003;66:1388–1390. doi: 10.1021/np030227i. [DOI] [PubMed] [Google Scholar]
- 317.Rezanka T, Dembitsky V. Brominated fatty acids from lichen Acorospora gobiensis. Phytochemistry. 1999;50:97–99. [Google Scholar]
- 318.Øezanka T, Dembitsky V. Novel brominated lipidic compounds from lichens of Central Asia. Phytochemistry. 1999;51:963–968. doi: 10.1016/s0031-9422(99)00034-5. [DOI] [PubMed] [Google Scholar]
- 319.Rezanka T, Dembitsky VM. Bromoallenic lipid compounds from lichens of central Asia. Phytochemistry. 2001;56:869–874. doi: 10.1016/s0031-9422(00)00469-6. [DOI] [PubMed] [Google Scholar]
- 320.Young K, Jayasuriya H, Ondeyka JG, Herath K, Zhang C, Kodali S, et al. Discovery of FabH/FabF inhibitors from natural products. Antimicrob Agents Chemother. 2006;50:519–526. doi: 10.1128/AAC.50.2.519-526.2006. [DOI] [PMC free article] [PubMed] [Google Scholar]
- 321.Ondeyka JG, Zink DL, Young K, Painter R, Kodali S, Galgoci A, et al. Discovery of bacterial fatty acid synthase inhibitors from a Phoma species as antimicrobial agents using a new antisense-based strategy. J Nat Prod. 2006;69:377–380. doi: 10.1021/np050416w. [DOI] [PubMed] [Google Scholar]
- 322.Schlingmann G, Milne L, Pearce CJ, Borders DB, Greenstein M, Maiese WM, et al. Isolation, characterization and structure of a new allenic polyine antibiotic produced by fungus LL-07F275. J Antibiot. 1995;48:375–379. doi: 10.7164/antibiotics.48.375. [DOI] [PubMed] [Google Scholar]
- 323.Kuhnt D, Anke T, Bross M, Herrmann R, Mocek U, Steffan B, et al. Antibiotics from basidiomycetes. XXXVII New inhibitors of cholesterol biosynthesis from cultures of Xerula melanotricha Dörfelt. J Antibiot. 1990;43:1413–1420. doi: 10.7164/antibiotics.43.1413. [DOI] [PubMed] [Google Scholar]
- 324.Tomoda H, Kumagai H, Tanaka H, Omura S. F-244 specifically inhibits 3-hydroxy-3-methylglutaryl coenzyme A synthase. Biochim Biophys Acta. 1987;922:351–356. [PubMed] [Google Scholar]
- 325.Yoshikawa K, Bando S, Arihara S, Matsumura E, Katayama S. A benzofuran glycoside and an acetylenic acid from the fungus Laetiporus sulphureus var miniatus. Chem Pharm Bull. 2001;49:327–329. doi: 10.1248/cpb.49.327. [DOI] [PubMed] [Google Scholar]
- 326.Arnone A, Nasini G, Vajna de Pava O. Structure and absolute configuration of new acetylenic compounds isolated from cultures of Clitocybe catinus. Phytochemistry. 2000;53:1087–1090. doi: 10.1016/s0031-9422(99)00499-9. [DOI] [PubMed] [Google Scholar]
- 327.Lim YJ, Park HS, Im KS, Lee C-O, Hong J, Lee M-Y, et al. Additional cytotoxic polyacetylenes from the marine sponge Petrosia species. J Nat Prod. 2001;64:46–53. doi: 10.1021/np000252d. [DOI] [PubMed] [Google Scholar]
- 328.Cimino G, de Giulio A, de Rosa S, de Stefano S, Sodano G. Further high molecular weight polyacetylenes from the sponge Petrosia ficiformis. J Nat Prod. 1985;48:22–27. [Google Scholar]
- 329.Cimino G, De Giulio A, De Rosa S, Di Marzo V. High molecular weight polyacetylenes from Petrosia ficiformis: further structural analysis and biological activity. Tetrahedron Lett. 1989;30:3563–3566. [Google Scholar]
- 330.Cimino G, De Giulio A, De Rosa S, Di Marzo V. Minor bioactive polyacetylenes from Petrosia ficiformis. J Nat Prod. 1990;53:345–353. [Google Scholar]
- 331.Guo Y-W, Gavagnin M, Trivellone E, Cimino G. Absolute stereochemistry of petroformynes, high molecular polyacetylenes from the marine sponge Petrosia ficiformis. Tetrahedron. 1994;50:13261–13268. [Google Scholar]
- 332.Guo Y, Gavagnin M, Trivellone E, Cimino G. Further structural studies on the petroformynes. J Nat Prod. 1995;58:712–722. [Google Scholar]
- 333.Guo Y, Gavagnin M, Salierno C, Cimino G. Further petroformynes from both Atlantic and Mediterranean populations of the sponge Petrosia ficiformis. J Nat Prod. 1998;61:333–337. doi: 10.1021/np970424f. [DOI] [PubMed] [Google Scholar]
- 334.Seo Y, Cho KW, Rho J-R, Shin J, Sim CJ. Petrocortynes and petrosiacetylenes, novel polyacetylenes from a sponge of the genus Petrosia. Tetrahedron. 1998;54:447–462. [Google Scholar]
- 335.Shin J, Seo Y, Cho KW. Five new polyacetylenes from a sponge of the genus Petrosia. J Nat Prod. 1998;61:1268–1273. doi: 10.1021/np9802015. [DOI] [PubMed] [Google Scholar]
- 336.Kim JS, Im KS, Jung JH, Kim Y-L, Kim J, Sim CJ, et al. New bioactive polyacetylenes from the marine sponge Petrosia sp. Tetrahedron. 1998;54:3151–3158. [Google Scholar]
- 337.Kim JS, Im KS, Jung JH, Lee C-O, Hong J, Kim D-k. Cytotoxic polyacetylenes from the marine sponge Petrosia sp. J Nat Prod. 1999;62:554–559. doi: 10.1021/np9803427. [DOI] [PubMed] [Google Scholar]
- 338.Lim YJ, Lee C-O, Hong J, Kim D-k, Im KS, Jung JH. Cytotoxic polyacetylenic alcohols from the marine sponge Petrosia species. J Nat Prod. 2001;64:1565–1567. doi: 10.1021/np010247p. [DOI] [PubMed] [Google Scholar]
- 339.Li H-Y, Matsunaga S, Fusetani N. Corticatic acids A-C, antifungal acetylenic acids from the marine sponge, Petrosia corticata. J Nat Prod. 1994;57:1464–1467. doi: 10.1021/np50112a022. [DOI] [PubMed] [Google Scholar]
- 340.Nishimura S, Matsunaga S, Shibazaki M, Suzuki K, Harada N, Naoki H, et al. Corticatic acids D and E, polyacetylenic geranylgeranyltransferase type I inhibitors, from the marine sponge Petrosia corticata. J Nat Prod. 2002;65:1353–1356. doi: 10.1021/np020080f. [DOI] [PubMed] [Google Scholar]
- 341.Guerriero A, Debitus C, Laurent D, D’Ambrosio M, Pietra F. Aztèquynol A, the first clearly defined, C-branched polyacetylene and the analogue Aztèquynol B. Isolation from the tropical marine sponge Petrosia sp. Tetrahedron Lett. 1998;39:6395–6398. [Google Scholar]
- 342.Nakao Y, Uehara T, Matunaga S, Fusetani N, van Soest RWM. Callyspongynic acid, a polyacetylenic acid which inhibits alpha-glucosidase, from the marine sponge Callyspongia truncata. J Nat Prod. 2002;65:922–924. doi: 10.1021/np0106642. [DOI] [PubMed] [Google Scholar]
- 343.Lim YJ, Kim JS, Im KS, Jung JH, Lee C-O, Hong J, et al. New cytotoxic polyacetylenes from the marine sponge Petrosia. J Nat Prod. 1999;62:1215–1217. doi: 10.1021/np9900371. [DOI] [PubMed] [Google Scholar]
- 344.Kobayashi J, Naitoh K, Ishida K, Shigemori H, Ishibashi M. Nepheliosyne A, new C47 acetylenic acid from the Okinawan marine sponge Xestospongia sp. J Nat Prod. 1994;57:1300–1303. doi: 10.1021/np50111a021. [DOI] [PubMed] [Google Scholar]
- 345.Chill L, Miroz A, Kashman Y. Haliclonyne, a new highly oxygenated polyacetylene from the marine sponge Haliclona species. J Nat Prod. 2000;63:523–526. doi: 10.1021/np990342m. [DOI] [PubMed] [Google Scholar]
- 346.Shin J, Seo Y, Cho KW, Rho J-R, Paul VJ. Osirisynes A-F, highly oxygenated polyacetylenes from the sponge Haliclona osiris. Tetrahedron. 1998;54:8711–8720. [Google Scholar]
- 347.Ortega MJ, Zubia E, Carballo JL, Salva J. Fulvinol, a new long-chain diacetylenic metabolite from the sponge Reniera fulva. J Nat Prod. 1996;59:1069–1071. [Google Scholar]
- 348.Isaacs S, Kashman Y, Loya S, Hizi A, Loya Y. Petrosynol and petrosolic acid, two novel natural inhibitors of the reverse transcriptase of human immunodeficiency virus from Petrosia sp. Tetrahedron. 1993;49:10435–10438. [Google Scholar]
- 349.Barry CE, Lee RE, Mdluli K, Sampson AE, Schroeder BG, Slayden RA, et al. Mycolic acids: structure, biosynthesis and physiological functions. Prog Lipid Res. 1998;37:143–179. doi: 10.1016/s0163-7827(98)00008-3. [DOI] [PubMed] [Google Scholar]
- 350.Walker RW, Prome JC, Lacave CS. Biosynthesis of mycolic acids. Formation of a C32 beta-keto ester from palmitic acid in a cell-free system of Corynebacterium diphtheriae. Biochim Biophys Acta. 1973;326:52–62. doi: 10.1016/0005-2760(73)90027-1. [DOI] [PubMed] [Google Scholar]
- 351.Shimakata T, Iwaki M, Kusaka T. In vitro synthesis of mycolic acids by the fluffy layer fraction of Bacterionema matruchotii. Arch Biochem Biophys. 1984;229:329–339. doi: 10.1016/0003-9861(84)90159-0. [DOI] [PubMed] [Google Scholar]
- 352.Gande R, Gibson KJ, Brown AK, Krumbach K, Dover LG, Sahm H, et al. Acyl-CoA carboxylases (accD2 and accD3), together with a unique polyketide synthase (Cg-pks), are key to mycolic acid biosynthesis in Corynebacterianeae such as Corynebacterium glutamicum and Mycobacterium tuberculosis. J Biol Chem. 2004;279:44847–44857. doi: 10.1074/jbc.M408648200. [DOI] [PubMed] [Google Scholar]
- 353.Takayama K, Wang C, Besra GS. Pathway to synthesis and processing of mycolic acids in Mycobacterium tuberculosis. Clin Microbiol Rev. 2005;18:81–101. doi: 10.1128/CMR.18.1.81-101.2005. [DOI] [PMC free article] [PubMed] [Google Scholar]
- 354.Fleming I, Harley-Mason J. A new synthesis of acetylenic bonds and its biosynthetic implications. Proc Chem Soc. 1961:245–246. [Google Scholar]
- 355.Dai JR, Hallock YF, Cardellina JH, Gray GN, Boyd MR. Triangulynes A-H and triangulynic acid, new cytotoxic polyacetylenes from the marine sponge Pellina triangulata. J Nat Prod. 1996;59:860–865. doi: 10.1021/np960366i. [DOI] [PubMed] [Google Scholar]
- 356.Aoki S, Matsui K, Takata T, Hong W, Kobayashi M. Lembehyne A, a spongean polyacetylene, induces neuronal differentiation in neuroblastoma cell. Biochem Biophys Res Commun. 2001;289:558–563. doi: 10.1006/bbrc.2001.6012. [DOI] [PubMed] [Google Scholar]
- 357.Aoki S, Matsui K, Takata T, Kobayashi M. In situ photoaffinity labeling of the target protein for lembehyne A, a neuronal differentiation inducer. FEBS Lett. 2003;544:223–227. doi: 10.1016/s0014-5793(03)00506-4. [DOI] [PubMed] [Google Scholar]
- 358.Aoki S, Matsui K, Wei H, Murakami N, Kobayashi M. Structure-activity relationship of neuritogenic spongean acetylene alcohols, lembehynes. Tetrahedron. 2002;58:5417–5422. [Google Scholar]
- 359.Hooper JNA, Van Soest RWM. Suborder Petrosina Boury-Esnault & Van Beveren. In: Hooper JNA, Van Soest RWM, editors. Systema Porifera: a guide to the classification of Sponges. New York, NY: Kluwer Academic/Plenum Publishers; 2002. pp. 891–918. [Google Scholar]
- 360.Shen Y-C, Prakash CVS. Two new acetylenic derivatives and a new meroditerpenoid from a Taiwanese marine sponge Strongylophora durissima. J Nat Prod. 2000;63:1686–1688. doi: 10.1021/np0002583. [DOI] [PubMed] [Google Scholar]
- 361.Watanabe K, Tsuda Y, Yamane Y, Takahashi K, Iguchi K, Naoki H, et al. Strongylodiols A, B and C, new cytotoxic acetylenic alcohols isolated from the Okinawan marine sponge of the genus Strongylophora as each enantiomeric mixture with a different ratio. Tetrahedron Lett. 2000;41:9271–9276. [Google Scholar]
- 362.Watanabe K, Tsuda Y, Hamada M, Omori M, Mori G, Iguchi K, et al. Acetylenic strongylodiols from a Petrosia (Strongylophora) Okinawa marine sponge. J Nat Prod. 2005;68:1001–1005. doi: 10.1021/np040233u. [DOI] [PubMed] [Google Scholar]
- 363.Yosief T, Rudi A, Wolde-ab Y, Kashman Y. Two new C22 1,2-dioxane polyketides from the marine sponge Acarnus cf bergquistae. J Nat Prod. 1998;61:491–493. doi: 10.1021/np970407q. [DOI] [PubMed] [Google Scholar]
- 364.Koljak R, Järving I, Kurg R, Boeglin WE, Varvas K, Valmsen K, et al. The basis of prostaglandin synthesis in coral. Molecular cloning and expression of a cyclooxygenase from the Arctic soft coral Gersemia. J Biol Chem. 2001;276:7033–7040. doi: 10.1074/jbc.M009803200. [DOI] [PubMed] [Google Scholar]
- 365.Valmsen K, Järving I, Boeglin WE, Varvas K, Koljak R, Pehk T, et al. The origin of 15R-prostaglandins in the Caribbean coral Plexaura homomalla: molecular cloning and expression of a novel cyclooxygenase. Proc Natl Acad Sci USA. 2001;98:7700–7705. doi: 10.1073/pnas.131022398. [DOI] [PMC free article] [PubMed] [Google Scholar]
- 366.Valmsen K, Boeglin WE, Järving I, Schneider C, Varvas K, Brash AR, et al. Structural and functional comparison of 15S- and 15R-specific cyclooxygenases from the coral Plexaura homomalla. Eur J Biochem. 2004;271:3533–3538. doi: 10.1111/j.0014-2956.2004.04289.x. [DOI] [PubMed] [Google Scholar]
- 367.Quinn RJ, Tucker DJ. A brominated bisacetylenic acid from the marine sponge Xestospongia testudinaria. Tetrahedron Lett. 1985;26:1671–1672. [Google Scholar]
- 368.Bourguet-Kondracki ML, Rakotoarisoa MT, Martin MT, Guyot M. Bioactive bromopolyacetylenes from the marine sponge Xestospongia testudinaria. Tetrahedron Lett. 1992;33:225–226. [Google Scholar]
- 369.Hirsh S, Carmely S, Kashman Y. Brominated unsaturated acids from the marine sponge Xestospongia sp. Tetrahedron. 1987;43:3257–3261. [Google Scholar]
- 370.Patil AD, Kokke WC, Cochran S, Francis TA, Tomszek T, Westley JW. Brominated polyacetylenic acids from the marine sponge Xestospongia muta: inhibitors of HIV protease. J Nat Prod. 1992;55:1170–1177. doi: 10.1021/np50087a002. [DOI] [PubMed] [Google Scholar]
- 371.Garson MJ, Thompson JE, Larsen RM, Battershill CN, Murphy PT, Bergquist PR. Terpenes in sponge cell membranes: Cell separation and membrane fractionation studies with the tropical marine sponge Amphimedon sp. Lipids. 1992;27:378–388. [Google Scholar]
- 372.Garson MJ, Zimmermann MP, Battershill CN, Holden JL, Murphy PT. The distribution of brominated long-chain fatty acids in sponge and symbiont cell types from the tropical marine sponge Amphimedon terpenensis. Lipids. 1994;29:509–516. doi: 10.1007/BF02578249. [DOI] [PubMed] [Google Scholar]
- 373.Matsunaga S, Okada Y, Fusetani N, van Soest RWM. An antimicrobial C14 acetylenic acid from a marine sponge Oceanapia species. J Nat Prod. 2000;63:690–691. doi: 10.1021/np990577y. [DOI] [PubMed] [Google Scholar]
- 374.Lerch ML, Harper MK, Faulkner DJ. Brominated polyacetylenes from the Philippines sponge Diplastrella sp. J Nat Prod. 2003;66:667–670. doi: 10.1021/np020544+. [DOI] [PubMed] [Google Scholar]
- 375.de Jesus RP, Faulkner DJ. Chlorinated acetylenes from the San Diego sponge Haliclona lunisimilis. J Nat Prod. 2003;66:671–674. doi: 10.1021/np020542p. [DOI] [PubMed] [Google Scholar]
- 376.Alam N, Bae BH, Hong J, Lee CO, Im KS, Jung JH. Cytotoxic diacetylenes from the stony coral Montipora species. J Nat Prod. 2001;64:1059–1063. doi: 10.1021/np010148b. [DOI] [PubMed] [Google Scholar]
- 377.Bae BH, Im KS, Choi WC, Hong J, Lee C-O, Choi JS, et al. New acetylenic compounds from the stony coral Montipora sp. J Nat Prod. 2000;63:1511–1514. doi: 10.1021/np0002076. [DOI] [PubMed] [Google Scholar]
- 378.Sakemi S, Totton LE, Sun HH. Xestamines A, B, and C, three new long-chain methoxylamine pyridines from the sponge Xestospongia wiedenmayeri. J Nat Prod. 1990;53:995–999. [Google Scholar]
- 379.Quinõa E, Crews P. Niphatynes, methoxylamine pyridines from the marine sponge, Niphates sp. Tetrahedron Lett. 1987;28:2467–2468. [Google Scholar]
- 380.Tsukamoto S, Takahashi M, Matsunaga S, Fusetani N, van Soest RWM. Hachijodines A-G: seven new cytotoxic 3-alkylpyridine alkaloids from two marine sponges of the genera Xestospongia and Amphimedon. J Nat Prod. 2000;63:682–684. doi: 10.1021/np9905766. [DOI] [PubMed] [Google Scholar]
- 381.Kobayashi J, Zeng CM, Ishibashi M, Shigemori H, Sasaki T, Mikami Y. Niphatesines E-H, new pyridine alkaloids from the Okinawan marine sponge Niphates sp. J Chem Soc, Perkin Trans. 1992;1:1291–1294. [Google Scholar]
- 382.Nielsen JS, Møller BL. Cloning and expression of cytochrome P450 enzymes catalyzing the conversion of tyrosine to p-hydroxyphenylacetaldoxime in the biosynthesis of cyanogenic glucosides in Triglochin maritima. Plant Physiol. 2000;122:1311–1322. doi: 10.1104/pp.122.4.1311. [DOI] [PMC free article] [PubMed] [Google Scholar]
- 383.Du L, Lykkesfeldt J, Olsen CE, Halkier BA. Involvement of cytochrome P450 in oxime production in glucosinolate biosynthesis as demonstrated by an in vitro microsomal enzyme system isolated from jasmonic acid-induced seedlings of Sinapsis alba L. Proc Natl Acad Sci USA. 1995;92:12505–12509. doi: 10.1073/pnas.92.26.12505. [DOI] [PMC free article] [PubMed] [Google Scholar]
- 384.Glawischnig E, Hansen BG, Olsen CE, Halkier BA. Camalexin is synthesized from indole-3-acetaldoxime, a key branching point between primary and secondary metabolism in Arabidopsis. Proc Natl Acad Sci USA. 2004;101:8245–8250. doi: 10.1073/pnas.0305876101. [DOI] [PMC free article] [PubMed] [Google Scholar]
- 385.Andersen MD, Busk PK, Svendsen I, Møller BL. Cytochromes P-450 from cassava (Manihot esculenta Crantz) catalyzing the first steps in the biosynthesis of the cyanogenic glucosides linamarin and lotaustralin. Cloning, functional expression in Pichia pastoris, and substrate specificity of the isolated recombinant enzymes. J Biol Chem. 2000;275:1966–1975. doi: 10.1074/jbc.275.3.1966. [DOI] [PubMed] [Google Scholar]
- 386.Takekawa Y, Matsunaga S, vanSoest RWM, Fusetani N. Amphimedosides, 3-alkylpyridine glycosides from a marine sponge Amphimedon sp. J Nat Prod. 2006;69:1503–1505. doi: 10.1021/np060122q. [DOI] [PubMed] [Google Scholar]
- 387.Baldwin JE, Whitehead RC. On the biosynthesis of manzamines. Tetrahedron Lett. 1992;33:2059–2062. [Google Scholar]
- 388.Rudi A, Schleyer M, Kashmann Clathculins A and B, two novel nitrogen-containing metabolites from the sponge Clathrina aff. reticulum. J Nat Prod. 2000;63:1434–1436. doi: 10.1021/np000149o. [DOI] [PubMed] [Google Scholar]
- 389.Ayanoglua E, Kornprobstb JM, Aboud-Bicharab A, Djerassi C. Phospholipid studies of marine organisms. 4 (2R,21Z)-2-methoxy-21-octacosenoic acid, the first naturally occurring α-methoxy acid from a phospholipid. Tetrahedron Lett. 1983;24:1111–1114. [Google Scholar]
- 390.Zhao Q, Mansoor TA, Hong J, Lee C-O, Im KS, Lee DS, et al. New lysophosphatidylcholines and monoglycerides from the marine sponge Stelletta sp. J Nat Prod. 2003;66:725–728. doi: 10.1021/np0300075. [DOI] [PubMed] [Google Scholar]
- 391.Zhao Q, Lee S-Y, Hong J, Lee C-O, Im KS, Sim CJ, et al. New acetylenic acids from the marine sponge Stelletta species. J Nat Prod. 2003;66:408–411. doi: 10.1021/np020440z. [DOI] [PubMed] [Google Scholar]
- 392.Perry NB, Becker EG, Blunt JW, Lake RJ, Munro MHG. Diyne enol ethers of glycerol from a New Zealand sponge, Petrosia hebes. J Nat Prod. 1990;53:732–734. [Google Scholar]
- 393.Guella G, Mancini I, Pietra F. Raspailynes, novel long-chain acetylenic enol ethers of glycerol from the marine sponges Raspailia pumila and Raspailia ramosa. Helv Chim Acta. 1987;70:1050–1062. [Google Scholar]
- 394.Guella G, Mancini I, Pietra F. Oxidative breaking of long-chain acetylenic enol ethers of glycerol of the marine sponges Raspailia pumila and of model compounds with aerial oxygen. Helv Chim Acta. 1987;70:1400–1411. [Google Scholar]
- 395.Seo Y, Cho KW, Lee HS, Rho JR, Shin J. New acetylenic enol ethers of glycerol from the sponge Petrosia sp. J Nat Prod. 1999;62:122–126. doi: 10.1021/np9803575. [DOI] [PubMed] [Google Scholar]
- 396.Snyder F. Platelet-activating factor: the biosynthetic and catabolic enzymes. Biochem J. 1984;305:689–705. doi: 10.1042/bj3050689. [DOI] [PMC free article] [PubMed] [Google Scholar]
- 397.Rooney F, Capon RJ. Callyspongynes A and B: new polyacetylenic lipids from a southern Australian marine sponge, Callyspongia sp. Lipids. 1998;33:639–642. doi: 10.1007/s11745-998-0251-5. [DOI] [PubMed] [Google Scholar]
- 398.Umeyama A, Nagano C, Arihara S. Three novel C21 polyacetylenes from the marine sponge Callyspongia sp. J Nat Prod. 1997;60:131–133. [Google Scholar]
- 399.Tsukamoto S, Kato H, Hirota H, Fusetani N. Seven new polyacetylene derivatives, showing both potent metamorphosis-inducing activity in ascidian larvae and antifouling activity against barnacle larvae, from the marine sponge Callyspongia truncata. J Nat Prod. 1997;60:126–130. [Google Scholar]
- 400.Miao S, Andersen RJ. Callydiyne, a new diacetylenic hydrocarbon from the sponge Callyspongia flammea. J Nat Prod. 1991;54:1433–1434. [Google Scholar]
- 401.Gavagnin M, Castelluccio F, Antonelli A, Templado J, Cimino G. Unusual C21 linear polyacetylenic alcohols from an Atlantic ascidian. Lipids. 2004;39:681–685. doi: 10.1007/s11745-004-1282-7. [DOI] [PubMed] [Google Scholar]
- 402.Youssef DTA, van Soest RWM, Fusetani N. Callyspongenols A-C, new cytotoxic C22-polyacetylenic alcohols from a Red Sea sponge, Callyspongia species. J Nat Prod. 2003;66:679–681. doi: 10.1021/np030006c. [DOI] [PubMed] [Google Scholar]
- 403.Uno M, Ohta S, Ohta E, Ikegami S. Callyspongins A and B: novel polyacetylene sulfates from the marine sponge Callyspongia truncata that inhibit fertilization of starfish gametes. J Nat Prod. 1996;59:1146–1148. [Google Scholar]
- 404.Tada H, Yasuda F. Siphonodiol, a new polyacetylenic metabolite from the sponge Siphonochalina truncate. Chem Lett. 1984:779–780. [Google Scholar]
- 405.Fujita M, Nakao Y, Matsunaga S, van Soest RWM, Itoh Y, Seiki M, et al. Callysponginol sulfate A, an MT1-MMP inhibitor isolated from the marine sponge Callyspongia truncata. J Nat Prod. 2003;66:569–571. doi: 10.1021/np020572s. [DOI] [PubMed] [Google Scholar]
- 406.Youssef DTA, Yoshida WY, Kelly M, Scheuer PJ. Polyacetylenes from a Red Sea sponge Callyspongia species. J Nat Prod. 2000;63:1406–1410. doi: 10.1021/np0000668. [DOI] [PubMed] [Google Scholar]
- 407.Cimono G, Stefeno SD. New acetylenic compounds from the sponge Reniera fulva. Tetrahedron Lett. 1977;18:1325–1328. [Google Scholar]
- 408.Fu X, Schmitz FJ, Kelly M. Swinholides and new acetylenic compounds from an undescribed species of Theonella sponge. J Nat Prod. 1999;62:1336–1338. doi: 10.1021/np990167+. [DOI] [PubMed] [Google Scholar]
- 409.Youssef DTA, van Soest RWM, Fusetani N. Callyspongamide A, a new cytotoxic polyacetylenic amide from the Red Sea sponge Callyspongia fistularis. J Nat Prod. 2003;66:861–862. doi: 10.1021/np0205809. [DOI] [PubMed] [Google Scholar]
- 410.Cardellina JH, Marner FJ, Moore RE. Malyngamide A, a novel chlorinated metabolite of the marine cyanophyte Lyngbya majuscula. J Am Chem Soc. 1979;101:240–242. [Google Scholar]
- 411.Ainslie RD, Barchi JJJ, Kuniyoshi M, Moore RE, Mynderse JS. Structure of malyngamide C. J Org Chem. 1985;50:2859–2862. [Google Scholar]
- 412.Todd JS, Gerwick WH. Malyngamide I from the tropical marine cyanobacterium Lyngbya majuscula and the probable structure revision of stylocheilamide. Tetrahedron Lett. 1995;36:7837–7840. [Google Scholar]
- 413.Tan LT, Okino T, Gerwick WH. Hermitamides A and B, toxic malyngamide-type natural products from the marine cyanobacterium Lyngbya majuscula. J Nat Prod. 2000;63:952–955. doi: 10.1021/np000037x. [DOI] [PubMed] [Google Scholar]
- 414.Burja AM, Banalgs B, Abou-Mansour E, Burgess JC, Wright PC. Marine cyanobacteria – a prolific source of natural products. Tetrahedron. 2001;57:9347–9377. [Google Scholar]
- 415.Ishiyama H, Ishibashi K, Ogawa A, Yoshida S, Kobayashi J. Taurospongin A, a novel acetylenic fatty acid derivative inhibiting DNA polymerase βand HIV reverse transcriptase from sponge Hippospongia sp. J Org Chem. 1997;62:3831–3836. [Google Scholar]
- 416.Orsini MA, Pannell LK, Erickson KL. Polychlorinated acetamides from the cyanobacterium Microcoleus lyngbyaceus. J Nat Prod. 2001;64:572–577. doi: 10.1021/np000452p. [DOI] [PubMed] [Google Scholar]
- 417.MacMillan JB, Molinski TF. Herbacic acid, a simple protoype of 5,5,5-trichloroleucine metabolites from the sponge Dysidea herbacea. J Nat Prod. 2000;63:155–157. doi: 10.1021/np990468j. [DOI] [PubMed] [Google Scholar]
- 418.Williamson RT, Singh IP, Gerwick WH. Taveuniamides: new chlorinated toxins from a mixed assemblage of marine cyanobacteria. Tetrahedron. 2004;60:7025–7033. [Google Scholar]
- 419.Igarashi T, Satake M, Yasumoto T. Prymnesin-2: a potent ichthyotoxic and hemolytic glycoside isolated from the red tide alga Prymnesium parvum. J Am Chem Soc. 1996;118:479–480. [Google Scholar]
- 420.Igarashi T, Satake M, Yasumoto T. Structures and partial stereochemical assignments for prymnesin-1 and prymnesin-2: potent hemolytic and ichthyotoxic glycosides Isolated from the red tide alga Prymnesium parvum. J Am Chem Soc. 1999;121:8499–8511. [Google Scholar]
- 421.Vilotijevic I, Jamison TF. Epoxide-opening cascades promoted by water. Science. 2007;317:1189–1192. doi: 10.1126/science.1146421. [DOI] [PMC free article] [PubMed] [Google Scholar]
- 422.Zampella A, D’Auria MV, Minale L, Debitus C. Callipeltosides B and C, two novel cytotoxic glycoside macrolides from a marine Lithistida sponge Callipelta sp. Tetrahedron. 1997;53:3243–3248. [Google Scholar]
- 423.Zampella A, D’Auria MV, Minale L, Debitus C, Roussakis C. Callipeltoside A: a cytotoxic aminodeoxy sugar-containing macrolide of a new type from the marine Lithistida sponge Callipelta sp. J Am Chem Soc. 1996;118:11085–11088. [Google Scholar]
- 424.Grassia A, Bruno I, Debitus C, Marzocco S, Pinto A, Gomez-Paloma L, et al. Spongidepsin, a new cytotoxic macrolide from Spongia sp. Tetrahedron. 2001;57:6257–6260. [Google Scholar]
- 425.Ploutno A, Carmeli S. Nostocyclyne A, a novel antimicrobial cyclophane from the cyanobacterium Nostoc sp. J Nat Prod. 2000;63:1524–1526. doi: 10.1021/np0002334. [DOI] [PubMed] [Google Scholar]
- 426.Erickson KL. Laurencia Natural Products. In: Scheuer PJ, editor. Marine Natural Products: Chemical and Biological Perspectives. New York: Academic Press; 1983. pp. 131–257. [Google Scholar]
- 427.Faulkner DJ. Marine natural products. Nat Prod Rep. 1997;14:259–302. [Google Scholar]
- 428.Moore BS. Biosynthesis of marine natural products: microorganisms and macroalgae. Nat Prod Rep. 1999;16:653–674. doi: 10.1039/a805873c. [DOI] [PubMed] [Google Scholar]
- 429.Faulkner DJ. Marine natural products. Nat Prod Rep. 2000;17:7–55. doi: 10.1039/a809395d. [DOI] [PubMed] [Google Scholar]
- 430.Faulkner DJ. Marine natural products. Nat Prod Rep. 2001;18:1–49. doi: 10.1039/b006897g. [DOI] [PubMed] [Google Scholar]
- 431.Faulkner DJ. Marine natural products. Nat Prod Rep. 2002;19:1–48. doi: 10.1039/b009029h. [DOI] [PubMed] [Google Scholar]
- 432.Blunt JW, Copp BR, Munro MHG, Northcote PT, Prinsep MR. Marine natural products. Nat Prod Rep. 2004;21:1–49. doi: 10.1039/b305250h. [DOI] [PubMed] [Google Scholar]
- 433.Blunt JW, Copp BR, Munro MHG, Northcote PT, Prinsep MR. Marine natural products. Nat Prod Rep. 2006;23:26–78. doi: 10.1039/b502792f. [DOI] [PubMed] [Google Scholar]
- 434.Weissman K. Plumbing new depths in drug discovery. Chem Biol. 2004;11:743–745. doi: 10.1016/j.chembiol.2004.06.003. [DOI] [PubMed] [Google Scholar]
- 435.Luesch H, Yoshida M, Moore RE, Paul VJ. Novel lipopeptides from the marine cyanobacterium Lyngbya majuscula. J Nat Prod. 2000;63:1106–1112. doi: 10.1021/np000078t. [DOI] [PubMed] [Google Scholar]
- 436.McPhail KL, Correa J, Linington RG, Gonzalez J, Ortega-Barria E, Capson TL, et al. Antimalarial linear lipopeptides from a Panamanian strain of the marine cyanobacterium Lyngbya majuscula. J Nat Prod. 2007;70:984–988. doi: 10.1021/np0700772. [DOI] [PMC free article] [PubMed] [Google Scholar]
- 437.Hooper GJ, Orjala J, Schatzman RC, Gerwick WH. Carmabins A and B, new lipopeptides from the Caribbean cyanobacterium Lyngbya majuscula. J Nat Prod. 1998;61:529–533. doi: 10.1021/np970443p. [DOI] [PubMed] [Google Scholar]
- 438.Jiménez JI, Scheuer PJ. New lipopeptides from the Caribbean cyanobacterium Lyngbya majuscula. J Nat Prod. 2001;64:200–203. doi: 10.1021/np000462q. [DOI] [PubMed] [Google Scholar]
- 439.Walsh CT. Polyketide and nonribosomal peptide antibiotics: modularity and versatility. Science. 2004;303:1805–1810. doi: 10.1126/science.1094318. [DOI] [PubMed] [Google Scholar]
- 440.Williams PG, Yoshida WY, Quon MK, Moore RE, Paul VJ. The structure of palau’amide, a potent cytotoxin from a species of the marine cyanobacterium Lyngbya. J Nat Prod. 2003;66:1545–1549. doi: 10.1021/np034001r. [DOI] [PubMed] [Google Scholar]
- 441.Williams PG, Yoshida WY, Quon MK, Moore RE, Paul VJ. Ulongapeptin, a cytotoxic cyclic depsipeptide from a Palauan marine cyanobacterium Lyngbya sp. J Nat Prod. 2003;66:651–654. doi: 10.1021/np030050s. [DOI] [PubMed] [Google Scholar]
- 442.Bunyajetpong S, Yoshida WY, Sitachitta N, Kaya K. Trungapeptins A-C, cyclodepsipeptides from the marine cyanobacterium Lyngbya majuscula. J Nat Prod. 2006;69:1539–1542. doi: 10.1021/np050485a. [DOI] [PubMed] [Google Scholar]
- 443.Nogle LM, Gerwick WH. Isolation of four new cyclic depsipeptides, antanapeptins A-D, and dolastatin 16 from a Madagascan collection of Lyngbya majuscula. J Nat Prod. 2002;65:21–24. doi: 10.1021/np010348n. [DOI] [PubMed] [Google Scholar]
- 444.Sitachitta N, Williamson RT, Gerwick WH. Yanucamides A and B, two new depsipeptides from an assemblage of the marine cyanobacteria Lyngbya majuscula and Schizothrix Species. J Nat Prod. 2000;63:197–200. doi: 10.1021/np990466z. [DOI] [PubMed] [Google Scholar]
- 445.Luesch H, Pangilinan R, Yoshida WY, Moore RE, Paul VJ. Pitipeptolides A and B, new cyclodepsipeptides from the marine cyanobacterium Lyngbya majuscula. J Nat Prod. 2001;64:304–307. doi: 10.1021/np000456u. [DOI] [PubMed] [Google Scholar]
- 446.Rodriguez J, Fernandez R, Quiñoá E, Riguera R, Debitus C, Borchet P. Onchidin: a cytotoxic depsipeptide with C2 symmetry from a marine mollusc. Tetrahedron Lett. 1994;35:9239–9242. [Google Scholar]
- 447.Wan F, Erickson KL. Georgamide, a new cyclic depsipeptide with an alkynoic acid residue from an Australian cyanobacterium. J Nat Prod. 2001;64:143–146. doi: 10.1021/np0003802. [DOI] [PubMed] [Google Scholar]
- 448.Reese MT, Gulavita NK, Nakao Y, Hamann MT, Yoshida WY, Coval SJ, et al. Kulolide: a cytotoxic depsipeptide from a cephalaspidean mollusk, Philinopsis speciosa. J Am Chem Soc. 1996;118:11081–11084. [Google Scholar]
- 449.Nakao Y, Yoshida WY, Szabo CM, Baker BJ, Scheuer PJ. More peptides and other diverse constituents of the marine mollusk Philinopsis speciosa. J Org Chem. 1998;63:3272–3280. [Google Scholar]
- 450.Petit GR, Xu J-P, Hogan F, Cerny RL. Antineoplastic agents. 369 Isolation and structure of dolastatin 17. Heterocycles. 1998;47:491–497. [Google Scholar]
- 451.Tan LT, Sitachitta N, Gerwick WH. The guineamides, novel cyclic depsipeptides from a Papua New Guinea collection of the marine cyanobacterium Lyngbya majuscula. J Nat Prod. 2003;66:764–771. doi: 10.1021/np020492o. [DOI] [PubMed] [Google Scholar]
- 452.Horgen FD, Yoshida WY, Scheuer PJ. Malevamides A-C, new depsipeptides from the marine cyanobacterium Symploca laete-viridis. J Nat Prod. 2000;63:461–467. doi: 10.1021/np990449+. [DOI] [PubMed] [Google Scholar]
- 453.Han B, Goeger DE, Maier CS, Gerwick WH. Wewakpeptins, cyclic depsipeptides from a Papua New Guinea collection of the marine cyanobacterium Lyngbya semiplena. J Nat Prod. 2005;70:3133–3139. doi: 10.1021/jo0478858. [DOI] [PubMed] [Google Scholar]
- 454.Dastlik KA, Forster PG, Ghisalberti EL, Jefferies PR. Sesquiterpenes from Eremophila species. Phytochemistry. 1989;28:1425–1426. [Google Scholar]
- 455.Kim H-J, Vinale F, Ghisalberti EL, Worth CM, Sivasithamparam K, Skelton BW, et al. An antifungal and plant growth promoting metabolite from a sterile dark ectotrophic fungus. Phytochemistry. 2006;67:2277–2280. doi: 10.1016/j.phytochem.2006.07.022. [DOI] [PubMed] [Google Scholar]
- 456.Kokubun T, Irwin D, Legg M, Veitch NC, Simmonds MSJ. Serialynic acid, a new phenol with an isopentenyne side chain from Antrodia serialis. J Antibiot. 2007;60:285–288. doi: 10.1038/ja.2007.36. [DOI] [PubMed] [Google Scholar]
- 457.Hautzel R, Anke H, Sheldrick WS. Mycenon, a new metabolite from a Mycena species TA 87202 (basidiomycete) as an inhibitor of isocitrate lyase. J Antibiot. 1990;43:1240–1244. doi: 10.7164/antibiotics.43.1240. [DOI] [PubMed] [Google Scholar]
- 458.Maoka T, Fujiwara Y, Hashimoto K, Akimoto N. Carotenoids in three species of Corbicula clams, Corbicula japonica, Corbicula sandai, and Corbicula sp (Chinese freshwater Corbicula clam) J Agric Food Chem. 2005;53:8357–8364. doi: 10.1021/jf058088t. [DOI] [PubMed] [Google Scholar]
- 459.Liaaen-Jensen S. Carotenoids - A chemosystematic approach. Pure Appl Chem. 1979;51:661–675. [Google Scholar]
- 460.Ximenez F. Quatro Libros de la Naturaleza, y Animales que Aftan Recevidos en el Vfo de Medicina de la Nueva España. Viuda de Diego Lopez Davalas; Mexico City, Mexico: p. 1615. [Google Scholar]
- 461.Berenbaum MR. Chemical mediation of coevolution: phylogenetic evidence for Apiaceae and associates. Ann Missouri Bot Garden. 2001;88:45–59. [Google Scholar]
- 462.Christensen LP. Biological activities of naturally occurring acetylenes and related compounds from higher plants. Recent Res Devel Phytochem. 1998;2:227–257. [Google Scholar]
- 463.Garrod B, Lewis BG. Cis-heptadeca-1,9-diene-4,6-diyne-3,8-diol, an antifungal polyacetylene from carrot root tissue. Physiol Plant Pathol. 1978;13:241–246. [Google Scholar]
- 464.Garrod B, Lewis BG. Location of the antifungal compound falcarindiol in carrot root tissue. Trans Br Mycol Soc. 1979;72:515–517. [Google Scholar]
- 465.Baranska M, Schulz H, Christensen LP. Structural changes of polyacetylenes in American ginseng root can be observed in situ by using Raman spectroscopy. J Agric Food Chem. 2006;54:3629–3635. doi: 10.1021/jf060422d. [DOI] [PubMed] [Google Scholar]
- 466.Czepa A, Hofmann T. Quantitative studies and sensory analyses on the influence of cultivar, spatial tissue distribution, and industrial processing on the bitter off-taste of carrots (Daucus carota L) and carrot products. J Agric Food Chem. 2004;52:4508–4514. doi: 10.1021/jf0496393. [DOI] [PubMed] [Google Scholar]
- 467.Baranska M, Schulz H, Baranski R, Nothnagel T, Christensen LP. In situ simultaneous analysis of polyacetylenes, carotenoids and polysaccharides in carrot roots. J Agric Food Chem. 2005;53:6565–6571. doi: 10.1021/jf0510440. [DOI] [PubMed] [Google Scholar]
- 468.Baranska M, Schulz H. Spatial tissue distribution of polyacetylenes in carrot root. Analyst. 2005;130:855–859. doi: 10.1039/b500975h. [DOI] [PubMed] [Google Scholar]
- 469.Christensen LP, Jensen M, Kidmose U. Simultaneous determination of ginsenosides and polyacetylenes in American ginseng root (Panax quinquefolium L) by high-performance liquid chromatography. J Agric Food Chem. 2006;54:8995–9003. doi: 10.1021/jf062068p. [DOI] [PubMed] [Google Scholar]
- 470.Bernart MW, Cardellina JH, Balaschak MS, Alexander MR, Shoemaker RH, Boyd MR. Cytotoxic falcarinol oxylipins from Dendropanax arboreus. J Nat Prod. 1996;59:748–753. doi: 10.1021/np960224o. [DOI] [PubMed] [Google Scholar]
- 471.Zidorn C, Jöhrer K, Ganzera M, Schubert B, Sigmund EM, Mader J, et al. Polyacetylenes from the Apiaceae vegetables carrot, celery, fennel, parsley, and parsnip and their cytotoxic activities. J Agric Food Chem. 2005;53:2518–2523. doi: 10.1021/jf048041s. [DOI] [PubMed] [Google Scholar]
- 472.Kobaek-Larsen M, Christensen LP, Vach W, Ritskes-Hoitinga J, Brandt K. Inhibitory effects of feeding with carrots or (−)-falcarinol on development of azoxymethane-induced preneoplastic lesions in the rat colon. J Agric Food Chem. 2005;53:1823–1827. doi: 10.1021/jf048519s. [DOI] [PubMed] [Google Scholar]
- 473.Young JF, Duthie SJ, Milne L, Christensen LP, Duthie GG, Bestwick CS. Biphasic effect of falcarinol on CaCo-2 cell proliferation, DNA damage, and apoptosis. J Agric Food Chem. 2007;55:618–623. doi: 10.1021/jf0616154. [DOI] [PubMed] [Google Scholar]
- 474.Hansen SL, Purup S, Christensen LP. Bioactivity of falcarinol and its content in carrots. J Sci Food Agric. 2003;83:1010–1017. [Google Scholar]
- 475.Kidmose U, Hansen SL, Christensen LP, Edelenbos M, Larsen E, Nørbaek R. Effects of genotype, root size, storage, and processing on bioactive compounds in organically grown carrots (Daucus carota L) J Food Sci. 2004;69:S388–S393. [Google Scholar]
- 476.Gafner F, Epstein W, Reynolds G, Rodriguez E. Human maximization test of falcarinol, the principal contact allergan of English ivy and Algerian ivy (Hedera helix, H canariensis) Contact Dermatitis. 1988;19:125. doi: 10.1111/j.1600-0536.1988.tb05509.x. [DOI] [PubMed] [Google Scholar]
- 477.Garrod B, Lea EJA, Lewis BG. Studies on the mechanism of action of the antifungal compound falcarindiol. New Phytol. 1979;83:463–471. [Google Scholar]
- 478.Bowers WS, Hoch HC, Evans PH, Katayama M. Thallphytic allelopathy: isolation and identification of laetisaric acid. Science. 1986;232:105–106. doi: 10.1126/science.232.4746.105. [DOI] [PubMed] [Google Scholar]
- 479.Strauß U, Wittstock U, Schubert R, Teuscher E, Jung S, Mix E. Cicutoxin from Cicuta virosa – a new and potent potassium channel blocker in T lymphocytes. Biochem Biophys Res Commun. 1996;219:332–336. doi: 10.1006/bbrc.1996.0233. [DOI] [PubMed] [Google Scholar]
- 480.Uwai K, Ohashi K, Takaya Y, Ohta T, Tadano T, Kisara K, et al. Exploring the structural basis of neurotoxicity in C17-polyacetylenes isolated from water hemlock. J Med Chem. 2000;43:4508–4515. doi: 10.1021/jm000185k. [DOI] [PubMed] [Google Scholar]
- 481.Ebel J. Phytoalexin synthesis: the biochemical analysis of the induction process. Ann Rev Phytopathol. 1986;24:235–264. [Google Scholar]
- 482.Imoto S, Ohata Y. Elicitation of diacetylenic compounds in suspension cultured cells of eggplant. Plant Physiol. 1988;86:176–181. doi: 10.1104/pp.86.1.176. [DOI] [PMC free article] [PubMed] [Google Scholar]
- 483.DeWit PJGM, Kodde E. Induction of polyacetylenic phytoalexins in Lycopersicon esculentum after inoculation with Cladosporium fulvum (syn Fulvia vulva) Physiol Plant Pathol. 1981;18:143–148. [Google Scholar]
- 484.Elgersma DM. Accumulation of phytoalexins in susceptible and resistant near-isogenic lines of tomato infested with Verticillium albo-atrum or Fusarium oxysporum f. sp lycopersici. Physiol Mol Plant Pathol. 1989;34:545. [Google Scholar]
- 485.Batista UG, Higgins VJ. Accumulation of phytoalexins in the compatible interaction between Cladosporium fulvum and tomato in relation to colonization. Can J Bot. 1991;69:822–830. [Google Scholar]
- 486.Allen EH, Thomas CA. Time course of safynol accumulation in resistant and susceptible safflower infected with Phytophthora drechsleri. Physiol Plant Pathol. 1971;1:235–240. [Google Scholar]
- 487.Allen EH, Thomas CA. Trans-trans-3,11-tridecadiene-5,7,9-triyne-1,2-diol, an antifungal polyacetylene from diseased safflower (Carthamus tinctorius) Phytochemistry. 1971;10:1579–1582. [Google Scholar]
- 488.Tietjen KG, Matern U. Induction and suppression of phytoalexin biosynthesis in cultured cells of safflower, Carthamus tinctorius L by metabolites of Alternaria carthami Chowdhury. Arch Biochem Biophys. 1984;229:136–144. doi: 10.1016/0003-9861(84)90138-3. [DOI] [PubMed] [Google Scholar]
- 489.Nawar HF, Kuti JO. Wyerone acid phytoalexin synthesis and peroxidase activity as markers for resistance of broad beans to chocolate spot disease. J Phytopathol. 2003;151:564–570. [Google Scholar]
- 490.Harding VK, Heale JB. The accumulation of inhibitory compounds in the induced resistance response of carrot slices to Botrytis cinerea. Physiol Plant Pathol. 1981;18:7–15. [Google Scholar]
- 491.Kirsch C, Hahlbrock K, Somssich IE. Rapid and transient induction of a parsley microsomal Δ12 fatty acid desaturase mRNA by fungal elicitor. Plant Physiol. 1997;115:283–289. doi: 10.1104/pp.115.1.283. [DOI] [PMC free article] [PubMed] [Google Scholar]
- 492.Stevens KL. Allelopathic polyacetylenes from Centaurea repens (Russian knapweed) J Chem Ecol. 1986;12:1205–1211. doi: 10.1007/BF01012342. [DOI] [PubMed] [Google Scholar]
- 493.Broz AK, Broeckling CD, He J, Dai X, Zhao PX, Vivanco JM. A first step in understanding an invasive weed through its genes: an EST analysis of invasive Centaurea maculosa. BMC Plant Biology. 2007;7:25. doi: 10.1186/1471-2229-7-25. [DOI] [PMC free article] [PubMed] [Google Scholar]
- 494.Ayer WA, Craw PA. Metabolites of the fairy ring fungus, Marasmius oreades. Part 2 Norsesquiterpenes, further sesquiterpenes, and agrocybin. Can J Chem. 1989;67:1371–1380. [Google Scholar]
- 495.Ishizu T, Ohsaki T, Tanaka N, Yano K, Kamimura H, Kurokawa S. Isolation of dehydrofalcarinol as a seed germination inhibitor from Artemisia capillaris roots. Bull Fukuoka Univ Ed. 1999;48:67–72. [Google Scholar]
- 496.Kobayashi K, Koyama H, Shim IS. Relationship between behavior of dehydromatricaria ester in soil and the allelopathic activity of Solidago altissima L in the laboratory. Plant Soil. 2004;259:97–102. [Google Scholar]
- 497.Guillet G, Philogène BJR, O’Meara J, Durst T, Arnason JT. Multiple modes of insecticidal action of three classes of polyacetylene derivatives from Rudbeckia hirta. Phytochemistry. 1997;46:495–498. [Google Scholar]
- 498.Almeida-Cortez J, Shipley B, Arnason JT. Effects of nutrient availability on the production of pentaynene, a secondary compound related to defense, in Rudbeckia hirta. Plant Spec Biol. 2003;18:85–89. [Google Scholar]
- 499.Tsao R, Attygalle AB, Schroeder FC, Marvin CH, McGarvey BD. Isobutylamides of unsaturated fatty acids from Chrysanthemum morifolium associated with host-plant resistance against the western flower thrips. J Nat Prod. 2003;66:1229–1231. doi: 10.1021/np0301745. [DOI] [PubMed] [Google Scholar]
- 500.Meinwald J, Meinwald YC, Chalmers AM, Eisner T. Dihydromatricaria ester: acetylenic acid secreted by soldier beetle. Science. 1968;160:890–892. doi: 10.1126/science.160.3830.890. [DOI] [PubMed] [Google Scholar]
- 501.Duffey SS. Sequestration of plant natural products by insects. Ann Rev Entomol. 1980;25:447–477. [Google Scholar]
- 502.Moore BP, Brown WV. Identification of warning odour components, bitter principles and antifeedants in an aposemantic beetle: Metriorrhynchus rhipidius (Coleoptera: Lycidae) Insect Biochem. 1981;11:493–499. [Google Scholar]
- 503.Hibbett DS, Binder M. Evolution of marine mushrooms. Biol Bull. 2001;201:319–322. doi: 10.2307/1543610. [DOI] [PubMed] [Google Scholar]



